Serum Phospholipids Fatty Acids and Breast Cancer Risk by Pathological Subtype
Abstract
1. Introduction
2. Materials and Methods
2.1. Study Population
2.2. Analysis of Serum PL-FAs
2.3. Statistical Methods
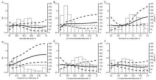
3. Results
4. Discussion
5. Conclusions
Author Contributions
Funding
Conflicts of Interest
References
- Ferlay, J.; Ervik, M.; Lam, F.; Colombet, M.; Mery, L.; Piñeros, M.; Znaor, A.; Soerjomataram, I.; Bray, F. Global Cancer Observatory: Cancer Today. 2018. Available online: https://gco.iarc.fr/ (accessed on 25 August 2020).
- Galceran, J.; Ameijide, A.; Carulla, M.; Mateos, A.; Quiros, J.R.; Rojas, D.; Aleman, A.; Torrella, A.; Chico, M.; Vicente, M.; et al. Cancer incidence in Spain, 2015. Clin. Transl. Oncol. 2017, 19, 799–825. [Google Scholar] [CrossRef] [PubMed]
- Ferlay, J.; Colombet, M.; Soerjomataram, I.; Dyba, T.; Randi, G.; Bettio, M.; Gavin, A.; Visser, O.; Bray, F. Cancer incidence and mortality patterns in Europe: Estimates for 40 countries and 25 major cancers in 2018. Eur. J. Cancer 2018, 103, 356–387. [Google Scholar] [CrossRef] [PubMed]
- WCRF/AICR. Continuous Update Project expert Report 2018. Diet, Nutrition, Physical Activity and Breast Cancer. Available online: https://www.wcrf.org/sites/default/files/Breast-cancer-report.pdf (accessed on 25 August 2020).
- Khodarahmi, M.; Azadbakht, L. The association between different kinds of fat intake and breast cancer risk in women. Int. J. Prev. Med. 2014, 5, 6–15. [Google Scholar] [PubMed]
- Sellem, L.; Srour, B.; Gueraud, F.; Pierre, F.; Kesse-Guyot, E.; Fiolet, T.; Lavalette, C.; Egnell, M.; Latino-Martel, P.; Fassier, P.; et al. Saturated, mono- and polyunsaturated fatty acid intake and cancer risk: Results from the French prospective cohort NutriNet-Sante. Eur. J. Nutr. 2019, 58, 1515–1527. [Google Scholar] [CrossRef]
- Shapira, N. The potential contribution of dietary factors to breast cancer prevention. Eur. J. Cancer Prev. 2017, 26, 385–395. [Google Scholar] [CrossRef]
- Sieri, S.; Chiodini, P.; Agnoli, C.; Pala, V.; Berrino, F.; Trichopoulou, A.; Benetou, V.; Vasilopoulou, E.; Sanchez, M.J.; Chirlaque, M.D.; et al. Dietary fat intake and development of specific breast cancer subtypes. J. Natl. Cancer Inst. 2014, 106. [Google Scholar] [CrossRef]
- Nindrea, R.D.; Aryandono, T.; Lazuardi, L.; Dwiprahasto, I. Association of Dietary Intake Ratio of n-3/n-6 Polyunsaturated Fatty Acids with Breast Cancer Risk in Western and Asian Countries: A Meta-Analysis. Asian Pac. J. Cancer Prev. 2019, 20, 1321–1327. [Google Scholar] [CrossRef]
- Seiler, A.; Chen, M.A.; Brown, R.L.; Fagundes, C.P. Obesity, Dietary Factors, Nutrition, and Breast Cancer Risk. Curr. Breast Cancer Rep. 2018, 10, 14–27. [Google Scholar] [CrossRef]
- Zanoaga, O.; Jurj, A.; Raduly, L.; Cojocneanu-Petric, R.; Fuentes-Mattei, E.; Wu, O.; Braicu, C.; Gherman, C.D.; Berindan-Neagoe, I. Implications of dietary omega-3 and omega-6 polyunsaturated fatty acids in breast cancer. Exp. Ther. Med. 2018, 15, 1167–1176. [Google Scholar] [CrossRef]
- Zheng, J.S.; Hu, X.J.; Zhao, Y.M.; Yang, J.; Li, D. Intake of fish and marine n-3 polyunsaturated fatty acids and risk of breast cancer: Meta-analysis of data from 21 independent prospective cohort studies. BMJ 2013, 346, f3706. [Google Scholar] [CrossRef]
- Heitmann, B.L.; Frederiksen, P. Imprecise methods may both obscure and aggravate a relation between fat and breast cancer. Eur. J. Clin. Nutr. 2007, 61, 925–927. [Google Scholar] [CrossRef]
- Chavarro, J.E.; Kenfield, S.A.; Stampfer, M.J.; Loda, M.; Campos, H.; Sesso, H.D.; Ma, J. Blood levels of saturated and monounsaturated fatty acids as markers of de novo lipogenesis and risk of prostate cancer. Am. J. Epidemiol. 2013, 178, 1246–1255. [Google Scholar] [CrossRef] [PubMed]
- Cao, Y.; Hou, L.; Wang, W. Dietary total fat and fatty acids intake, serum fatty acids and risk of breast cancer: A meta-analysis of prospective cohort studies. Int. J. Cancer 2016, 138, 1894–1904. [Google Scholar] [CrossRef] [PubMed]
- Bassett, J.K.; Hodge, A.M.; English, D.R.; MacInnis, R.J.; Giles, G.G. Plasma phospholipids fatty acids, dietary fatty acids, and breast cancer risk. Cancer Causes Control 2016, 27, 759–773. [Google Scholar] [CrossRef] [PubMed]
- Hirko, K.A.; Chai, B.; Spiegelman, D.; Campos, H.; Farvid, M.S.; Hankinson, S.E.; Willett, W.C.; Eliassen, A.H. Erythrocyte membrane fatty acids and breast cancer risk: A prospective analysis in the nurses’ health study II. Int. J. Cancer 2018, 142, 1116–1129. [Google Scholar] [CrossRef] [PubMed]
- Chajes, V.; Assi, N.; Biessy, C.; Ferrari, P.; Rinaldi, S.; Slimani, N.; Lenoir, G.M.; Baglietto, L.; His, M.; Boutron-Ruault, M.C.; et al. A prospective evaluation of plasma phospholipid fatty acids and breast cancer risk in the EPIC study. Ann. Oncol. 2017, 28, 2836–2842. [Google Scholar] [CrossRef] [PubMed]
- Anjom-Shoae, J.; Sadeghi, O.; Larijani, B.; Esmaillzadeh, A. Dietary intake and serum levels of trans fatty acids and risk of breast cancer: A systematic review and dose-response meta-analysis of prospective studies. Clin. Nutr. 2019. [Google Scholar] [CrossRef]
- Burstein, H.J.; Curigliano, G.; Loibl, S.; Dubsky, P.; Gnant, M.; Poortmans, P.; Colleoni, M.; Denkert, C.; Piccart-Gebhart, M.; Regan, M.; et al. Estimating the benefits of therapy for early-stage breast cancer: The St. Gallen International Consensus Guidelines for the primary therapy of early breast cancer 2019. Ann. Oncol. 2019, 30, 1541–1557. [Google Scholar] [CrossRef]
- Monaco, M.E. Fatty acid metabolism in breast cancer subtypes. Oncotarget 2017, 8, 29487–29500. [Google Scholar] [CrossRef]
- Goldhirsch, A.; Wood, W.C.; Coates, A.S.; Gelber, R.D.; Thurlimann, B.; Senn, H.J.; Panel, M. Strategies for subtypes—Dealing with the diversity of breast cancer: Highlights of the St. Gallen International Expert Consensus on the Primary Therapy of Early Breast Cancer 2011. Ann. Oncol. 2011, 22, 1736–1747. [Google Scholar] [CrossRef]
- Hammond, M.E.; Hayes, D.F.; Dowsett, M.; Allred, D.C.; Hagerty, K.L.; Badve, S.; Fitzgibbons, P.L.; Francis, G.; Goldstein, N.S.; Hayes, M.; et al. American Society of Clinical Oncology/College of American Pathologists guideline recommendations for immunohistochemical testing of estrogen and progesterone receptors in breast cancer. J. Clin. Oncol. 2010, 28, 2784–2795. [Google Scholar] [CrossRef] [PubMed]
- Wolff, A.C.; Hammond, M.E.H.; Allison, K.H.; Harvey, B.E.; Mangu, P.B.; Bartlett, J.M.S.; Bilous, M.; Ellis, I.O.; Fitzgibbons, P.; Hanna, W.; et al. Human Epidermal Growth Factor Receptor 2 Testing in Breast Cancer: American Society of Clinical Oncology/College of American Pathologists Clinical Practice Guideline Focused Update. J. Clin. Oncol. 2018, 36, 2105–2122. [Google Scholar] [CrossRef] [PubMed]
- Willett, W.C.; Sampson, L.; Stampfer, M.J.; Rosner, B.; Bain, C.; Witschi, J.; Hennekens, C.H.; Speizer, F.E. Reproducibility and validity of a semiquantitative food frequency questionnaire. Am. J. Epidemiol. 1985, 122, 51–65. [Google Scholar] [CrossRef] [PubMed]
- Vioque, J.; Navarrete-Munoz, E.M.; Gimenez-Monzo, D.; Garcia-de-la-Hera, M.; Granado, F.; Young, I.S.; Ramon, R.; Ballester, F.; Murcia, M.; Rebagliato, M.; et al. Reproducibility and validity of a food frequency questionnaire among pregnant women in a Mediterranean area. Nutr. J. 2013, 12, 26. [Google Scholar] [CrossRef]
- Lope, V.; Martin, M.; Castello, A.; Casla, S.; Ruiz, A.; Baena-Canada, J.M.; Casas, A.M.; Calvo, L.; Bermejo, B.; Munoz, M.; et al. Physical activity and breast cancer risk by pathological subtype. Gynecol. Oncol. 2017, 144, 577–585. [Google Scholar] [CrossRef] [PubMed]
- Lope, V.; Martin, M.; Castello, A.; Ruiz, A.; Casas, A.M.; Baena-Canada, J.M.; Antolin, S.; Ramos-Vazquez, M.; Garcia-Saenz, J.A.; Munoz, M.; et al. Overeating, caloric restriction and breast cancer risk by pathologic subtype: The EPIGEICAM study. Sci. Rep. 2019, 9, 3904. [Google Scholar] [CrossRef] [PubMed]
- Criado-Navarro, I.; Mena-Bravo, A.; Calderon-Santiago, M.; Priego-Capote, F. Profiling analysis of phospholipid fatty acids in serum as a complement to the comprehensive fatty acids method. J. Chromatogr. A 2020, 1619, 460965. [Google Scholar] [CrossRef] [PubMed]
- Chajes, V.; Joulin, V.; Clavel-Chapelon, F. The fatty acid desaturation index of blood lipids, as a biomarker of hepatic stearoyl-CoA desaturase expression, is a predictive factor of breast cancer risk. Curr. Opin. Lipidol. 2011, 22, 6–10. [Google Scholar] [CrossRef] [PubMed]
- Tosi, F.; Sartori, F.; Guarini, P.; Olivieri, O.; Martinelli, N. Delta-5 and delta-6 desaturases: Crucial enzymes in polyunsaturated fatty acid-related pathways with pleiotropic influences in health and disease. Adv. Exp. Med. Biol. 2014, 824, 61–81. [Google Scholar] [CrossRef]
- White, I.R.; Royston, P.; Wood, A.M. Multiple imputation using chained equations: Issues and guidance for practice. Stat. Med. 2011, 30, 377–399. [Google Scholar] [CrossRef]
- Royston, P.; White, I.R. Multiple Imputation by Chained Equations (MICE): Implementation in Stata. J. Stat. Softw. 2011, 45, 1–20. [Google Scholar] [CrossRef]
- Greenland, S. Dose-response and trend analysis in epidemiology: Alternatives to categorical analysis. Epidemiology 1995, 6, 356–365. [Google Scholar] [CrossRef] [PubMed]
- Benjamini, Y.; Hochberg, Y. Controlling the False Discovery Rate: A Practical and Powerful Approach to Multiple Testing. J. R. Stat. Soc. Series B 1995, 57, 289–300. [Google Scholar] [CrossRef]
- Kris-Etherton, P.M.; Griel, A.E.; Psota, T.L.; Gebauer, S.K.; Zhang, J.; Etherton, T.D. Dietary stearic acid and risk of cardiovascular disease: Intake, sources, digestion, and absorption. Lipids 2005, 40, 1193–1200. [Google Scholar] [CrossRef] [PubMed]
- Shen, M.C.; Zhao, X.; Siegal, G.P.; Desmond, R.; Hardy, R.W. Dietary stearic acid leads to a reduction of visceral adipose tissue in athymic nude mice. PLoS ONE 2014, 9, e104083. [Google Scholar] [CrossRef] [PubMed]
- Saadatian-Elahi, M.; Norat, T.; Goudable, J.; Riboli, E. Biomarkers of dietary fatty acid intake and the risk of breast cancer: A meta-analysis. Int. J. Cancer 2004, 111, 584–591. [Google Scholar] [CrossRef] [PubMed]
- Habib, N.A.; Wood, C.B.; Apostolov, K.; Barker, W.; Hershman, M.J.; Aslam, M.; Heinemann, D.; Fermor, B.; Williamson, R.C.; Jenkins, W.E.; et al. Stearic acid and carcinogenesis. Br. J. Cancer 1987, 56, 455–458. [Google Scholar] [CrossRef]
- Evans, L.M.; Cowey, S.L.; Siegal, G.P.; Hardy, R.W. Stearate preferentially induces apoptosis in human breast cancer cells. Nutr. Cancer 2009, 61, 746–753. [Google Scholar] [CrossRef]
- Cunningham, E. What are n-7 fatty acids and are there health benefits associated with them? J. Acad. Nutr. Diet 2015, 115, 324. [Google Scholar] [CrossRef]
- Ros, E.; Lopez-Miranda, J.; Pico, C.; Rubio, M.A.; Babio, N.; Sala-Vila, A.; Perez-Jimenez, F.; Escrich, E.; Bullo, M.; Solanas, M.; et al. Consensus on Fats and Oils in the Diet of S Ish Adults; Position Paper of the Spanish Federation of Food, Nutrition and Dietetics Societies. Nutr. Hosp. 2015, 32, 435–477. [Google Scholar] [CrossRef]
- Chajes, V.; Thiebaut, A.C.; Rotival, M.; Gauthier, E.; Maillard, V.; Boutron-Ruault, M.C.; Joulin, V.; Lenoir, G.M.; Clavel-Chapelon, F. Association between serum trans-monounsaturated fatty acids and breast cancer risk in the E3N-EPIC Study. Am. J. Epidemiol. 2008, 167, 1312–1320. [Google Scholar] [CrossRef] [PubMed]
- Shannon, J.; King, I.B.; Moshofsky, R.; Lampe, J.W.; Gao, D.L.; Ray, R.M.; Thomas, D.B. Erythrocyte fatty acids and breast cancer risk: A case-control study in Shanghai, China. Am. J. Clin. Nutr. 2007, 85, 1090–1097. [Google Scholar] [CrossRef] [PubMed]
- Igal, R.A. Stearoyl CoA desaturase-1: New insights into a central regulator of cancer metabolism. Biochim. Biophys. Acta 2016, 1861, 1865–1880. [Google Scholar] [CrossRef]
- Chajes, V.; Hulten, K.; Van Kappel, A.L.; Winkvist, A.; Kaaks, R.; Hallmans, G.; Lenner, P.; Riboli, E. Fatty-acid composition in serum phospholipids and risk of breast cancer: An incident case-control study in Sweden. Int. J. Cancer 1999, 83, 585–590. [Google Scholar] [CrossRef]
- Pala, V.; Krogh, V.; Muti, P.; Chajes, V.; Riboli, E.; Micheli, A.; Saadatian, M.; Sieri, S.; Berrino, F. Erythrocyte membrane fatty acids and subsequent breast cancer: A prospective Italian study. J. Natl. Cancer Inst. 2001, 93, 1088–1095. [Google Scholar] [CrossRef] [PubMed]
- Holder, A.M.; Gonzalez-Angulo, A.M.; Chen, H.; Akcakanat, A.; Do, K.A.; Fraser Symmans, W.; Pusztai, L.; Hortobagyi, G.N.; Mills, G.B.; Meric-Bernstam, F. High stearoyl-CoA desaturase 1 expression is associated with shorter survival in breast cancer patients. Breast Cancer Res. Treat. 2013, 137, 319–327. [Google Scholar] [CrossRef]
- Zhou, Y.; Wang, T.; Zhai, S.; Li, W.; Meng, Q. Linoleic acid and breast cancer risk: A meta-analysis. Public Health Nutr. 2016, 19, 1457–1463. [Google Scholar] [CrossRef]
- Johnson, G.H.; Fritsche, K. Effect of dietary linoleic acid on markers of inflammation in healthy persons: A systematic review of randomized controlled trials. J. Acad. Nutr. Diet 2012, 112, 1029–1041, 1041.e1–15. [Google Scholar] [CrossRef]
- Pender-Cudlip, M.C.; Krag, K.J.; Martini, D.; Yu, J.; Guidi, A.; Skinner, S.S.; Zhang, Y.; Qu, X.; He, C.; Xu, Y.; et al. Delta-6-desaturase activity and arachidonic acid synthesis are increased in human breast cancer tissue. Cancer Sci. 2013, 104, 760–764. [Google Scholar] [CrossRef]
- Pouchieu, C.; Chajes, V.; Laporte, F.; Kesse-Guyot, E.; Galan, P.; Hercberg, S.; Latino-Martel, P.; Touvier, M. Prospective associations between plasma saturated, monounsaturated and polyunsaturated fatty acids and overall and breast cancer risk—Modulation by antioxidants: A nested case-control study. PLoS ONE 2014, 9, e90442. [Google Scholar] [CrossRef]
- Wirfalt, E.; Vessby, B.; Mattisson, I.; Gullberg, B.; Olsson, H.; Berglund, G. No relations between breast cancer risk and fatty acids of erythrocyte membranes in postmenopausal women of the Malmo Diet Cancer cohort (Sweden). Eur. J. Clin. Nutr. 2004, 58, 761–770. [Google Scholar] [CrossRef] [PubMed]
- Ferlay, A.; Bernard, L.; Meynadier, A.; Malpuech-Brugere, C. Production of trans and conjugated fatty acids in dairy ruminants and their putative effects on human health: A review. Biochimie 2017, 141, 107–120. [Google Scholar] [CrossRef] [PubMed]
- Jaudszus, A.; Kramer, R.; Pfeuffer, M.; Roth, A.; Jahreis, G.; Kuhnt, K. Trans Palmitoleic acid arises endogenously from dietary vaccenic acid. Am. J. Clin. Nutr. 2014, 99, 431–435. [Google Scholar] [CrossRef] [PubMed]
- Takata, Y.; King, I.B.; Neuhouser, M.L.; Schaffer, S.; Barnett, M.; Thornquist, M.; Peters, U.; Goodman, G.E. Association of serum phospholipid fatty acids with breast cancer risk among postmenopausal cigarette smokers. Cancer Causes Control 2009, 20, 497–504. [Google Scholar] [CrossRef]
- Chajes, V.; Biessy, C.; Byrnes, G.; Deharveng, G.; Saadatian-Elahi, M.; Jenab, M.; Peeters, P.H.; Ocke, M.; Bueno-de-Mesquita, H.B.; Johansson, I.; et al. Ecological-level associations between highly processed food intakes and plasma phospholipid elaidic acid concentrations: Results from a cross-sectional study within the European prospective investigation into cancer and nutrition (EPIC). Nutr. Cancer 2011, 63, 1235–1250. [Google Scholar] [CrossRef] [PubMed]
- Chajes, V.; Biessy, C.; Ferrari, P.; Romieu, I.; Freisling, H.; Huybrechts, I.; Scalbert, A.; Bueno de Mesquita, B.; Romaguera, D.; Gunter, M.J.; et al. Plasma elaidic acid level as biomarker of industrial trans fatty acids and risk of weight change: Report from the EPIC study. PLoS ONE 2015, 10, e0118206. [Google Scholar] [CrossRef]
- Mazidi, M.; Gao, H.K.; Kengne, A.P. Inflammatory Markers Are Positively Associated with Serum trans-Fatty Acids in an Adult American Population. J. Nutr. Metab. 2017, 2017, 3848201. [Google Scholar] [CrossRef]
- Perez-Farinos, N.; Dal Re Saavedra, M.A.; Villar Villalba, C.; Robledo de Dios, T. Trans-fatty acid content of food products in Spain in 2015. Gac. Sanit. 2016, 30, 379–382. [Google Scholar] [CrossRef]
- Official Journal of the European Union. Commission Regulation (EU) 2019/649 of 24 April 2019 amending Annex III to Regulation (EC) No 1925/2006 of the European Parliament and of the Council as regards trans fat, other than trans fat naturally occurring in fat of animal origin. 2019, 62, 17–20. [Google Scholar]
- Quehenberger, O.; Armando, A.M.; Dennis, E.A. High sensitivity quantitative lipidomics analysis of fatty acids in biological samples by gas chromatography-mass spectrometry. Biochim. Biophys. Acta 2011, 1811, 648–656. [Google Scholar] [CrossRef]
- Puig-Vives, M.; Sanchez, M.J.; Sanchez-Cantalejo, J.; Torrella-Ramos, A.; Martos, C.; Ardanaz, E.; Chirlaque, M.D.; Perucha, J.; Diaz, J.M.; Mateos, A.; et al. Distribution and prognosis of molecular breast cancer subtypes defined by immunohistochemical biomarkers in a Spanish population-based study. Gynecol. Oncol. 2013, 130, 609–614. [Google Scholar] [CrossRef]
- Baylin, A.; Campos, H. The use of fatty acid biomarkers to reflect dietary intake. Curr. Opin. Lipidol. 2006, 17, 22–27. [Google Scholar] [CrossRef] [PubMed]
- Zeleniuch-Jacquotte, A.; Chajes, V.; Van Kappel, A.L.; Riboli, E.; Toniolo, P. Reliability of fatty acid composition in human serum phospholipids. Eur. J. Clin. Nutr. 2000, 54, 367–372. [Google Scholar] [CrossRef] [PubMed]
- Thiebaut, A.C.; Rotival, M.; Gauthier, E.; Lenoir, G.M.; Boutron-Ruault, M.C.; Joulin, V.; Clavel-Chapelon, F.; Chajes, V. Correlation between serum phospholipid fatty acids and dietary intakes assessed a few years earlier. Nutr. Cancer 2009, 61, 500–509. [Google Scholar] [CrossRef] [PubMed]

| Characteristics | Cases (n = 795) | Controls (n = 795) | p-Value | ||
|---|---|---|---|---|---|
| Age, mean (SD) | 50.5 | (9.5) | 50.3 | (9.4) | 0.730 a |
| Educational level, n (%) | |||||
| No formal school education/First grade | 173 | (22) | 132 | (17) | 0.001 a |
| Second grade/Vocational training | 424 | (53) | 406 | (51) | |
| University graduate | 198 | (25) | 257 | (32) | |
| Age at menarche, mean (SD) | 12.6 | (1.5) | 12.5 | (1.5) | 0.159 b |
| Age at first birth, mean (SD) | 26.5 | (4.4) | 26.2 | (4.4) | 0.129 b |
| Number of children, n (%) | |||||
| None | 172 | (22) | 178 | (22) | 0.970 a |
| 1–2 | 479 | (60) | 479 | (60) | |
| 3–4 | 133 | (17) | 128 | (16) | |
| >4 | 11 | (1) | 10 | (1) | |
| Menopausal status, n (%) | |||||
| Premenopausal | 451 | (57) | 412 | (52) | 0.050 a |
| Postmenopausal | 344 | (43) | 383 | (48) | |
| Body mass index, Kg/m2, mean (SD) | |||||
| Premenopausal | 24.5 | (4.3) | 24.8 | (4.5) | 0.146 b |
| Postmenopausal | 27.1 | (4.9) | 26.3 | (4.1) | 0.009 b |
| Waist circumference (cm) | 88.1 | (14.2) | 87.2 | (12.8) | 0.146 b |
| Hormone replacement therapy use, n (%) | |||||
| Never | 702 | (88) | 712 | (90) | 0.386 b |
| Ever | 93 | (12) | 83 | (10) | |
| Previous benign breast problems, n (%) | |||||
| No | 620 | (78) | 651 | (82) | 0.052 a |
| Yes | 175 | (22) | 144 | (18) | |
| Family history of breast cancer, n (%) | |||||
| None | 597 | (75) | 639 | (80) | 0.033 a |
| Second degree | 101 | (13) | 85 | (11) | |
| First degree | 97 | (12) | 71 | (9) | |
| Self-assessed physical activity last year, n (%) | |||||
| Sedentary/slightly active | 297 | (37) | 266 | (33) | 0.332 b |
| Moderately active | 281 | (35) | 313 | (39) | |
| Active/very active | 217 | (27) | 217 | (27) | |
| Alcohol consumption (g/day), n (%) | |||||
| No | 190 | (24) | 184 | (23) | 0.537 b |
| <10 | 440 | (55) | 469 | (59) | |
| ≥10 | 164 | (21) | 142 | (18) | |
| Smoking, n (%) | |||||
| Never smoker | 343 | (43) | 332 | (42) | 0.367 b |
| Former smoker ≥ 6 months ago | 208 | (26) | 203 | (26) | |
| Smoker or former smoker < 6 months | 244 | (31) | 260 | (33) | |
| Caloric intake (Kcal/day), mean (SD) | 1991.1 | (623.4) | 1903.8 | (659.9) | 0.005 b |
| Tumor subtype c, n (%) | |||||
| HR+ | 532 | (67) | |||
| HER2+ | 162 | (20) | |||
| TN | 99 | (12) | |||
| Cases | Controls | Tertile 2 | Tertile 3 | |||||||||
|---|---|---|---|---|---|---|---|---|---|---|---|---|
| Mean % | SD | Mean % | SD | OR a | (95% CI) | p-Value | OR a | (95% CI) | p-Value | p-Trend | q-Trend b | |
| SFAs | ||||||||||||
| 14:0 myristic acid | 0.42 | (0.31) | 0.40 | (0.28) | 0.90 | (0.69–1.19) | 0.464 | 0.96 | (0.72–1.28) | 0.783 | 0.797 | 0.797 |
| 15:0 pentadecanoic acid | 0.19 | (0.17) | 0.18 | (0.16) | 1.15 | (0.88–1.51) | 0.308 | 1.37 | (1.03–1.82) | 0.032 | 0.031 | 0.088 |
| 16:0 palmitic acid | 39.78 | (8.73) | 38.87 | (8.21) | 0.87 | (0.65–1.14) | 0.308 | 1.23 | (0.91–1.66) | 0.181 | 0.199 | 0.388 |
| 17:0 margaric acid | 0.27 | (0.54) | 0.24 | (0.15) | 1.14 | (0.86–1.52) | 0.349 | 1.25 | (0.92–1.69) | 0.150 | 0.150 | 0.326 |
| 18:0 stearic acid | 15.90 | (4.77) | 16.76 | (5.02) | 0.97 | (0.72–1.32) | 0.865 | 0.44 | (0.30–0.66) | <0.001 | <0.001 | 0.009 |
| 20:0 arachidic acid | 0.09 | (0.32) | 0.10 | (0.30) | 1.34 | (0.95–1.89) | 0.096 | 1.05 | (0.78–1.41) | 0.743 | 0.646 | 0.771 |
| 22:0 behenic acid | 0.01 | (0.05) | 0.01 | (0.06) | 0.43 | (0.30–0.61) | <0.001 | 0.70 | (0.51–0.96) | 0.025 | 0.017 | 0.061 |
| Total SFAs | 56.67 | (7.72) | 56.57 | (7.86) | 0.84 | (0.62–1.12) | 0.231 | 0.86 | (0.64–1.16) | 0.319 | 0.340 | 0.503 |
| cis-MUFAs | ||||||||||||
| 16:1 n-7 palmitoleic acid | 0.32 | (0.30) | 0.29 | (0.26) | 1.48 | (1.10–1.97) | 0.008 | 1.65 | (1.20–2.26) | 0.002 | 0.002 | 0.015 |
| 17:1 heptadecenoic acid | 0.03 | (0.03) | 0.03 | (0.03) | 0.80 | (0.61–1.06) | 0.120 | 1.04 | (0.77–1.40) | 0.810 | 0.792 | 0.797 |
| 18:1 n-9 oleic acid | 12.10 | (5.54) | 11.92 | (5.36) | 1.06 | (0.82–1.38) | 0.658 | 1.17 | (0.86–1.60) | 0.306 | 0.313 | 0.483 |
| 20:1 n-9 gondoic acid | 0.12 | (0.54) | 0.08 | (0.10) | 1.20 | (0.88–1.64) | 0.243 | 1.68 | (1.23–2.30) | 0.001 | 0.001 | 0.009 |
| 22:1 n-9 erucic acid | 0.12 | (0.42) | 0.22 | (1.23) | 0.99 | (0.72–1.36) | 0.932 | 0.77 | (0.57–1.02) | 0.071 | 0.077 | 0.178 |
| Total cis-MUFAs | 12.69 | (5.61) | 12.54 | (5.54) | 1.06 | (0.81–1.38) | 0.680 | 1.19 | (0.87–1.62) | 0.273 | 0.282 | 0.454 |
| cis-n-6 PUFAs | ||||||||||||
| 18:2 linoleic acid | 17.37 | (4.30) | 17.65 | (4.08) | 0.91 | (0.69–1.18) | 0.468 | 0.66 | (0.49–0.90) | 0.009 | 0.010 | 0.053 |
| 18:3 γ-linolenic acid | 0.04 | (0.42) | 0.02 | (0.06) | 0.87 | (0.63–1.19) | 0.371 | 1.39 | (1.06–1.82) | 0.019 | 0.018 | 0.061 |
| 20:2 eicosadienoic acid | 0.11 | (0.15) | 0.10 | (0.13) | 0.92 | (0.68–1.25) | 0.608 | 1.18 | (0.85–1.62) | 0.322 | 0.274 | 0.454 |
| 20:3 dihomo-γ-linolenic acid | 1.99 | (1.20) | 1.85 | (1.02) | 1.05 | (0.81–1.38) | 0.695 | 1.30 | (0.99–1.71) | 0.063 | 0.060 | 0.148 |
| 20:4 arachidonic acid | 7.05 | (2.61) | 7.15 | (2.63) | 1.02 | (0.77–1.33) | 0.909 | 0.94 | (0.71–1.25) | 0.689 | 0.698 | 0.783 |
| 22:2 docosadienoic acid | 0.02 | (0.03) | 0.02 | (0.03) | 0.87 | (0.65–1.17) | 0.364 | 1.17 | (0.89–1.55) | 0.255 | 0.249 | 0.454 |
| Total cis-n-6 PUFAs | 26.59 | (5.97) | 26.80 | (5.96) | 0.99 | (0.76–1.30) | 0.960 | 0.87 | (0.64–1.19) | 0.391 | 0.415 | 0.591 |
| cis-n-3 PUFAs | ||||||||||||
| 18:3 α-linolenic acid | 0.06 | (0.06) | 0.06 | (0.07) | 0.96 | (0.71–1.31) | 0.807 | 1.04 | (0.76–1.44) | 0.794 | 0.767 | 0.797 |
| 20:5 eicosapentaenoic acid (EPA) | 0.46 | (0.51) | 0.50 | (0.58) | 1.02 | (0.77–1.33) | 0.905 | 0.93 | (0.69–1.26) | 0.648 | 0.642 | 0.771 |
| 22:6 docosahexaenoic acid (DHA) | 1.94 | (1.30) | 1.98 | (1.24) | 0.92 | (0.70–1.21) | 0.541 | 0.90 | (0.67–1.20) | 0.468 | 0.465 | 0.637 |
| Total cis-n-3 PUFAs | 2.46 | (1.64) | 2.54 | (1.65) | 1.03 | (0.78–1.36) | 0.836 | 0.95 | (0.70–1.28) | 0.747 | 0.746 | 0.797 |
| Total trans Fatty acids | ||||||||||||
| 16:1 n-7t palmitelaidic acid | 0.24 | (0.19) | 0.22 | (0.18) | 1.51 | (1.12–2.04) | 0.006 | 1.51 | (1.12–2.02) | 0.007 | 0.012 | 0.056 |
| 18:1 n-9t elaidic acid | 0.21 | (0.66) | 0.25 | (1.89) | 1.53 | (1.14–2.04) | 0.005 | 1.52 | (1.14–2.03) | 0.004 | 0.005 | 0.031 |
| 18:1 n-7t vaccenic acid | 1.11 | (0.67) | 1.07 | (0.46) | 1.06 | (0.80–1.41) | 0.663 | 1.18 | (0.88–1.57) | 0.268 | 0.268 | 0.454 |
| 18:2 n-6t linolelaidic acid | 0.01 | (0.04) | 0.01 | (0.12) | 0.85 | (0.60–1.21) | 0.379 | 0.92 | (0.69–1.21) | 0.540 | 0.559 | 0.713 |
| Ruminant trans-fatty acids c | 1.36 | (0.69) | 1.29 | (0.50) | 1.38 | (1.05–1.81) | 0.021 | 1.44 | (1.07–1.93) | 0.016 | 0.017 | 0.061 |
| Industrial trans-fatty acids d | 0.22 | (0.66) | 0.26 | (1.89) | 1.14 | (0.86–1.49) | 0.359 | 1.38 | (1.04–1.85) | 0.028 | 0.028 | 0.086 |
| Ratio cis-PUFA n-6/n-3 e | 13.74 | (2.20) | 13.33 | (2.25) | 1.08 | (0.82–1.42) | 0.595 | 1.09 | (0.81–1.47) | 0.551 | 0.553 | 0.713 |
| Desaturation indices | ||||||||||||
| SCD-16: 16:1n-7c/16:0 e | 0.01 | (1.93) | 0.01 | (1.97) | 1.40 | (1.06–1.87) | 0.020 | 1.25 | (0.91–1.72) | 0.161 | 0.160 | 0.329 |
| SCD-18: 18:1n-9/18:0 e | 0.73 | (1.58) | 0.69 | (1.63) | 2.21 | (1.58–3.08) | <0.001 | 2.04 | (1.45–2.87) | <0.001 | <0.001 | 0.009 |
| FADS1: 20:4n-6/20:3n-6 e | 3.74 | (1.54) | 4.01 | (1.48) | 0.79 | (0.61–1.02) | 0.067 | 0.64 | (0.48–0.84) | 0.001 | 0.001 | 0.009 |
| FADS2: 20:3n-6/18:2n-6 e | 0.10 | (1.02) | 0.10 | (1.75) | 1.12 | (0.86–1.47) | 0.401 | 1.35 | (1.02–1.78) | 0.034 | 0.034 | 0.090 |
| Menopausal Status | Body Mass Index | |||||||||||||||
|---|---|---|---|---|---|---|---|---|---|---|---|---|---|---|---|---|
| Premenopausal | Postmenopausal | BMI < 25 Kg/m2 | BMI ≥ 25 Kg/m2 | |||||||||||||
| OR a | 95% CI | p-Value | OR a | 95% CI | p-Value | p-het b | OR a | 95% CI | p-Value | OR a | 95% CI | p-Value | p-het b | |||
| SFAs | ||||||||||||||||
| 14:0 myristic acid | 1.15 | (0.79–1.68) | 0.452 | 0.77 | (0.51–1.17) | 0.219 | 0.147 | 0.80 | (0.54–1.18) | 0.262 | 1.18 | (0.79–1.76) | 0.422 | 0.143 | ||
| 15:0 pentadecanoic acid | 1.36 | (0.94–1.97) | 0.102 | 1.38 | (0.90–2.12) | 0.140 | 0.977 | 1.25 | (0.85–1.83) | 0.261 | 1.50 | (0.98–2.30) | 0.060 | 0.476 | ||
| 16:0 palmitic acid | 1.13 | (0.76–1.69) | 0.543 | 1.34 | (0.87–2.06) | 0.179 | 0.603 | 1.24 | (0.82–1.85) | 0.307 | 1.18 | (0.79–1.77) | 0.415 | 0.889 | ||
| 17:0 margaric acid | 1.24 | (0.84–1.83) | 0.270 | 1.25 | (0.81–1.95) | 0.314 | 0.980 | 1.28 | (0.86–1.89) | 0.221 | 1.22 | (0.81–1.85) | 0.339 | 0.884 | ||
| 18:0 stearic acid | 0.49 | (0.30–0.81) | 0.005 | 0.39 | (0.23–0.66) | <0.001 | 0.353 | 0.50 | (0.31–0.82) | 0.005 | 0.38 | (0.23–0.63) | <0.001 | 0.277 | ||
| 20:0 arachidic acid | 1.11 | (0.74–1.65) | 0.624 | 1.00 | (0.67–1.50) | 0.981 | 0.687 | 0.88 | (0.60–1.30) | 0.527 | 1.25 | (0.84–1.85) | 0.265 | 0.183 | ||
| 22:0 behenic acid | 0.74 | (0.49–1.10) | 0.137 | 0.65 | (0.42–1.02) | 0.062 | 0.791 | 0.68 | (0.46–1.01) | 0.057 | 0.73 | (0.49–1.09) | 0.120 | 0.740 | ||
| Total SFAs | 0.88 | (0.59–1.30) | 0.513 | 0.84 | (0.56–1.27) | 0.415 | 0.852 | 0.73 | (0.49–1.09) | 0.124 | 1.03 | (0.68–1.54) | 0.902 | 0.230 | ||
| cis-MUFAs | ||||||||||||||||
| 16:1 n-7 palmitoleic acid | 1.43 | (0.95–2.15) | 0.084 | 1.96 | (1.24–3.08) | 0.004 | 0.350 | 1.44 | (0.95–2.19) | 0.084 | 1.89 | (1.24–2.89) | 0.003 | 0.374 | ||
| 17:1 heptadecenoic acid | 1.11 | (0.74–1.65) | 0.620 | 0.96 | (0.63–1.46) | 0.840 | 0.686 | 1.07 | (0.71–1.60) | 0.759 | 1.01 | (0.68–1.51) | 0.944 | 0.911 | ||
| 18:1 n-9 oleic acid | 1.14 | (0.75–1.73) | 0.547 | 1.22 | (0.80–1.87) | 0.355 | 0.760 | 1.07 | (0.71–1.60) | 0.758 | 1.32 | (0.87–2.02) | 0.196 | 0.446 | ||
| 20:1 n-9 gondoic acid | 1.87 | (1.24–2.82) | 0.003 | 1.49 | (0.96–2.33) | 0.078 | 0.584 | 1.77 | (1.17–2.66) | 0.007 | 1.60 | (1.05–2.45) | 0.029 | 0.745 | ||
| 22:1 n-9 erucic acid | 0.72 | (0.49–1.05) | 0.086 | 0.83 | (0.55–1.26) | 0.387 | 0.589 | 0.84 | (0.57–1.23) | 0.359 | 0.70 | (0.48–1.03) | 0.073 | 0.431 | ||
| Total cis-MUFAs | 1.00 | (0.65–1.53) | 0.997 | 1.47 | (0.95–2.25) | 0.081 | 0.151 | 0.99 | (0.66–1.49) | 0.954 | 1.46 | (0.96–2.23) | 0.080 | 0.167 | ||
| cis-n-6 PUFAs | ||||||||||||||||
| 18:2 linoleic acid | 0.59 | (0.39–0.88) | 0.009 | 0.85 | (0.54–1.34) | 0.478 | 0.201 | 0.70 | (0.47–1.05) | 0.082 | 0.63 | (0.41–0.98) | 0.040 | 0.774 | ||
| 18:3 γ-linolenic acid | 1.47 | (1.02–2.11) | 0.036 | 1.29 | (0.86–1.92) | 0.216 | 0.587 | 1.49 | (1.02–2.17) | 0.037 | 1.30 | (0.91–1.87) | 0.148 | 0.577 | ||
| 20:2 eicosadienoic acid | 1.11 | (0.73–1.68) | 0.636 | 1.27 | (0.81–1.98) | 0.296 | 0.652 | 1.26 | (0.84–1.90) | 0.265 | 1.09 | (0.71–1.67) | 0.709 | 0.555 | ||
| 20:3 dihomo-γ-linolenic acid | 1.31 | (0.91–1.89) | 0.153 | 1.29 | (0.86–1.93) | 0.212 | 0.971 | 1.28 | (0.87–1.87) | 0.209 | 1.33 | (0.90–1.96) | 0.152 | 0.844 | ||
| 20:4 arachidonic acid | 0.87 | (0.60–1.25) | 0.446 | 1.05 | (0.70–1.58) | 0.818 | 0.500 | 1.15 | (0.77–1.72) | 0.506 | 0.80 | (0.55–1.17) | 0.254 | 0.185 | ||
| 22:2 docosadienoic acid | 1.23 | (0.85–1.78) | 0.264 | 1.11 | (0.75–1.65) | 0.603 | 0.735 | 1.13 | (0.77–1.66) | 0.529 | 1.21 | (0.84–1.76) | 0.308 | 0.774 | ||
| Total cis-n-6 PUFAs | 0.83 | (0.55–1.24) | 0.353 | 0.94 | (0.61–1.46) | 0.793 | 0.645 | 1.02 | (0.67–1.53) | 0.943 | 0.74 | (0.48–1.13) | 0.160 | 0.260 | ||
| cis-n-3 PUFAs | ||||||||||||||||
| 18:3 α-linolenic acid | 1.01 | (0.66–1.56) | 0.951 | 1.07 | (0.68–1.68) | 0.777 | 0.933 | 1.01 | (0.66–1.54) | 0.979 | 1.09 | (0.71–1.67) | 0.705 | 0.806 | ||
| 20:5 eicosapentaenoic acid (EPA) | 1.03 | (0.68–1.56) | 0.873 | 0.88 | (0.57–1.36) | 0.576 | 0.526 | 0.89 | (0.60–1.33) | 0.578 | 0.99 | (0.65–1.50) | 0.953 | 0.682 | ||
| 22:6 docosahexaenoic acid (DHA) | 0.91 | (0.61–1.35) | 0.642 | 0.88 | (0.59–1.32) | 0.548 | 0.913 | 1.13 | (0.76–1.69) | 0.536 | 0.71 | (0.47–1.06) | 0.090 | 0.090 | ||
| Total cis-n-3 PUFAs | 1.00 | (0.66–1.49) | 0.985 | 0.91 | (0.60–1.39) | 0.669 | 0.752 | 1.12 | (0.75–1.68) | 0.575 | 0.81 | (0.54–1.21) | 0.302 | 0.250 | ||
| Total trans fatty acids | ||||||||||||||||
| 16:1 n-7t palmitelaidic acid | 1.36 | (0.93–2.00) | 0.115 | 1.66 | (1.07–2.56) | 0.023 | 0.527 | 1.33 | (0.90–1.96) | 0.151 | 1.73 | (1.13–2.64) | 0.011 | 0.287 | ||
| 18:1 n-9t elaidic acid | 1.75 | (1.20–2.55) | 0.004 | 1.29 | (0.86–1.93) | 0.213 | 0.238 | 1.72 | (1.16–2.56) | 0.007 | 1.34 | (0.91–1.96) | 0.133 | 0.340 | ||
| 18:1 n-7t vaccenic acid | 1.02 | (0.70–1.49) | 0.910 | 1.42 | (0.93–2.17) | 0.109 | 0.247 | 1.17 | (0.79–1.72) | 0.430 | 1.20 | (0.80–1.81) | 0.375 | 0.937 | ||
| 18:2 n-6t linolelaidic acid | 1.06 | (0.73–1.54) | 0.757 | 0.78 | (0.51–1.18) | 0.235 | 0.314 | 1.07 | (0.74–1.55) | 0.719 | 0.78 | (0.54–1.14) | 0.196 | 0.244 | ||
| Ruminant trans-fatty acids c | 1.19 | (0.82–1.73) | 0.361 | 1.87 | (1.20–2.92) | 0.006 | 0.114 | 1.22 | (0.82–1.81) | 0.330 | 1.73 | (1.14–2.64) | 0.010 | 0.196 | ||
| Industrial trans-fatty acids d | 1.67 | (1.14–2.47) | 0.009 | 1.14 | (0.77–1.71) | 0.508 | 0.169 | 1.67 | (1.10–2.54) | 0.016 | 1.17 | (0.79–1.74) | 0.439 | 0.280 | ||
| Ratio cis-PUFA n-6/n-3 | 1.06 | (0.71–1.59) | 0.778 | 1.08 | (0.71–1.64) | 0.711 | 0.961 | 1.02 | (0.68–1.53) | 0.939 | 1.17 | (0.79–1.75) | 0.428 | 0.601 | ||
| Desaturation indices | ||||||||||||||||
| SCD-16: 16:1n-7c/16:0 | 1.08 | (0.71–1.63) | 0.723 | 1.48 | (0.95–2.31) | 0.087 | 0.392 | 1.11 | (0.74–1.69) | 0.610 | 1.38 | (0.91–2.11) | 0.131 | 0.466 | ||
| SCD-18: 18:1n-9/18:0 | 2.04 | (1.29–3.21) | 0.002 | 2.05 | (1.28–3.26) | 0.003 | 0.972 | 1.79 | (1.14–2.81) | 0.011 | 2.34 | (1.48–3.70) | <0.001 | 0.250 | ||
| FADS1: 20:4n-6/20:3n-6 | 0.68 | (0.47–0.98) | 0.040 | 0.59 | (0.39–0.88) | 0.009 | 0.567 | 0.78 | (0.54–1.12) | 0.178 | 0.52 | (0.35–0.77) | 0.001 | 0.130 | ||
| FADS2: 20:3n-6/18:2n-6 | 1.23 | (0.85–1.79) | 0.273 | 1.49 | (1.00–2.22) | 0.050 | 0.478 | 1.32 | (0.90–1.93) | 0.152 | 1.35 | (0.91–2.01) | 0.138 | 0.871 | ||
| HR+ (n = 532) | HER2+ (n = 162) | TN (n = 99) | ||||||||
|---|---|---|---|---|---|---|---|---|---|---|
| OR a | 95% CI | p-Value | OR a | 95% CI | p-Value | OR a | 95% CI | p-Value | p-Het b | |
| SFAs | ||||||||||
| 14:0 myristic acid | 1.10 | (0.83–1.45) | 0.502 | 0.87 | (0.57–1.33) | 0.526 | 0.72 | (0.43–1.19) | 0.200 | 0.208 |
| 15:0 pentadecanoic acid | 1.44 | (1.09–1.91) | 0.010 | 1.24 | (0.81–1.90) | 0.330 | 0.81 | (0.48–1.35) | 0.421 | 0.098 |
| 16:0 palmitic acid | 1.18 | (0.90–1.55) | 0.229 | 1.18 | (0.78–1.81) | 0.434 | 0.84 | (0.50–1.42) | 0.516 | 0.445 |
| 17:0 margaric acid | 1.20 | (0.91–1.59) | 0.197 | 1.16 | (0.75–1.81) | 0.505 | 1.39 | (0.81–2.37) | 0.232 | 0.854 |
| 18:0 stearic acid | 0.68 | (0.51–0.91) | 0.009 | 0.68 | (0.43–1.07) | 0.094 | 0.80 | (0.46–1.38) | 0.416 | 0.847 |
| 20:0 arachidic acid | 1.01 | (0.78–1.31) | 0.945 | 1.18 | (0.79–1.77) | 0.417 | 1.08 | (0.66–1.76) | 0.772 | 0.755 |
| 22:0 behenic acid | 0.81 | (0.63–1.05) | 0.113 | 0.92 | (0.62–1.35) | 0.656 | 0.94 | (0.58–1.50) | 0.782 | 0.757 |
| Total SFAs | 1.00 | (0.76–1.32) | 0.986 | 0.85 | (0.56–1.29) | 0.448 | 0.89 | (0.53–1.49) | 0.647 | 0.721 |
| cis-MUFAs | ||||||||||
| 16:1 n-7 palmitoleic acid | 1.41 | (1.06–1.88) | 0.017 | 1.59 | (1.02–2.47) | 0.041 | 1.28 | (0.74–2.24) | 0.377 | 0.809 |
| 17:1 heptadecenoic acid | 1.01 | (0.76–1.32) | 0.967 | 1.04 | (0.69–1.58) | 0.838 | 1.22 | (0.73–2.06) | 0.445 | 0.767 |
| 18:1 n-9 oleic acid | 1.14 | (0.86–1.51) | 0.353 | 0.89 | (0.58–1.37) | 0.596 | 1.18 | (0.70–1.98) | 0.538 | 0.516 |
| 20:1 n-9 gondoic acid | 1.35 | (1.02–1.79) | 0.034 | 1.72 | (1.11–2.66) | 0.015 | 1.56 | (0.91–2.65) | 0.103 | 0.547 |
| 22:1 n-9 erucic acid | 0.70 | (0.54–0.91) | 0.009 | 1.21 | (0.82–1.79) | 0.330 | 0.86 | (0.53–1.42) | 0.564 | 0.030 |
| Total cis-MUFAs | 1.12 | (0.85–1.49) | 0.417 | 0.94 | (0.61–1.46) | 0.786 | 1.21 | (0.72–2.02) | 0.477 | 0.683 |
| cis-n-6 PUFAs | ||||||||||
| 18:2 linoleic acid | 0.68 | (0.51–0.90) | 0.008 | 0.80 | (0.52–1.25) | 0.328 | 0.91 | (0.54–1.54) | 0.725 | 0.486 |
| 18:3 γ-linolenic acid | 1.23 | (0.96–1.58) | 0.104 | 1.16 | (0.79–1.71) | 0.457 | 1.79 | (1.12–2.87) | 0.016 | 0.264 |
| 20:2 eicosadienoic acid | 0.99 | (0.75–1.30) | 0.946 | 1.43 | (0.94–2.18) | 0.097 | 1.31 | (0.77–2.24) | 0.320 | 0.197 |
| 20:3 dihomo-γ-linolenic acid | 1.18 | (0.89–1.56) | 0.258 | 1.26 | (0.84–1.90) | 0.263 | 1.30 | (0.76–2.22) | 0.340 | 0.905 |
| 20:4 arachidonic acid | 0.87 | (0.66–1.15) | 0.316 | 0.84 | (0.55–1.29) | 0.428 | 1.07 | (0.63–1.84) | 0.792 | 0.715 |
| 22:2 docosadienoic acid | 1.14 | (0.87–1.48) | 0.341 | 1.24 | (0.83–1.85) | 0.287 | 1.02 | (0.61–1.69) | 0.948 | 0.803 |
| Total cis-n-6 PUFAs | 0.84 | (0.64–1.12) | 0.232 | 0.95 | (0.62–1.46) | 0.811 | 1.08 | (0.63–1.84) | 0.781 | 0.635 |
| cis-n-3 PUFAs | ||||||||||
| 18:3 α-linolenic acid | 0.97 | (0.73–1.28) | 0.833 | 1.29 | (0.83–1.99) | 0.253 | 1.19 | (0.70–2.02) | 0.526 | 0.408 |
| 20:5 eicosapentaenoic acid (EPA) | 0.86 | (0.65–1.15) | 0.302 | 1.09 | (0.70–1.68) | 0.712 | 0.94 | (0.55–1.59) | 0.805 | 0.600 |
| 22:6 docosahexaenoic acid (DHA) | 0.89 | (0.68–1.17) | 0.417 | 0.96 | (0.62–1.49) | 0.849 | 0.77 | (0.45–1.30) | 0.322 | 0.786 |
| Total cis-n-3 PUFAs | 0.95 | (0.72–1.25) | 0.707 | 0.99 | (0.64–1.53) | 0.973 | 0.79 | (0.45–1.36) | 0.388 | 0.764 |
| Total Trans Fatty Acids | ||||||||||
| 16:1 n-7t palmitelaidic acid | 1.35 | (1.01–1.79) | 0.040 | 1.52 | (0.96–2.39) | 0.071 | 1.47 | (0.86–2.50) | 0.160 | 0.861 |
| 18:1 n-9t elaidic acid | 1.31 | (1.01–1.71) | 0.044 | 1.33 | (0.87–2.03) | 0.187 | 1.37 | (0.83–2.26) | 0.214 | 0.985 |
| 18:1 n-7t vaccenic acid | 1.14 | (0.87–1.51) | 0.342 | 1.02 | (0.65–1.57) | 0.946 | 0.99 | (0.59–1.65) | 0.957 | 0.783 |
| 18:2 n-6t linolelaidic acid | 0.89 | (0.69–1.14) | 0.354 | 0.96 | (0.65–1.42) | 0.848 | 1.32 | (0.83–2.08) | 0.239 | 0.258 |
| Ruminant trans-fatty acids c | 1.25 | (0.94–1.66) | 0.131 | 1.46 | (0.92–2.32) | 0.107 | 1.14 | (0.68–1.90) | 0.618 | 0.725 |
| Industrial trans-fatty acids d | 1.23 | (0.93–1.62) | 0.153 | 1.37 | (0.87–2.14) | 0.175 | 1.27 | (0.76–2.14) | 0.367 | 0.899 |
| Ratio cis-PUFA n-6/n-3 | 1.07 | (0.81–1.42) | 0.631 | 0.94 | (0.61–1.44) | 0.768 | 1.31 | (0.76–2.26) | 0.340 | 0.605 |
| Desaturation Indexes | ||||||||||
| SCD-16: 16:1n-7c/16:0 | 1.22 | (0.92–1.63) | 0.171 | 1.29 | (0.83–2.02) | 0.263 | 1.02 | (0.59–1.76) | 0.942 | 0.770 |
| SCD-18: 18:1n-9/18:0 | 1.54 | (1.15–2.06) | 0.004 | 1.23 | (0.79–1.91) | 0.355 | 1.38 | (0.76–2.50) | 0.291 | 0.626 |
| FADS1: 20:4n-6/20:3n-6 | 0.66 | (0.50–0.87) | 0.004 | 0.55 | (0.35–0.87) | 0.010 | 0.66 | (0.39–1.12) | 0.122 | 0.746 |
| FADS2: 20:3n-6/18:2n-6 | 1.24 | (0.94–1.65) | 0.134 | 1.44 | (0.93–2.23) | 0.100 | 1.22 | (0.72–2.06) | 0.466 | 0.797 |
Publisher’s Note: MDPI stays neutral with regard to jurisdictional claims in published maps and institutional affiliations. |
© 2020 by the authors. Licensee MDPI, Basel, Switzerland. This article is an open access article distributed under the terms and conditions of the Creative Commons Attribution (CC BY) license (http://creativecommons.org/licenses/by/4.0/).
Share and Cite
Lope, V.; Guerrero-Zotano, Á.; Casas, A.; Baena-Cañada, J.M.; Bermejo, B.; Pérez-Gómez, B.; Criado-Navarro, I.; Antolín, S.; Sánchez-Rovira, P.; Ramos-Vázquez, M.; et al. Serum Phospholipids Fatty Acids and Breast Cancer Risk by Pathological Subtype. Nutrients 2020, 12, 3132. https://doi.org/10.3390/nu12103132
Lope V, Guerrero-Zotano Á, Casas A, Baena-Cañada JM, Bermejo B, Pérez-Gómez B, Criado-Navarro I, Antolín S, Sánchez-Rovira P, Ramos-Vázquez M, et al. Serum Phospholipids Fatty Acids and Breast Cancer Risk by Pathological Subtype. Nutrients. 2020; 12(10):3132. https://doi.org/10.3390/nu12103132
Chicago/Turabian StyleLope, Virginia, Ángel Guerrero-Zotano, Ana Casas, José Manuel Baena-Cañada, Begoña Bermejo, Beatriz Pérez-Gómez, Inmaculada Criado-Navarro, Silvia Antolín, Pedro Sánchez-Rovira, Manuel Ramos-Vázquez, and et al. 2020. "Serum Phospholipids Fatty Acids and Breast Cancer Risk by Pathological Subtype" Nutrients 12, no. 10: 3132. https://doi.org/10.3390/nu12103132
APA StyleLope, V., Guerrero-Zotano, Á., Casas, A., Baena-Cañada, J. M., Bermejo, B., Pérez-Gómez, B., Criado-Navarro, I., Antolín, S., Sánchez-Rovira, P., Ramos-Vázquez, M., Antón, A., Castelló, A., García-Saénz, J. Á., Muñoz, M., de Juan, A., Andrés, R., Llombart-Cussac, A., Hernando, B., Franquesa, R. M., ... Pollán, M. (2020). Serum Phospholipids Fatty Acids and Breast Cancer Risk by Pathological Subtype. Nutrients, 12(10), 3132. https://doi.org/10.3390/nu12103132

