Evaluation of Athletes’ Food Choices during Competition with Use of Digital Images
Abstract
1. Introduction
2. Materials and Methods
2.1. Setting
2.2. Participants
2.3. Data Collection
2.4. Data Analysis
3. Results
3.1. Participant Characteristics
3.2. Analysis of Meal Selection
4. Discussion
5. Conclusions
Author Contributions
Funding
Acknowledgments
Conflicts of Interest
References
- Jacobs, D.R.; Tapsell, L.C. Food, not nutrients, is the fundamental unit in nutrition. Nutr. Rev. 2007, 65, 439–450. [Google Scholar] [CrossRef] [PubMed]
- Thomas, D.T.; Erdman, K.A.; Burke, L.M. Position of the Academy of Nutrition and Dietetics, Dietitians of Canada, and the American College of Sports Medicine: Nutrition and Athletic Performance. J. Acad. Nutr. Diet. 2016, 116, 501–528. [Google Scholar] [CrossRef] [PubMed]
- Burkhart, S.J.; Pelly, F.E. Dietary Intake of Athletes Seeking Nutrition Advice at a Major International Competition. Nutrients 2016, 8, 638. [Google Scholar] [CrossRef] [PubMed]
- Capling, L.; Beck, K.; Gifford, J.; Slater, G.; Flood, V.; O’Connor, H. Validity of Dietary Assessment in Athletes: A Systematic Review. Nutrients 2017, 9, 1313. [Google Scholar] [CrossRef] [PubMed]
- Heaney, S.; O’Connor, H.; Michael, S.; Gifford, J.; Naughton, G. Nutrition knowledge in athletes: A systematic review. Int. J. Sport Nutr. Exerc. Metab. 2011, 21, 248–261. [Google Scholar] [CrossRef] [PubMed]
- Heaney, S.; O’Connor, H.; Gifford, J.; Naughton, G. Comparison of strategies for assessing nutritional adequacy in elite female athletes’ dietary intake. Int. J. Sport Nutr. Exerc. Metab. 2010, 20, 245–256. [Google Scholar] [CrossRef] [PubMed]
- Symmank, C.; Mai, R.; Hoffmann, S.; Stok, F.M.; Renner, B.; Lien, N.; Rohm, H. Predictors of food decision making: A systematic interdisciplinary mapping (SIM) review. Appetite 2017, 110, 25–35. [Google Scholar] [CrossRef] [PubMed]
- Nestle, M.; Wing, R.; Birch, L.; DiSogra, L.; Drewnowski, A.; Middleton, S.; Sigman-Grant, M.; Sobal, J.; Winston, M.; Economos, C. Behavioural and Social Influences on Food Choice. Nutr. Rev. 1998, 56, S50–S74. [Google Scholar] [CrossRef]
- Burkhart, S.J.; Pelly, F.E. Athletes Opinions of Food Provision at the 2010 Delhi Commonwealth Games: The Influence of Culture and Sport. Int. J. Sport Nutr. Exerc. Metab. 2013, 23, 11–23. [Google Scholar] [CrossRef]
- Burkhart, S.J.; Pelly, F. Athlete use and opinion of point of choice nutrition labels at a major international competition. Appetite 2013, 70, 6–13. [Google Scholar] [CrossRef]
- Long, D.; Perry, C.; Unruh, S.A.; Lewis, N.; Stanek-Krogstrand, K. Personal food systems of male collegiate football players: A grounded theory investigation. J. Athl. Train. 2011, 46, 688–695. [Google Scholar] [CrossRef] [PubMed]
- Smart, L.R.; Bisogni, C.A. Personal food systems of male college hockey players. Appetite 2001, 37, 57–70. [Google Scholar] [CrossRef] [PubMed]
- Robins, A.; Hetherington, M.M. A comparison of pre-competition eating patterns in a group of non-elite triathletes. Int. J. Sport Nutr. Exerc. Metab. 2005, 15, 442–457. [Google Scholar] [CrossRef] [PubMed]
- Blennerhassett, C.; McNaughton, L.R.; Sparks, S.A. Factors influencing ultra-endurance athletes food choices: An adapted food choice questionnaire. Res. Sports Med. 2019, 27, 257–271. [Google Scholar] [CrossRef] [PubMed]
- Pelly, F.E.; Burkhart, S.J.; Dunn, P. Factors influencing food choice of athletes at international competition events. Appetite 2018, 121, 173–178. [Google Scholar] [CrossRef] [PubMed]
- Pelly, F.; King, T.; O’Connor, H. Factors influencing food choice of elite athletes at an international competition dining hall. In Proceedings of the 2nd Conference for the Australian Association of Exercise and Sport Sciences, Sydney, Australia, 28 September–1 October 2006; p. 131. [Google Scholar]
- McClung, H.L.; Champagne, C.M.; Allen, H.R.; McGraw, S.M.; Young, A.J.; Montain, S.J.; Crombie, A.P. Digital food photography technology improves efficiency and feasibility of dietary intake assessments in large populations eating ad libitum in collective dining facilities. Appetite 2017, 116, 389–394. [Google Scholar] [CrossRef] [PubMed]
- Christoph, M.J.; Loman, B.R.; Ellison, B. Developing a digital photography-based method for dietary analysis in self-serve dining settings. Appetite 2017, 114, 217–225. [Google Scholar] [CrossRef] [PubMed]
- Simpson, A.; Gemming, L.; Baker, D.; Braakhuis, A. Do Image-Assisted Mobile Applications Improve Dietary Habits, Knowledge, and Behaviours in Elite Athletes? A Pilot Study. Sports 2017, 5, 60. [Google Scholar] [CrossRef]
- National Health and Medical Research Council. A Modelling System to Inform the Revision of the Australian Guide to Healthy Eating; Australian Government: Canberra, ACT, Australia, 2011.
- Food Standards Australia and New Zealand. Food Standards Code. 2003. Available online: http://www.foodstandards.gov.au (accessed on 27 April 2019).
- National Health and Medical Research Council. Nutrient Reference Values for Australia and New Zealand—Executive Summary; National Health and Medical Research Council (NHMRC): Canberra, Australia, 2006.
- Kondracki, N.L.; Wellman, N.S.; Amundson, D.R. Content analysis: Review of methods and their applications in nutrition education. J. Nutr. Educ. Behav. 2002, 34, 224–230. [Google Scholar] [CrossRef]
- Thurecht, R.; Pelly, F.E. Development of a new tool for managing performance nutrition: The Athlete Food Choice Questionnaire. Int. J. Sports Nutr. Exer. Metab. 2019, in press. [Google Scholar] [CrossRef]
- Burke, L.M.; Cox, G.R.; Cummings, N.K.; Desbrow, B. Guidelines for daily carbohydrate intake: Do athletes achieve them? Sports Med. 2001, 31, 267–299. [Google Scholar] [CrossRef] [PubMed]
- Reale, R.; Slater, G.; Cox, G.R.; Dunican, I.C.; Burke, L.M. The Effect of Water Loading on Acute Weight Loss Following Fluid Restriction in Combat Sports Athletes. Int. J. Sport Nutr. Exerc. Metab. 2018, 28, 565–573. [Google Scholar] [CrossRef] [PubMed]
- Hector, A.J.; Phillips, S.M. Protein Recommendations for Weight Loss in Elite Athletes: A Focus on Body Composition and Performance. Int. J. Sport Nutr. Exerc. Metab. 2018, 28, 170–177. [Google Scholar] [CrossRef] [PubMed]
- National Health and Medical Research Council. Dietary Guidelines for Australians; Commonwealth of Australia: Canberra, Australia, 2003.
- Abargouei, A.S.; Janghorbani, M.; Salehi-Marzijarani, M.; Esmaillzadeh, A. Effect of dairy consumption on weight and body composition in adults: A systematic review and meta-analysis of randomized controlled clinical trials. Int. J. Obes. (Lond.) 2012, 36, 1485. [Google Scholar] [CrossRef] [PubMed]
- Pan, A.; Malik, V.S.; Hu, F.B.; Chen, M. Effects of dairy intake on body weight and fat: A meta-analysis of randomized controlled trials. Am. J. Clin. Nutr. 2012, 96, 735–747. [Google Scholar]
- Cowburn, G.; Stockley, L. Consumer understanding and use of nutrition labelling: A systematic review. Public Health Nutr. 2005, 8, 21–28. [Google Scholar] [CrossRef] [PubMed]
- Christoph, M.J.; Ellison, B. A Cross-Sectional Study of the Relationship between Nutrition Label Use and Food Selection, Servings, and Consumption in a University Dining Setting. J. Acad. Nutr. Diet 2017, 117, 1528–1537. [Google Scholar] [CrossRef]
- Christoph, M.J.; An, R. Effect of nutrition labels on dietary quality among college students: A systematic review and meta-analysis. Nutr. Rev. 2018, 76, 187–203. [Google Scholar] [CrossRef]
- Pelly, F.; Simmons, S.P. Food Provision at the Rio 2016 Olympic Games: Expert Review and Future Recommendations. Int. J. Sport Nutr. Exerc. Metab. 2019, 1–6. [Google Scholar] [CrossRef]
- Burkhart, S.J.; Pelly, F.E. Beyond sports nutrition: The diverse role of dietitians at the Delhi 2010 Commonwealth Games. J. Hum. Nutr. Diet. 2014, 27, 639–647. [Google Scholar] [CrossRef]
- Pelly, F.; Meyer, N.L.; Pearce, J.; Burkhart, S.J.; Burke, L.M. Evaluation of Food Provision and Nutrition Support at the London 2012 Olympic Games: The Opinion of Sports Nutrition Experts. Int. J. Sport Nutr. Exerc. Metab. 2014, 24, 674–683. [Google Scholar] [CrossRef] [PubMed]


| Total | Male | Female | Test Statistic; p-Value ^ | |
|---|---|---|---|---|
| Age in years (median, range) | 25 (15–60) | 27 (17–60) | 24.5 (15–39) | NS |
| Sport category * Weight focused Endurance Power/sprint Racket Team | 15 (19.2) 19 (24.4) 12 (15.4) 6 (7.7) 26 (33.3) | 6 (16.7) 10 (27.8) 4 (11.1) 4 (11.1) 12 (33.3) | 9 (21.4) 9 (21.4) 8 (19.0) 2 (4.48) 14 (33.3) | NS |
| Region Africa Australia/New Zealand British Isles Canada Caribbean Asia/Pacific | 19 (23.5) 18 (22.2) 19 (23.5) 8 (9.9) 5 (6.2) 12 (14.8) | 11 (28.2) 8 (20.5) 8 (20.5) 4 (10.3) 2 (5.1) 6 (15.4) | 8 (19.0) 10 (23.8) 11 (26.2) 4 (9.5) 3 (7.1) 6 (14.3) | NS |
| Competition phase Pre/During Post | 56 (69.1) 25 (30.9) | 25 (64.1) 14 (35.9) | 31 (73.8) 11 (26.2) | NS |
| Experience in dining hall Yes No | 31 (38.3) 50 (61.7) | 10 (25.6) 29 (74.4) | 21 (50.0) 21 (50.0) | 5.079 c; 0.021 |
| Previous competition (yes/no) Olympic World Commonwealth Other | 23 (37.7) 7 (11.5) 34 (55.7) 22 (36.1) | 7 (57.1) 3 (9.1) 18 (54.5) 16 (48.5) | 16 (57.1) 4 (14.3) 16 (57.1) 6 (21.4) | 8.33 c; 0.004 NS NS 4.81 c; 0.026 |
| Following particular diet # Performance Preference Allergy/intolerance Macronutrient based | 34 (42.0) 10 (29.4) 13 (38.2) 3 (8.8) 8 (23.5) | 17 (50.0) 6 (35.3) 8 (47.1) 1 (5.9) 2 (11.8) | 17 (50.0) 4 (23.5) 5 (29.4) 2 (11.8) 6 (35.3) | NS |
| Previous nutrition advice Yes Dietitian Other No | 65 (80.2) 59 (90.8) 6 (9.2) 16 (19.8) | 29 (74.4) 25 (86.2) 4 (13.8) 10 (25.6) | 36 (85.7) 34 (94.4) 2 (5.6) 6 (14.3) | NS |
| Time last trained or competed Within 24 h Greater than 24 h | 59 (72.8) 22 (27.2) | 24 (61.5) 15 (38.5) | 35 (83.3) 7 (16.7) | 4.86 c; 0.025 |
| Use of nutrition label Yes No | 30 (37.0) 51 (63.0) | 10 (25.6) 29 (74.4) | 20 (47.6) 22 (52.4) | 4.19 c; 0.041 |
| Meal Period n (%) | Total (for Meal Period) | Before/during Competition | After Competition |
|---|---|---|---|
| Breakfast | 14 (17.3) | 8 (57.1) | 6 (42.9) |
| Lunch | 35 (43.2) | 27 (77.1) | 8 (22.9) |
| Dinner | 32 (39.5) | 21 (65.6) | 11 (34.4) |
| Total | 81 (100) | 56 (69.1) | 25 (30.9) |
| Total (n = 81) | Sex (n, IQR *) | Meal Period (n, IQR *) | ||||||
| Nutrient | Median (IQR *) | Males | Females | Test Statistic p-Value ^ | Breakfast | Lunch | Dinner | Test Statistic p-Value ^ |
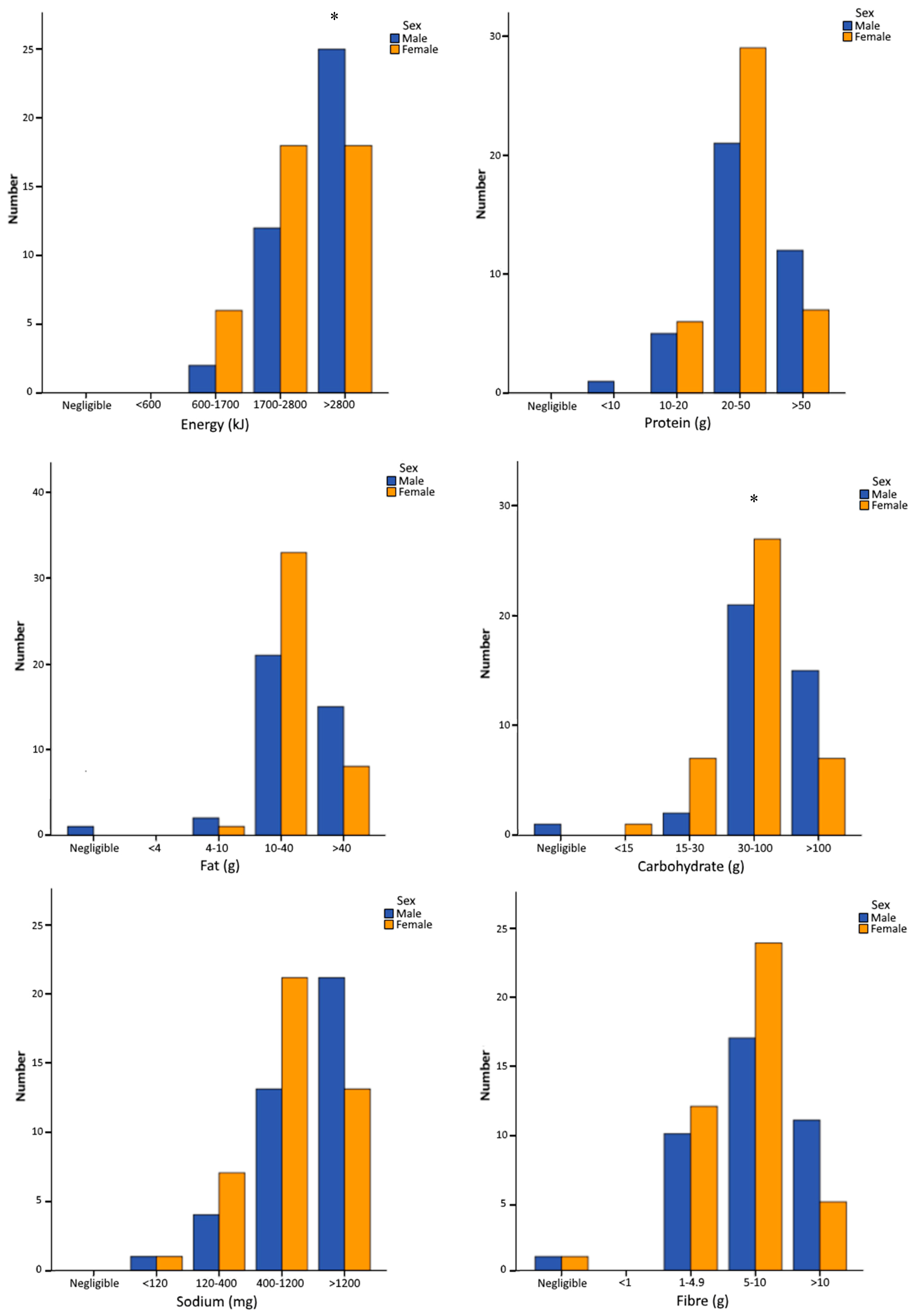
| Energy (kJ) | 3025 (2220–3867) | 3529 (2457–4825) | 2541 (1990–3550) | 531.5 a 0.007 | 2542 (2209–3529) | 3050 (2181–3867) | 3212 (2368–4588) | NS |
| Protein (g) | 35 (22–49) | 38 (28–58) | 31 (21–43) | NS | 26 (17–31) | 35 (23–52) | 42 (26–55) | 8.25 b 0.016 |
| CHO (g) | 74 (42–108) | 93 (75–122) | 49 (32–79) | 412.5 a 0.000 | 87 (55–106) | 50 (33–93) | 83 (45–116) | NS |
| Fat (g) | 30 (23–43) | 33 (22–50) | 28 (24–37) | NS | 28 (22–35) | 32 (22–41) | 31 (25–51) | NS |
| Fibre (g) | 7 (4–10) | 9 (4–11) | 6 (4–9) | 601.0 a 0.039 | 5 (3–9) | 8 (5–10) | 8 (4–11) | NS |
| Sodium (mg) | 1120 (517–1775) | 1467 (661–2326) | 846 (462–1362) | 570 a 0.019 | 814 (432–1314) | 1238 (662–1654) | 1066 (389–1949) | NS |
| Number (n) of Meals that Contained the Food Group (%) | Number (n) and Proportion (%) of sex | Number (n) and Proportion (%) of Meal Period | ||||||
| Food Group | n (%) | Males | Females | Test Statistic; p-Value ^ | Breakfast | Lunch | Dinner | Test Statistic; p-Value ^ |
| Grains and cereals | 63 (77.8) | 34 (87.2) | 29 (69.0) | 3.85 c; 0.05 | 13(92.9) | 22 (62.9) | 28 (87.5) | 8.10 c; 0.017 |
| Fruit | 16 (19.8) | 9 (16.7) | 7 (23.1) | NS | 3 (21.4) | 8 (22.9) | 5 (15.6) | NS |
| Fruit juice | 12 (14.8) | 6 (15.4) | 6 (14.3) | NS | 3 (21.4) | 5 (14.3) | 4 (12.5) | NS |
| Non-starchy vegetables # | 56 (69.1) | 24 (61.5) | 32 (76.2) | NS | 0 (0.0) | 30 (53.6) | 26 (46.4) | 38.07 c;<0.0001 |
| Starchy vegetables # | 34 (42.0) | 13 (33.3) | 21 (50.0) | NS | 4 (28.6) | 14 (40.0) | 16 (50.0) | NS |
| Legumes | 7 (8.6) | 5 (4.8) | 2 (12.8) | NS | 2 (14.3) | 5 (14.3) | 0 (0.0) | NS |
| Dairy | 28 (34.6) | 16 (41.0) | 12 (28.6) | NS | 8 (57.1) | 9 (25.7) | 11 (34.4) | NS |
| Meats | 68 (84.0) | 32 (82.1) | 36 (85.7) | NS | 7 (50.0) | 31(88.6) | 30 (93.8) | 14.81 c; 0.001 |
| Discretionary | 24 (29.6) | 18 (46.2) | 6 (14.3) | 9.85 c; 0.002 | 7 (50.0) | 8 (22.9) | 9 (28.1) | NS |
| Total (n, Range) | Sex (n, Range) | Meal Period (n, Range) | ||||||
| Item | Median (Range) | Males | Females | p-Value ^ | Breakfast | Lunch | Dinner | p-Value ^ |
| Core food groups in meal | 3 (1–5) | 3 (1–5) | 3 (1–5) | NS | 3 (2–3) | 3 (1–5) | 3 (1–5) | 6.33 b; 0.042 |
| Bread/cereal serves $ (n = 63) | 2 (1–2) | 2 (0.5–5) | 1.5 (0.5–3) | 257.5 a; 0.001 | 2 (1–3) | 1.75 (0.5–4) | 2 (0.5–5) | NS |
| Variety (different items) | 6 (2–15) | 7 (2–15) | 6 (3–12) | NS | 5 (3–11) | 7 (3–15) | 7 (2–14) | NS |
| Volume (plates of food) | 1 (1–5) | 2 (1–5) | 1 (1–3) | 592.0 a; 0.016 | 1 (1–2) | 1 (1–4) | 2 (1–5) | NS |
| Discretionary serves $ (n = 24) | 1.25 (0.25–7.0) | 1.5 (0.25–7.0) | 1.25 (1–3) | NS | 2 (0.5–2.5) | 1 (0.25–7) | 1.5 (0.5–3.0) | NS |
| Determinant Related to Food Choice * | Subcategory | n | Sample Comments |
|---|---|---|---|
| Nutritional attributes | Macronutrient content | 18 | Felt like some carbohydrate, sticking to protein-based meals. High carb. Protein. Fibre. Carbohydrate. Bit of protein. Bit of carbohydrate (but not simple) and greens. Wanted carbohydrate and protein and flavour. |
| Food groups/food content | 11 | Love tuna. Some type of protein, vegetables and carbohydrate always at lunch. Go for greens meat and vegetables. Always cheese protein and carbohydrate at lunch and greens at dinner. | |
| Sensory | Taste | 15 | Likes the taste. What’s available and what would taste good. Taste, try to keep a variety of healthy foods. |
| Appearance | 12 | Looked colourful. Looked good. | |
| Performance | Competition and training | 20 | About to train. Heading to a game soon so needed for before it. Picked for race prep. Carbohydrate for race tomorrow. Water content of the fruit –wanted to hydrate the body. |
| Usual eating practices | Preferences | 13 | Chose based on what he liked. Nothing else wanted in Western breakfast. Whatever I feel like. |
| Familiarity | 8 | Familiar in foreign country. Repetitive breakfast. Knows it safe. …. Corn fritters mum makes so reminded her of home. What you usually eat. | |
| Exploratory eating | 2 | Wanted to try different things. Done racing – trying different foods. | |
| Nutrition plan | 1 | Following the diet she is supposed to, and foods she likes. | |
| Food/health awareness | 3 | Wanted to eat healthy. Standard diet. …, try to keep a variety of healthy foods. Don’t avoid anything. Read up nutrition advice himself. YouTube, men’s health website. | |
| Emotional influences | 3 | Mood. How I’m feeling. | |
| Weight control | 1 | Trying to maintain weight. | |
| Influence of others | 1 | Team mate said corn fritters were really good and likes bacon and eggs. | |
| Other factors# | |||
| Physiological reasons | Gut comfort | 4 | Light meal. Simple. ….. Had it before so won’t be bad on stomach. Wanted something light - competing in 3 h. |
| Hunger | 2 | Was hungry after training. How hungry I am. …. | |
| Satiety | 2 | …. Keeps him full. | |
| Others | Weather/climate | 1 | Feeling the heat here so wanted something light and refreshing. |
| Availability | 1 | What’s available and what would taste good. | |
| Health/health condition | 1 | Food restriction and intolerances. |
© 2019 by the authors. Licensee MDPI, Basel, Switzerland. This article is an open access article distributed under the terms and conditions of the Creative Commons Attribution (CC BY) license (http://creativecommons.org/licenses/by/4.0/).
Share and Cite
Pelly, F.E.; Thurecht, R. Evaluation of Athletes’ Food Choices during Competition with Use of Digital Images. Nutrients 2019, 11, 1627. https://doi.org/10.3390/nu11071627
Pelly FE, Thurecht R. Evaluation of Athletes’ Food Choices during Competition with Use of Digital Images. Nutrients. 2019; 11(7):1627. https://doi.org/10.3390/nu11071627
Chicago/Turabian StylePelly, Fiona E., and Rachael Thurecht. 2019. "Evaluation of Athletes’ Food Choices during Competition with Use of Digital Images" Nutrients 11, no. 7: 1627. https://doi.org/10.3390/nu11071627
APA StylePelly, F. E., & Thurecht, R. (2019). Evaluation of Athletes’ Food Choices during Competition with Use of Digital Images. Nutrients, 11(7), 1627. https://doi.org/10.3390/nu11071627
