Role of Daily Milk Volume and Period of Lactation in Nutrient Content of Human Milk: Results from a Prospective Study
Abstract
1. Introduction
2. Materials and Methods
2.1. Samples of Women’s Milk
2.2. Macronutrient and Sodium Content in Human Milk Samples
2.3. Clinical Data
2.4. Ethics
2.5. Statistical Analysis
3. Results
3.1. Population Characteristics
3.2. Relationships between Nutrients
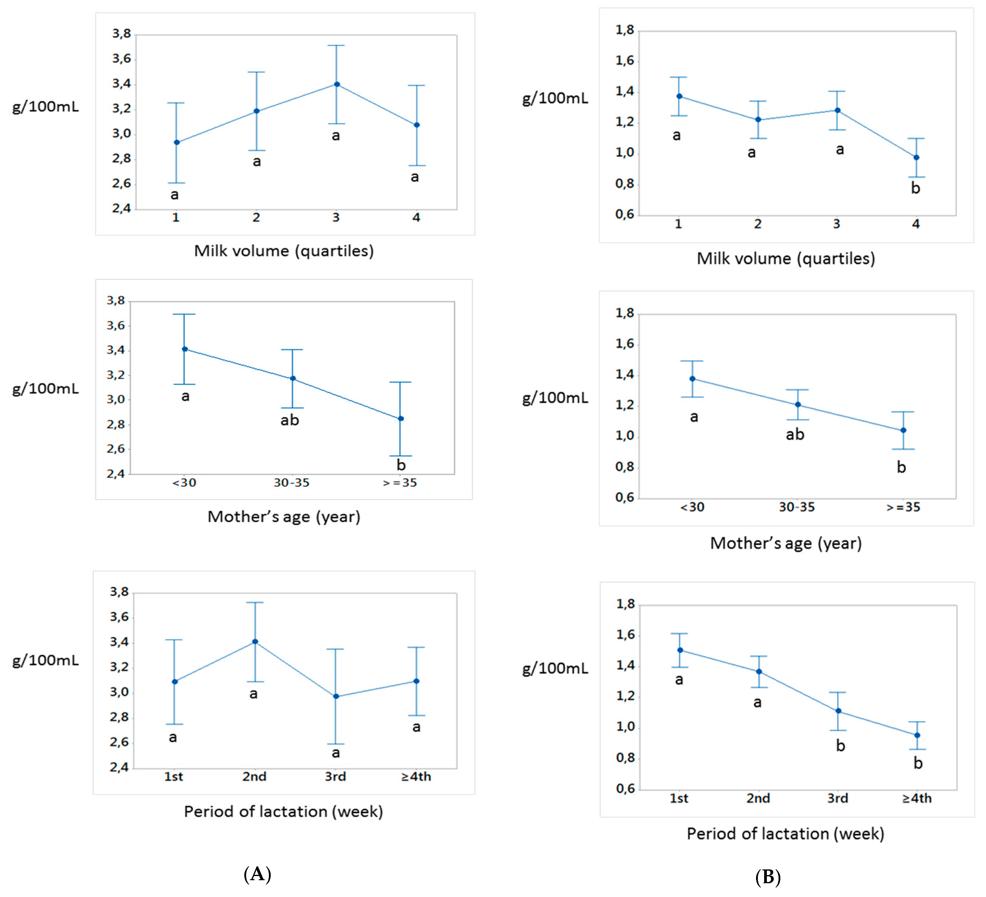
3.3. Factors Associated with Macronutrient and Sodium Content
4. Discussion
5. Conclusions
Supplementary Materials
Author Contributions
Funding
Acknowledgments
Conflicts of Interest
References
- Bzikowska-Jura, A.; Czerwonogrodzka-Senczyna, A.; Olędzka, G.; Szostak-Węgierek, D.; Weker, H.; Wesołowska, A. Maternal Nutrition and Body Composition During Breastfeeding: Association with Human Milk Composition. Nutrients 2018, 10, 1379. [Google Scholar] [CrossRef]
- Chang, N.; Jung, J.A.; Kim, H.; Jo, A.; Kang, S.; Lee, S.-W.; Yi, H.; Kim, J.; Yim, J.-G.; Jung, B.-M. Macronutrient composition of human milk from Korean mothers of full term infants born at 37–42 gestational weeks. Nutr. Res. Pract. 2015, 9, 433–438. [Google Scholar] [CrossRef] [PubMed]
- Bachour, P.; Yafawi, R.; Jaber, F.; Choueiri, E.; Abdel-Razzak, Z. Effects of smoking, mother’s age, body mass index, and parity number on lipid, protein, and secretory immunoglobulin A concentrations of human milk. Breastfeed. Med. 2012, 7, 179–188. [Google Scholar] [CrossRef]
- Koo, W.W.; Gupta, J.M. Breast milk sodium. Arch. Dis. Child. 1982, 57, 500–502. [Google Scholar] [CrossRef]
- Sebastiani, G.; Herranz Barbero, A.; Borrás-Novell, C.; Alsina Casanova, M.; Aldecoa-Bilbao, V.; Andreu-Fernández, V.; Pascual Tutusaus, M.; Ferrero Martínez, S.; Gómez Roig, M.D.; García-Algar, O. The Effects of Vegetarian and Vegan Diet during Pregnancy on the Health of Mothers and Offspring. Nutrients 2019, 11, 557. [Google Scholar] [CrossRef] [PubMed]
- Dewey, K.G.; Lönnerdal, B. Milk and nutrient intake of breast-fed infants from 1 to 6 months: relation to growth and fatness. J. Pediatr. Gastroenterol. Nutr. 1983, 2, 497–506. [Google Scholar] [CrossRef]
- Gidrewicz, D.A.; Fenton, T.R. A systematic review and meta-analysis of the nutrient content of preterm and term breast milk. BMC Pediatr. 2014, 14, 216. [Google Scholar] [CrossRef] [PubMed]
- Neville, M.C.; Allen, J.C.; Archer, P.C.; Casey, C.E.; Seacat, J.; Keller, R.P.; Lutes, V.; Rasbach, J.; Neifert, M. Studies in human lactation: milk volume and nutrient composition during weaning and lactogenesis. Am. J. Clin. Nutr. 1991, 54, 81–92. [Google Scholar] [CrossRef]
- Sabatier, M.; Garcia-Rodenas, C.L.; Castro, C.A.D.; Kastenmayer, P.; Vigo, M.; Dubascoux, S.; Andrey, D.; Nicolas, M.; Payot, J.R.; Bordier, V.; et al. Longitudinal Changes of Mineral Concentrations in Preterm and Term Human Milk from Lactating Swiss Women. Nutrients 2019, 11, 1855. [Google Scholar] [CrossRef]
- Yang, T.; Zhang, Y.; Ning, Y.; You, L.; Ma, D.; Zheng, Y.; Yang, X.; Li, W.; Wang, J.; Wang, P. Breast milk macronutrient composition and the associated factors in urban Chinese mothers. Chin. Med. J. 2014, 127, 1721–1725. [Google Scholar]
- Nommsen, L.A.; Lovelady, C.A.; Heinig, M.J.; Lönnerdal, B.; Dewey, K.G. Determinants of energy, protein, lipid, and lactose concentrations in human milk during the first 12 mo of lactation: The DARLING Study. Am. J. Clin. Nutr. 1991, 53, 457–465. [Google Scholar] [CrossRef] [PubMed]
- Verd, S.; Ginovart, G.; Calvo, J.; Ponce-Taylor, J.; Gaya, A. Variation in the Protein Composition of Human Milk during Extended Lactation: A Narrative Review. Nutrients 2018, 10, 1124. [Google Scholar] [CrossRef] [PubMed]
- De Halleux, V.; Rigo, J. Variability in human milk composition: Benefit of individualized fortification in very-low-birth-weight infants. Am. J. Clin. Nutr. 2013, 98, 529S–535S. [Google Scholar] [CrossRef] [PubMed]
- Boyce, C.; Watson, M.; Lazidis, G.; Reeve, S.; Dods, K.; Simmer, K.; McLeod, G. Preterm human milk composition: A systematic literature review. Br. J. Nutr. 2016, 116, 1033–1045. [Google Scholar] [CrossRef] [PubMed]
- Wojcik, K.Y.; Rechtman, D.J.; Lee, M.L.; Montoya, A.; Medo, E.T. Macronutrient analysis of a nationwide sample of donor breast milk. J. Am. Diet. Assoc. 2009, 109, 137–140. [Google Scholar] [CrossRef] [PubMed]
- Fusch, G.; Rochow, N.; Choi, A.; Fusch, S.; Poeschl, S.; Ubah, A.O.; Lee, S.-Y.; Raja, P.; Fusch, C. Rapid measurement of macronutrients in breast milk: How reliable are infrared milk analyzers? Clin. Nutr. 2015, 34, 465–476. [Google Scholar] [CrossRef]
- Silvestre, D.; Fraga, M.; Gormaz, M.; Torres, E.; Vento, M. Comparison of mid-infrared transmission spectroscopy with biochemical methods for the determination of macronutrients in human milk. Matern. Child Nutr. 2014, 10, 373–382. [Google Scholar] [CrossRef]
- Hair, A.B.; Blanco, C.L.; Moreira, A.G.; Hawthorne, K.M.; Lee, M.L.; Rechtman, D.J.; Abrams, S.A. Randomized trial of human milk cream as a supplement to standard fortification of an exclusive human milk-based diet in infants 750–1250 g birth weight. J. Pediatr. 2014, 165, 915–920. [Google Scholar] [CrossRef]
- Rochow, N.; Fusch, G.; Choi, A.; Chessell, L.; Elliott, L.; McDonald, K.; Kuiper, E.; Purcha, M.; Turner, S.; Chan, E.; et al. Target fortification of breast milk with fat, protein, and carbohydrates for preterm infants. J. Pediatr. 2013, 163, 1001–1007. [Google Scholar] [CrossRef]
- Michaelsen, K.F.; Skafte, L.; Badsberg, J.H.; Jørgensen, M. Variation in macronutrients in human bank milk: Influencing factors and implications for human milk banking. J. Pediatr. Gastroenterol. Nutr. 1990, 11, 229–239. [Google Scholar] [CrossRef]
- Mills, L.; Coulter, L.; Savage, E.; Modi, N. Macronutrient content of donor milk from a regional human milk bank: variation with donor mother-infant characteristics. Br. J. Nutr. 2019, 122, 1155–1167. [Google Scholar] [CrossRef] [PubMed]
- Ballard, O.; Morrow, A.L. Human milk composition: Nutrients and bioactive factors. Pediatr. Clin. N. Am. 2013, 60, 49–74. [Google Scholar] [CrossRef] [PubMed]
- Lönnerdal, B.; Erdmann, P.; Thakkar, S.K.; Sauser, J.; Destaillats, F. Longitudinal evolution of true protein, amino acids and bioactive proteins in breast milk: A developmental perspective. J. Nutr. Biochem. 2017, 41, 1–11. [Google Scholar] [CrossRef] [PubMed]
- Quinn, E.A.; Largado, F.; Power, M.; Kuzawa, C.W. Predictors of breast milk macronutrient composition in Filipino mothers. Am. J. Hum. Biol. 2012, 24, 533–540. [Google Scholar] [CrossRef] [PubMed]
- Dritsakou, K.; Liosis, G.; Valsami, G.; Polychronopoulos, E.; Skouroliakou, M. The impact of maternal- and neonatal-associated factors on human milk’s macronutrients and energy. J. Matern. Fetal. Neonatal. Med. 2017, 30, 1302–1308. [Google Scholar] [CrossRef] [PubMed]
- Lubetzky, R.; Sever, O.; Mimouni, F.B.; Mandel, D. Human Milk Macronutrients Content: Effect of Advanced Maternal Age. Breastfeed. Med. 2015, 10, 433–436. [Google Scholar] [CrossRef] [PubMed]
- Amaral, Y.N.D.V.D.; Rocha, D.M.; Silva, L.M.L.D.; Soares, F.V.M.; Moreira, M.E.L. Do maternal morbidities change the nutritional composition of human milk? A systematic review. Cien. Saude Colet. 2019, 24, 2491–2498. [Google Scholar] [CrossRef]
- Bravi, F.; Wiens, F.; Decarli, A.; Dal Pont, A.; Agostoni, C.; Ferraroni, M. Impact of maternal nutrition on breast-milk composition: A systematic review. Am. J. Clin. Nutr. 2016, 104, 646–662. [Google Scholar] [CrossRef]
- Charpak, N.; Ruiz, J.G.; KMC Team. Breast milk composition in a cohort of pre-term infants’ mothers followed in an ambulatory programme in Colombia. Acta Paediatr. 2007, 96, 1755–1759. [Google Scholar] [CrossRef]
- Dewey, K.G.; Finley, D.A.; Lönnerdal, B. Breast milk volume and composition during late lactation (7-20 months). J. Pediatr. Gastroenterol. Nutr. 1984, 3, 713–720. [Google Scholar] [CrossRef]
- Fischer Fumeaux, C.J.; Garcia-Rodenas, C.L.; De Castro, C.A.; Courtet-Compondu, M.-C.; Thakkar, S.K.; Beauport, L.; Tolsa, J.-F.; Affolter, M. Longitudinal Analysis of Macronutrient Composition in Preterm and Term Human Milk: A Prospective Cohort Study. Nutrients 2019, 11, 1525. [Google Scholar] [CrossRef] [PubMed]


| Maternal Characteristics | n | Values |
|---|---|---|
| Age (years) | 40 | 32 ± 5.8 |
| Gestational Age at delivery (GA) (weeks) | 40 | 33 ± 3.7 |
| Multiple Pregnancies | 40 | 6 (15%) |
| Cesarean Section | 40 | 31 (78%) |
| Smoking Status | 40 | 5 (13%) |
| Previous Breastfeeding Experience | 40 | 13 (33%) |
| Newborn Characteristics | ||
| Weight (g) | 47 | 1720 ± 834 |
| Weight percentile (%) | 47 | 39 ± 31 |
| Milk Samples | ||
| Average Lactation period (days) | 102 | 24 ± 26 |
| Length of Collection (days) | 102 | 6.9 ± 3.4 |
| Average Volume (mL) | 102 | 318 ± 222 |
| Fat (g/100 mL) | 102 | 3.2 ± 0.8 |
| Protein (g/100 mL) | 101 | 1.2 ± 0.4 |
| Lactose (g/100 mL) | 102 | 5.7 ± 0.8 |
| Energy (kcal/L) | 102 | 57 ± 11 |
| Sodium (mmol/L) | 80 | 20 ± 9.7 |
| Average Day of Lactation (day) | Average Milk Volume (mL/day) | Proteins (g/100 mL) | Fat (g/100 mL) | |
|---|---|---|---|---|
| Average milk volume (mL/day) | 0.393 (<0.001) * | |||
| Proteins (g/100 mL) | −0.555 (<0.001) | −0.451 (<0.001) | ||
| Fat (g/100 mL) | −0.129 (0.195) | 0.007 (0.948) | 0.395 (<0.001) | |
| Sodium (mmol/L) | −0.248 (0.027) | −0.672 (0.000) | 0.373 (0.001) | −0.137 (0.227) |
| Factor | Protein | Lipids | Sodium |
|---|---|---|---|
| Maternal Age | p = 0.001 | p = 0.009 | p = 0.404 |
| <30 years (n = 30) | |||
| 30–5 years (n = 44) | |||
| ≥35 years (n = 28) | |||
| GA at delivery | p = 0.106 | p = 0.928 | p = 0.673 |
| Very premature (n = 53) | |||
| Moderate (n = 31) | |||
| Term (n = 18) | |||
| Multiple Pregnancy (Yes, n = 6) | p = 0.780 | p = 0.937 | p = 0.035 |
| Small for Gestational Age (Yes, n = 27) | p = 0.816 | p = 0.390 | p = 0.880 |
| Cesarean Section (Yes, n = 72) | p = 0.331 | p = 0.911 | p = 0.649 |
| Smoking Status (Yes, n = 14) | p = 0.162 | p = 0.191 | p = 0.146 |
| Previous Breastfeeding Experience (Yes, n = 32) | p = 0.358 | p = 0.982 | p = 0.002 |
| Milk volume | p = 0.019 | p = 0.041 | p < 0.001 |
| 1st quartile (95 ± 32 mL) * | |||
| 2nd quartile (191 ± 35 mL) * | |||
| 3rd quartile (345 ± 54 mL) * | |||
| 4th quartile (646 ± 138 mL) * | |||
| Lactation Period | p < 0.001 | p = 0.921 | p = 0.518 |
| Week 1 (n = 23) | |||
| Week 2 (n = 26) | |||
| Week 3 (n = 18) | |||
| ≥Weeks 4 (n = 35) |
| Nutrient | Odds Ratio | 95% Confidence Interval | p |
|---|---|---|---|
| Protein | |||
| Maternal Age | 2.59 | (1.48; 4.55) | 0.001 |
| Milk Volume | 1.44 | (1.00; 2.08) | 0.049 |
| Lactation Period | 3.83 | (3.50; 5.86) | <0.001 |
| Fat | |||
| Maternal Age | 2.67 | (1.61; 4.43) | <0.001 |
| Milk Volume | 0.73 | (0.53; 1.01) | 0.06 |
| Sodium | |||
| Multiple Pregnancy | 2.43 | (0.68; 8.72) | 0.172 |
| Previous Breastfeeding Experience | 0.68 | (0.27; 1.74) | 0.425 |
| Milk Volume | 4.02 | (2.48; 6.51) | <0.001 |
© 2020 by the authors. Licensee MDPI, Basel, Switzerland. This article is an open access article distributed under the terms and conditions of the Creative Commons Attribution (CC BY) license (http://creativecommons.org/licenses/by/4.0/).
Share and Cite
Rigourd, V.; Lopera, I.; Cata, F.; Benoit, G.; Jacquemet, B.; Lapillonne, A. Role of Daily Milk Volume and Period of Lactation in Nutrient Content of Human Milk: Results from a Prospective Study. Nutrients 2020, 12, 421. https://doi.org/10.3390/nu12020421
Rigourd V, Lopera I, Cata F, Benoit G, Jacquemet B, Lapillonne A. Role of Daily Milk Volume and Period of Lactation in Nutrient Content of Human Milk: Results from a Prospective Study. Nutrients. 2020; 12(2):421. https://doi.org/10.3390/nu12020421
Chicago/Turabian StyleRigourd, Virginie, Isabel Lopera, Florina Cata, Guy Benoit, Benedicte Jacquemet, and Alexandre Lapillonne. 2020. "Role of Daily Milk Volume and Period of Lactation in Nutrient Content of Human Milk: Results from a Prospective Study" Nutrients 12, no. 2: 421. https://doi.org/10.3390/nu12020421
APA StyleRigourd, V., Lopera, I., Cata, F., Benoit, G., Jacquemet, B., & Lapillonne, A. (2020). Role of Daily Milk Volume and Period of Lactation in Nutrient Content of Human Milk: Results from a Prospective Study. Nutrients, 12(2), 421. https://doi.org/10.3390/nu12020421
