Relationship between Dietary Fiber Intake and the Prognosis of Amytrophic Lateral Sclerosis in Korea
Abstract
1. Introduction
2. Materials and Methods
2.1. Participants
2.2. Data Collection
2.3. Biochemical Assessment
2.4. Statistical Analyses
3. Results
3.1. Demographics and Clinical Features of Participants According to Total Fiber Intake
3.2. Relationship between the Intake of Total Fiber and Prognosis
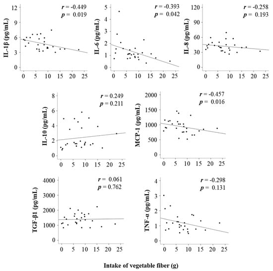
3.3. Relationship between the Intake of Vegetable Fiber and Prognosis
4. Discussion
5. Conclusions
Supplementary Materials
Author Contributions
Funding
Acknowledgments
Conflicts of Interest
References
- Wijesekera, L.C.; Leigh, P.N. Amyotrophic lateral sclerosis. Orphanet J. Rare Dis. 2009, 4, 3. [Google Scholar] [CrossRef] [PubMed]
- Phukan, J.; Hardiman, O. The management of amyotrophic lateral sclerosis. J. Neurol. 2009, 256, 176–186. [Google Scholar] [CrossRef] [PubMed]
- Roy Sarkar, S.; Banerjee, S. Gut microbiota in neurodegenerative disorders. J. Neuroimmunol. 2019, 328, 98–104. [Google Scholar] [CrossRef] [PubMed]
- Fang, X.; Wang, X.; Yang, S.; Meng, F.; Wang, X.; Wei, H.; Chen, T. Evaluation of the microbial diversity in amyotrophic lateral sclerosis using high-throughput sequencing. Front. Microbiol. 2016, 7, 1479. [Google Scholar] [CrossRef] [PubMed]
- Rowin, J.; Xia, Y.; Jung, B.; Sun, J. Gut inflammation and dysbiosis in human motor neuron disease. Physiol. Rep. 2017, 5, e13443. [Google Scholar] [CrossRef] [PubMed]
- Zhang, Y.G.; Wu, S.; Yi, J.; Xia, Y.; Jin, D.; Zhou, J.; Sun, J. Target intestinal microbiota to alleviate disease progression in amyotrophic lateral sclerosis. Clin. Ther. 2017, 39, 322–336. [Google Scholar] [CrossRef] [PubMed]
- Paganoni, S.; Macklin, E.A.; Hendrix, S.; Berry, J.D.; Elliott, M.A.; Maiser, S.; Karam, C.; Caress, J.B.; Owegi, M.A.; Quick, A.; et al. Trial of sodium phenylbutyrate-taurursodiol for amyotrophic lateral sclerosis. N. Engl. J. Med. 2020, 383, 919–930. [Google Scholar] [CrossRef]
- Rodríguez-Cabezas, M.E.; Gálvez, J.; Lorente, M.D.; Concha, A.; Camuesco, D.; Azzouz, S.; Osuna, A.; Redondo, L.; Zarzuelo, A. Dietary fiber down-regulates colonic tumor necrosis factor alpha and nitric oxide production in trinitrobenzenesulfonic acid-induced colitic rats. J. Nutr. 2002, 132, 3263–3271. [Google Scholar] [CrossRef] [PubMed]
- Nelson, L.M.; Matkin, C.; Longstreth, W.T., Jr.; McGuire, V. Population-based case-control study of amyotrophic lateral sclerosis in western Washington State. II. Diet. Am. J. Epidemiol. 2000, 151, 164–173. [Google Scholar] [CrossRef]
- Nieves, J.W.; Gennings, C.; Factor-Litvak, P.; Hupf, J.; Singleton, J.; Sharf, V.; Oskarsson, B.; Fernandes Filho, J.A.; Sorenson, E.J.; D’Amico, E.; et al. Association between dietary intake and function in amyotrophic lateral sclerosis. JAMA Neurology. 2016, 73, 1425–1432. [Google Scholar] [CrossRef] [PubMed]
- Park, Y.; Park, J.; Kim, Y.; Baek, H.; Kim, S.H. Association between nutritional status and disease severity using the amyotrophic lateral sclerosis (ALS) functional rating scale in ALS patients. Nutrition 2015, 31, 1362–1367. [Google Scholar] [CrossRef] [PubMed]
- Jin, Y.; Oh, K.; Oh, S.I.; Baek, H.; Kim, S.H.; Park, Y. Dietary intake of fruits and beta-carotene is negatively associated with amyotrophic lateral sclerosis risk in Koreans: A case-control study. Nutr. Neurosci. 2014, 17, 104–108. [Google Scholar] [CrossRef]
- Lee, J.; Baek, H.; Kim, S.H.; Park, Y. Association between estimated total daily energy expenditure and stage of amyotrophic lateral sclerosis. Nutrition 2017, 33, 181–186. [Google Scholar] [CrossRef] [PubMed]
- Kim, B.; Jin, Y.; Kim, S.H.; Park, Y. Association between macronutrient intake and amyotrophic lateral sclerosis prognosis. Nutr. Neurosci. 2020, 23, 8–15. [Google Scholar] [CrossRef] [PubMed]
- Brooks, B.R.; Miller, R.G.; Swash, M.; Munsat, T.L. El Escorial revisited: Revised criteria for the diagnosis of amyotrophic lateral sclerosis. Amyotroph. Later. Scler. Other Mot. Neuron Disord. 2000, 1, 293–299. [Google Scholar] [CrossRef] [PubMed]
- Kim, H.Y.; Kim, S.H. Korean version of amyotrophic lateral sclerosis functional rating scale-revised: A pilot study on the reliability and validity. J. Korean Neurol. Assoc. 2007, 25, 149–154. [Google Scholar]
- Kollewe, K.; Mauss, U.; Krampfl, K.; Petri, S.; Dengler, R.; Mohammadi, B. ALSFRS-R score and its ratio: A useful predictor for ALS-progression. J. Neurol. Sci. 2008, 275, 69–73. [Google Scholar] [CrossRef]
- Czaplinski, A.; Yen, A.A.; Simpson, E.P.; Appel, S.H. Predictability of disease progression in amyotrophic lateral sclerosis. Muscle Nerve 2006, 34, 702–708. [Google Scholar] [CrossRef]
- Greenland, S.; Pearce, N. Statistical foundations for model-based adjustments. Annu. Rev. Public Health 2015, 36, 89–108. [Google Scholar] [CrossRef]
- Kimura, F.; Fujimura, C.; Ishida, S.; Nakajima, H.; Furutama, D.; Uehara, H.; Shinoda, K.; Sugino, M.; Hanafusa, T. Progression rate of ALSFRS-R at time of diagnosis predicts survival time in ALS. Neurology 2006, 66, 265–267. [Google Scholar] [CrossRef]
- Baek, W.; Park, A.; Kim, H.Y.; Kim, S.H. Amyotrophic lateral sclerosis in Korea: Clinical characteristics and prognostic factors. J. Korean Neurol. Assoc. 2011, 29, 16–24. [Google Scholar]
- Labra, J.; Menon, P.; Byth, K.; Morrison, S.; Vucic, S. Rate of disease progression: A prognostic biomarker in ALS. J. Neurol. Neurosurg. Psychiatry 2016, 87, 628–632. [Google Scholar] [CrossRef]
- Jun, K.Y.; Park, J.; Oh, K.W.; Kim, E.M.; Bae, J.S.; Kim, I.; Kim, S.H. Epidemiology of ALS in Korea using nationwide big data. J. Neurol. Neurosurg. Psychiatry 2019, 90, 395–403. [Google Scholar] [CrossRef] [PubMed]
- Linando, A.Y.; Lee, S.K. Socioeconomic, dietary, nutrition, body weight and epidemiologic transitions: Three nations at different stage of development. Prog. Nutr. 2018, 20, 602–615. [Google Scholar] [CrossRef]
- Yeon, S.Y.; Oh, K.; Kweon, S.; Hyun, T. Development of a Dietary Fiber Composition Table and Intakes of Dietary Fiber in Korea National Health and Nutrition Examination Survey (KNHANES). Korean J. Community Nutr. 2016, 21, 293–300. [Google Scholar] [CrossRef]
- United States Department of Agriculture. What We Eat in America. USDA. 2015, Data Table. Available online: http://www.ars.usda.gov/ba/bhnrc/fsrg (accessed on 6 October 2015).
- Serra-Majem, L.; Ribas-Barba, L.; Salvador, G.; Jover, L.; Raidó, B.; Ngo, J.; Plasencia, A. Trends in energy and nutrient intake and risk of inadequate intakes in Catalonia, Spain (1992–2003). Public Health Nutr. 2007, 10, 1354–1367. [Google Scholar] [CrossRef] [PubMed]
- Nakaji, S.; Sugawara, K.; Saito, D.; Yoshioka, Y.; MacAuley, D.; Bradley, T.; Kernohan, G.; Baxter, D. Trends in dietary fiber intake in Japan over the last century. Eur. J. Nutr. 2002, 41, 222–227. [Google Scholar] [CrossRef] [PubMed]
- Ministry of Health and Welfare; The Korean Nutrition Society. Dietary Reference Intakes for Koreans 2015; The Korean Nutrition Society: Seoul, Korea, 2015; pp. 184–211. [Google Scholar]
- Mischley, L.K.; Lau, R.C.; Bennett, R.D. Role of diet and nutritional supplements in Parkinson’s disease progression. Oxid. Med. Cell. Longev. 2017, 2017, 6405278. [Google Scholar] [CrossRef]
- Fitzgerald, K.C.; Tyry, T.; Salter, A.; Cofield, S.S.; Cutter, G.; Fox, R.; Marrie, R.A. Diet quality is associated with disability and symptom severity in multiple sclerosis. Neurology 2018, 90, e1–e11. [Google Scholar] [CrossRef]
- Kim, Y.; Je, Y. Dietary fiber intake and total mortality: A meta-analysis of prospective cohort studies. Am. J. Epidemiol. 2014, 180, 565–573. [Google Scholar] [CrossRef]
- Song, M.; Wu, K.; Meyerhardt, J.A.; Ogino, S.; Wang, M.; Fuchs, C.S.; Giovannucci, E.L.; Chan, A.T. Fiber intake and survival after colorectal cancer diagnosis. JAMA Oncol. 2018, 4, 71–79. [Google Scholar] [CrossRef]
- McEligot, A.J.; Largent, J.; Ziogas, A.; Peel, D.; Anton-Culver, H. Dietary fat, fiber, vegetable, and micronutrients are associated with overall survival in postmenopausal women diagnosed with breast cancer. Nutr. Cancer 2006, 55, 132–140. [Google Scholar] [CrossRef]
- Katagiri, R.; Goto, A.; Sawada, N.; Yamaji, T.; Iwasaki, M.; Noda, M.; Iso, H.; Tsugane, S. Dietary fiber intake and total and cause-specific mortality: The Japan Public Health Center-based prospective study. Am. J. Clin. Nutr. 2020, 111, 1027–1035. [Google Scholar] [CrossRef]
- Zhang, S.; Tomata, Y.; Sugawara, Y.; Tsuduki, T.; Tsuji, I. The Japanese dietary pattern is associated with longer disability-free survival time in the general elderly population in the Ohsaki cohort 2006 study. J. Nutr. 2019, 149, 1245–1251. [Google Scholar] [CrossRef]
- McBurney, M.I.; Thompson, L.U. Fermentative characteristics of cereal brans and vegetable fibers. Nutr. Cancer 1990, 13, 271–280. [Google Scholar] [CrossRef]
- Casterline, J.L.; Oles, C.J.; Ku, Y. In vitro fermentation of various food fiber fractions. J. Agric. Food Chem. 1997, 45, 2463–2467. [Google Scholar] [CrossRef]
- Yang, J.; Rose, D.J. Long-term dietary pattern of fecal donor correlates with butyrate production and markers of protein fermentation during in vitro fecal fermentation. Nutr. Res. 2014, 34, 749–759. [Google Scholar] [CrossRef]
- Holscher, H.D.; Bauer, L.L.; Gourineni, V.; Pelkman, C.L.; Fahey, G.C., Jr.; Swanson, K.S. Agave inulin supplementation affects the fecal microbiota of healthy adults participating in a randomized, double-blind, placebo-controlled, crossover trial. J. Nutr. 2015, 145, 2025–2032. [Google Scholar] [CrossRef]
- Wu, S.; Yi, J.; Zhang, Y.G.; Zhou, J.; Sun, J. Leaky intestine and impaired microbiome in an amyotrophic lateral sclerosis mouse model. Physiol. Rep. 2015, 3, e12356. [Google Scholar] [CrossRef]
- Ryu, H.; Smith, K.; Camelo, S.I.; Carreras, I.; Lee, J.; Iglesias, A.H.; Dangond, F.; Cormier, K.A.; Cudkowicz, M.E.; Brown, R.H., Jr.; et al. Sodium phenylbutyrate prolongs survival and regulates expression of anti-apoptotic genes in transgenic amyotrophic lateral sclerosis mice. J. Neurochem. 2005, 93, 1087–1098. [Google Scholar] [CrossRef] [PubMed]
- Hijová, E.; Szabadosova, V.; Štofilová, J.; Hrčková, G. Chemopreventive and metabolic effects of inulin on colon cancer development. J. Vetr. Sci. 2013, 14, 387–393. [Google Scholar] [CrossRef]
- Benjamin, J.L.; Hedin, C.R.; Koutsoumpas, A.; Ng, S.C.; McCarthy, N.E.; Hart, A.L.; Kamm, M.A.; Sanderson, J.D.; Knight, S.C.; Forbes, A.; et al. Randomised, double-blind, placebo-controlled trial of fructo-oligosaccharides in active Crohn’s disease. Gut 2011, 60, 923–929. [Google Scholar] [CrossRef]
- Holt, E.M.; Steffen, L.M.; Moran, A.; Basu, S.; Steinberger, J.; Ross, J.A.; Hong, C.P.; Sinaiko, A.R. Fruit and vegetable consumption and its relation to markers of inflammation and oxidative stress in adolescents. J. Am. Diet Assoc. 2009, 109, 414–421. [Google Scholar] [CrossRef] [PubMed]




| Variables | Total (n = 272) | Tertiles of Total Fiber Intake (g) | p-Value 2 | ||
|---|---|---|---|---|---|
| T1 (n = 90) ≤13.45 | T2 (n = 91) >13.45 to ≤19.84 | T3 (n = 91) >19.84 | |||
| Total fiber intake (g) | 18.07 ± 8.75 | 9.62 ± 2.58 3a | 16.51 ± 1.61 b | 27.99 ± 6.92 c | <0.001 |
| Age at symptom onset (years) | 54.34 ± 10.50 | 55.29 ± 10.62 | 54.76 ± 1.66 | 52.99 ± 10.20 | 0.404 |
| Male, n (%) | 145 (53.3) | 51 (56.7) | 50 (54.9) | 44 (48.4) | 0.496 |
| Bulbar onset, n (%) | 59 (21.7) | 20 (22.2) | 18 (19.8) | 21 (23.1) | 0.942 |
| Time point of dietary survey from symptom onset (months) | 15.31 ± 4.89 | 15.67 ± 4.74 | 15.45 ± 5.02 | 14.81 ± 4.92 | 0.481 |
| Disease progression rate | 0.75 ± 4.89 | 0.86 ± 0.50 3a | 0.74 ± 0.47 a,b | 0.65 ± 0.37 b | 0.014 |
| ALSFRS-R score 4 | 37.32 ± 6.04 | 35.34 ± 6.91 3a | 37.59 ± 5.67 b | 39.01 ± 4.84 b | <0.001 |
| Bulbar score | 9.97 ± 1.95 | 9.61 ± 1.98 | 10.12 ± 1.74 | 10.18 ± 2.08 | 0.050 |
| BMI (kg/m2) 4 | 22.73 ± 2.91 | 22.16 ± 3.03 | 22.96 ± 2.93 | 23.05 ± 2.73 | 0.075 |
| Exercise, n (%) 4 | 154 (56.6) | 38 (42.2) | 53 (58.2) | 63 (69.2) | 0.001 |
| Sun exposure, n (%) 4 | 0.002 | ||||
| Never | 72 (26.5) | 37 (41.1) | 17 (18.7) | 18 (19.8) | |
| <30 min | 82 (30.1) | 27 (30.0) | 28 (30.8) | 27 (29.7) | |
| ≥30 min | 118 (43.4) | 26 (28.9) | 46 (50.5) | 46 (50.5) | |
| Smoking, n (%) 4 | 28 (10.3) | 13 (14.4) | 10 (11.0) | 5 (5.6) | 0.142 |
| Drinking, n (%) 5 | 41 (15.1) | 14 (15.6) | 17 (18.7) | 10 (11.0) | 0.345 |
Publisher’s Note: MDPI stays neutral with regard to jurisdictional claims in published maps and institutional affiliations. |
© 2020 by the authors. Licensee MDPI, Basel, Switzerland. This article is an open access article distributed under the terms and conditions of the Creative Commons Attribution (CC BY) license (http://creativecommons.org/licenses/by/4.0/).
Share and Cite
Yu, H.; Kim, S.H.; Noh, M.-Y.; Lee, S.; Park, Y. Relationship between Dietary Fiber Intake and the Prognosis of Amytrophic Lateral Sclerosis in Korea. Nutrients 2020, 12, 3420. https://doi.org/10.3390/nu12113420
Yu H, Kim SH, Noh M-Y, Lee S, Park Y. Relationship between Dietary Fiber Intake and the Prognosis of Amytrophic Lateral Sclerosis in Korea. Nutrients. 2020; 12(11):3420. https://doi.org/10.3390/nu12113420
Chicago/Turabian StyleYu, Haelim, Seung Hyun Kim, Min-Young Noh, Sanggon Lee, and Yongsoon Park. 2020. "Relationship between Dietary Fiber Intake and the Prognosis of Amytrophic Lateral Sclerosis in Korea" Nutrients 12, no. 11: 3420. https://doi.org/10.3390/nu12113420
APA StyleYu, H., Kim, S. H., Noh, M.-Y., Lee, S., & Park, Y. (2020). Relationship between Dietary Fiber Intake and the Prognosis of Amytrophic Lateral Sclerosis in Korea. Nutrients, 12(11), 3420. https://doi.org/10.3390/nu12113420

