Association between High Waist-to-Height Ratio and Cardiovascular Risk among Adults Sampled by the 2016 Half-Way National Health and Nutrition Survey in Mexico (ENSANUT MC 2016)
Abstract
1. Introduction
2. Materials and Methods
2.1. Variables of Interest
2.2. Statistical Analysis
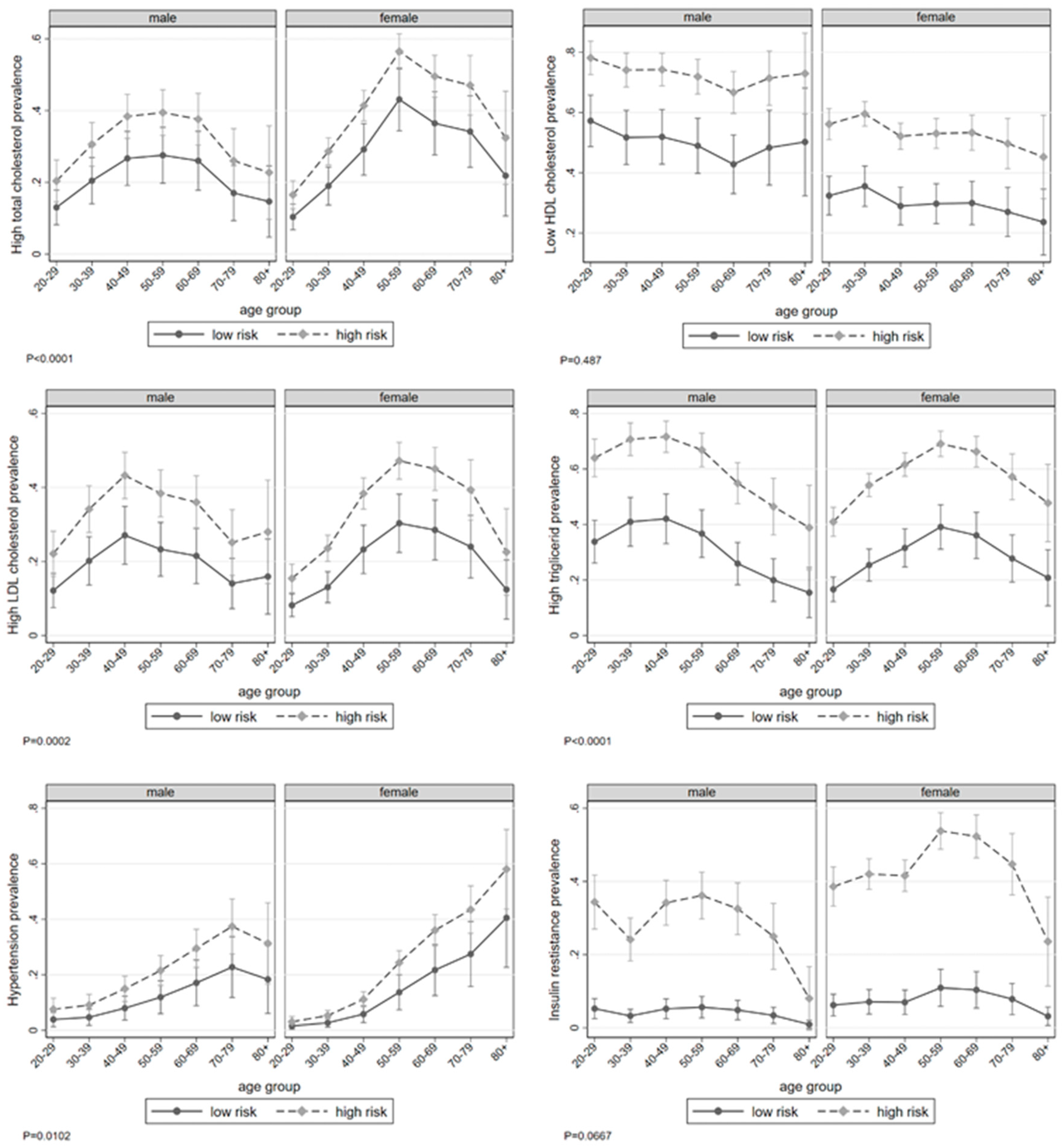
3. Results
4. Discussion
5. Conclusions
Author Contributions
Funding
Conflicts of Interest
References
- OMS 2015. Enfermedades no Transmisibles. Available online: http://www.who.int/mediacentre/factsheets/fs355/es/ (accessed on 15 October 2017).
- McAloon, C.J.; Boylan, L.M.; Hamborg, T.; Stallard, N.; Osman, F.; Lim, P.B.; Hayat, S.A. The changing face of cardiovascular disease 2000–2012: An analysis of the world health organisation global health estimates data. Int. J. Cardiol. 2016, 224, 256–264. [Google Scholar] [CrossRef]
- Balakumar, P.; Maung, U.K.; Jagadeesh, G. Prevalence and prevention of cardiovascular disease and diabetes mellitus. Pharmacol. Res. 2016, 113(Pt. A), 600–609. [Google Scholar] [CrossRef]
- Kozakova, M.; Palombo, C. Diabetes Mellitus, Arterial Wall, and Cardiovascular Risk Assessment. Int. J. Environ. Res. Public Health 2016, 13, 201. [Google Scholar] [CrossRef]
- OPS/OMS Sistema De Información Regional De Mortalidad. Available online: http://www.google.com.mx/url?sa=t&rct=j&q=&esrc=s&source=web&cd=1&ved=0ahUKEwj2qN2ZsPvPAhVHVyYKHTiyD4YQFggdMAA&url=http%3A%2F%2Fwww.paho.org%2Fhq%2Findex.php%3Foption%3Dcom_docman%26task%3Ddoc_download%26Itemid%3D270%26gid%3D27482%26lang%3Des&usg=AFQjCNFsCdGIINDXNvDhv8LDizqgfAGqEA&bvm=bv.136811127,d.eWE (accessed on 15 October 2017).
- World Health Organization. Obesity: Preventing and Managing the Global Epidemic; Report of a WHO Consultation on Obesity; WHO: Geneva, Switzerland, 2000; Available online: http://www.who.int/nutrition/publications/obesity/WHO_TRS_894/en/ (accessed on 14 January 2019).
- Yusuf, S.; Hawken, S.; Ounpuu, S.; Bautista, L.; Franzosi, M.G.; Commerford, P.; Lang, C.C.; Rumboldt, Z.; Onen, C.L.; Lisheng, L.; et al. Obesity and the risk of myocardial infarction in 27,000 participants from 52 countries: A case-control study. Lancet 2005, 366, 1640–1649. [Google Scholar] [CrossRef]
- Whitlock, G.; Lewington, S.; Sherliker, P.; Clarke, R.; Emberson, J.; Halsey, J.; Qizilbash, N.; Collins, R.; Peto, R.; MacMahon, S.; et al. Body-mass index and cause-specific mortality in 900,000 adults: Collaborative analyses of 57 prospective studies. Lancet 2009, 373, 1083–1096. [Google Scholar]
- Berrington de Gonzalez, A.; Hartge, P.; Cerhan, J.R.; Flint, A.J.; Hannan, L.; MacInnis, R.J.; Moore, S.C.; Tobias, G.S.; Anton-Culver, H.; Freeman, L.B.; et al. Body-mass index and mortalityamong 1.46 million white adults. N. Engl. J. Med. 2010, 363, 2211–2219. [Google Scholar] [CrossRef]
- Schneider, H.J.; Friedrich, N.; Klotsche, J.; Pieper, L.; Nauck, M.; John, U.; Dorr, M.; Felix, S.; Lehnert, H.; Pittrow, D.; et al. The predictive value of different measures of obesity for incident cardiovascular events and mortality. J. Clin. Endocrinol. Metab. 2010, 95, 1777–1785. [Google Scholar] [CrossRef]
- Bosy-Westphal, A.; Geisler, C.; Onur, S.; Korth, O.; Selberg, O.; Schrezenmeir, J.; Müller, M.J. Value of body fat mass vs anthropometric obesity indices in the assessment of metabolic risk factors. Int. J. Obes. 2006, 30, 475–483. [Google Scholar] [CrossRef]
- Li, W.C.; Chen, I.C.; Chang, Y.C.; Loke, S.S.; Wang, S.H.; Hsiao, K.Y. Waist-to-height ratio, waist circumference, and body mass index as indices of cardiometabolic risk among 36,642 Taiwanese adults. Eur. J. Nutr. 2013, 52, 57–65. [Google Scholar] [CrossRef]
- De Koning, L.; Merchant, A.T.; Pogue, J.; Anand, S.S. Waist circumference and waist-to-hip ratio as predictors of cardiovascular events: Meta-regression analysis of prospective studies. Eur. Heart J. 2007, 28, 850–856. [Google Scholar] [CrossRef]
- Carmienke, S.; Freitag, M.H.; Pischon, T.; Schlattmann, P.; Fankhaenel, T.; Goebel, H.; Gensichen, J. General and abdominal obesity parameters and their combination in relation to mortality: A systematic review and meta-regression analysis. Eur. J. Clin. Nutr. 2013, 67, 573–585. [Google Scholar] [CrossRef] [PubMed]
- Ashwell, M.; Cole, T.J.; Dixon, A.K. Ratio of waist circumference to height is strong predictor of intra-abdominal fat. Br. Med. J. 1996, 313, 559–560. [Google Scholar] [CrossRef] [PubMed]
- Lee, C.M.; Huxley, R.R.; Wildman, R.P.; Woodward, M. Indices of abdominal obesity are better discriminators of cardiovascular risk factors than BMI: A meta-analysis. J. Clin. Epidemiol. 2008, 61, 646–653. [Google Scholar] [CrossRef] [PubMed]
- Browning, L.M.; Hsieh, S.D.; Ashwell, M. A systematic review of waist-to-height ratio as a screening tool for the prediction of cardiovascular disease and diabetes: 0•5 could be a suitable global boundary value. Nutr. Res. Rev. 2010, 23, 247–269. [Google Scholar] [CrossRef]
- Ashwell, M.; Gunn, P.; Gibson, S. Waist-to-height ratio is a better screening tool than waist circumference and BMI for adult cardiometabolic risk factors: Systematic review and meta-analysis. Obes. Rev. 2012, 13, 275–286. [Google Scholar] [CrossRef]
- Zeng, Q.; He, Y.; Dong, S.; Zhao, X.; Chen, Z.; Song, Z.; Chang, G.; Yang, F.; Wang, Y. Optimal cut-off values of BMI, waist circumference and waist:height ratio for defining obesity in Chinese adults. Br. J. Nutr. 2014, 112, 1735–1744. [Google Scholar] [CrossRef]
- Romero-Martínez, M.; Shamah-Levy, T.; Cuevas-Nasu, L.; Gómez-Humarán, I.M.; Gaona-Pineda, E.B.; Gómez-Acosta, L.M.; Rivera-Dommarco, J.Á.; Hernández-Ávila, M. Methodological design of the National Health and Nutrition Survey 2016. Salud Publica Mex. 2017, 59, 299–305. [Google Scholar] [CrossRef]
- Lohman, T.G.; Roche, A.F.; Martorell, R. Human Kinetics Books, Abridged; Anthropometric standardization reference manual; Human kinetics books: Champaign, IL, USA, 1991. [Google Scholar]
- Habitch, J.P. Estandarización de métodos epidemiológicos cuantitativos sobre el terreno (Standardization of anthropometric methods in the field). PAHO Bull. 1974, 76, 375–384. [Google Scholar]
- Friedewald, W.T.; Levy, R.I.; Fredrickson, D.S. Estimation of the concentration of low-density lipoprotein cholesterol in plasma, without use of the preparative ultracentrifuge. Clin. Chem. 1972, 18, 499–502. [Google Scholar]
- Grundy, S.M.; Becker, D.; Clark, L.T.; Cooper, R.S.; Denke, M.A.; Howard, J.; Hunninghake, D.B.; Illingwoth, R.; Luepker, R.V.; McBride, P.; et al. Executive Summary of The Third Report of The National Cholesterol Education Program (NCEP) Expert Panel on Detection, Evaluation, And Treatment of High Blood Cholesterol in Adults (Adult Treatment Panel III). JAMA 2001, 285, 2486–2497. [Google Scholar]
- Matthews, D.R.; Hosker, J.P.; Rudenski, A.S.; Naylor, B.A.; Treacher, D.F.; Turner, R.C. Homeostasis model assessment: Insulin resistance and beta-cell function from fasting plasma glucose and insulin concentrations in man. Diabetología 1985, 28, 412–419. [Google Scholar] [CrossRef] [PubMed]
- Arranz, C.; González, R.M.; Álvarez, A.; Rodríguez, B.; Reyes, A. Criterios de referencia para los indicadores de secreción de insulina y de los parámetros lipídicos en una población mixta hospitalaria. Rev. Cubana Endocrinol. 2010, 21, 1–12. [Google Scholar]
- Pickering, T.G.; Hall, J.E.; Appel, L.J.; Falkner, B.E.; Graves, J.; Hill, M.N.; Jones, D.W.; Kurtz, T.; Sheps, S.G.; Roccella, E.J. Recommendations for Blood Pressure Measurement in Humans and Experimental Animals: Part 1: Blood Pressure Measurement in Humans: A Statement for Professionals from the Subcommittee of Professional and Public Education of the American Heart Association Council on High Blood Pressure Research. Hypertension 2005, 45, 142–161. [Google Scholar] [PubMed]
- Chobanian, A.; Bakris, G.; Black, H. The Seventh Report of the Joint National Committee on Prevention, Detection, Evaluation, and Treatment of High Blood Pressure: The JNC 7 report. JAMA 2003, 289, 2560–2572. [Google Scholar] [CrossRef] [PubMed]
- Schiaffino, A.; Rodríguez, M.; Pasarín, M.J.; Regidor, E.; Borrell, C.; Fernández, E. Odds ratio o razón de pro-porciones? Su utilización en estudios transversales. Gac. Sanit. 2003, 17, 70–74. [Google Scholar] [CrossRef]
- Espelt, A.; Marí-Dell’Olmo, M.; Penelo, E.; Bosque-Prous, M. Applied Prevalence Ratio estimation with different Regression models: An example from a cross-national study on substance use research. Adicciones 2016, 29, 105–112. [Google Scholar] [CrossRef] [PubMed]
- Lam, B.C.; Koh, G.C.; Chen, C.; Wong, M.T.; Fallows, S.J. Comparison of Body Mass Index (BMI), Body Adiposity Index (BAI), Waist Circumference (WC), Waist-To-Hip Ratio (WHR) and Waist-To-Height Ratio (WHtR) as predictors of cardiovascular disease risk factors in an adult population in Singapore. PLoS ONE 2015, 10, e0122985. [Google Scholar] [CrossRef] [PubMed]
- Cai, L.; Liu, A.; Zhang, Y.; Wang, P. Waist-to-height ratio and cardiovascular risk factors among Chinese adults in Beijing. PLoS ONE 2013, 8, e69298. [Google Scholar] [CrossRef] [PubMed]
- Zhang, Z.Q.; Deng, J.; He, L.P.; Ling, W.H.; Su, Y.X.; Chen, Y.M. Comparison of Various Anthropometric and Body Fat Indices in Identifying Cardiometabolic Disturbances in Chinese Men and Women. PLoS ONE 2013, 8, e70893. [Google Scholar] [CrossRef]
- Ojuka, E.O.; Goyaram, V. Mechanisms in exercise-induced increase in glucose disposal in skeletal muscle. Med. Sport Sci. 2014, 60, 71–81. [Google Scholar]
- Guasch-Ferré, M.; Merino, J.; Sun, Q.; Fitó, M.; Salas-Salvadó, J. Dietary Polyphenols, Mediterranean Diet, Prediabetes, and Type 2 Diabetes: A Narrative Review of the Evidence. Oxid. Med. Cell. Longev. 2017, 2017, 1–16. [Google Scholar] [CrossRef] [PubMed]
- Corsino, L.; Sotres-Alvarez, D.; Butera, N.M.; Siega-Riz, A.M.; Palacios, C.; Pérez, C.M.; Avilés-Santa, M.L. Association of the DASH dietary pattern with insulin resistance and diabetes in US Hispanic/Latino adults: Results from the Hispanic Community Health Study/Study of Latinos (HCHS/SOL). BMJ Open Diabetes Res. Care 2017, 5, e000402. [Google Scholar] [CrossRef] [PubMed]
- Rivera, J.A.; Pedraza, L.S.; Aburto, T.C.; Batis, C.; Sánchez-Pimienta, T.G.; de Cosío, T.G.; Pedroza-Tobías, A. Overview of the dietary intakes of the Mexican population: Results from the National Health and Nutrition Survey 2012. J. Nutr. 2016, 146, 1851S–1855S. [Google Scholar] [CrossRef] [PubMed]
- Dominguez, L.J.; Barbagallo, M. The biology of the metabolic syndrome and aging. Curr. Opin. Clin. Nutr. Metab. Care 2016, 19, 5–11. [Google Scholar] [CrossRef]
- Demerath, E.W.; Sun, S.S.; Rogers, N.; Lee, M.; Reed, D.; Choh, A.C.; Couch, W.; Czerwinski, S.A.; Chumlea, W.C.; Siervogel, R.M.; et al. Anatomical patterning of visceral adipose tissue: Race, sex, and age variation. Obesity 2007, 15, 2984–2993. [Google Scholar] [CrossRef] [PubMed]
- Yim, J.E.; Heshka, S.; Albu, J.B.; Heymsfield, S.; Gallagher, D. Femoral-gluteal subcutaneous and intermuscular adipose tissues have independent and opposing relationships with CVD risk. J. Appl. Physiol. 2008, 104, 700–707. [Google Scholar] [CrossRef]
- Scafoglieri, A.; Provyn, S.; Bautmans, I.; Van Roy, P.; Clarys, J.P. Direct relationship of body mass index and waist circumference with body tissue distribution in elderly persons. J. Nutr. Health Aging 2011, 15, 924–931. [Google Scholar] [CrossRef]
- Niu, C.; Luo, Z.; Yu, L.; Yang, Y.; Chen, Y.; Luo, X.; Lai, F.; Song, Y. Associations of the APOB rs693 and rs17240441 polymorphisms with plasma APOB and lipid levels: A meta-analysis. Lipids Health Dis. 2017, 16, 166. [Google Scholar] [CrossRef]
- Peacock, J.M.; Arnett, D.K.; Atwood, L.D.; Myers, R.H.; Coon, H.; Rich, S.S.; Province, M.A.; Heiss, G. Genome scan for quantitative trait loci linked to high-density lipoprotein cholesterol: The NHLBI Family Heart Study. Arterioscler. Thromb. Vasc. Biol. 2001, 21, 1823–1828. [Google Scholar] [CrossRef]
- Aguilar-Salinas, C.A.; Olaiz, G.; Valles, V.; Torres, J.M.; Perez, F.J.; Rull, J.A.; Rojas, R.; Franco, A.; Sepulveda, J. High prevalence of low HDL cholesterol concentrations and mixed hiperlipidemia in a Mexican nationwide survey. J. Lipid Res. 2001, 42, 1298–1307. [Google Scholar]
- Legorreta, D.; Montaño, J.A.; Hernández, I.; Salinas, C.; Hernández-Bueno, J.A. AMEC Research Committee. Age at menopause, motives for consultation and symptoms reported by 40–59-year-old Mexican women. Climacteric 2013, 16, 417–425. [Google Scholar] [CrossRef] [PubMed]
- Barquera, S.; Hernandez-Barrera, L.; Tolentino, M.L.; Espinosa, J.; Ng, S.W.; Rivera, J.A.; Popkin, B.M. Energy intake from beverages is increasing among Mexican adolescents and adults. J. Nutr. 2008, 138, 2454–2461. [Google Scholar] [CrossRef] [PubMed]
- Sánchez-Pimienta, T.G.; Batis, C.; Lutter, C.K.; Rivera, J.A. Sugar-sweetened beverages are the main sources of added sugar intake in the mexican population. J. Nutr. 2016, 146, 1888S–1896S. [Google Scholar] [CrossRef] [PubMed]
- Trotter, M.; Gleser, G. The effect of ageing on stature. Am. J. Phys. Anthropol. 1951, 9, 311–324. [Google Scholar] [CrossRef] [PubMed]
- Cline, M.G.; Meredith, K.E.; Boyer, J.T.; Burrows, B. Decline of height with age in adults in a general population sample: Estimating maximum height and distinguishing birth cohort effects from actual loss of stature with aging. Hum. Biol. 1989, 61, 415–425. [Google Scholar] [PubMed]
- Sorkin, J.D.; Mueller, D.C.; Andres, R. Longitudinal change in height of men and women: Implications for interpretation of the body mass index. Am. J. Epidemiol. 1999, 150, 969–977. [Google Scholar] [CrossRef] [PubMed]
- Tatsumi, Y.; Watnabe, M.; Kokubo, Y.; Nishimura, K.; Higashiyama, A.; Okamura, T.; Okayama, A.; Miyamoto, Y. Effect of age on the association between waist-to-height ratio and incidence of cardiovascular disease: The suita study. J. Epidemiol. 2013, 23, 351–359. [Google Scholar] [CrossRef]
- Wang, J.-W.; Hu, D.-Y.; Sun, Y.-H.; Wang, J.-H.; Wang, G.-L.; Xie, J.; Zhou, Z.Q. Obesity criteria for identifying metabolic risks. Asia Pac. J. Clin. Nutr. 2009, 18, 105–113. [Google Scholar]
- Schneider, H.J.; Glaesmer, H.; Klotsche, J.; Bohler, S.; Lehnert, H.; Zeiher, A.M.; März, W.; Pittrow, D.; Stalla, G.K.; Wittchen, H.U.; et al. Accuracy of anthropometric indicators of obesity to predict cardiovascular risk. J. Clin. Endocrinol. Metab. 2007, 92, 589–594. [Google Scholar] [CrossRef]
- Guzmán-Guzmán, I.P.; Salgado-Goytia, L.; Muñoz-Valle, J.F.; Salgado-Bernabé, A.B.; Quiroz-Vargas, I.; Parra-Rojas, I. Prehypertension in a Mexican population: Influence of age, gender, and body fat. Clin. Exp. Hypertens. 2013, 35, 67–73. [Google Scholar] [CrossRef]
- Macia, E.; Gueye, L.; Duboz, P. Hypertension and Obesity in Dakar, Senegal. PLoS ONE 2016, 11, e0161544. [Google Scholar] [CrossRef] [PubMed]
- Zadeh-Vakili, A.; Tehrani, F.R.; Hosseinpanah, F. Waist circumference and insulin resistance: A community based cross sectional study on reproductive aged Iranian women. Diabetol. Metab. Syndr. 2011, 3, 18. [Google Scholar] [CrossRef] [PubMed]
- Ascaso, J.F.; Romero, P.; Real, J.T.; Priego, A.; Valdecabres, C.; Carmena, R. Insulin resistance quantification by fasting insulin plasma values and HOMA index in a non-diabetic population. Med. Clin. 2001, 117, 530–533. [Google Scholar] [CrossRef]
- Timóteo, A.T.; Miranda, F.; Carmo, M.M.; Ferreira, R.C. Optimal cut-off value for homeostasis model assessment (HOMA) index of insulin-resistance in a population of patients admitted electively in a Portuguese cardiology ward. Acta Med. Port. 2014, 27, 473–479. [Google Scholar] [CrossRef] [PubMed]
- Qu, H.Q.; Li, Q.; Rentfro, A.R.; Fisher-Hoch, S.P.; McCormick, J.B. The definition of insulin resistance using HOMA-IR for Americans of Mexican descent using machine learning. PLoS ONE 2011, 6, e21041. [Google Scholar] [CrossRef] [PubMed]
- Ashwell, M.; Gibson, S. Waist-to-height ratio as an indicator of ‘early health risk’: Simpler and more predictive than using a ‘matrix’ based on BMI and waist circumference. BMJ Open 2016, 14, 6. [Google Scholar] [CrossRef] [PubMed]

| Variables | Men | Women | Total |
|---|---|---|---|
| Mean ± SD | Mean ± SD | Mean ± SD | |
| (n = 1225) | (n = 2325) | (n = 3550) | |
| Age (years) | 47.3 ± 16.6 | 45.4 ± 15.6 * | 46.1 ± 16.0 |
| Height (cm) | 164.1 ± 7.7 | 152.1 ± 6.9 * | 156.3 ± 9.2 |
| Body weight (kg) | 74.8 ± 15.9 | 67.5 ± 14.5 | 70.0 ± 15.4 |
| BMI | 27.5 ± 4.9 | 29.1 ± 5.5 | 28.5 ± 5.4 |
| Waist circumference (cm) | 96.2 ±13.2 | 95.0 ± 13.1* | 95.4 ± 13.2 |
| Risk at WHtR ¥ (%) 1 | 87.9 | 93.2 | 91.4 |
| Lipidic profile | |||
| Total Cholesterol (mg/dL) | 184.4 ± 36.7 | 190.3 ± 40.7 * | 188.2 ± 39.4 |
| HDL Cholesterol (mg/dL) | 36.2 ± 10.7 | 40.2 ± 10.3 * | 38.9 ± 10.6 |
| LDL Cholesterol (mg/dL) | 110.2 ± 30.5 | 113.9 ± 32.2 * | 112.7 ± 31.7 |
| Trigrlicerid (mg/dL) | 221.1 ± 167.6 | 192.0 ± 132.4 * | 202.0 ± 146.2 |
| Systolic pressure (mmHg) | 125.0 ± 16.9 | 119.3 ± 20.1 * | 121.0 ± 19.3 |
| Diastolic pressure (mmHg) | 73.7 ± 10.6 | 72.3 ± 10.6 * | 72.8 ± 10.6 |
| Glucose | 104.8 ± 39.0 | 110.3 ± 48.5 * | 108.0 ± 45.5 |
| Insulin (uui/mL) | 10.0 ± 11.5 | 12.0 ± 9.9 * | 11.3 ± 10.5 |
| Cardiovascular Risk Factors | WHtR¥ Category | ||
|---|---|---|---|
| No Risk | Risk | ||
| (n = 306) | (n = 3244) | p-Value * | |
| (< 0.5) | (≥ 0.5) | ||
| Total Cholesterol (mg/dL) | 172.7 ± 36.9 | 189.8 ± 39.4 | <0.001 |
| HDL Cholesterol (mg/dL) | 43.3 ± 11.9 | 38.5 ± 10.4 | <0.001 |
| LDL Cholesterol 1 (mg/dL) | 104.7 ± 29.6 | 113.5 ± 31.9 | <0.001 |
| Trigrlicerid 2 (mg/dL) | 129.3 ± 74.3 | 208.7 ± 149.3 | <0.001 |
| Systolic pressure 3 (mmHg) | 114.7 ± 17.2 | 121.9 ± 19.4 | <0.001 |
| Diastolic pressure 3 (mmHg) | 68.7 ± 9.5 | 73.2 ± 10.7 | <0.001 |
| Glucose 4 (mg/dL) | 93.9 ± 32.9 | 109.8 ± 46.3 | <0.001 |
| Insulin (uui/mL) | 5.3 ± 3.8 | 11.9 ± 10.8 | <0.001 |
| Men | Women | |||||||
|---|---|---|---|---|---|---|---|---|
| (n = 1225) | (n = 2325) | |||||||
| Response Variable | WHtR ¥ Category | WHtR ¥ Category | ||||||
| No Risk | Risk | PR | 95% CI | No Risk | Risk | PR | 95% CI | |
| (< 0.5) | (≥ 0.5) | (< 0.5) | (≥ 0.5) | |||||
| % | % | % | % | |||||
| High total Cholesterol 1 (mg/dL) | 16.9 | 33.3 | 1.9 | 1.4–2.8 | 21.5 | 38.5 | 1.8 | 1.3–2.4 |
| Low HDL Cholesterol 2 (mg/dL) | 54.7 | 72.6 | 1.3 | 1.1–1.5 | 30.4 | 54.6 | 1.8 | 1.4–2.3 |
| High LDL Cholesterol 3 (mg/dL) | 14.9 | 35 | 2.3 | 1.6–3.5 | 17.1 | 33.5 | 1.9 | 1.4–2.8 |
| High trigrlicerid 4 (mg/dL) | 34.5 | 63.8 | 1.8 | 1.5–2.3 | 24 | 58.2 | 2.4 | 1.8–3.2 |
| Hypertension 5 | 5.6 | 19.1 | 3.4 | 1.7–6.7 | 8.3 | 16.9 | 2.0 | 1.2–3.5 |
| Insulin resistance 6 (uui/mL) | 4.0 | 30.1 | 7.6 | 3.5–16.8 | 7.6 | 44.5 | 5.9 | 3.4–10.1 |
© 2019 by the authors. Licensee MDPI, Basel, Switzerland. This article is an open access article distributed under the terms and conditions of the Creative Commons Attribution (CC BY) license (http://creativecommons.org/licenses/by/4.0/).
Share and Cite
Rangel-Baltazar, E.; Cuevas-Nasu, L.; Shamah-Levy, T.; Rodríguez-Ramírez, S.; Méndez-Gómez-Humarán, I.; Rivera, J.A. Association between High Waist-to-Height Ratio and Cardiovascular Risk among Adults Sampled by the 2016 Half-Way National Health and Nutrition Survey in Mexico (ENSANUT MC 2016). Nutrients 2019, 11, 1402. https://doi.org/10.3390/nu11061402
Rangel-Baltazar E, Cuevas-Nasu L, Shamah-Levy T, Rodríguez-Ramírez S, Méndez-Gómez-Humarán I, Rivera JA. Association between High Waist-to-Height Ratio and Cardiovascular Risk among Adults Sampled by the 2016 Half-Way National Health and Nutrition Survey in Mexico (ENSANUT MC 2016). Nutrients. 2019; 11(6):1402. https://doi.org/10.3390/nu11061402
Chicago/Turabian StyleRangel-Baltazar, Eduardo, Lucia Cuevas-Nasu, Teresa Shamah-Levy, Sonia Rodríguez-Ramírez, Ignacio Méndez-Gómez-Humarán, and Juan A Rivera. 2019. "Association between High Waist-to-Height Ratio and Cardiovascular Risk among Adults Sampled by the 2016 Half-Way National Health and Nutrition Survey in Mexico (ENSANUT MC 2016)" Nutrients 11, no. 6: 1402. https://doi.org/10.3390/nu11061402
APA StyleRangel-Baltazar, E., Cuevas-Nasu, L., Shamah-Levy, T., Rodríguez-Ramírez, S., Méndez-Gómez-Humarán, I., & Rivera, J. A. (2019). Association between High Waist-to-Height Ratio and Cardiovascular Risk among Adults Sampled by the 2016 Half-Way National Health and Nutrition Survey in Mexico (ENSANUT MC 2016). Nutrients, 11(6), 1402. https://doi.org/10.3390/nu11061402

