The Evaluation and Use of a Food Frequency Questionnaire Among the Population in Trivandrum, South Kerala, India
Abstract
1. Introduction
2. Materials and Methods
2.1. Population Setting and Participant Recruitment
2.2. Dietary Data Collection
2.3. Nutrient Intake Assessment using the FFQ
2.4. Statistical Analysis
3. Results
3.1. Population Demographics
3.2. Mean Nutrient Intakes Across Income, Religion and Domicile
3.3. Associations in Nutrient Intakes between the FFQ and 7-Day Food Diary
3.4. Associations between Personal Characteristics and Difference in Reported Intakes between the FFQ and 7-Day Food Diary
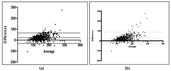
3.5. Bland–Altman Analysis
3.6. Cross Classification Analysis
4. Discussion
Author Contributions
Funding
Acknowledgments
Conflicts of Interest
References
- Cade, J.E.; Burley, V.J.; Warm, D.L.; Thompson, R.L.; Margetts, B.M. Food-Frequency Questionnaires: A Review of their Design, Validation and Utilisation. Nutr.Res. 2004, 17, 5–22. [Google Scholar] [CrossRef] [PubMed]
- Shim, J.S.; Oh, K.; Kim, H.C. Dietary Assessment Methods in Epidemiologic Studies. Epidemiol. Health 2014, 36, E2014009. [Google Scholar] [CrossRef] [PubMed]
- Lovell, A.; Bulloch, R.; Wall, C.R.; Grant, C.C. Quality of Food-Frequency Questionnaire Validation Studies in the Dietary Assessment of Children Aged 12 to 36 Months: A Systematic Literature Review. J. Nutr. Sci. 2017, 6, E16. [Google Scholar] [CrossRef] [PubMed]
- Cade, J.; Thompson, R.; Burley, V.; Warm, D. Development, Validation and Utilisation of Food-Frequency Questionnaires–A Review. Public Health Nutr. 2002, 5, 567–587. [Google Scholar] [CrossRef] [PubMed]
- Arab, L.; Tseng, C.H.; Ang, A.; Jardack, P. Validity of a Multipass, Web-Based, 24-Hour Self-Administered Recall for Assessment of Total Energy Intake in Blacks and Whites. Am. J. Epidemiol. 2011, 174, 1256–1265. [Google Scholar] [CrossRef] [PubMed]
- Hebden, L.; Kostan, E.; O'Leary, F.; Hodge, A.; Allman-Farinelli, M. Validity and Reproducibility of a Food Frequency Questionnaire as a Measure of Recent Dietary Intake in Young Adults. PLoS ONE 2013, 8, E75156. [Google Scholar] [CrossRef]
- Collins, C.E.; Boggess, M.M.; Watson, J.F.; Guest, M.; Duncanson, K.; Pezdirc, K.; Rollo, M.; Hutchesson, M.J.; Burrows, T.L. Reproducibility and Comparative Validity of a Food Frequency Questionnaire for Australian Adults. Clin. Nutr. 2014, 33, 906–914. [Google Scholar] [CrossRef]
- Popkin, B.M.; Horton, S.; Kim, S.; Mahal, A.; Shuigao, J. Trends in Diet, Nutritional Status, and Diet-Related Noncommunicable Diseases in China and India: The Economic Costs of the Nutrition Transition. Nutr. Rev. 2001, 59, 379–390. [Google Scholar] [CrossRef]
- Branca, F.; Lartey, A.; Oenema, S.; Aguayo, V.; Stordalen, G.A.; Richardson, R.; Arvelo, M.; Afshin, A. Transforming the Food System to Fight Non-Communicable Diseases. BMJ 2019, 364, l296. [Google Scholar] [CrossRef]
- Booth, S.L.; Sallis, J.F.; Ritenbaugh, C.; Hill, J.O.; Birch, L.L.; Frank, L.D.; Glanz, K.; Himmelgreen, D.A.; Mudd, M.; Popkin, B.M.; et al. Environmental and Societal Factors Affect Food Choice and Physical Activity: Rationale, Influences, and Leverage Points. Nutr. Rev. 2001, 59, S21–S65. [Google Scholar] [CrossRef]
- Hebert, J.R.; Gupta, P.C.; Mehta, H.; Ebbeling, C.B.; Bhonsle, R.R.; Varghese, F. Sources of Variability in Dietary Intake in Two Distinct Regions of Rural India: Implications for Nutrition Study Design and Interpretation. Eur. J. Clin. Nutr. 2000, 54, 479–486. [Google Scholar] [CrossRef] [PubMed]
- Hebert, J.R.; Gupta, P.C.; Bhonsle, R.B.; Murti, P.R.; Mehta, H.; Verghese, F.; Aghi, M.; Krishnaswamy, K.; Mehta, F.S. Development and Testing of a Quantitative Food Frequency Questionnaire for use in Kerala, India. Public Health Nutr. 1998, 1, 123–130. [Google Scholar] [CrossRef] [PubMed]
- Hebert, J.R.; Gupta, P.C.; Bhonsle, R.B.; Sinor, P.N.; Mehta, H.; Mehta, F.S. Development and Testing of a Quantitative Food Frequency Questionnaire for use in Gujarat, India. Public Health Nutr. 1999, 2, 39–50. [Google Scholar] [CrossRef] [PubMed]
- Mishra, D.; Singh, H.P. Kuppuswamy’s Socioeconomic Status Scale--a Revision. Indian J. Pediatr. 2003, 70, 273–274. [Google Scholar] [CrossRef]
- Gopalan, C.; Rama Sastri, B.V.; Balasubramanian, S.C. Nutritive Value of Indian Foods, National Institute of Nutrition; Indian Council of Medical Research: New Delhi, India, 1989. [Google Scholar]
- Longvah, T.; Ananthan, R.; Bhaskarachary, K.; Venkaiah, K. Indian Food Composition Tables; National Institute of Nutrition: Hyderabad, India, 2017. [Google Scholar]
- Bland, J.M.; Altman, D.G. Statistical Methods for Assessing Agreement between Two Methods of Clinical Measurement. Lancet 1986, 1, 307–310. [Google Scholar] [CrossRef]
- Shaikh, N.I.; Frediani, J.K.; Ramakrishnan, U.; Patil, S.S.; Yount, K.M.; Martorell, R.; Narayan, K.V.; Cunningham, S.A. Development and Evaluation of a Nutrition Transition-FFQ for Adolescents in South India. Public Health Nutr. 2017, 20, 1162–1172. [Google Scholar] [CrossRef]
- Willett, W.C.; Sampson, L.; Stampfer, M.J.; Rosner, B.; Bain, C.; Witschi, J.; Hennekens, C.H.; Speizer, F.E. Reproducibility and Validity of a Semiquantitative Food Frequency Questionnaire. Am. J. Epidemiol. 1985, 122, 51–65. [Google Scholar] [CrossRef]
- Deshmukh-Taskar, P.; Nicklas, T.A.; Yang, S.J.; Berenson, G.S. Does Food Group Consumption Vary by Differences in Socioeconomic, Demographic, and Lifestyle Factors in Young Adults? the Bogalusa Heart Study. J. Am. Diet. Assoc. 2007, 107, 223–234. [Google Scholar] [CrossRef]
- Prattala, R.S.; Groth, M.V.; Oltersdorf, U.S.; Roos, G.M.; Sekula, W.; Tuomainen, H.M. Use of Butter and Cheese in 10 European Countries: A Case of Contrasting Educational Differences. Eur. J. Public Health 2003, 13, 124–132. [Google Scholar] [CrossRef]
- Sanchez-Villegas, A.; Martinez, J.A.; Prattala, R.; Toledo, E.; Roos, G.; Martinez-Gonzalez, M.A.; FAIR-97-3096 Group. A Systematic Review of Socioeconomic Differences in Food Habits in Europe: Consumption of Cheese and Milk. Eur. J. Clin. Nutr. 2003, 57, 917–929. [Google Scholar] [CrossRef]
- Panwar, B.; Punia, D. Food Intake of Rural Pregnant Women of Haryana State, Northern India: Relationship with Education and Income. Int. J. Food Sci. Nutr. 1998, 49, 243–247. [Google Scholar] [CrossRef] [PubMed]
- Dubowitz, T.; Levinson, D.; Peterman, J.N.; Verma, G.; Jacob, S.; Schultink, W. Intensifying Efforts to Reduce Child Malnutrition in India: An Evaluation of the Dular Program in Jharkhand, India. Food Nutr. Bull. 2007, 28, 266–273. [Google Scholar] [CrossRef] [PubMed]
- Vecchio, M.G.; Paramesh, E.C.; Paramesh, H.; Loganes, C.; Ballali, S.; Gafare, C.E.; Verduci, E.; Gulati, A. Types of Food and Nutrient Intake in India: A Literature Review. Indian J. Pediatr. 2014, 81, 17–22. [Google Scholar] [CrossRef] [PubMed]
- Majumder, M.; Saha, I.; Chaudhuri, D. Assessment of Nutritional Risk in Community-Dwelling Older Adults (65 to 75 Years) in Kolkata, India. J. Nutr. Gerontol. Geriatr. 2014, 33, 126–134. [Google Scholar] [CrossRef]
- Shu, X.O.; Yang, G.; Jin, F.; Liu, D.; Kushi, L.; Wen, W.; Gao, Y.T.; Zheng, W. Validity and Reproducibility of the Food Frequency Questionnaire used in the Shanghai Women's Health Study. Eur. J. Clin. Nutr. 2004, 58, 17–23. [Google Scholar] [CrossRef]
- Toft, U.; Kristoffersen, L.; Ladelund, S.; Bysted, A.; Jakobsen, J.; Lau, C.; Jorgensen, T.; Borch-Johnsen, K.; Ovesen, L. Relative Validity of a Food Frequency Questionnaire used in the Inter99 Study. Eur. J. Clin. Nutr. 2008, 62, 1038–1046. [Google Scholar] [CrossRef][Green Version]
- Chen, Y.; Ahsan, H.; Parvez, F.; Howe, G.R. Validity of a Food-Frequency Questionnaire for a Large Prospective Cohort Study in Bangladesh. Br. J. Nutr. 2004, 92, 851–859. [Google Scholar] [CrossRef]
- Pandey, D.; Bhatia, V.; Boddula, R.; Singh, H.K.; Bhatia, E. Validation and Reproducibility of a Food Frequency Questionnaire to Assess Energy and Fat Intake in Affluent North Indians. Natl. Med. J. India 2005, 18, 230–235. [Google Scholar]
- Lee, H.; Kang, M.; Song, W.O.; Shim, J.E.; Paik, H.Y. Gender Analysis in the Development and Validation of FFQ: A Systematic Review. Br. J. Nutr. 2016, 115, 666–671. [Google Scholar] [CrossRef]
- Storey, M.; Anderson, P. Income and Race/Ethnicity Influence Dietary Fiber Intake and Vegetable Consumption. Nutr. Res. 2014, 34, 844–850. [Google Scholar] [CrossRef]
- Santos, R.O.; Gorgulho, B.M.; Castro, M.A.; Fisberg, R.M.; Marchioni, D.M.; Baltar, V.T. Principal Component Analysis and Factor Analysis: Differences and Similarities in Nutritional Epidemiology Application. Rev. Bras. Epidemiol. 2019, 22, e190041–e549720190041. [Google Scholar] [CrossRef] [PubMed]
- Prentice, R.L.; Huang, Y. Nutritional Epidemiology Methods and Related Statistical Challenges and Opportunities. Stat. Theory Relat. Fields 2018, 2, 2–10. [Google Scholar] [CrossRef] [PubMed]
- Goris, A.H.; Westerterp, K.R. Postabsorptive Respiratory Quotient and Food Quotient-an Analysis in Lean and Obese Men and Women. Eur. J. Clin. Nutr. 2000, 54, 546–550. [Google Scholar] [CrossRef] [PubMed][Green Version]


| Demography | Frequency | % |
|---|---|---|
| Gender | ||
| Male | 157 | 34 |
| Female | 303 | 66 |
| Age (years) | ||
| <30 | 66 | 14 |
| 31–40 | 140 | 30 |
| 41–50 | 108 | 23 |
| 51–60 | 81 | 18 |
| >60 | 65 | 14 |
| BMI | ||
| Underweight (<18.5 kg/m2) | 33 | 7.2 |
| Normal (18.5–22.9 kg/m2) | 240 | 52.2 |
| Overweight (23.0–24.9 kg/m2) | 136 | 29.6 |
| Obese (≥25 kg/m2) | 51 | 11.1 |
| Monthly Income (Rupees) | ||
| <1000 | 105 | 23 |
| 1001–3000 | 131 | 28 |
| 3001–6000 | 112 | 24 |
| >6000 | 112 | 24 |
| Education Status | ||
| Primary or below | 69 | 15 |
| High school | 233 | 51 |
| Higher secondary | 69 | 15 |
| Graduate or above | 89 | 19 |
| Domicile | ||
| Rural | 256 | 55 |
| Urban | 204 | 45 |
| Religion | ||
| Hindu | 297 | 65 |
| Muslim | 77 | 17 |
| Christian | 86 | 18 |
| Nutrient | FD | FFQ | Difference (FFQ − FD) ± SD | FFQ:FD (%) | Spearman Coefficient (Unadjusted (r)) | Spearman Coefficient (Energy Adjusted (R)) | ||
|---|---|---|---|---|---|---|---|---|
| Mean | SD | Mean | SD | |||||
| Protein (g) | 62.154 | 18.59 | 81.68 | 34.59 | 19.52 ± 25.57 *** | 1.41 | 0.729 **** | 0.810 *** |
| Minerals (g) | 9.878 | 2.86 | 13 | 4.94 | 3.12 ± 3.574 *** | 1.30 | 0.685 **** | 0.617 **** |
| Fibre (g) | 11.439 | 3.8277 | 15.32 | 6.77 | 3.88 ± 2.782 *** | 1.32 | 0.659 **** | 0.719 **** |
| Carbohydrate (g) | 294.308 | 75.309 | 391.6 | 153.89 | 97.29 ± 125.3 *** | 1.53 | 0.610 **** | 0.518 **** |
| Energy (kcal) | 1980.38 | 510.561 | 2635.24 | 1001.03 | 654.86 ± 771.1 *** | 1.47 | 0.653 **** | n.a. |
| Calcium (mg) | 555.908 | 198.589 | 704.18 | 297.99 | 148.27 ± 2124 *** | 1.18 | 0.700 **** | 0.673 **** |
| Phosphorus (mg) | 1382.07 | 378.560 | 1841.33 | 696.25 | 459.26 ± 775.9 *** | 1.38 | 0.704 **** | 0.712 **** |
| Fat (g) | 61.6898 | 23.011 | 82.48 | 39.98 | 20.79 ± 29.59 *** | 1.29 | 0.681 **** | 0.510 *** |
| Riboflavin (mg) | 0.8389 | 0.3033 | 1.06 | 0.44 | 0.22 ± 1.691 | 1.14 | 0.719 **** | 0.656 *** |
| Chloride (mg) | 123.474 | 58.758 | 163.11 | 89.23 | 39.63 ± 75.93 *** | 1.15 | 0.537 **** | 0.598 **** |
| Sulfur (mg) | 110.734 | 70.087 | 143.79 | 96.35 | 33.05 ± 72.15 *** | 1.05 | 0.664 **** | 0.619 **** |
| Magnesium (mg) | 375.306 | 199.683 | 481.19 | 181.64 | 105.88 ± 218.2 *** | 0.70 | 0.346 | 0.413 |
| Choline (mg) | 167.922 | 77.856 | 212.45 | 97.18 | 44.52 ± 87.26 *** | 0.98 | 0.519 **** | 0.578 **** |
| Vitamin C (mg) | 81.758 | 45.350 | 105.84 | 54.58 | 24.08 ± 50.8 *** | 0.92 | 0.495 | 0.612 ** |
| Thiamine (mg) | 1.03178 | 0.3113 | 1.4 | 0.55 | 0.368 ± 1.453 *** | 1.30 | 0.673 **** | 0.553 *** |
| Iron (mg) | 13.4568 | 4.1980 | 18.28 | 7.82 | 4.82 ± 6.241 *** | 1.37 | 0.643 **** | 0.612 **** |
| Niacin (mg) | 14.728 | 4.0433 | 20.39 | 7.85 | 5.66 ± 6.285 *** | 1.19 | 0.613 **** | 0.654 **** |
| Carotene (μg) | 1173.29 | 2034.17 | 1201.26 | 876.2 | 27.97 ± 1877 | 1.40 | 0.385 | 0.418 |
| B6 (mg) | 0.4334 | 0.169 | 0.58 | 0.28 | 0.14 ± 1.809 | 0.42 | 0.712 **** | 0.678 *** |
| Folic Acid (μg) | 62.385 | 26.554 | 82.67 | 38.02 | 20.28 ± 24.65 *** | 1.23 | 0.716 **** | 0.617 *** |
| Sodium (mg) | 156.898 | 76.954 | 196.55 | 118.98 | 39.652 ± 88.76 *** | 1.08 | 0.666 **** | 0.719 **** |
| Potassium (mg) | 754.281 | 346.42 | 970.77 | 495.89 | 216.48 ± 353.1 *** | 1.23 | 0.703 **** | 0.652 *** |
| Copper(mg) | 1.512 | 6.775 | 1.65 | 1.03 | 0.138 ± 21.88 | 1.11 | 0.641 **** | 0.562 *** |
| Manganese (mg) | 3.252 | 1.099 | 4.45 | 1.85 | 1.198 ± 2.084 | 0.14 | 0.354 | 0.487 |
| Molybdenum (mg) | 0.336 | 0.115 | 0.44 | 0.18 | 0.104 ± 1.572 | 1.23 | 0.602 **** | 0.586 **** |
| Zinc (mg) | 5.5434 | 1.673 | 7.48 | 2.88 | 1.9366 ± 2.542 | 1.19 | 0.513 **** | 0.617 **** |
| Chromium (mg) | 0.0389 | 0.014 | 0.05 | 0.02 | 0.0111 ± 1.701 | 1.27 | 0.673 **** | 0.598 **** |
| Nutrient | Age 1 | Sex 2 | BMI 1 | Education 3 | Income 4 | Model R2 Values |
|---|---|---|---|---|---|---|
| Protein (g) | 0.001 | 0.535 ++ | 0.003 | 0.038 | 0.288 + | 0.25 |
| Minerals (g) | 0.004 | 0.142 | −0.028 | 0.097 | 0.230 | 0.17 |
| Fibre (g) | 0.009 | 0.786 + | 0.003 | 0.086 | 0.412 + | 0.15 |
| Carbohydrate (g) | 0.004 | 0.484 + | −0.015 | 0.107 | 0.062 | 0.25 |
| Energy (kcal) | 0.009 + | −0.230 | 0.038 | 0.093 | 0.400 | 0.12 |
| Calcium (mg) | 0.008 + | 0.529 + | −0.009 | 0.049 | −0.361 | 0.26 |
| Phosphorus (mg) | −0.003 | 0.452 + | 0.033 | −0.118 | −0.271 | 0.15 |
| Fat (g) | 0.006 | 0.438 | −0.009 | 0.059 | 0.541 | 0.12 |
| Riboflavin (mg) | 0.021 | 0.274 | 0.033 | 0.057 | 0.312 | 0.19 |
| Chloride (mg) | −0.005 | 0.452 ++ | 0.004 | 0.010 | 0.242 | 0.20 |
| Sulfur (mg) | −0.005 | 0.270 + | 0.018 | −0.139 | −0.571 | 0.07 |
| Magnesium (mg) | 0.027 | 0.152 | 0.062 | −0.023 | −0.136 | 0.28 |
| Choline (mg) | 0.010 | 0.290 | 0.034 | −0.107 | 0.002 | 0.14 |
| Vitamin C (mg) | −0.006 | 0.312 | 0.026 | −0.023 | −.153 | 0.10 |
| Thiamine (mg) | 0.011 | 0.443 | 0.011 | −0.064 | 0.026 | 0.31 |
| Iron (mg) | −0.006 | 0.152 ++ | 0.034 | 0.106 | 0.581 + | 0.32 |
| Niacin (mg) | −0.014 | 0.290 | 0.018 | 0.009 | 0.665 + | 0.14 |
| Carotene (μg) | 0.004 | 0.380 | 0.054 | −0.126 | −0.373 | 0.07 |
| B6 (mg) | 0.011 | 0.098 | 0.034 | −0.235 | 0.221 | 0.23 |
| Folic Acid (μg) | 0.007 | 0.152 | 0.040 | 0.129 | 0.067 | 0.10 |
| Sodium (mg) | −0.007 | 0.089 | 0.020 | −0.168 | 0.722 + | 0.07 |
| Potassium (mg) | −0.004 | −0.059 | 0.011 | 0.299 + | 0.306 | 0.08 |
| Copper (mg) | 0.014 | −0.295 | −0.012 | 0.163 | −0.043 | 0.08 |
| Manganese (mg) | 0.005 | −0.324 | −0.002 | 0.255 + | −0.077 | 0.06 |
| Molybdenum (mg) | 0.002 | −0.092 | 0.071 | −0.003 | 0.583 | 0.04 |
| Nutrient | Bias * | SD | 95% CI |
|---|---|---|---|
| Protein (g) | 9.45 | 10.21 | −12.67, 26.55 |
| Minerals (g) | 1.53 | 2.17 | −2.03, 6.11 |
| Fibre (g) | 5.21 | 3.22 | −2.53, 5.34 |
| Carbohydrate (g) | 35.15 | 12.3 | −34.22, 172 |
| Energy (kcal) | n.a. | n.a. | n.a. |
| Calcium (mg) | 34.14 | 22.5 | −56.3, 102.4 |
| Phosphorous (mg) | 81.4 | 34.6 | −78.4, 140 |
| Fat (g) | 18.93 | 10.45 | −37.21, 91.39 |
| Riboflavin (mg) | 1.55 | 0.463 | −0.15, 1.32 |
| Chloride (mg) | 13.45 | 21.43 | −45.22, 73.7 |
| Sulfur (mg) | 11.32 | 31.45 | −52.14, 78.2 |
| Magnesium (mg) | 71.42 | 96.43 | −123.4, 221 |
| Choline (mg) | 82.32 | 65.4 | −115.1,198.3 |
| Vitamin C (mg) | 18.23 | 21.43 | −78.14, 119.56 |
| Thiamine (mg) | 0.13 | 0.14 | −0.221, 0.62 |
| Iron (mg) | 4.14 | 5.33 | −1.35, 8.44 |
| Niacin (mg) | 2.33 | 4.13 | −3.332, 8.33 |
| Carotene (μg) | 43.15 | 11.33 | −341, 1555 |
| B6 (mg) | 1.14 | 1.16 | −1.228, 2.11 |
| Folic acid (μg) | 10.98 | 11.84 | −31.14, 51.66 |
| Sodium (mg) | 20.82 | 31.32 | −83.33, 145.8 |
| Potassium (mg) | 180.6 | 146.9 | −255.6, 612.5 |
| Copper (mg) | −1.44 | 21.54 | −214.31, 114.14 |
| Manganese (mg) | 0.94 | 1.22 | −0.14, 2.11 |
| Molybdenum (mg) | 0.16 | 0.56 | −0.65, 0.53 |
| Zinc (mg) | −2.33 | 1.53 | −11.66, 4.78 |
| Chromium (mg) | 0.093 | 0.12 | −0.16, 1.32 |
| Nutrient * | FFQ / 7-Day FD | |||||||
|---|---|---|---|---|---|---|---|---|
| Crude Nutrients | Energy Adjusted Nutrients | |||||||
| % in the same Quartile | % in Adjacent Quartiles | % in Extreme Quartiles | % in Intermediate Quartiles * | % in the same Quartile | % in Adjacent Quartiles | % in Extreme Quartiles | % in Intermediate Quartiles | |
| Protein (g) | 51.3 | 46.2 | 2.5 | 3.6 | 52.5 | 43.3 | 1.8 | 2.7 |
| Minerals (g) | 57.1 | 41.5 | 1.4 | 2.3 | 59.3 | 42.6 | 1.6 | 1.6 |
| Fibre (g) | 52.2 | 46.8 | 1.0 | 2.7 | 55.3 | 45.3 | 0.0 | 1.8 |
| Carbohydrate (g) | 41.2 | 52.2 | 6.6 | 4.6 | 44.5 | 51.2 | 3.4 | 3.9 |
| Energy (kcal) | 42.4 | 52 | 5.6 | 6.2 | n.a | n.a. | n.a. | n.a. |
| Calcium (mg) | 61.4 | 37.4 | 1.2 | 3.2 | 57.4 | 24.8 | 2.7 | 2.8 |
| Phosphorous (mg) | 58.4 | 40.8 | 0.8 | 2.8 | 60.1 | 38.3 | 1.7 | 2.1 |
| Fat (g) | 48.9 | 47.4 | 3.7 | 4.1 | 50.4 | 48.3 | 2.1 | 3.2 |
| Riboflavin (mg) | 60.12 | 37.8 | 2.0 | 3.8 | 58.5 | 38.2 | 1.8 | 2.9 |
| Chloride (mg) | 50.1 | 48.9 | 1.0 | 3.1 | 54.3 | 43.5 | 1.8 | 2.5 |
| Sulfur (mg) | 51.9 | 45.6 | 2.5 | 4.2 | 49.6 | 50.2 | 1.7 | 3.2 |
| Magnesium (mg) | 57.2 | 41.4 | 1.4 | 3.8 | 58.4 | 40.5 | 1.2 | 2.8 |
| Choline (mg) | 48.3 | 50.3 | 1.4 | 2.9 | 49.4 | 47.3 | 1.3 | 2.1 |
| Vitamin C (mg) | 57.6 | 39.7 | 2.7 | 2.8 | 56.4 | 34.2 | 2.9 | 1.8 |
| Thiamine (mg) | 45.3 | 52.6 | 2.1 | 3.1 | 48.3 | 51.2 | 1.2 | 2.2 |
| Iron (mg) | 67.6 | 31.3 | 1.1 | 2.6 | 59.4 | 38.2 | 1.0 | 1.5 |
| Niacin (mg) | 51.8 | 47.2 | 1.0 | 2.8 | 49.6 | 48.2 | 1.2 | 1.8 |
| Carotene (μg) | 46.2 | 49.6 | 4.2 | 4.2 | 45.4 | 50.4 | 3.4 | 3.5 |
| B6 (mg) | 60.3 | 38.5 | 1.2 | 2.8 | 58.3 | 41.8 | 1.1 | 1.8 |
| Folic acid (μg) | 62.3 | 36.2 | 1.5 | 3.5 | 60.4 | 37.4 | 1.7 | 3.1 |
| Sodium (mg) | 52.7 | 46.2 | 1.1 | 2.8 | 53.6 | 45.3 | 1.0 | 1.7 |
| Potassium (mg) | 51.4 | 45.6 | 3.0 | 2.9 | 54.3 | 42.5 | 2.7 | 2.3 |
| Copper (mg) | 41.9 | 56.3 | 1.8 | 2.6 | 42.5 | 55.3 | 2.0 | 2.1 |
| Manganese (mg) | 66.7 | 31.5 | 1.8 | 2.9 | 65.43 | 32.8 | 2.0 | 1.9 |
| Molybdenum (mg) | 43.8 | 56.1 | 0.1 | 3.1 | 44.65 | 55.3 | 1.0 | 2.7 |
| Zinc (mg) | 61.2 | 37.2 | 1.6 | 2.8 | 60.3 | 35.5 | 1.3 | 2.1 |
| Chromium (mg) | 67.3 | 31.8 | 0.9 | 6.2 | 68.4 | 30.4 | 0.0 | 5.4 |
© 2020 by the authors. Licensee MDPI, Basel, Switzerland. This article is an open access article distributed under the terms and conditions of the Creative Commons Attribution (CC BY) license (http://creativecommons.org/licenses/by/4.0/).
Share and Cite
Vijay, A.; Mohan, L.; Taylor, M.A.; Grove, J.I.; Valdes, A.M.; Aithal, G.P.; Shenoy, K.T. The Evaluation and Use of a Food Frequency Questionnaire Among the Population in Trivandrum, South Kerala, India. Nutrients 2020, 12, 383. https://doi.org/10.3390/nu12020383
Vijay A, Mohan L, Taylor MA, Grove JI, Valdes AM, Aithal GP, Shenoy KT. The Evaluation and Use of a Food Frequency Questionnaire Among the Population in Trivandrum, South Kerala, India. Nutrients. 2020; 12(2):383. https://doi.org/10.3390/nu12020383
Chicago/Turabian StyleVijay, Amrita, Leena Mohan, Moira A. Taylor, Jane I. Grove, Ana M. Valdes, Guruprasad P. Aithal, and K.T. Shenoy. 2020. "The Evaluation and Use of a Food Frequency Questionnaire Among the Population in Trivandrum, South Kerala, India" Nutrients 12, no. 2: 383. https://doi.org/10.3390/nu12020383
APA StyleVijay, A., Mohan, L., Taylor, M. A., Grove, J. I., Valdes, A. M., Aithal, G. P., & Shenoy, K. T. (2020). The Evaluation and Use of a Food Frequency Questionnaire Among the Population in Trivandrum, South Kerala, India. Nutrients, 12(2), 383. https://doi.org/10.3390/nu12020383

