Changes in Food Cravings and Eating Behavior after a Dietary Carbohydrate Restriction Intervention Trial
Abstract
1. Introduction
2. Materials and Methods
2.1. Study Participants and Design
2.2. Food Cravings
2.3. Eating Behavior
2.4. Statistical Analyses
3. Results
3.1. Participants, Biochemical Indices and Body Weight
3.2. Food Cravings and Eating Behaviors
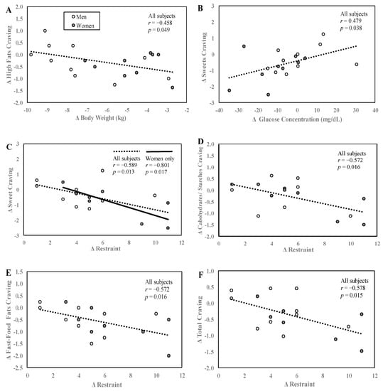
3.3. Food Cravings Correlations with Body Weight, Glucose and Eating Behavior
4. Discussion
5. Conclusions
Author Contributions
Funding
Acknowledgments
Conflicts of Interest
References
- Boswell, R.G.; Kober, H. Food cue reactivity and craving predict eating and weight gain: A meta-analytic review. Obes. Rev. 2016, 17, 159–177. [Google Scholar] [CrossRef]
 - Weingarten, H.P.; Elston, D. The phenomenology of food cravings. Appetite 1990, 15, 231–246. [Google Scholar] [CrossRef]
 - Weingarten, H.P.; Elston, D. Food cravings in a college population. Appetite 1991, 17, 167–175. [Google Scholar] [CrossRef]
 - Gilhooly, C.H.; Das, S.K.; Golden, J.K.; McCrory, M.A.; Dallal, G.E.; Saltzman, E.; Kramer, F.M.; Roberts, S.B. Food cravings and energy regulation: The characteristics of craved foods and their relationship with eating behaviors and weight change during 6 months of dietary energy restriction. Int. J. Obes. 2007, 31, 1849–1858. [Google Scholar] [CrossRef] [PubMed]
 - Jakubowicz, D.; Froy, O.; Wainstein, J.; Boaz, M. Meal timing and composition influence ghrelin levels, appetite scores and weight loss maintenance in overweight and obese adults. Steroids 2012, 77, 323–331. [Google Scholar] [CrossRef] [PubMed]
 - Segal-Isaacson, C.J.; Johnson, S.; Tomuta, V.; Cowell, B.; Stein, D.T. A randomized trial comparing low-fat and low-carbohydrate diets matched for energy and protein. Obes. Res. 2004, 12 (Suppl. 2), 130S–140S. [Google Scholar] [CrossRef]
 - Harvey, J.; Wing, R.R.; Mullen, M. Effects on food cravings of a very low calorie diet or a balanced, low calorie diet. Appetite 1993, 21, 105–115. [Google Scholar] [CrossRef]
 - Martin, C.K.; O’Neil, P.M.; Pawlow, L. Changes in food cravings during low-calorie and very-low-calorie diets. Obesity 2006, 14, 115–121. [Google Scholar] [CrossRef]
 - Anton, S.D.; Gallagher, J.; Carey, V.J.; Laranjo, N.; Cheng, J.; Champagne, C.M.; Ryan, D.H.; McManus, K.; Loria, C.M.; Bray, G.A.; et al. Diet type and changes in food cravings following weight loss: Findings from the POUNDS LOST Trial. Eat. Weight Disord.-Stud. Anorex. Bulim. Obes. 2012, 17, e101–e108. [Google Scholar] [CrossRef]
 - Batra, P.; Das, S.K.; Salinardi, T.; Robinson, L.; Saltzman, E.; Scott, T.; Pittas, A.G.; Roberts, S.B. Relationship of cravings with weight loss and hunger. Results from a 6 month worksite weight loss intervention. Appetite 2013, 69, 1–7. [Google Scholar] [CrossRef]
 - Martin, C.K.; Rosenbaum, D.; Han, H.; Geiselman, P.J.; Wyatt, H.R.; Hill, J.O.; Brill, C.; Bailer, B.; Miller, B.V., 3rd; Stein, R.; et al. Change in food cravings, food preferences, and appetite during a low-carbohydrate and low-fat diet. Obesity 2011, 19, 1963–1970. [Google Scholar] [CrossRef] [PubMed]
 - Moldovan, C.P.; Weldon, A.J.; Daher, N.S.; Schneider, L.E.; Bellinger, D.L.; Berk, L.S.; Herme, A.C.; Arechiga, A.L.; Davis, W.L.; Peters, W.R. Effects of a meal replacement system alone or in combination with phentermine on weight loss and food cravings. Obesity 2016, 24, 2344–2350. [Google Scholar] [CrossRef] [PubMed]
 - Apolzan, J.W.; Myers, C.A.; Champagne, C.M.; Beyl, R.A.; Raynor, H.A.; Anton, S.A.; Williamson, D.A.; Sacks, F.M.; Bray, G.A.; Martin, C.K. Frequency of consuming foods predicts changes in cravings for those foods during weight Loss: The POUNDS Lost study. Obesity 2017, 25, 1343–1348. [Google Scholar] [CrossRef] [PubMed]
 - Bowen, J.; Brindal, E.; James-Martin, G.; Noakes, M. Randomized trial of a high protein, partial meal replacement program with or without alternate day fasting: Similar effects on weight loss, retention status, nutritional, metabolic, and behavioral outcomes. Nutrients 2018, 10, 1145. [Google Scholar] [CrossRef]
 - Castro, A.I.; Gomez-Arbelaez, D.; Crujeiras, A.B.; Granero, R.; Aguera, Z.; Jimenez-Murcia, S.; Sajoux, I.; Lopez-Jaramillo, P.; Fernandez-Aranda, F.; Casanueva, F.F. Effect of a very low-calorie ketogenic diet on food and alcohol cravings, physical and sexual activity, sleep disturbances, and quality of life in obese patients. Nutrients 2018, 10, 1348. [Google Scholar] [CrossRef]
 - Sayer, R.D.; Peters, J.C.; Pan, Z.; Wyatt, H.R.; Hill, J.O. Hunger, food cravings, and diet satisfaction are related to changes in body weight during a 6-month behavioral weight loss intervention: The Beef WISE study. Nutrients 2018, 10, 700. [Google Scholar] [CrossRef]
 - Watson, N.A.; Dyer, K.A.; Buckley, J.D.; Brinkworth, G.D.; Coates, A.M.; Parfitt, G.; Howe, P.R.C.; Noakes, M.; Murphy, K.J. Reductions in food cravings are similar with low-fat weight loss diets differing in protein and carbohydrate in overweight and obese adults with type 2 diabetes: A randomized clinical trial. Nutr. Res. 2018, 57, 56–66. [Google Scholar] [CrossRef]
 - Kahathuduwa, C.N.; Davis, T.; O’Boyle, M.; Boyd, L.A.; Chin, S.H.; Paniukov, D.; Binks, M. Effects of 3-week total meal replacement vs. typical food-based diet on human brain functional magnetic resonance imaging food-cue reactivity and functional connectivity in people with obesity. Appetite 2018, 120, 431–441. [Google Scholar] [CrossRef]
 - Kahathuduwa, C.N.; Binks, M.; Martin, C.K.; Dawson, J.A. Extended calorie restriction suppresses overall and specific food cravings: A systematic review and a meta-analysis. Obes. Rev. 2017, 18, 1122–1135. [Google Scholar] [CrossRef]
 - Saslow, L.R.; Daubenmier, J.J.; Moskowitz, J.T.; Kim, S.; Murphy, E.J.; Phinney, S.D.; Ploutz-Snyder, R.; Goldman, V.; Cox, R.M.; Mason, A.E.; et al. Twelve-month outcomes of a randomized trial of a moderate-carbohydrate versus very low-carbohydrate diet in overweight adults with type 2 diabetes mellitus or prediabetes. Nutr. Diabetes 2017, 7, 304. [Google Scholar] [CrossRef]
 - Dyson, P.A.; Beatty, S.; Matthews, D.R. An assessment of low-carbohydrate or low-fat diets for weight loss at 2 year’s follow-up. Diabet. Med. 2010, 27, 363–364. [Google Scholar] [CrossRef] [PubMed]
 - Dorling, J.L.; Bhapkar, M.; Das, S.K.; Racette, S.B.; Apolzan, J.W.; Fearnbach, S.N.; Redman, L.M.; Myers, C.A.; Stewart, T.M.; Martin, C.K. Change in self-efficacy, eating behaviors and food cravings during two years of calorie restriction in humans without obesity. Appetite 2019, 143, 104397. [Google Scholar] [CrossRef] [PubMed]
 - Hallam, J.; Boswell, R.G.; DeVito, E.E.; Kober, H. Gender-related Differences in Food Craving and Obesity. Yale J. Biol. Med. 2016, 89, 161–173. [Google Scholar] [PubMed]
 - Stunkard, A.J.; Messick, S. The three-factor eating questionnaire to measure dietary restraint, disinhibition and hunger. J. Psychosom. Res. 1985, 29, 71–83. [Google Scholar] [CrossRef]
 - Savage, J.S.; Hoffman, L.; Birch, L.L. Dieting, restraint, and disinhibition predict women’s weight change over 6 y. Am. J. Clin. Nutr. 2009, 90, 33–40. [Google Scholar] [CrossRef]
 - Urbanek, J.K.; Metzgar, C.J.; Hsiao, P.Y.; Piehowski, K.E.; Nickols-Richardson, S.M. Increase in cognitive eating restraint predicts weight loss and change in other anthropometric measurements in overweight/obese premenopausal women. Appetite 2015, 87, 244–250. [Google Scholar] [CrossRef]
 - Foster, G.D.; Wadden, T.A.; Swain, R.M.; Stunkard, A.J.; Platte, P.; Vogt, R.A. The Eating Inventory in obese women: Clinical correlates and relationship to weight loss. Int. J. Obes. 1998, 22, 778–785. [Google Scholar] [CrossRef]
 - Spadaro, K.C.; Davis, K.K.; Sereika, S.M.; Gibbs, B.B.; Jakicic, J.M.; Cohen, S.M. Effect of mindfulness meditation on short-term weight loss and eating behaviors in overweight and obese adults: A randomized controlled trial. J. Complement. Integr Med. 2017, 15. [Google Scholar] [CrossRef]
 - Hansen, T.T.; Hjorth, M.F.; Sandby, K.; Andersen, S.V.; Astrup, A.; Ritz, C.; Bullo, M.; Camacho-Barcia, M.L.; Garcia-Gavilan, J.F.; Salas-Salvado, J.; et al. Predictors of successful weight loss with relative maintenance of fat-free mass in individuals with overweight and obesity on an 8-week low-energy diet. Br. J. Nutr. 2019, 122, 468–479. [Google Scholar] [CrossRef]
 - Syed-Abdul, M.M.; Hu, Q.; Jacome-Sosa, M.; Padilla, J.; Manrique-Acevedo, C.; Heimowitz, C.; Parks, E.J. Effect of carbohydrate restriction-induced weight loss on aortic pulse wave velocity in overweight men and women. Appl. Physiol. Nutr. Metab. 2018, 43, 1247–1256. [Google Scholar] [CrossRef]
 - Ahren, B.; Larsson, H. Quantification of insulin secretion in relation to insulin sensitivity in nondiabetic postmenopausal women. Diabetes 2002, 51 (Suppl. 1), S202–S211. [Google Scholar] [CrossRef] [PubMed]
 - White, M.A.; Whisenhunt, B.L.; Williamson, D.A.; Greenway, F.L.; Netemeyer, R.G. Development and validation of the food-craving inventory. Obes. Res. 2002, 10, 107–114. [Google Scholar] [CrossRef] [PubMed]
 - Gibson, E.L.; Desmond, E. Chocolate craving and hunger state: Implications for the acquisition and expression of appetite and food choice. Appetite 1999, 32, 219–240. [Google Scholar] [CrossRef] [PubMed]
 - Polivy, J.; Coleman, J.; Herman, C.P. The effect of deprivation on food cravings and eating behavior in restrained and unrestrained eaters. Int. J. Eat. Disord. 2005, 38, 301–309. [Google Scholar] [CrossRef]
 - Coelho, J.S.; Polivy, J.; Herman, C.P. Selective carbohydrate or protein restriction: Effects on subsequent food intake and cravings. Appetite 2006, 47, 352–360. [Google Scholar] [CrossRef]
 - Williamson, D.A.; Martin, C.K.; Anton, S.D.; York-Crowe, E.; Han, H.; Redman, L.; Ravussin, E. Is caloric restriction associated with development of eating-disorder symptoms? Results from the CALERIE trial. Health Psychol. 2008, 27, S32–S42. [Google Scholar] [CrossRef]
 - Smithson, E.F.; Hill, A.J. It is not how much you crave but what you do with it that counts: Behavioural responses to food craving during weight management. Eur. J. Clin. Nutr. 2016, 71, 625. [Google Scholar] [CrossRef][Green Version]
 - MacLean, P.S.; Wing, R.R.; Davidson, T.; Epstein, L.; Goodpaster, B.; Hall, K.D.; Levin, B.E.; Perri, M.G.; Rolls, B.J.; Rosenbaum, M.; et al. NIH working group report: Innovative research to improve maintenance of weight loss. Obesity 2015, 23, 7–15. [Google Scholar] [CrossRef]
 - Sacks, F.M.; Bray, G.A.; Carey, V.J.; Smith, S.R.; Ryan, D.H.; Anton, S.D.; McManus, K.; Champagne, C.M.; Bishop, L.M.; Laranjo, N.; et al. Comparison of weight-loss diets with different compositions of fat, protein, and carbohydrates. N. Engl. J. Med. 2009, 360, 859–873. [Google Scholar] [CrossRef]
 - Cohen, J. A power primer. Psychol. Bull. 1992, 112, 155–159. [Google Scholar] [CrossRef]
 





| Characteristic | All (n = 19) | Men (n = 10) | Women (n = 9) | 
|---|---|---|---|
| Age (year) | 40.6 ± 8.4 | 41.8 ± 10.2 | 39.2 ± 6.3 | 
| Body weight (kg) | 103.4 ± 16.9 | 113.8 ± 15.4 | 91.9 ± 9.6 | 
| Height (m) | 1.74 ± 0.10 | 1.82 ± 0.06 | 1.65 ± 0.03 | 
| BMI (kg/m2) | 34.1 ± 3.3 | 34.2 ± 3.0 | 34.0 ± 3.8 | 
| Plasma insulin (mU/L) | 12.2 ± 5.2 | 11.6 ± 3.9 | 12.8 ± 6.6 | 
| Plasma glucose (mg/dL) | 95.5 ± 9.6 | 93.5 ± 7.9 | 97.8 ± 11.3 | 
| Physical activity (steps) | 7295 ± 2549 | 8586 ± 2897 | 5860 ± 887 | 
© 2019 by the authors. Licensee MDPI, Basel, Switzerland. This article is an open access article distributed under the terms and conditions of the Creative Commons Attribution (CC BY) license (http://creativecommons.org/licenses/by/4.0/).
Share and Cite
Anguah, K.O.-B.; Syed-Abdul, M.M.; Hu, Q.; Jacome-Sosa, M.; Heimowitz, C.; Cox, V.; Parks, E.J. Changes in Food Cravings and Eating Behavior after a Dietary Carbohydrate Restriction Intervention Trial. Nutrients 2020, 12, 52. https://doi.org/10.3390/nu12010052
Anguah KO-B, Syed-Abdul MM, Hu Q, Jacome-Sosa M, Heimowitz C, Cox V, Parks EJ. Changes in Food Cravings and Eating Behavior after a Dietary Carbohydrate Restriction Intervention Trial. Nutrients. 2020; 12(1):52. https://doi.org/10.3390/nu12010052
Chicago/Turabian StyleAnguah, Katherene O.-B., Majid M. Syed-Abdul, Qiong Hu, Miriam Jacome-Sosa, Colette Heimowitz, Vicki Cox, and Elizabeth J. Parks. 2020. "Changes in Food Cravings and Eating Behavior after a Dietary Carbohydrate Restriction Intervention Trial" Nutrients 12, no. 1: 52. https://doi.org/10.3390/nu12010052
APA StyleAnguah, K. O.-B., Syed-Abdul, M. M., Hu, Q., Jacome-Sosa, M., Heimowitz, C., Cox, V., & Parks, E. J. (2020). Changes in Food Cravings and Eating Behavior after a Dietary Carbohydrate Restriction Intervention Trial. Nutrients, 12(1), 52. https://doi.org/10.3390/nu12010052
        
