Effects of Shift Work on the Eating Behavior of Police Officers on Patrol
Abstract
1. Introduction
2. Materials and Methods
2.1. Participants
Ethics
2.2. Study Procedures
2.3. Processing of Photographs of Meals and Beverages for Nutritional Content
2.4. Shift Verification and Classification
2.5. Sleep–Wake Assessments
2.6. Statistical Analyses
2.6.1. Total and Macronutrient Caloric Intake
2.6.2. Timing and Spread of Meals
2.6.3. Effects of Day Type, Time-of-Day and Time Awake
3. Results
3.1. Participants
3.2. Work Days and Rest Days
3.3. Sleep–Wake Comparisons
3.4. Description of Meal Intakes
3.5. Total Caloric and Macronutrient Intake as a percentage of Basal Metabolic Rate
3.6. Timing and Dispersion of Meals
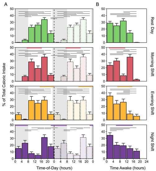
3.7. Caloric and Macronutrient Intake by Time-of-Day and Time Awake
3.8. Calories and Composition of Macronutrients Overall, at Night, and at Work
4. Discussion
4.1. Sleep and Work Factors in Meal Consumption
4.2. Meal Frequency, Quantity and Macronutrient Composition
4.3. Total Caloric and Macronutrient Intake at Night and at Work
4.4. Strengths, Limitations, and Future Directions
5. Conclusions
Supplementary Materials
Author Contributions
Funding
Acknowledgments
Conflicts of Interest
References
- Alterman, T.; Luckhaupt, S.E.; Dahlhamer, J.M.; Ward, B.W.; Calvert, G.M. Prevalence rates of work organization characteristics among workers in the U.S.: Data from the 2010 National Health Interview Survey. Am. J. Ind. Med. 2013, 56, 647–659. [Google Scholar] [CrossRef] [PubMed]
- Australian Bureau of Statistics. Working Time Arrangements, Australia, November 2012 (Catalogue no. 6342.0). Available online: https://www.abs.gov.au (accessed on 16 October 2019).
- Eurofound. Sixth European Working Conditions Survey—Overview Report; Publications Office of the European Union: Luxembourg, 2017. [Google Scholar] [CrossRef]
- Williams, C. Work-life balance in shift workers. Perspect. Labour Income 2008, 9, 5–16. [Google Scholar]
- Kubo, T. Estimate of the Number of Night Shift Workers in Japan. J. UOEH 2014, 36, 273–276. [Google Scholar] [CrossRef] [PubMed]
- Kecklund, G.; Axelsson, J. Health consequences of shift work and insufficient sleep. BMJ 2016, 355, i5210. [Google Scholar] [CrossRef]
- Karlsson, B.; Knutsson, A.; Lindahl, B. Is there an association between shift work and having a metabolic syndrome? Results from a population based study of 27 485 people. Occup. Environ. Med. 2001, 58, 747–752. [Google Scholar] [CrossRef]
- Kervezee, L.; Kosmadopoulos, A.; Boivin, D.B. Metabolic and cardiovascular consequences of shift work: The role of circadian disruption and sleep disturbances. Eur. J. Neurosci. 2020, 51, 396–412. [Google Scholar] [CrossRef]
- Mason, I.C.; Qian, J.; Adler, G.K.; Scheer, F.A.J.L. Impact of circadian disruption on glucose metabolism: Implications for type 2 diabetes. Diabetologia 2020, 63, 462–472. [Google Scholar] [CrossRef]
- Chellappa, S.L.; Vujovic, N.; Williams, J.S.; Scheer, F.A.J.L. Impact of Circadian Disruption on Cardiovascular Function and Disease. Trends Endocrinol. Metab. 2019, 30, 767–779. [Google Scholar] [CrossRef]
- Sun, M.; Feng, W.; Wang, F.; Li, P.; Li, Z.; Li, M.; Tse, G.; Vlaanderen, J.; Vermeulen, R.; Tse, L.A. Meta-analysis on shift work and risks of specific obesity types. Obes. Rev. 2018, 19, 28–40. [Google Scholar] [CrossRef]
- Manohar, S.; Thongprayoon, C.; Cheungpasitporn, W.; Mao, M.A.; Herrmann, S.M. Associations of rotational shift work and night shift status with hypertension: A systematic review and meta-analysis. J. Hypertens. 2017, 35, 1929–1937. [Google Scholar] [CrossRef]
- Gan, Y.; Yang, C.; Tong, X.; Sun, H.; Cong, Y.; Yin, X.; Li, L.; Cao, S.; Dong, X.; Gong, Y.; et al. Shift work and diabetes mellitus: A meta-analysis of observational studies. Occup. Environ. Med. 2015, 72, 72–78. [Google Scholar] [CrossRef] [PubMed]
- Torquati, L.; Mielke, G.I.; Brown, W.J.; Kolbe-Alexander, T. Shift work and the risk of cardiovascular disease. A systematic review and meta-analysis including dose-response relationship. Scand. J. Work Environ. Health 2018, 44, 229–238. [Google Scholar] [CrossRef] [PubMed]
- Banks, S.; Dorrian, J.; Grant, C.; Coates, A. Circadian Misalignment and Metabolic Consequences: Shiftwork and Altered Meal Times. In Modulation of Sleep by Obesity, Diabetes, Age, and Diet; Academic Press: San Diego, CA, USA, 2015; pp. 155–164. [Google Scholar]
- McHill, A.W.; Wright, K.P., Jr. Role of sleep and circadian disruption on energy expenditure and in metabolic predisposition to human obesity and metabolic disease. Obes. Rev. 2017, 18, 15–24. [Google Scholar] [CrossRef] [PubMed]
- Lowden, A.; Moreno, C.; Holmbäck, U.; Lennernäs, M.; Tucker, P. Eating and Shift Work—Effects on Habits, Metabolism, and Performance. Scand. J. Work Environ. Health 2010, 36, 150–162. [Google Scholar] [CrossRef] [PubMed]
- Sletten, T.L.; Cappuccio, F.P.; Davidson, A.J.; Van Cauter, E.; Rajaratnam, S.M.W.; Scheer, F.A.J.L. Health consequences of circadian disruption. Sleep 2020, 43. [Google Scholar] [CrossRef]
- Wehrens, S.M.; Hampton, S.M.; Finn, R.E.; Skene, D.J. Effect of total sleep deprivation on postprandial metabolic and insulin responses in shift workers and non-shift workers. J. Endocrinol. 2010, 206, 205–215. [Google Scholar] [CrossRef]
- Spiegel, K.; Leproult, R.; Van Cauter, E. Impact of sleep debt on metabolic and endocrine function. Lancet 1999, 354, 1435–1439. [Google Scholar] [CrossRef]
- Spiegel, K.; Tasali, E.; Penev, P.D.; Van Cauter, E. Sleep curtailment in healthy young men is associated with decreased leptin levels, elevated ghrelin levels, and increased hunger and appetite. Ann. Intern. Med. 2004, 141, 846–850. [Google Scholar] [CrossRef]
- McHill, A.W.; Melanson, E.L.; Higgins, J.; Connick, E.; Moehlman, T.M.; Stothard, E.R.; Wright, K.P., Jr. Impact of circadian misalignment on energy metabolism during simulated nightshift work. Proc. Natl. Acad. Sci. USA 2014, 111, 17302–17307. [Google Scholar] [CrossRef]
- Grant, C.L.; Coates, A.; Dorrian, J.; Kennaway, D.J.; Wittert, G.A.; Heilbronn, L.K.; Pajcin, M.; Della Vedova, C.; Gupta, C.C.; Banks, S. Timing of food intake during simulated night shift impacts glucose metabolism: A controlled study. Chronobiol. Int. 2017, 34, 1003–1013. [Google Scholar] [CrossRef]
- Qian, J.; Morris, C.J.; Caputo, R.; Garaulet, M.; Scheer, F.A.J.L. Ghrelin is impacted by the endogenous circadian system and by circadian misalignment in humans. Int. J. Obes. 2019, 43, 1644–1649. [Google Scholar] [CrossRef] [PubMed]
- Qian, J.; Morris, C.J.; Caputo, R.; Wang, W.; Garaulet, M.; Scheer, F.A.J.L. Sex differences in the circadian misalignment effects on energy regulation. Proc. Natl. Acad. Sci. USA 2019, 116, 23806–23812. [Google Scholar] [CrossRef] [PubMed]
- Stenvers, D.J.; Scheer, F.A.J.L.; Schrauwen, P.; la Fleur, S.E.; Kalsbeek, A. Circadian clocks and insulin resistance. Nat. Rev. Endocrinol. 2019, 15, 75–89. [Google Scholar] [CrossRef] [PubMed]
- Dashti, H.S.; Scheer, F.A.J.L.; Saxena, R.; Garaulet, M. Timing of Food Intake: Identifying Contributing Factors to Design Effective Interventions. Adv. Nutr. 2019, 10, 606–620. [Google Scholar] [CrossRef] [PubMed]
- Mattson, M.P.; Allison, D.B.; Fontana, L.; Harvie, M.; Longo, V.D.; Malaisse, W.J.; Mosley, M.; Notterpek, L.; Ravussin, E.; Scheer, F.A.J.L.; et al. Meal frequency and timing in health and disease. Proc. Natl. Acad. Sci. USA 2014, 111, 16647–16653. [Google Scholar] [CrossRef] [PubMed]
- Wehrens, S.M.T.; Christou, S.; Isherwood, C.; Middleton, B.; Gibbs, M.A.; Archer, S.N.; Skene, D.J.; Johnston, J.D. Meal Timing Regulates the Human Circadian System. Curr. Biol. 2017, 27, 1768–1775.e1763. [Google Scholar] [CrossRef] [PubMed]
- Xiao, Q.; Garaulet, M.; Scheer, F.A.J.L. Meal timing and obesity: Interactions with macronutrient intake and chronotype. Int. J. Obes. 2019, 43, 1701–1711. [Google Scholar] [CrossRef]
- Gupta, C.C.; Coates, A.M.; Dorrian, J.; Banks, S. The factors influencing the eating behaviour of shiftworkers: What, when, where and why. Ind. Health 2019, 57, 419–453. [Google Scholar] [CrossRef]
- Lennernäs, M.; Abrahamsson, L.; Hambraeus, L.; Åkerstedt, T. Nutrition and 3-shift work. The 24-hour intake of energy and nutrients. Ecol. Food Nutr. 1994, 32, 157–165. [Google Scholar] [CrossRef]
- Cayanan, E.A.; Eyre, N.A.B.; Lao, V.; Comas, M.; Hoyos, C.M.; Marshall, N.S.; Phillips, C.L.; Shiao, J.S.C.; Guo, Y.L.; Gordon, C.J. Is 24-hour energy intake greater during night shift compared to non-night shift patterns? A systematic review. Chronobiol. Int. 2019, 36, 1599–1612. [Google Scholar] [CrossRef]
- Reinberg, A.; Migraine, C.; Apfelbaum, M.; Brigant, L.; Ghata, J.; Vieux, N.; Laporte, A. Circadian and ultradian rhythms in the feeding behaviour and nutrient intakes of oil refinery operators with shift-work every 3–4 days. Diabete Metab. 1979, 5, 33–41. [Google Scholar] [PubMed]
- Lauren, S.; Chen, Y.; Friel, C.; Chang, B.P.; Shechter, A. Free-Living Sleep, Food Intake, and Physical Activity in Night and Morning Shift Workers. J. Am. Coll. Nutr. 2019, 1–7. [Google Scholar] [CrossRef] [PubMed]
- Bonham, M.P.; Bonnell, E.K.; Huggins, C.E. Energy intake of shift workers compared to fixed day workers: A systematic review and meta-analysis. Chronobiol. Int. 2016, 33, 1086–1100. [Google Scholar] [CrossRef] [PubMed]
- De Assis, M.A.A.; Kupek, E.; Nahas, M.V.c.; Bellisle, F. Food intake and circadian rhythms in shift workers with a high workload. Appetite 2003, 40, 175–183. [Google Scholar] [CrossRef]
- Esquirol, Y.; Bongard, V.; Mabile, L.; Jonnier, B.; Soulat, J.M.; Perret, B. Shift work and metabolic syndrome: Respective impacts of job strain, physical activity, and dietary rhythms. Chronobiol. Int. 2009, 26, 544–559. [Google Scholar] [CrossRef]
- Shaw, E.; Dorrian, J.; Coates, A.M.; Leung, G.K.W.; Davis, R.; Rosbotham, E.; Warnock, R.; Huggins, C.E.; Bonham, M.P. Temporal pattern of eating in night shift workers. Chronobiol. Int. 2019, 36, 1613–1625. [Google Scholar] [CrossRef]
- Heath, G.; Dorrian, J.; Coates, A. Associations between shift type, sleep, mood, and diet in a group of shift working nurses. Scand. J. Work Environ. Health 2019, 45, 402–412. [Google Scholar] [CrossRef]
- Chen, Y.; Lauren, S.; Chang, B.P.; Shechter, A. Objective Food Intake in Night and Day Shift Workers: A Laboratory Study. Clocks Sleep 2018, 1, 5. [Google Scholar] [CrossRef]
- Dorrian, J.; Heath, G.; Sargent, C.; Banks, S.; Coates, A. Alcohol use in shiftworkers. Accid. Anal. Prev. 2017, 99, 395–400. [Google Scholar] [CrossRef]
- Heath, G.; Roach, G.D.; Dorrian, J.; Ferguson, S.A.; Darwent, D.; Sargent, C. The effect of sleep restriction on snacking behaviour during a week of simulated shiftwork. Accid. Anal. Prev. 2012, 45S, 62–67. [Google Scholar] [CrossRef]
- Centofanti, S.; Dorrian, J.; Hilditch, C.; Grant, C.; Coates, A.; Banks, S. Eating on nightshift: A big vs small snack impairs glucose response to breakfast. Neurobiol. Sleep Circadian Rhythm. 2018, 4, 44–48. [Google Scholar] [CrossRef] [PubMed]
- Reid, K.J.; Baron, K.G.; Zee, P.C. Meal timing influences daily caloric intake in healthy adults. Nutr. Res. 2014, 34, 930–935. [Google Scholar] [CrossRef] [PubMed]
- Hermenegildo, Y.; Lopez-Garcia, E.; Garcia-Esquinas, E.; Perez-Tasigchana, R.F.; Rodriguez-Artalejo, F.; Guallar-Castillon, P. Distribution of energy intake throughout the day and weight gain: A population-based cohort study in Spain. Br. J. Nutr. 2016, 115, 2003–2010. [Google Scholar] [CrossRef] [PubMed]
- Garaulet, M.; Gomez-Abellan, P.; Alburquerque-Bejar, J.J.; Lee, Y.C.; Ordovas, J.M.; Scheer, F.A.J.L. Timing of food intake predicts weight loss effectiveness. Int. J. Obes. 2013, 37, 604–611. [Google Scholar] [CrossRef] [PubMed]
- Ruiz-Lozano, T.; Vidal, J.; de Hollanda, A.; Scheer, F.A.J.L.; Garaulet, M.; Izquierdo-Pulido, M. Timing of food intake is associated with weight loss evolution in severe obese patients after bariatric surgery. Clin. Nutr. 2016, 35, 1308–1314. [Google Scholar] [CrossRef]
- Lopez-Minguez, J.; Saxena, R.; Bandín, C.; Scheer, F.A.; Garaulet, M. Late dinner impairs glucose tolerance in MTNR1B risk allele carriers: A randomized, cross-over study. Clin. Nutr. 2018, 37, 1133–1140. [Google Scholar] [CrossRef]
- Skene, D.J.; Skornyakov, E.; Chowdhury, N.R.; Gajula, R.P.; Middleton, B.; Satterfield, B.C.; Porter, K.I.; Van Dongen, H.P.A.; Gaddameedhi, S. Separation of circadian- and behavior-driven metabolite rhythms in humans provides a window on peripheral oscillators and metabolism. Proc. Natl. Acad. Sci. USA 2018, 115, 7825–7830. [Google Scholar] [CrossRef]
- Kervezee, L.; Cermakian, N.; Boivin, D.B. Individual metabolomic signatures of circadian misalignment during simulated night shifts in humans. PLoS Biol. 2019, 17, e3000303. [Google Scholar] [CrossRef]
- Gill, S.; Panda, S. A smartphone app reveals erratic diurnal eating patterns in humans that can be modulated for health benefits. Cell Metab. 2015, 22, 789–798. [Google Scholar] [CrossRef]
- Gupta, N.J.; Kumar, V.; Panda, S. A camera-phone based study reveals erratic eating pattern and disrupted daily eating-fasting cycle among adults in India. PLoS ONE 2017, 12, e0172852. [Google Scholar] [CrossRef]
- Wilkinson, M.J.; Manoogian, E.N.C.; Zadourian, A.; Lo, H.; Fakhouri, S.; Shoghi, A.; Wang, X.; Fleischer, J.G.; Navlakha, S.; Panda, S.; et al. Ten-hour time-restricted eating reduces weight, blood pressure, and atherogenic lipids in patients with metabolic syndrome. Cell Metab. 2020, 31, 92–104. [Google Scholar] [CrossRef] [PubMed]
- McHill, A.W.; Phillips, A.J.K.; Czeisler, C.A.; Keating, L.; Yee, K.; Barger, L.K.; Garaulet, M.; Scheer, F.A.J.L.; Klerman, E.B. Later circadian timing of food intake is associated with increased body fat. Am. J. Clin. Nutr. 2017, 106, 1213–1219. [Google Scholar] [CrossRef] [PubMed]
- McHill, A.W.; Czeisler, C.A.; Phillips, A.J.K.; Keating, L.; Barger, L.K.; Garaulet, M.; Scheer, F.A.J.L.; Klerman, E.B. Caloric and macronutrient intake differ with circadian phase and between lean and overweight young adults. Nutrients 2019, 11, 587. [Google Scholar] [CrossRef] [PubMed]
- Rajaratnam, S.M.W.; Barger, L.K.; Lockley, S.W.; Shea, S.A.; Wang, W.; Landrigan, C.P.; O’Brien, C.S.; Qadri, S.; Sullivan, J.P.; Cade, B.E.; et al. Sleep disorders, health, and safety in police officers. JAMA 2011, 306, 2567–2578. [Google Scholar] [CrossRef]
- Elliott, J.L.; Lal, S. Blood Pressure, Sleep Quality and Fatigue in Shift Working Police Officers: Effects of a Twelve Hour Roster System on Cardiovascular and Sleep Health. Int. J. Environ. Res. Public Health 2016, 13, 172. [Google Scholar] [CrossRef] [PubMed]
- Mifflin, M.D.; St Jeor, S.T.; Hill, L.A.; Scott, B.J.; Daugherty, S.A.; Koh, Y.O. A new predictive equation for resting energy expenditure in healthy individuals. Am. J. Clin. Nutr. 1990, 51, 241–247. [Google Scholar] [CrossRef] [PubMed]
- Feskanich, D.; Sielaff, B.H.; Chong, K.; Buzzard, I.M. Computerized collection and analysis of dietary intake information. Comput. Methods Programs Biomed. 1989, 30, 47–57. [Google Scholar] [CrossRef]
- Patel, S.R.; Weng, J.; Rueschman, M.; Dudley, K.A.; Loredo, J.S.; Mossavar-Rahmani, Y.; Ramirez, M.; Ramos, A.R.; Reid, K.; Seiger, A.N.; et al. Reproducibility of a Standardized Actigraphy Scoring Algorithm for Sleep in a US Hispanic/Latino Population. Sleep 2015, 38, 1497–1503. [Google Scholar] [CrossRef]
- Oakley, N.R. Validation with Polysomnography of the Sleepwatch Sleep/Wake Scoring Algorithm Used by the Actiwatch Activity Monitoring System (Technical Report); Mini Mitter, Cambridge Neurotechnology: Bend, OR, USA, 1997. [Google Scholar]
- Kosmadopoulos, A.; Sargent, C.; Darwent, D.; Zhou, X.; Roach, G.D. Alternatives to polysomnography (PSG): A validation of wrist actigraphy and a partial-PSG system. Behav. Res. Methods 2014, 46, 1032–1041. [Google Scholar] [CrossRef]
- R Core Team. R: A Language and Environment for Statistical Computing; R Foundation for Statistical Computing: Vienna, Austria, 2019. [Google Scholar]
- Wickham, H. ggplot2: Elegant Graphics for Data Analysis; Springer: Berlin/Heidelberg, Germany, 2016. [Google Scholar]
- Clarke, E.; Sherrill-Mix, S. ggbeeswarm: Categorical Scatter (Violin Point) Plots. R package, version 0.6.0.; 2017. Available online: https://rdrr.io/cran/ggbeeswarm/ (accessed on 3 April 2020).
- Agostinelli, C.; Lund, U. R package ‘circular’: Circular Statistics, version 0.4-93; 2017. Available online: https://rdrr.io/rforge/circular/ (accessed on 3 April 2020).
- Bates, D.; Maechler, M.; Bolker, B.; Walker, S. Fitting linear mixed-effects models using lme4. J. Stat. Softw. 2015, 67, 1–48. [Google Scholar] [CrossRef]
- Kuznetsova, A.; Brockhoff, P.B.; Christensen, R.H.B. Package ‘lmerTest’. R Package Version. 2015, Volume 2. Available online: https://cran.r-project.org/web/packages/lmerTest/lmerTest.pdf (accessed on 3 April 2020).
- Lenth, R. Emmeans: Estimated Marginal Means, aka Least-Squares Means, version 1.3.5.; 2019. Available online: https://rdrr.io/cran/emmeans/ (accessed on 3 April 2020).
- Benjamini, Y.; Hochberg, Y. Controlling the False Discovery Rate—A Practical and Powerful Approach to Multiple Testing. J. R. Stat. Soc. Ser. B. (Stat. Method.) 1995, 57, 289–300. [Google Scholar] [CrossRef]
- Juda, M.; Vetter, C.; Roenneberg, T. The Munich ChronoType Questionnaire for Shift-Workers (MCTQShift). J. Biol. Rhythm. 2013, 28, 130–140. [Google Scholar] [CrossRef]
- Spaeth, A.M.; Dinges, D.F.; Goel, N. Effects of Experimental Sleep Restriction on Weight Gain, Caloric Intake, and Meal Timing in Healthy Adults. Sleep 2013, 36, 981–990. [Google Scholar] [CrossRef]
- Chaix, A.; Zarrinpar, A.; Miu, P.; Panda, S. Time-Restricted Feeding Is a Preventative and Therapeutic Intervention against Diverse Nutritional Challenges. Cell Metab. 2014, 20, 991–1005. [Google Scholar] [CrossRef] [PubMed]
- Longo, V.D.; Panda, S. Fasting, Circadian Rhythms, and Time-Restricted Feeding in Healthy Lifespan. Cell Metab. 2016, 23, 1048–1059. [Google Scholar] [CrossRef]
- Farshchi, H.R.; Taylor, M.A.; Macdonald, I.A. Regular meal frequency creates more appropriate insulin sensitivity and lipid profiles compared with irregular meal frequency in healthy lean women. Eur. J. Clin. Nutr. 2004, 58, 1071–1077. [Google Scholar] [CrossRef]
- Farshchi, H.R.; Taylor, M.A.; Macdonald, I.A. Beneficial metabolic effects of regular meal frequency on dietary thermogenesis, insulin sensitivity, and fasting lipid profiles in healthy obese women. Am. J. Clin. Nutr. 2005, 81, 16–24. [Google Scholar] [CrossRef]
- Institute of Medicine. Dietary Reference Intakes: The Essential Guide to Nutrient Requirements; Meyers, L.D., Hellwig, J.P., Otten, J.J., Eds.; National Academy Press: Washington, DC, USA, 2006. [Google Scholar]
- Heath, G.; Coates, A.; Sargent, C.; Dorrian, J. Sleep Duration and Chronic Fatigue Are Differently Associated with the Dietary Profile of Shift Workers. Nutrients 2016, 8, 771. [Google Scholar] [CrossRef] [PubMed]
- Scheer, F.A.J.L.; Morris, C.J.; Shea, S.A. The internal circadian clock increases hunger and appetite in the evening independent of food intake and other behaviors. Obesity 2013, 21, 421–423. [Google Scholar] [CrossRef]
- Sargent, C.; Zhou, X.; Matthews, R.W.; Darwent, D.; Roach, G.D. Daily Rhythms of Hunger and Satiety in Healthy Men during One Week of Sleep Restriction and Circadian Misalignment. Int. J. Environ. Res. Public Health 2016, 13, 170. [Google Scholar] [CrossRef]
- Smith, P.; Fritschi, L.; Reid, A.; Mustard, C. The relationship between shift work and body mass index among Canadian nurses. Appl. Nurs. Res. 2013, 26, 24–31. [Google Scholar] [CrossRef] [PubMed]
- Ferri, P.; Guadi, M.; Marcheselli, L.; Balduzzi, S.; Magnani, D.; Di Lorenzo, R. The impact of shift work on the psychological and physical health of nurses in a general hospital: A comparison between rotating night shifts and day shifts. Risk Manag. Healthc. Policy 2016, 9, 203–211. [Google Scholar] [CrossRef] [PubMed]
- Phiri, L.P.; Draper, C.E.; Lambert, E.V.; Kolbe-Alexander, T.L. Nurses’ lifestyle behaviours, health priorities and barriers to living a healthy lifestyle: A qualitative descriptive study. BMC Nurs. 2014, 13, 38. [Google Scholar] [CrossRef] [PubMed]
- Rogers, A.E.; Hwang, W.-T.; Scott, L.D. The Effects of Work Breaks on Staff Nurse Performance. J. Nurs. Adm. JONA 2004, 34, 512–519. [Google Scholar] [CrossRef] [PubMed]
- Li, C.; Ford, E.S.; Zhao, G.; Kahn, H.S.; Mokdad, A.H. Waist-to-thigh ratio and diabetes among US adults: The Third National Health and Nutrition Examination Survey. Diabetes Res. Clin. Pract. 2010, 89, 79–87. [Google Scholar] [CrossRef] [PubMed]
- Lu, B.; Zhou, J.; Waring, M.E.; Parker, D.R.; Eaton, C.B. Abdominal obesity and peripheral vascular disease in men and women: A comparison of waist-to-thigh ratio and waist circumference as measures of abdominal obesity. Atherosclerosis 2010, 208, 253–257. [Google Scholar] [CrossRef]




| Total (n = 31) | Male (n = 25) | Female (n = 6) | Welch’s T-test 1 | |||||
|---|---|---|---|---|---|---|---|---|
| Characteristic | M | SD | M | SD | M | SD | t (29) | P |
| Age (years) | 32.1 | 5.4 | 32.2 | 5.7 | 32.0 | 4.0 | 0.10 | 0.921 |
| BMI (kg/m2) | 25.0 | 2.3 | 25.3 | 2.2 | 23.6 | 2.1 | 1.79 | 0.260 |
| WTR | 1.68 | 0.19 | 1.69 | 0.19 | 1.66 | 0.21 | 0.32 | 0.887 |
| WHR | 0.898 | 0.073 | 0.911 | 0.069 | 0.846 | 0.071 | 2.01 | 0.286 |
| BMR (kcal) | 1706 | 197 | 1782 | 121 | 1388 | 109 | 7.77 | <0.001 |
| MSF (hh:mm) | 03:02 | 01:20 | 02:56 | 01:19 | 03:26 | 01:29 | 0.71 | 0.709 |
| Seniority (years) | 8.6 | 4.7 | 8.9 | 5.0 | 7.3 | 3.4 | 0.97 | 0.617 |
| Rest Day (n = 28) | Morning Shift (n = 21) | Evening Shift (n = 17) | Night Shift (n = 24) | Effect of Day Type 3 | ||||||
|---|---|---|---|---|---|---|---|---|---|---|
| M | SD | M | SD | M | SD | M | SD | F (df) | p | |
| 24-h BMR (kcal) 1 | 1708 | 191 | 1734 | 210 | 1717 | 229 | 1679 | 205 | 0.81 (3,84) | 0.491 |
| Meal count (n) | 7.5 M,E,N | 2.2 | 6.3 R,E,N | 2.1 | 5.0 R,M,N | 1.4 | 5.9 R,M,E | 1.7 | 11.91 (3,58) | <0.001 |
| Total Intake (%) 2 | 183.5 E,N | 52.8 | 170.5 E | 51.4 | 129.6 R,M | 46.4 | 142.7 R | 41.6 | 7.90 (3,61) | 0.001 |
| Carbohydrate (%) | 77.0 | 28.1 | 74.5 | 25.8 | 59.6 | 26.8 | 65.4 | 26.4 | 2.95 (3,59) | 0.064 |
| Sugars (%) | 29.2 | 14.5 | 32.4 | 14.1 | 25.8 | 12.9 | 26.6 | 13.7 | 1.09 (3,61) | 0.411 |
| Total Fat (%) | 67.4 E,N | 26.9 | 62.8 E | 25.9 | 45.2 R,M | 19.3 | 50.2 R | 18.8 | 5.67 (3,63) | 0.004 |
| Saturated Fat (%) | 23.4 E,N | 12.4 | 20.0 | 9.9 | 15.2 R | 7.9 | 16.6 R | 7.6 | 4.85 (3,63) | 0.008 |
| Total Protein (%) | 30.4 | 11.1 | 28.2 | 9.0 | 23.7 | 8.2 | 26.8 | 9.5 | 2.02 (3,60) | 0.161 |
| Rest Day (n = 28) | Morning Shift (n = 21) | Evening Shift (n = 17) | Night Shift (n = 24) | Effect of Day Type 4 | ||||||
|---|---|---|---|---|---|---|---|---|---|---|
| Nutrient Intake | M | SD | M | SD | M | SD | M | SD | F (df) | p |
| Overall1 | ||||||||||
| Total Carbohydrate (%) | 42.2 | 9.8 | 44.5 | 10.2 | 45.2 | 10.1 | 45.2 | 10.5 | 0.52 (3,58) | 0.986 |
| All Sugars (%) | 15.8 | 6.2 | 19.1 | 5.9 | 20.1 | 8.2 | 18.5 | 8.1 | 1.41 (3,57) | 0.620 |
| Total Fat (%) | 36.1 | 7.2 | 36.1 | 9.2 | 35.0 | 9.8 | 35.3 | 8.4 | 0.05 (3,63) | 0.986 |
| Saturated Fat (%) | 12.2 | 3.7 | 11.4 | 4.0 | 11.8 | 4.2 | 11.6 | 3.8 | 0.26 (3,65) | 0.986 |
| Total Protein (%) | 17.0 | 5.5 | 17.1 | 4.0 | 19.0 | 6.0 | 19.2 | 5.8 | 2.04 (3,59) | 0.591 |
| At Night2 | ||||||||||
| Total Intake (%) | 2.2 E,N | 7.4 | 1.2 E,N | 3.0 | 9.7 R,M,N | 11.8 | 30.3 R,M,E | 16.7 | 35.70 (3,84) | <0.001 |
| Total Carbohydrate (%) | 1.3 N | 4.7 | 0.4 N | 1.6 | 4.5 N | 5.4 | 13.5 R,M,E | 8.7 | 24.54 (3,84) | <0.001 |
| All Sugars (%) | 0.8 N | 2.8 | 0.3 N | 1.2 | 1.6 N | 2.9 | 5.8 R,M,E | 4.6 | 14.47 (3,84) | <0.001 |
| Total Fat (%) | 0.7 E,N | 2.1 | 0.6 E,N | 1.8 | 3.3 R,M,N | 4.9 | 10.7 R,M,E | 6.9 | 28.41 (3,84) | <0.001 |
| Saturated Fat (%) | 0.1 E,N | 0.4 | 0.1 E,N | 0.4 | 1.2 R,M,N | 1.9 | 3.1 R,M,E | 2.2 | 22.71 (3,68) | <0.001 |
| Total Protein (%) | 0.2 N | 0.7 | 0.2N | 0.6 | 1.2 N | 1.6 | 6.0 R,M,E | 4.0 | 38.26 (3,62) | <0.001 |
| At Work3 | ||||||||||
| Total Intake (%) | - | - | 52.5 | 14.3 | 39.0 | 19.7 | 43.4 | 17.4 | 4.07 (2,42) | 0.083 |
| Total Carbohydrate (%) | - | - | 24.2 | 7.8 | 15.8 | 8.7 | 19.9 | 9.9 | 3.86 (2,43) | 0.083 |
| All Sugars (%) | - | - | 9.9 | 4.3 | 7.5 | 5.3 | 8.6 | 6.0 | 1.20 (2,36) | 0.377 |
| Total Fat (%) | - | - | 19.5 | 6.8 | 14.9 | 11.7 | 15.3 | 7.7 | 3.47 (2,38) | 0.083 |
| Saturated Fat (%) | - | - | 6.1 | 2.5 | 4.6 | 4.0 | 4.7 | 3.1 | 2.10 (2,41) | 0.204 |
| Total Protein (%) | - | - | 8.8 | 3.4 | 7.9 | 5.1 | 8.2 | 4.0 | 0.56 (2,34) | 0.576 |
© 2020 by the authors. Licensee MDPI, Basel, Switzerland. This article is an open access article distributed under the terms and conditions of the Creative Commons Attribution (CC BY) license (http://creativecommons.org/licenses/by/4.0/).
Share and Cite
Kosmadopoulos, A.; Kervezee, L.; Boudreau, P.; Gonzales-Aste, F.; Vujovic, N.; Scheer, F.A.J.L.; Boivin, D.B. Effects of Shift Work on the Eating Behavior of Police Officers on Patrol. Nutrients 2020, 12, 999. https://doi.org/10.3390/nu12040999
Kosmadopoulos A, Kervezee L, Boudreau P, Gonzales-Aste F, Vujovic N, Scheer FAJL, Boivin DB. Effects of Shift Work on the Eating Behavior of Police Officers on Patrol. Nutrients. 2020; 12(4):999. https://doi.org/10.3390/nu12040999
Chicago/Turabian StyleKosmadopoulos, Anastasi, Laura Kervezee, Philippe Boudreau, Fernando Gonzales-Aste, Nina Vujovic, Frank A. J. L. Scheer, and Diane B. Boivin. 2020. "Effects of Shift Work on the Eating Behavior of Police Officers on Patrol" Nutrients 12, no. 4: 999. https://doi.org/10.3390/nu12040999
APA StyleKosmadopoulos, A., Kervezee, L., Boudreau, P., Gonzales-Aste, F., Vujovic, N., Scheer, F. A. J. L., & Boivin, D. B. (2020). Effects of Shift Work on the Eating Behavior of Police Officers on Patrol. Nutrients, 12(4), 999. https://doi.org/10.3390/nu12040999

