Thrombomodulin and Thrombopoietin, Two Biomarkers of Hemostasis, Are Positively Associated with Adherence to the World Cancer Research Fund/American Institute for Cancer Research Recommendations for Cancer Prevention in a Population-Based Cross-Sectional Study
Abstract
1. Introduction
2. Materials and Methods
2.1. Study Population
2.2. Data Collection
2.3. Laboratory Methods
2.4. WCRF/AICR Score
2.5. Statistical Analyses
3. Results
4. Discussion
4.1. Thrombomodulin Levels in Relation to Lifestyle and Chronic Diseases
4.2. Thrombopoietin Levels in Relation to Lifestyle and Chronic Diseases
4.3. Alcohol Consumption and Biomarker Levels
4.4. Strengths and Limitations
5. Conclusions
Supplementary Materials
Author Contributions
Funding
Conflicts of Interest
Abbreviations
| WCRF | World Cancer Research Fund; |
| AICR | American Institute of Cancer Research; |
| EPIC | European Prospective Investigation into Cancer and Nutrition; |
| GP | glycoprotein; |
| TM | thrombomodulin; |
| TPO | thrombopoietin; |
| CRP | C-reactive protein; |
| LDL | low density lipoprotein; |
| HDL | high density lipoprotein; |
| TG | triglycerides; BMI, body mass index; |
| ECLIA | electrochemiluminescence immunoassay; |
| ELISA | enzyme-linked immunosorbent assay; |
| QC | quality control; |
| CV | coefficient of variation; |
| Hb | hemoglobin; |
| CHD | coronary heart disease |
References
- Grafetstätter, M.; Hüsing, A.; Gonzalez Maldonado, S.; Sookthai, D.; Johnson, T.S.; Pletsch-Borba, L.; Katzke, V.; Hoffmeister, M.; Bugert, P.; Kaaks, R.; et al. Plasma fibrinogen and sP-Selectin are associated with the risk of lung cancer in a prospective study. Cancer Epidemiol. Prev. Biomark. 2019, 1285. [Google Scholar] [CrossRef] [PubMed]
- Malehmir, M.; Pfister, D.; Gallage, S.; Szydlowska, M.; Inverso, D.; Kotsiliti, E.; Leone, V.; Peiseler, M.; Surewaard, B.G.J.; Rath, D.; et al. Platelet GPIbα is a mediator and potential interventional target for NASH and subsequent liver cancer. Nat. Med. 2019, 25, 641–655. [Google Scholar] [CrossRef] [PubMed]
- Sitia, G.; Aiolfi, R.; Di Lucia, P.; Mainetti, M.; Fiocchi, A.; Mingozzi, F.; Esposito, A.; Ruggeri, Z.M.; Chisari, F.V.; Iannacone, M.; et al. Antiplatelet therapy prevents hepatocellular carcinoma and improves survival in a mouse model of chronic hepatitis B. Proc. Natl. Acad. Sci. USA 2012, 109, E2165–E2172. [Google Scholar] [CrossRef] [PubMed]
- Zhu, Y.; Wei, Y.; Zhang, R.; Dong, X.; Shen, S.; Zhao, Y.; Bai, J.; Albanes, D.; Caporaso, N.E.; Landi, M.T.; et al. Elevated platelet count appears to be causally associated with increased risk of lung cancer: A mendelian randomization analysis. Cancer Epidemiol. Prev. Biomark. 2019, 28, 935–942. [Google Scholar] [CrossRef] [PubMed]
- Meikle, C.K.; Kelly, C.A.; Garg, P.; Wuescher, L.M.; Ali, R.A.; Worth, R.G. Cancer and thrombosis: The platelet perspective. Front. Cell Dev. Biol. 2017, 4, 147. [Google Scholar] [CrossRef] [PubMed]
- Lee, K.W.; Lip, G.Y. Effects of lifestyle on hemostasis, fibrinolysis, and platelet reactivity: A systematic review. Arch. Intern. Med. 2003, 163, 2368–2392. [Google Scholar] [CrossRef] [PubMed]
- World Cancer Research Fund/American Institute for Cancer Research. Diet, Nutrition, Physical Activity and Cancer: A Global Perspective. Continuous Update Project Expert Report. 2018. Available online: dietandcancerreport.org (accessed on 18 July 2019).
- Romaguera, D.; Vergnaud, A.C.; Peeters, P.H.; van Gils, C.H.; Chan, D.S.; Ferrari, P.; Romieu, I.; Jenab, M.; Slimani, N.; Clavel-Chapelon, F.; et al. Is concordance with World Cancer Research Fund/American Institute for Cancer Research guidelines for cancer prevention related to subsequent risk of cancer? Results from the EPIC study. Am. J. Clin. Nutr. 2012, 96, 150–163. [Google Scholar] [CrossRef]
- Graf, M.E.; Sookthai, D.; Johnson, T.; Schübel, R.; Maldonado, S.G.; Pletsch-Borba, L.; Katzke, V.; Bugert, P.; Hoffmeister, M.; Kaaks, R.; et al. Pre-diagnostic plasma concentrations of Fibrinogen, sGPIIb/IIIa, s P-selectin, sThrombomodulin, Thrombopoietin in relation to cancer risk: Findings from a large prospective study. Int. J. Cancer. 2018, 143, 2659–2667. [Google Scholar] [CrossRef]
- Gremmel, T.; Frelinger, A.L.; Michelson, A.D. Platelet physiology. Semin. Thromb. Hemost. 2016, 42, 191–204. [Google Scholar]
- Kaushansky, K. Thrombopoietin. New Engl. J. Med. 1998, 339, 746–754. [Google Scholar] [CrossRef]
- Sadler, E. Thrombomodulin structure and function. Thromb. Hemost. 1997, 78, 392–395. [Google Scholar] [CrossRef]
- Mosesson, M.W. Fibrinogen and fibrin structure and functions. J. Thromb. Haemost. 2005, 3, 1894–1904. [Google Scholar] [CrossRef] [PubMed]
- Boeing, H.; Korfmann, A.; Bergmann, M.M. Recruitment procedures of EPIC-Germany. European investigation into cancer and nutrition. Ann. Nutr. Metab. 1999, 43, 205–215. [Google Scholar] [CrossRef] [PubMed]
- Bohlscheid-Thomas, S.; Hoting, I.; Boeing, H.; Wahrendorf, J. Reproducibility and relative validity of food group intake in a food frequency questionnaire developed for the German part of the EPIC project. European prospective investigation into cancer and nutrition. Int. J. Epidemiol. 1997, 26 (Suppl. 1), S59–S70. [Google Scholar] [CrossRef]
- Boeing, H.; Wahrendorf, J.; Becker, N. EPIC-Germany–A source for studies into diet and risk of chronic diseases. European investigation into cancer and nutrition. Ann. Nutr. Metab. 1999, 43, 195–204. [Google Scholar] [CrossRef] [PubMed]
- William, T.; Friedewald, R.I.L.; Donald, S.F. Estimation of the concentration of low-density lipoprotein cholesterol in plasma, without use of the preparative ultracentrifug. Clin. Chem. 1972, 18, 499–502. [Google Scholar]
- Thorand, B.; Baumert, J.; Herder, C.; Meisinger, C.; Koenig, W. Soluble thrombomodulin as a predictor of type 2 diabetes: Results from the MONICA/KORA Augsburg case-cohort study, 1984–1998. Diabetologia 2007, 50, 545–548. [Google Scholar] [CrossRef] [PubMed]
- Karakas, M.; Baumert, J.; Herder, C.; Rottbauer, W.; Meisinger, C.; Koenig, W.; Thorand, B. Soluble thrombomodulin in coronary heart disease: Lack of an association in the MONICA/KORA case-cohort study. J. Thromb. Haemost. 2011, 9, 1078–1080. [Google Scholar] [CrossRef]
- Salomaa, V.; Matei, C.; Aleksic, N.; Sansores-Garcia, L.; Folsom, A.R.; Juneja, H.; Chambless, L.E.; Wu, K.K. Soluble thrombomodulin as a predictor of incident coronary heart disease and symptomless carotid artery atheroscierosis in the Atherosclerosis Risk in Communities (ARIC) Study: A case-cohort study. Lancet 1999, 353, 1729–1734. [Google Scholar] [CrossRef]
- Aso, Y.; Fujiwara, Y.; Tayama, K.; Takebayashi, K.; Inukai, T.; Takemura, Y. Relationship between soluble thrombomodulin in plasma and coagulation or fibrinolysis in type 2 diabetes. Clinica Chimica Acta 2000, 301, 135–145. [Google Scholar] [CrossRef]
- Hanly, A.M.; Redmond, M.; Winter, D.C.; Brophy, S.; Deasy, J.M.; Bouchier-Hayes, D.J.; Kay, E.W. Thrombomodulin expression in colorectal carcinoma is protective and correlates with survival. Br. J. Cancer 2006, 94, 1320–1325. [Google Scholar] [CrossRef] [PubMed]
- Lindahl, A.K.; Boffa, M.C.; Abildgaard, U. Increased plasma thrombomodulin in cancer patients. Thromb. Haemost. 1993, 69, 112–114. [Google Scholar] [CrossRef] [PubMed]
- Han, S.; Gan, D.; Wang, G.; Ru, Y.; Huang, C.; Lin, J.; Zhang, L.; Meng, Z.; Zhu, S. Associations of platelet indices with body fat mass and fat distribution. Obesity 2018, 26, 1637–1643. [Google Scholar] [CrossRef]
- Sloan, A.; Gona, P.; Johnson, A.D. Cardiovascular correlates of platelet count and volume in the Framingham Heart Study. Ann. Epidemiol. 2015, 25, 492–498. [Google Scholar] [CrossRef]
- Bonaccio, M.; Di Castelnuovo, A.; De Curtis, A.; Costanzo, S.; Persichillo, M.; Donati, M.B.; Cerletti, C.; Iacoviello, L.; de Gaetano, G. Adherence to the Mediterranean diet is associated with lower platelet and leukocyte counts: Results from the Moli-sani study. Blood 2014, 123, 3037–3044. [Google Scholar] [CrossRef]
- Folman, C.C.; Linthorst, G.E.; van Mourik, J.; van Willigen, G.; de Jonge, E.; Levi, M.; de Haas, M.; von dem Borne, A.E. Platelets release thrombopoietin (Tpo) upon activation: Another regulatory loop in thrombocytopoiesis? Thromb. Haemost. 2000, 83, 923–930. [Google Scholar] [CrossRef]
- Senaran, H.; Ileri, M.; Altinbas, A.; Kosar, A.; Yetkin, E.; Ozturk, M.; Karaaslan, Y.; Kirazli, S. Thrombopoietin and mean platelet volume in coronary artery disease. Clin. Cardiol. 2001, 24, 405–408. [Google Scholar] [CrossRef] [PubMed]
- Stone, R.L.; Nick, A.M.; McNeish, I.A.; Balkwill, F.; Han, H.D.; Bottsford-Miller, J.; Rupairmoole, R.; Armaiz-Pena, G.N.; Pecot, C.V.; Coward, J.; et al. Paraneoplastic thrombocytosis in ovarian cancer. New Engl. J. Med. 2012, 366, 610–618. [Google Scholar] [CrossRef]
- Mukamal, K.J.; Jadhav, P.P.; D’Agostino, R.B.; Massaro, J.M.; Mittleman, M.A.; Lipinska, I.; Sutherland, P.A.; Matheney, T.; Levy, D.; Wilson, P.W.; et al. Alcohol consumption and hemostatic factors: Analysis of the framingham offspring cohort. Circulation 2001, 104, 1367–1373. [Google Scholar] [CrossRef]
- Rimm, E.B.; Williams, P.; Fosher, K.; Criqui, M.; Stampfer, M.J. Moderate alcohol intake and lower risk of coronary heart disease: Meta-analysis of effects on lipids and haemostatic factors. BMJ 1999, 319, 1523–1528. [Google Scholar] [CrossRef]
- Kaptoge, S.; White, I.R.; Thompson, S.G.; Wood, A.M.; Lewington, S.; Lowe, G.D.; Danesh, J. Associations of plasma fibrinogen levels with established cardiovascular disease risk factors, inflammatory markers, and other characteristics: Individual participant meta-analysis of 154,211 adults in 31 prospective studies: The fibrinogen studies collaboration. Am. J. Epidemiol. 2007, 166, 867–879. [Google Scholar] [CrossRef] [PubMed]
- Danesh, J.; Collins, R.; Appleby, P.; Peto, R. Association of fibrinogen, C-reactive protein, albumin, or leukocyte count with coronary heart disease: Meta-analyses of prospective studies. JAMA 1998, 279, 1477–1482. [Google Scholar] [CrossRef] [PubMed]
- Ricci, C.; Wood, A.; Muller, D.; Gunter, M.J.; Agudo, A.; Boeing, H.; van der Schouw, Y.T.; Warnakula, S.; Saieva, C.; Spijkerman, A.; et al. Alcohol intake in relation to non-fatal and fatal coronary heart disease and stroke: EPIC-CVD case-cohort study. BMJ 2018, 361, k934. [Google Scholar] [CrossRef] [PubMed]
- Delgado, G.; Siekmeier, R.; Grammer, T.B.; Boehm, B.O.; Marz, W.; Kleber, M.E. Alterations in the coagulation system of active smokers from the Ludwigshafen Risk and Cardiovascular Health (LURIC) study. Adv. Exp. Med. Biol. 2015, 832, 9–14. [Google Scholar] [CrossRef]
- Lupia, E.; Bosco, O.; Goffi, A.; Poletto, C.; Locatelli, S.; Spatola, T.; Cuccurullo, A.; Montrucchio, G. Thrombopoietin contributes to enhanced platelet activation in cigarette smokers. Atherosclerosis 2010, 210, 314–319. [Google Scholar] [CrossRef] [PubMed]

| WCRF/AICR Recommendations | Baseline Data | Categories | Scoring | All (%) | Women (%) | Men (%) |
|---|---|---|---|---|---|---|
| Be a healthy weight | Body mass index (kg/m2) | 18.5–24.9 | 1 | 44.6 | 54.7 | 33.2 |
| 25–29.9 | 0.5 | 39.0 | 29.5 | 49.6 | ||
| <18.5 or ≥30 | 0 | 16.5 | 15.8 | 17.2 | ||
| Be physically active | Physical activity level 1 | High | 1 | 52.0 | 50.6 | 53.6 |
| Medium | 0.5 | 19.7 | 19.8 | 19.6 | ||
| Low | 0 | 28.3 | 29.6 | 26.8 | ||
| Limit energy dense foods consumption | Energy density (kcal*100 g−1*day−1) | ≤125 | 1 | 7.5 | 10.6 | 3.9 |
| >125 to <175 | 0.5 | 58.4 | 61.5 | 54.8 | ||
| ≥175 | 0 | 34.2 | 27.8 | 41.3 | ||
| Limit sugar sweetened drinks consumption | Sweet drinks consumption (g/day) | 0 | 1 | 4.4 | 4.0 | 4.7 |
| ≤250 | 0.5 | 62.1 | 65.6 | 58.2 | ||
| >250 | 0 | 33.5 | 30.4 | 37.1 | ||
| Eat a diet rich in whole grains, vegetables, fruits, and beans | Fruit and vegetable intake (g/day) | ≥400 | 1 | 24.5 | 28.9 | 19.6 |
| 200 to <400 | 0.5 | 71.5 | 67.6 | 75.9 | ||
| <200 | 0 | 4.0 | 3.6 | 4.5 | ||
| Dietary fiber intake (g/day) | ≥ 25 | 1 | 19.9 | 16.0 | 24.4 | |
| 12.5 to <25 | 0.5 | 69.6 | 71.2 | 67.8 | ||
| < 12.5 | 0 | 10.5 | 12.8 | 7.8 | ||
| Limit consumption of red and processed (RP) meat | Total RP meat intake (g/wk) and processed meat (P) intake (g/day) | <500 RP and <3 P | 1 | 3.1 | 4.0 | 2.2 |
| <500 RP and 3 to <50 P | 0.5 | 30.5 | 50.7 | 8.0 | ||
| ≥500 RP and ≥50 P | 0 | 66.3 | 45.3 | 89.8 | ||
| Limit alcohol consumption | Ehanol intake (g/day) for men (m) and women (w) | ≤20 (m), ≤10 (w) | 1 | 58.5 | 65.2 | 51.0 |
| >20–30 (m), >1–20 (w) | 0.5 | 17.2 | 17.1 | 17.3 | ||
| >30 (m), >20 (w) | 0 | 24.4 | 17.7 | 31.8 | ||
| Do not use supplements for cancer prevention | Not applicable to this population | NA | NA | NA | NA | NA |
| Special Recommendations | ||||||
| For mothers: breastfeed your baby, if you can | Cumulative breastfeeding (in months) | ≥6 | 1 | 25.8 | ||
| >0 to 6 | 0.5 | 41.6 | ||||
| No breastfeeding | 0 | 32.6 | ||||
| For cancer survivors: follow the WCRF/AICR recommendations | Not applicable to this population | NA | NA | NA | NA | NA |
| WCRF/AICR categories | Categorization of scores (for men/for women) | 0 to ≤2/0 to ≤3 | 16.5 | 18.0 | 14.8 | |
| >2 to ≤3/>3 to ≤4 | 35.5 | 32.1 | 39.3 | |||
| >3 to ≤4/>4 to ≤5 | 33.0 | 31.9 | 34.3 | |||
| >4/>5 | 15.0 | 18.1 | 11.7 | |||
| WCRF/AICR Score Categories | |||||
|---|---|---|---|---|---|
| All | Category 1 | Category 2 | Category 3 | Category 4 | |
| Women | |||||
| Score range | 0–8 | 0 to ≤3 | >3 to ≤4 | >4 to ≤5 | >5 |
| n | 1196 (100) | 215 (18.0) | 384 (32.1) | 381 (31.9) | 216 (18.1) |
| Age at recruitment (y) | 49.4 ± 8.7 | 49.5 ± 8.5 | 49.3 ± 8.8 | 49.8 ± 8.8 | 48.7 ± 8.4 |
| Smoking status | |||||
| Never smokers | 610 (51.0) | 99 (46.0) | 197 (51.3) | 203 (53.3) | 111 (51.4) |
| Long-term quitters (≥10 y) | 213 (17.8) | 39 (18.1) | 55 (14.3) | 69 (18.1) | 50 (23.1) |
| Short-term quitters (<10 y) | 125 (10.5) | 19 (8.8) | 42 (10.9) | 43 (11.3) | 21 (9.7) |
| Light smokers (<15 cig/day) | 157 (13.1) | 32 (14.9) | 51 (13.3) | 48 (12.6) | 26 (12.0) |
| Heavy smokers (≥15 cig/day) | 91 (7.6) | 26 (12.1) | 39 (10.2) | 18 (4.7) | 8 (3.7) |
| Education level | |||||
| Primary school | 325 (27.2) | 68 (31.6) | 115 (29.9) | 106 (27.8) | 36 (16.7) |
| Secondary school | 582 (48.7) | 97 (45.1) | 191 (49.7) | 191 (50.1) | 103 (47.7) |
| University degree | 289 (24.2) | 50 (23.3) | 78 (20.3) | 84 (22.0) | 77 (35.6) |
| Aspirin use | 37 (3.1) | 7 (3.3) | 12 (3.1) | 14 (3.7) | 4 (1.9) |
| Contraceptive pill use 2 | 67 (9.4) | 12 (9.5) | 20 (8.3) | 21 (9.9) | 14 (10.3) |
| HRT use 3 | 299 (45.4) | 60 (48.8) | 95 (43.8) | 96 (44.4) | 48 (47.1) |
| ≥1 full term pregnancy | 971 (81.2) | 143 (66.5) | 303 (78.9) | 329 (86.4) | 196 (90.7) |
| Menopausal status | |||||
| Premenopausal | 538 (45.0) | 92 (42.8) | 167 (43.5) | 165 (43.3) | 114 (52.8) |
| Perimenopausal | 176 (14.7) | 34 (15.8) | 73 (19.0) | 47 (12.3) | 22 (10.2) |
| Postmenopausal | 482 (40.3) | 89 (41.4) | 144 (37.5) | 169 (44.4) | 80 (37.0) |
| Men | |||||
| Score range | 0–7 | 0 to ≤2 | >2 to ≤3 | >3 to ≤4 | >4 |
| n | 1071 (100) | 158 (14.8) | 421 (39.3) | 367 (34.3) | 125 (11.7) |
| Age at recruitment (y) | 52.5 ± 7.2 | 52.4 ± 7.0 | 52.7 ± 7.1 | 52.2 ± 7.4 | 52.4 ± 7.1 |
| Smoking status | |||||
| Never smokers | 367 (34.3) | 40 (25.3) | 127 (30.2) | 140 (38.1) | 60 (48.0) |
| Long-term quitters (≥10 y) | 300 (28.0) | 49 (31.0) | 119 (28.3) | 101 (27.5) | 31 (24.8) |
| Short-term quitters (<10 y) | 125 (11.7) | 20 (12.7) | 48 (11.4) | 43 (11.7) | 14 (11.2) |
| Light smokers (<15 cig/day) | 134 (12.5) | 18 (11.4) | 60 (14.3) | 45 (12.3) | 11 (8.8) |
| Heavy smokers (≥15 cig/day) | 145 (13.5) | 31 (19.6) | 67 (15.9) | 38 (10.4) | 9 (7.2) |
| Education level | |||||
| Primary school | 314 (29.3) | 50 (31.6) | 128 (30.4) | 112 (30.5) | 24 (19.2) |
| Secondary school | 350 (32.7) | 58 (36.7) | 148 (35.2) | 110 (30.0) | 34 (27.2) |
| University degree | 407 (38.0) | 50 (31.6) | 145 (34.4) | 145 (39.5) | 67 (53.6) |
| Aspirin use | 66 (6.2) | 10 (6.3) | 23 (5.5) | 23 (6.3) | 10 (8.0) |
| Subcohort | WCRF/AICR Score Categories | |||||
|---|---|---|---|---|---|---|
| 1 | 2 | 3 | 4 | Ptrend | ||
| All | ||||||
| n (%) | 2267 (100) | 373 (17) | 805 (35) | 748 (33) | 341 (15) | |
| Score range | 0 to ≤2/0 to ≤3 | 2 to ≤3/3 to ≤4 | 3 to ≤4/4 to ≤5 | >4/>5 | ||
| Fibrinogen (mg/mL) | 3.99 (3.81,4.18) | 3.98 (3.79,4.18) | 4.02 (3.83,4.21) | 3.97 (3.78,4.16) | 3.95 (3.76,4.15) | 0.25 |
| Glycoprotein IIb/IIIa (ng/mL) | 402 (367,441) | 408 (370.0,450.6) | 402 (366,441) | 401 (365,441) | 402 (364,443) | 0.51 |
| P-Selectin (ng/mL) | 27.2 (24.6,30.0) | 27.5 (24.7,30.6) | 26.8 (24.2,29.7) | 27.3 (24.7,30.3) | 27.5 (24.8,30.6) | 0.67 |
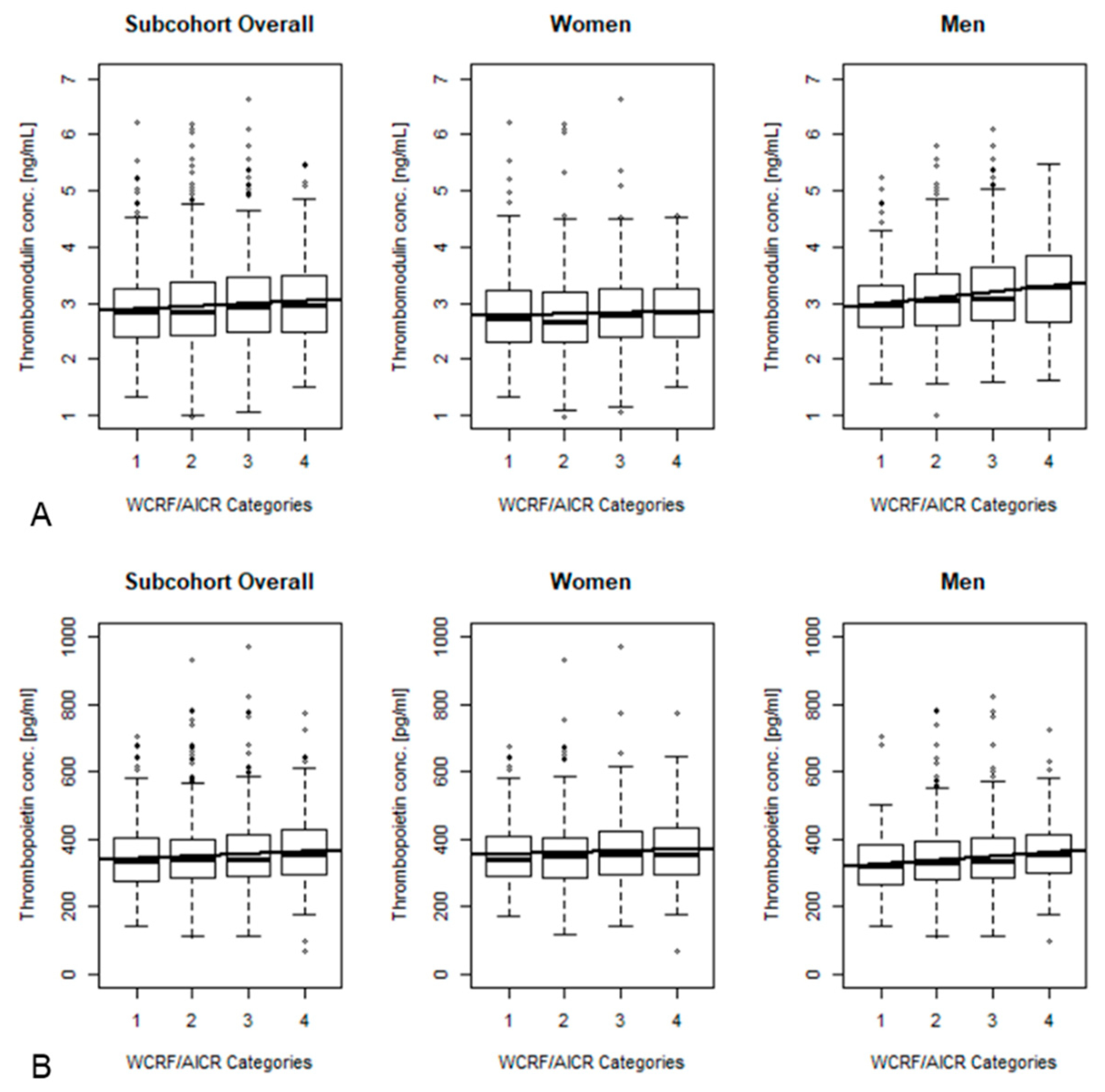
| Thrombomodulin (ng/mL) | 2.98 (2.8,3.2) | 2.90 (2.7,3.1) | 2.93 (2.7,3.1) | 3.00 (2.8,3.2) | 3.10 (2.9,3.3) | 0.0001 |
| Thrombopoietin (pg/mL) | 337 (312,364) | 328 (302,356) | 331 (306,358) | 341 (315,370) | 348 (321,378) | 0.0007 |
| Men | ||||||
| n (%) | 1071 (100) | 158 (15) | 421 (39) | 367 (34) | 125 (12) | |
| Score range | 0 to ≤2 | 2 to ≤3 | 3 to ≤4 | >4 | ||
| Fibrinogen (mg/mL) | 3.94 (3.76,4.13) | 4.06 (3.80,4.33) | 4.03 (3.79,4.28) | 3.99 (3.75,4.24) | 4.03 (3.78,4.30) | 0.50 |
| Glycoprotein IIb/IIIa (ng/mL) | 399 (364,438) | 391 (343,444) | 393 (349,444) | 381 (337,430) | 372 (327,424) | 0.12 |
| P-Selectin (ng/mL) | 28.9 (26.2,32.0) | 30.5 (26.3,35.3) | 29.52 (25.8,33.8) | 30.2 (26.3,34.7) | 32.1 (27.7,37.1) | 0.24 |
| Thrombomodulin (ng/mL) | 3.13 (2.9,3.3) | 2.93 (2.7,3.2) | 3.03 (2.8,3.3) | 3.10 (2.9,3.4) | 3.28 (3.0,3.6) | 0.0001 |
| Thrombopoietin (pg/mL) | 327 (302,354) | 301 (271,335) | 314 (285,346) | 324 (293,358) | 343 (309,381) | 0.0001 |
| Women | ||||||
| n (%) | 1196 (100) | 215 (18) | 384 (32) | 381 (32) | 216 (18) | |
| Score range | 0 to ≤3 | 3 to ≤4 | 4 to ≤5 | >5 | ||
| Fibrinogen (mg/mL) | 4.04 (3.85,4.23) | 3.76 (3.40,4.16) | 3.85 (3.49,4.25) | 3.76 (3.41,4.15) | 3.76 (3.39,4.16) | 0.51 |
| GPIIb/IIIa (ng/mL) | 405 (369,446) | 485 (394,596) | 468 (382,573) | 481 (392,590) | 495 (402,611) | 0.41 |
| P-Selectin (ng/mL) | 25.5 (23.0,28.3) | 21.1 (17.1,25.9) | 20.2 (16.5,24.8) | 21.0 (17.1,25.7) | 20.6 (16.7,25.4) | 0.87 |
| Thrombomodulin (ng/mL) | 2.84 (2.7,3.0) | 2.69 (2.3,3.1) | 2.66 (2.3,3.1) | 2.76 (2.4,3.2) | 2.83 (2.4,3.3) | 0.020 |
| Thrombopoietin (pg/mL) | 347 (320,376) | 350 (294,417) | 340 (287,404) | 355 (299,422) | 366 (307,437) | 0.058 |
| Score | n (%) | Fibrinogen | Ptrend | GPIIb/IIIa | Ptrend | P-Selectin | Ptrend | TM | Ptrend | TPO | Ptrend |
|---|---|---|---|---|---|---|---|---|---|---|---|
| Be a healthy weight | |||||||||||
| 0 | 373 (16.5) | 4.06 (3.85,4.27) | 9.4 × 10−8 | 402 (362,446) | 0.38 | 28.6 (25.5,32.0) | 0.050 | 3.03 (2.8,3.3) | 0.27 | 332 (304,363) | 0.08 |
| 0.5 | 884 (39) | 3.95 (3.76,4.15) | 399 (361,442) | 26.9 (24.1,30.1) | 3.00 (2.8,3.2) | 335 (308,365) | |||||
| 1 | 1010 (44.5) | 3.83 (3.65,4.03) | 407 (368,451) | 27.0 (24.2,30.2) | 2.98 (2.8,3.2) | 342 (314,373) | |||||
| Be physically active | |||||||||||
| 0 | 641 (28.3) | 3.98 (3.79,4.19) | 0.011 | 409 (369,453) | 0.09 | 27.6 (24.7,30.8) | 0.91 | 2.99 (2.8,3.2) | 0.74 | 334 (306,364) | 0.69 |
| 0.5 | 447 (19.7) | 3.95 (3.75,4.16) | 402 (363,446) | 27.5 (24.5,30.7) | 3.02 (2.8,3.2) | 340 (311,370) | |||||
| 1 | 1179 (52) | 3.90 (3.71,4.10) | 397 (359,439) | 27.5 (24.6,30.7) | 3.00 (2.8,3.2) | 336 (309,366) | |||||
| Limit consumption of energy dense foods | |||||||||||
| 0 | 775 (34.2) | 3.92 (3.73,4.13) | 0.47 | 401 (362,444) | 0.97 | 28.6 (25.6,32.0) | 0.022 | 3.02 (2.8,3.2) | 0.61 | 342 (314,373) | 0.19 |
| 0.5 | 1323 (58.4) | 3.95 (3.76,4.15) | 393 (355,434) | 28.1 (25.2,31.4) | 3.02 (2.8,3.2) | 337 (310,367) | |||||
| 1 | 169 (7.4) | 3.96 (3.75,4.18) | 415 (372,464) | 25.9 (23.0,29.2) | 2.97 (2.7,3.2) | 331 (301,363) | |||||
| Limit consumption of sugar sweetened drinks | |||||||||||
| 0 | 760 (33.5) | 3.97 (3.77,4.18) | 0.27 | 417 (377,462) | 0.031 | 27.2 (24.4,30.4) | 0.64 | 3.03 (2.8,3.3) | 0.36 | 338 (310,368) | 0.98 |
| 0.5 | 1408 (62.1) | 3.93 (3.74,4.13) | 409 (370,452) | 27.3 (24.5,30.4) | 2.99 (2.8,3.2) | 340 (313,370) | |||||
| 1 | 99 (4.4) | 3.93 (3.71,4.16) | 383 (341,429) | 28.0 (24.7,31.8) | 2.98 (2.8,3.2) | 332 (301,366) | |||||
| Eat a diet rich in whole grains, vegetables, fruits, and beans | |||||||||||
| Fruits and vegetables intake | |||||||||||
| 0 | 91 (4) | 3.88 (3.65,4.12) | 0.35 | 391 (347,442) | 0.24 | 28.2 (24.7,32.2) | 0.62 | 3.05 (2.8,3.3) | 0.79 | 340 (307,377) | 0.013 |
| 0.5 | 1621 (71.5) | 3.96 (3.77,4.16) | 395 (358,437) | 27.5 (24.7,30.7) | 2.99 (2.8,3.2) | 332 (306,361) | |||||
| 1 | 555 (24.5) | 3.99 (3.80,4.20) | 404 (365,447) | 27.4 (24.5,30.6) | 2.99 (2.8,3.2) | 349 (321,380) | |||||
| Fiber intake | |||||||||||
| 0 | 237 (10.5) | 3.94 (3.74,4.16) | 0.80 | 412 (370,459) | 0.43 | 26.8 (23.8,30.1) | 0.06 | 2.99 (2.8,3.2) | 0.24 | 325 (296,356) | 0.09 |
| 0.5 | 1577 (69.7) | 3.97 (3.78,4.17) | 395 (359,437) | 27.3 (24.5,30.4) | 2.97 (2.8,3.2) | 340 (313,370) | |||||
| 1 | 453 (20.0) | 3.96 (3.76,4.17) | 398 (359,44) | 28.6 (25.5,31.9) | 3.06 (2.8,3.3) | 343 (314,375) | |||||
| Limit consumption of red and processed meat | |||||||||||
| 0 | 1504 (66.3) | 3.97 (3.79,4.17) | 0.31 | 407 (369,449) | 0.42 | 26.7 (24.0,29.7) | 0.09 | 2.91 (2.7,3.1) | 0.006 | 326 (300,354) | 0.044 |
| 0.5 | 692 (30.6) | 3.94 (3.75,4.14) | 401 (363,443) | 27.3 (24.5,30.5) | 3.01 (2.8,3.2) | 333 (306,362) | |||||
| 1 | 71 (3.1) | 3.92 (3.69,4.17) | 400 (353,453) | 28.6 (24.9,32.7) | 3.09 (2.8,3.4) | 351 (316,391) | |||||
| Limit alcohol consumption | |||||||||||
| 0 | 552 (24.3) | 3.86 (3.66,4.06) | 1.57 × 10−7 | 402 (362,445) | 0.25 | 27.2 (24.3,30.4) | 0.08 | 2.92 (2.7,3.1) | 3.4 × 10−7 | 331 (304,361) | 0.012 |
| 0.5 | 389 (17.2) | 3.94 (3.74,4.15) | 398 (358,441) | 27.2 (24.3,30.5) | 2.97 (2.8,3.2) | 335 (307,366) | |||||
| 1 | 1326 (58.5) | 4.04 (3.85,4.25) | 409 (370,452) | 28.1 (25.2,31.3) | 3.12 (2.9,3.3) | 344 (316,374) | |||||
© 2019 by the authors. Licensee MDPI, Basel, Switzerland. This article is an open access article distributed under the terms and conditions of the Creative Commons Attribution (CC BY) license (http://creativecommons.org/licenses/by/4.0/).
Share and Cite
Grafetstätter, M.; Pletsch-Borba, L.; Sookthai, D.; Karavasiloglou, N.; Johnson, T.; Katzke, V.A.; Hoffmeister, M.; Bugert, P.; Kaaks, R.; Kühn, T. Thrombomodulin and Thrombopoietin, Two Biomarkers of Hemostasis, Are Positively Associated with Adherence to the World Cancer Research Fund/American Institute for Cancer Research Recommendations for Cancer Prevention in a Population-Based Cross-Sectional Study. Nutrients 2019, 11, 2067. https://doi.org/10.3390/nu11092067
Grafetstätter M, Pletsch-Borba L, Sookthai D, Karavasiloglou N, Johnson T, Katzke VA, Hoffmeister M, Bugert P, Kaaks R, Kühn T. Thrombomodulin and Thrombopoietin, Two Biomarkers of Hemostasis, Are Positively Associated with Adherence to the World Cancer Research Fund/American Institute for Cancer Research Recommendations for Cancer Prevention in a Population-Based Cross-Sectional Study. Nutrients. 2019; 11(9):2067. https://doi.org/10.3390/nu11092067
Chicago/Turabian StyleGrafetstätter, Mirja, Laura Pletsch-Borba, Disorn Sookthai, Nena Karavasiloglou, Theron Johnson, Verena A. Katzke, Michael Hoffmeister, Peter Bugert, Rudolf Kaaks, and Tilman Kühn. 2019. "Thrombomodulin and Thrombopoietin, Two Biomarkers of Hemostasis, Are Positively Associated with Adherence to the World Cancer Research Fund/American Institute for Cancer Research Recommendations for Cancer Prevention in a Population-Based Cross-Sectional Study" Nutrients 11, no. 9: 2067. https://doi.org/10.3390/nu11092067
APA StyleGrafetstätter, M., Pletsch-Borba, L., Sookthai, D., Karavasiloglou, N., Johnson, T., Katzke, V. A., Hoffmeister, M., Bugert, P., Kaaks, R., & Kühn, T. (2019). Thrombomodulin and Thrombopoietin, Two Biomarkers of Hemostasis, Are Positively Associated with Adherence to the World Cancer Research Fund/American Institute for Cancer Research Recommendations for Cancer Prevention in a Population-Based Cross-Sectional Study. Nutrients, 11(9), 2067. https://doi.org/10.3390/nu11092067

