Food Pattern Modeling as an Alternative Assessment Method to Multiday Dietary Recalls for Iron-Related Nutrients: A Proof-of-Concept Study
Abstract
1. Introduction
2. Materials and Methods
2.1. Sample Size
2.2. Study Recruitment, Inclusion Criteria, and Study Preparation
2.3. Hematological Data Collection
2.4. Dietary Analysis
2.5. Statistical Analysis
3. Results
3.1. Demographics and Background
3.2. Dietary Intake
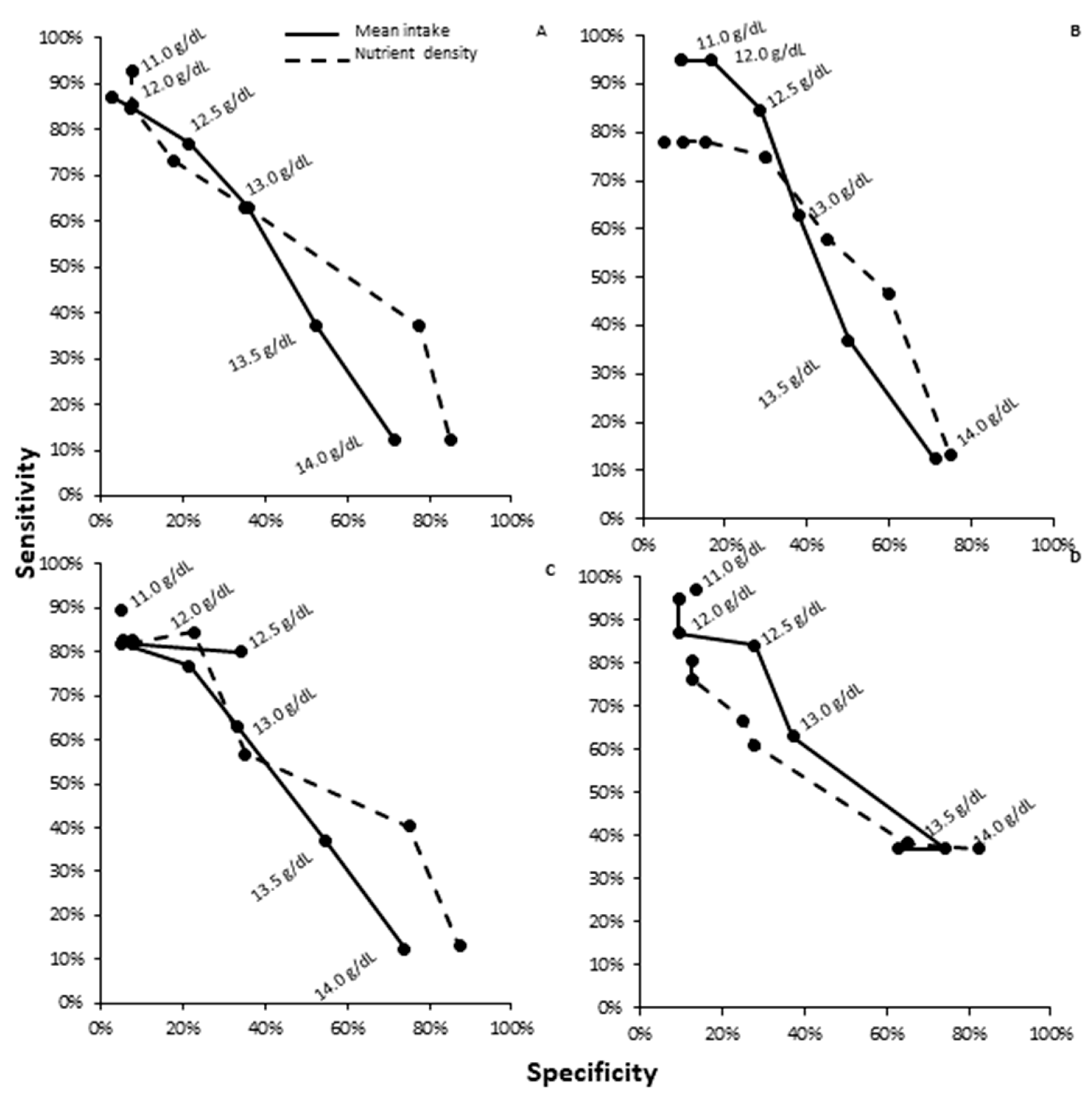
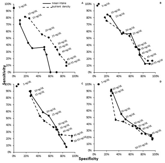
3.3. ROC Analysis by Diet Assessment Type for Hemoglobin
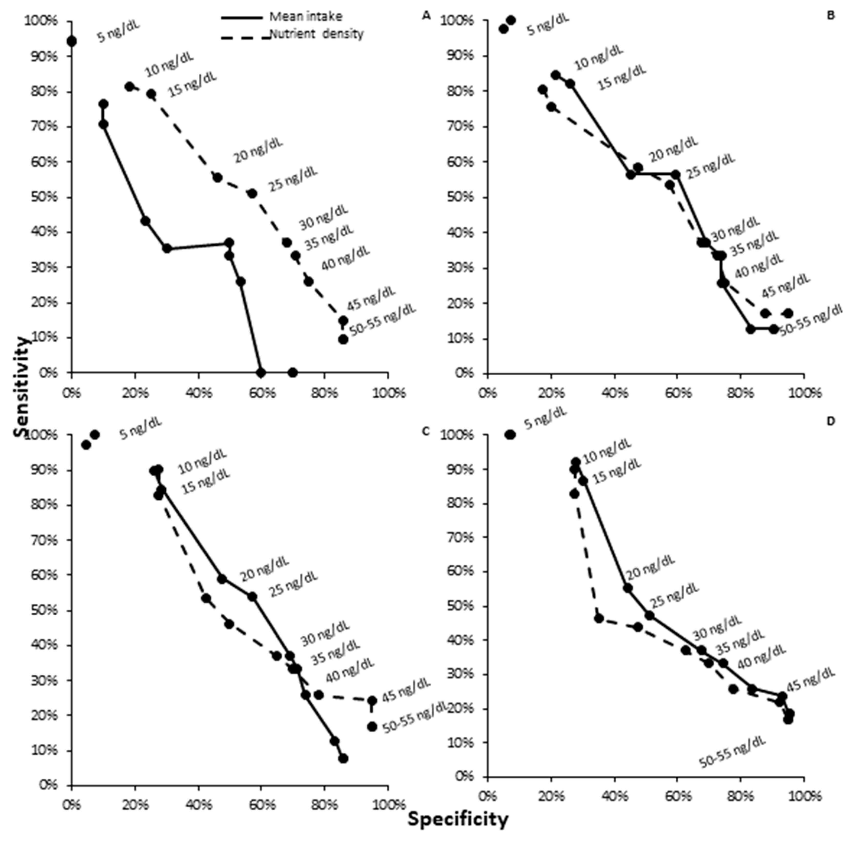
3.4. ROC Analysis by Diet Assessment Type for Ferritin
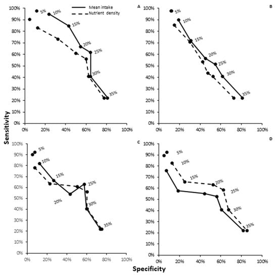
3.5. ROC Analysis by Diet Assessment Type for Acute Iron Absorption
4. Discussion
5. Conclusions
Author Contributions
Funding
Acknowledgments
Conflicts of Interest
References
- Kirkpatrick, S.I.; Baranowski, T.; Subar, A.F.; Tooze, J.A.; Frongillo, E.A. Best Practices for Conducting and Interpreting Studies to Validate Self-Report Dietary Assessment Methods. J. Acad. Nutr. Diet. 2019, 119, 1801–1816. [Google Scholar] [CrossRef] [PubMed]
- Britten, P.; Lyon, J.; Weaver, C.M.; Kris-Etherton, P.M.; Nicklas, T.A.; Weber, J.A.; Davis, C.A. MyPyramid food intake pattern modeling for the Dietary Guidelines Advisory Committee. J. Nutr. Educ. Behav. 2006, 38, S143–S152. [Google Scholar] [CrossRef] [PubMed]
- Martin-Prevel, Y.; Arimond, M.; Allemand, P.; Wiesmann, D.; Ballard, T.J.; Deitchler, M.; Dop, M.C.; Kennedy, G.; Lartey, A.; Lee, W.T. Development of a dichotomous indicator for population-level assessment of the dietary diversity of women of reproductive age. Curr. Dev. Nutr. 2017, 1, 001701. [Google Scholar] [CrossRef] [PubMed]
- Ramakrishnan, U.; Frith-Terhune, A.; Cogswell, M.; Kettel Khan, L. Dietary intake does not account for differences in low iron stores among Mexican American and non-Hispanic white women: Third National Health and Nutrition Examination Survey, 1988–1994. J. Nutr. 2002, 132, 996–1001. [Google Scholar] [CrossRef]
- Tatala, S.; Svanberg, U.; Mduma, B. Low dietary iron availability is a major cause of anemia: A nutrition survey in the Lindi District of Tanzania. Am. J. Clin. Nutr. 1998, 68, 171–178. [Google Scholar] [CrossRef] [PubMed]
- Longo, D.L.; Camaschella, C. Iron- Deficiency Anemia. NJEM 2015, 372, 1832–1843. [Google Scholar]
- Głąbska, D.; Guzek, D.; Ślązak, J.; Włodarek, D. Assessing the validity and reproducibility of an iron dietary intake questionnaire conducted in a group of young Polish women. Nutrients 2017, 9, 199. [Google Scholar] [CrossRef]
- Bohn, L.; Meyer, A.; Rasmussen, S. Phytate: Impact on environment and human nutrition. A challenge for molecular breeding. J. Zhejiang Univ. Sci. 2008, 9, 165–191. [Google Scholar] [CrossRef]
- Armah, S.M.; Carriquiry, A.; Sullivan, D.; Cook, J.D.; Reddy, M.B. A Complete Diet-Based Algorithm for Predicting Nonheme Iron Absorption in Adults. J. Nutr. 2003, 143, 1136–1140. [Google Scholar] [CrossRef]
- Abizari, A.-R.; Moretti, D.; Schuth, S.; Zimmermann, M.; Armar-Klemesu, M.; Brouwer, I. Phytic Acid-to- Iron Molar Ratio Rather than Polyphenol Concentration Determines Iron Bioavailability in Whole- Cowpea Meal among Young Women. J. Nutr. 2012, 142, 1950–1955. [Google Scholar] [CrossRef]
- Saunders, A.V.; Craig, W.J.; Baines, S.K.; Posen, J.S. Iron and vegetarian diets. Med. J. Aust. 2013, 199, S11. [Google Scholar] [CrossRef] [PubMed]
- Delimont, N.M.; Katz, B.B.; Fiorentino, N.M.; Kimmel, K.A.; Haub, M.D.; Rosenkranz, S.K.; Tomich, J.M.; Lindshield, B.L. Salivary cystatin SN binds to phytic acid in vitro and is a predictor of non-heme iron bioavailability with phytic acid supplementation in a proof of concept pilot study. Curr. Dev. Nutr. 2019, 7, nzz057. [Google Scholar] [CrossRef] [PubMed]
- Delimont, N.M.; Fiorentino, N.M.; Kimmel, K.A.; Haub, M.D.; Rosenkranz, S.K.; Lindshield, B.L. Long-Term Dose-Response Condensed Tannin Supplementation Does Not Affect Iron Status or Bioavailability. Curr. Dev. Nutr. 2017, 1, e001081. [Google Scholar] [CrossRef] [PubMed]
- Conway, R.; Geissler, C.; Hider, R.; Thompson, R.; Powell, J. Serum Iron Curves Can Be Used to Estimate Dietary Iron Bioavailability in Humans. J. Nutr. 2006, 136, 1910–1914. [Google Scholar] [CrossRef]
- Subar, A.F.; Kirkpatrick, S.I.; Mittl, B.; Zimmerman, T.P.; Thompson, F.E.; Bingley, C.; Willis, G.; Islam, N.G.; Baranowski, T.; McNutt, S. The Automated Self-Administered 24-hour dietary recall (ASA24): A resource for researchers, clinicians, and educators from the National Cancer Institute. J. Acad. Nutr. Diet. 2012, 112, 1134–1137. [Google Scholar] [CrossRef] [PubMed]
- Gibson, R.S.; Bailey, K.B.; Gibbs, M.; Ferguson, E.L. A review of phytate, iron, zinc, and calcium concentrations in plant-based complementary foods used in low-income countries and implications for bioavailability. Food Nutr. Bull. 2010, 31, S134–S146. [Google Scholar] [CrossRef]
- Al Hasan, S.M.; Hassan, M.; Saha, S.; Islam, M.; Billah, M.; Islam, S. Dietary phytate intake inhibits the bioavailability of iron and calcium in the diets of pregnant women in rural Bangladesh: A cross-sectional study. BMC Nutr. 2016, 2, 24. [Google Scholar] [CrossRef]
- Skau, J.K.H.; Touch, B.; Chhoun, C.; Chea, M.; Unni, U.S.; Makurat, J.; Filteau, S.; Wieringa, F.T.; Dijkhuizen, M.A.; Ritz, C.; et al. Effects of animal source food and micronutrient fortification in complementary food products on body composition, iron status, and linear growth: A randomized trial in Cambodia. Am. J. Clin. Nutr. 2015, 101, 742–751. [Google Scholar] [CrossRef]
- Nair, K.M.; Iyengar, V. Iron content, bioavailability & factors affecting iron status of Indians. Indian J. Med. Res. 2009, 130, 634–645. [Google Scholar]
- Pennington, J.A.T.; Spungen, J. Bowes and Church’s Food Values of Portions Commonly Used; Lippincott Williams & Wilkins: Philadelphia, Pennsylvania, 2009. [Google Scholar]
- Garcia, O.P.; Diaz, M.; Rosado, J.L.; Allen, L.H. Ascorbic acid from lime juice does not improve the iron status of iron- deficient women in rural Mexico. Am. J. Clin. Nutr. 2003, 78, 267–273. [Google Scholar] [CrossRef]
- Engle-Stone, R.; Yeung, A.; Welch, R.; Glahn, R. Meat and ascorbic acid can promote Fe availability from Fe-phytate but not from Fe-tannic acid complexes. J. Agric. Food Chem. 2005, 53, 10276–10284. [Google Scholar] [CrossRef] [PubMed]
- Hurrell, R.; Reddy, M.; Cook, J. Degradation of phytic acid in cereal porridges improves iron absorption by human subjects. Am. J. Clin. Nutr. 2003, 77, 1213–1219. [Google Scholar] [CrossRef] [PubMed]
- Hurrell, R.F.; Reddy, M.; Cook, J.D. Inhibition of non- haem iron absorption in man by polyphenolic-containing beverages. Br. J. Nutr. 1999, 81, 289–295. [Google Scholar] [CrossRef]
- Hurrell, R.F.; Juillerat, M.A.; Reddy, M.B.; Lynch, S.R.; Dassenko, S.A.; Cook, J.D. Soy protein, phytate, and iron absorption in humans. Am. J. Clin. Nutr. 1992, 56, 573–578. [Google Scholar] [CrossRef] [PubMed]
- Dahdouh, S.; Grande, F.; Espinosa, S.N.; Vincent, A.; Gibson, R.; Bailey, K.; King, J.; Rittenschober, D.; Charrondière, U.R. Development of the FAO/INFOODS/IZINCG global food composition database for phytate. J. Food Comp. Anal. 2019, 78, 42–48. [Google Scholar] [CrossRef] [PubMed]
- Henderson, A.R. Assessing test accuracy and its clinical consequences: A primer for receiver operating characteristic curve analysis. Clin. Biochem. 1993, 30, 521–539. [Google Scholar] [CrossRef] [PubMed]
- Asakura, K.; Sasaki, S.; Murakami, K.; Takahashi, Y.; Uenishi, K.; Yamakawa, M.; Nishiwaki, Y.; Kikuchi, Y.; Takebayashi, T. Iron intake does not significantly correlate with iron deficiency among young Japanese women: A cross-sectional study. Public Health Nutr. 2009, 12, 1373–1383. [Google Scholar] [CrossRef]
- United States Dietary Guidelines Advisory Committee. Dietary Guidelines for Americans 2015–2020; US Department of Health and Human Services/US Department of Atriculture: Washington, DC, USA, 2017.
- Lane, C.; Bobrow, E.A.; Ndatimana, D.; Ndayisaba, G.F.; Adair, L.S. Decreased consumption of common weaning foods is associated with poor linear growth among HIV-exposed infants participating in the Kigali antiretroviral and breastfeeding assessment for the elimination of HIV (Kabeho) study. Am. J. Hum. Biol. 2019, 31, e23308. [Google Scholar] [CrossRef]
- Filippini, T.; Michalke, B.; Grill, P.; Malagoli, C.; Malavolti, M.; Vescovi, L.; Sieri, S.; Krogh, V.; Cherubini, A.; Maffeis, G. Determinants of serum manganese levels in an Italian population. Mol. Med. Rep. 2017, 15, 3340–3349. [Google Scholar] [CrossRef] [PubMed]
- Hsiao, P.Y.; Mitchell, D.C.; Coffman, D.; Allman, R.; Locher, J.; Sawyer, P.; Jensen, G.L.; Hartman, T.J. Dietary patterns and diet quality among diverse older adults: The University of Alabama at Birmingham Study of Aging. J. Nutr. Health Aging 2013, 17, 19–25. [Google Scholar] [CrossRef]
- Hoppe, M.; Ross, A.B.; Svelander, C.; Sandberg, A.-S.; Hulthén, L. Low-phytate wholegrain bread instead of high-phytate wholegrain bread in a total diet context did not improve iron status of healthy Swedish females: A 12-week, randomized, parallel-design intervention study. Eur. J. Nutr. 2019, 58, 853–864. [Google Scholar] [CrossRef] [PubMed]



| High | Low | |
|---|---|---|
| Phytate–iron ratio (per 100 g) | >1 | ≤1 |
| Iron content (mg/100 g) | >0.35 | ≤0.35 |
| Ascorbic acid (mg/100 g) | >24 | ≤24 |
| Phytate (mg/100 g) | >50 | ≤50 |
| Quartile Nutrient Intake | Percentile (%) |
|---|---|
| Q1 | 76–100 |
| Q2 | 51–74 |
| Q3 | 26–50 |
| Q4 | 0–25 |
| Variable | N | Mean |
|---|---|---|
| Height (m) | 27 | 1.7 ± 0.1 |
| Weight (kg) | 27 | 64.8 ± 13.3 |
| BMI (kg/m2) | 27 | 23.2 ± 4.2 |
| Hemoglobin (g/dL) | 27 | 13.1 ± 1.0 |
| Hematocrit (%) | 27 | 39.4 ± 2.5 |
| MCV (fL) | 27 | 87.9 ± 5.2 |
| MCH (g/L) | 27 | 29.4 ± 2.5 |
| Ferritin (ng/dL) | 27 | 30.3 ± 15.0 |
| C-Reactive Protein (µg/mL) | 27 | 2.8 ± 4.5 |
| Acute iron absorption (%) | 27 | 14.4 ± 26.0 |
| Variable | Mean Intake ± SD | Dietary Reference Intake [1] |
|---|---|---|
| Number of foods | 9.6 ± 2.8 | NA |
| Energy (kcal/day) | 1830 ± 473 | 2000 |
| Protein (g/day) | 77.1 ± 22.1 | 46 |
| Fat (g/day) | 73.0 ± 25.4 | <78 |
| Carbohydrate (g/day) | 209.0 ± 58.2 | 130 |
| Sugar (g/day) | 84.6 ± 35.6 | <20 |
| Fiber (g/day) | 18.6 ± 6.1 | 28 |
| Iron (mg/day) | 14.7 ± 5.9 | 18 |
| Zinc (mg/day) | 10.2 ± 3.5 | 8 |
| Copper (mg/day) | 1.1 ± 0.4 | 0.9 |
| Ascorbic acid (mg/day) | 92.9 ± 85.1 | 75 |
| Thiamin (mg/day) | 1.7 ± 0.7 | 1.1 |
| Riboflavin (mg/day) | 1.9 ± 0.5 | 1.1 |
| Niacin (mg/day) | 23.7 ± 6.8 | 14 |
| Pyridoxine (mg/day) | 2.0 ± 0.8 | 1.3 |
| Folate (µg/day) | 359.8 ± 111.3 | 400 |
| Cyanocobalamin (µg/day) | 5.9 ± 5.5 | 2.4 |
| Fruit (g/day) | 80.0 ± 64.0 | 160.0 |
| Vegetable (g/day) | 144.0 ± 112 | 200.0 |
| Starchy vegetable (g/day) | 24.0 ± 40.0 | 55.0 |
| Legumes (g/day) | 8.0 ± 16.0 | 15.0 |
| Grain (g/day) | 161.6 ± 68.0 | 170.0 |
| Meat proteins (g/day) | 130.4 ± 76.5 | 155.0 |
| Soy protein (g/day) | 11.3 ± 17.0 | 8.5 |
| Nuts and seeds (g/day) | 19.8 ± 28.3 | 8.5 |
| Milk (mL/day) | 14.8 ± 8.9 | 700.0 |
| Phytate (mg/day) | 669.6 ± 547.4 | NA i |
| Dietary Assessment Method | Intake Quartile | Phytate: Iron | Iron | Vitamin C | Phytate |
|---|---|---|---|---|---|
| Mean dietary estimates | Ratio | mg | mg | mg | |
| Q4 | <2.9 | <9.9 | <45 | <343.9 | |
| Q3 | 2.9–4.2 | 9.9–13.3 | 45–62.2 | 343.9–456.7 | |
| Q2 | 4.2–7.1 | 13.3–16.3 | 62.2–99.1 | 456.7–629.7 | |
| Q1 | >7.1 | >16.3 | >99.1 | >629.7 | |
| Food pattern modeling | * Nutrient density | ||||
| Q4 | <0.35 | <0.47 | <0.03 | <0.11 | |
| Q3 | 0.35–0.42 | 0.47–0.55 | 0.03–0.07 | 0.11–0.2 | |
| Q2 | 0.42–0.47 | 0.55–0.60 | 0.07–0.14 | 0.2–0.25 | |
| Q1 | >0.47 | >0.6 | >0.14 | >0.25 | |
| Outcome | Variable | Method | Sensitivity | Specificity | PPV | NPV | P Sensitivity | P Specificity |
|---|---|---|---|---|---|---|---|---|
| Hemoglobin | Iron | MIE | 27.6 | 62.6 | 44.3 | 44.5 | 0.7 | 0.06 |
| FPM | 33.9 | 69.3 | 51.9 | 51.8 | ||||
| Ascorbic acid | MIE | 32.0 | 67.4 | 51.4 | 47.9 | 0.65 | 0.96 | |
| FPM | 36.2 | 62.4 | 46.6 | 51.8 | ||||
| Phytate | MIE | 32.5 | 62.4 | 49.0 | 45.3 | 0.84 | 0.07 | |
| FPM | 36.8 | 62.3 | 45.5 | 53.5 | ||||
| Phytate: iron ratio | MIE | 33.2 | 70.5 | 55.2 | 49.1 | 0.15 | 0.06 | |
| FPM | 35.5 | 61.5 | 44.9 | 51.9 | ||||
| Ferritin | Iron | MIE | 28.1 | 50.1 | 24.9 | 54.2 | <0.0001 * | 0.001 * |
| FPM | 45.4 | 60.1 | 39.2 | 66.0 | ||||
| Ascorbic acid | MIE | 45.1 | 61.7 | 55.7 | 51.2 | 0.37 | 0.39 | |
| FPM | 43.9 | 60.3 | 51.9 | 52.4 | ||||
| Phytate | MIE | 45.9 | 62.6 | 57.0 | 51.8 | 0.09 | 0.19 | |
| FPM | 45.6 | 61.9 | 54.0 | 53.6 | ||||
| Phytate: iron ratio | MIE | 43.9 | 60.3 | 51.9 | 52.4 | 0.11 | 0.82 | |
| FPM | 47.8 | 65.0 | 60.8 | 52.4 | ||||
| Acute iron absorption | Iron | MIE | 49.0 | 68.1 | 62.3 | 55.4 | 0.0012 * | 0.0063 * |
| FPM | 42.9 | 61.3 | 51.9 | 52.4 | ||||
| Ascorbic acid | MIE | 43.5 | 62.3 | 55.4 | 50.6 | 0.008 * | 0.03 * | |
| FPM | 38.9 | 57.5 | 47.2 | 49.1 | ||||
| Phytate | MIE | 39.8 | 59.7 | 50.6 | 48.8 | 0.88 | 0.4 | |
| FPM | 40.0 | 58.5 | 48.5 | 50.0 | ||||
| Phytate: iron ratio | MIE | 38.9 | 57.1 | 50.6 | 45.2 | <0.001 * | 0.005 * | |
| FPM | 44.6 | 63.1 | 54.1 | 53.9 | ii |
© 2020 by the authors. Licensee MDPI, Basel, Switzerland. This article is an open access article distributed under the terms and conditions of the Creative Commons Attribution (CC BY) license (http://creativecommons.org/licenses/by/4.0/).
Share and Cite
Delimont, N.; Nickel, S. Food Pattern Modeling as an Alternative Assessment Method to Multiday Dietary Recalls for Iron-Related Nutrients: A Proof-of-Concept Study. Nutrients 2020, 12, 1911. https://doi.org/10.3390/nu12071911
Delimont N, Nickel S. Food Pattern Modeling as an Alternative Assessment Method to Multiday Dietary Recalls for Iron-Related Nutrients: A Proof-of-Concept Study. Nutrients. 2020; 12(7):1911. https://doi.org/10.3390/nu12071911
Chicago/Turabian StyleDelimont, Nicole, and Sarah Nickel. 2020. "Food Pattern Modeling as an Alternative Assessment Method to Multiday Dietary Recalls for Iron-Related Nutrients: A Proof-of-Concept Study" Nutrients 12, no. 7: 1911. https://doi.org/10.3390/nu12071911
APA StyleDelimont, N., & Nickel, S. (2020). Food Pattern Modeling as an Alternative Assessment Method to Multiday Dietary Recalls for Iron-Related Nutrients: A Proof-of-Concept Study. Nutrients, 12(7), 1911. https://doi.org/10.3390/nu12071911

