Increased Intestinal Absorption of Vitamin U in Steamed Graviola Leaf Extract Activates Nicotine Detoxification
Abstract
1. Introduction
2. Materials and Methods
2.1. Preparation of Steamed Extract of Graviola Leaves (SGV) and Water Extract of Kale
2.2. Preparation of Extract of Steamed Extract of Graviola Leaves Combined with Kale (SGK)
2.3. In Vitro Digestion Model Coupled with Caco-2 Cell Uptake
2.4. Analysis of Rutin, Kaempferol-Rutinoside, and vit U by UPLC-ESI-MS
2.5. Evaluation for Protective Effects against Cytotoxicity of HepG2 Celsl Induced by Nicotine
2.6. Evaluation of Inhibiting Reactive Oxygen Species (ROS) of HepG2 Cells Induced by Nicotine
2.7. Assessment of Cotinine Contents in HepG2 Cells Converted from Nicotine by SGV and SGK
2.8. RNA Isolation and Real-Time RT-PCR
2.9. Statistical Analysis
3. Results and Discussion
3.1. Bioaccessibility of Rutin, Kaempferol-Rutinoside, and Vit U in SGV and SGK
3.2. Intestinal Uptake of Rutin, Kaempferol-Rutinoside, and vit U from SGV and SGK
3.3. Measurement of Protective Effects on HepG2 Cell Cytotoxicity Induced by Nicotine
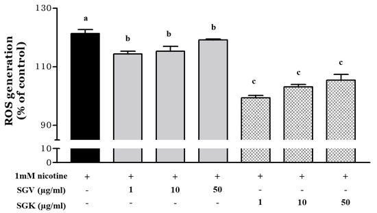
3.4. Inhibitory Effect of SGV and SGK on Oxidative Stress Induced by Nicotine in HepG2 Cell
3.5. Effects of SGV and SGK on Nicotine Conversion to Cotinine in Hepatoma (HepG2) Cells
3.6. Effect of SGV and SGK on Expression of CYP2A6 in HepG2 Cells
4. Conclusions
Supplementary Materials
Author Contributions
Funding
Conflicts of Interest
References
- Moghadamtousi, S.Z.; Karimian, H.; Rouhollahi, E.; Paydar, M.; Fadaeinasab, M.; Kadir, H.A. Annona muricata leaves induce G 1 cell cycle arrest and apoptosis through mitochondria-mediated pathway in human HCT-116 and HT-29 colon cancer cells. J. Ethnopharmacol. 2014, 156, 277–289. [Google Scholar] [CrossRef] [PubMed]
- Adewole, S.; Ojewole, J. Protective effects of Annona muricata Linn. (Annonaceae) leaf aqueous extract on serum lipid profiles and oxidative stress in hepatocytes of streptozotocin-treated diabetic rats. Afr. J. Tradit. Complement. Altern. Med. 2008, 6, 30–41. [Google Scholar] [CrossRef] [PubMed]
- Arthur, F.; Woode, E.; Terlabi, E.; Larbie, C. Evaluation of hepatoprotective effect of aqueous extract of Annona muricata (Linn.) leaf against carbon tetrachloride and acetaminophen-induced liver damage. J. Nat. Pharm. 2012, 3, 25–30. [Google Scholar]
- Bitar, R.; Fakhoury, R.; Fahmi, R.; Borjac, J. Histopathological effects of the Annona muricata aqueous leaves extract on the liver and kidneys of albino mice. Transl. Med. 2017, 7. [Google Scholar] [CrossRef]
- Foong, C.P.; Hamid, R.A. Evaluation of anti-inflammatory activities of ethanolic extract of Annona muricata leaves. Rev. Bras. Farmacogn. 2012, 22, 1301–1307. [Google Scholar] [CrossRef]
- Moghadamtousi, S.Z.; Rouhollahi, E.; Karimian, H.; Fadaeinasab, M.; Abdulla, M.A.; Kadir, H.A. Gastroprotective activity of Annona muricata leaves against ethanol-induced gastric injury in rats via Hsp70/Bax involvement. Drug Des. Dev. Ther. 2014, 8, 2099. [Google Scholar]
- Moghadamtousi, S.Z.; Fadaeinasab, M.; Nikzad, S.; Mohan, G.; Ali, H.M.; Kadir, H.A. Annona muricata (Annonaceae): A review of its traditional uses, isolated acetogenins and biological activities. Int. J. Mol. Sci. 2015, 16, 15625–15658. [Google Scholar] [CrossRef]
- Son, Y.-R.; Choi, E.-H.; Kim, G.-T.; Park, T.-S.; Shim, S.-M. Bioefficacy of Graviola leaf extracts in scavenging free radicals and upregulating antioxidant genes. Food Funct. 2016, 7, 861–871. [Google Scholar] [CrossRef]
- Cheney, G. Anti-peptic ulcer dietary factor (vitamin “U”) in the treatment of peptic ulcer. J. Am. Diet. Assoc. 1950, 26, 668–672. [Google Scholar]
- Ohtsuki, K.; Kawabata, M.; Kokura, H.; Taguchi, K. Simultaneous determination of S-methylmethionine, vitamin U and free amino acids in extracts of green tea with an HPLC-amino acid analyzer. Agric. Biol. Chem. 1987, 51, 2479–2484. [Google Scholar]
- Saito, K. Regulation of sulfate transport and synthesis of sulfur-containing amino acids. Curr. Opin. Plant Biol. 2000, 3, 188–195. [Google Scholar] [CrossRef]
- Augspurger, N.R.; Scherer, C.S.; Garrow, T.A.; Baker, D.H. Dietary S-methylmethionine, a component of foods, has choline-sparing activity in chickens. J. Nutr. 2005, 135, 1712–1727. [Google Scholar] [CrossRef] [PubMed]
- Rácz, I.; Páldi, E.; Szalai, G.; Janda, T.; Pál, M.; Lásztity, D. S-methylmethionine reduces cell membrane damage in higher plants exposed to low-temperature stress. J. Plant Physiol. 2008, 165, 1483–1490. [Google Scholar] [CrossRef] [PubMed]
- Carvalho, C.A.d.; Fernandes, K.M.; Matta, S.L.P.; Silva, M.B.d.; Oliveira, L.L.d.; Fonseca, C.C. Evaluation of antiulcerogenic activity of aqueous extract of Brassica oleracea var. capitata (cabbage) on Wistar rat gastric ulceration. Arq. Gastroenterol. 2011, 48, 276–282. [Google Scholar] [CrossRef] [PubMed]
- Gezginci-Oktayoglu, S.; Turkyilmaz, I.B.; Ercin, M.; Yanardag, R.; Bolkent, S. Vitamin U has a protective effect on valproic acid-induced renal damage due to its anti-oxidant, anti-inflammatory, and anti-fibrotic properties. Protoplasma 2016, 253, 127–135. [Google Scholar] [CrossRef] [PubMed]
- Kim, W.-S.; Yang, Y.J.; Min, H.G.; Song, M.G.; Lee, J.-S.; Park, K.-Y.; Kim, J.-J.; Sung, J.-H.; Choi, J.-S.; Cha, H.-J. Accelerated wound healing by S-methylmethionine sulfonium: Evidence of dermal fibroblast activation via the ERK1/2 pathway. Pharmacology 2010, 85, 68–76. [Google Scholar] [CrossRef] [PubMed]
- Sokmen, B.B.; Tunali, S.; Yanardag, R. Effects of vitamin U (S-methyl methionine sulphonium chloride) on valproic acid induced liver injury in rats. Food Chem. Toxicol. 2012, 50, 3562–3566. [Google Scholar] [CrossRef]
- KIM, G.-H. Determination of vitamin U in food plants. Food Sci. Technol. Res. 2003, 9, 316–319. [Google Scholar] [CrossRef][Green Version]
- Korus, A.; Lisiewska, Z. Effect of preliminary processing and method of preservation on the content of selected antioxidative compounds in kale (Brassica oleracea L. var. acephala) leaves. Food Chem. 2011, 129, 149–154. [Google Scholar] [CrossRef]
- Cartea, M.E.; Francisco, M.; Soengas, P.; Velasco, P. Phenolic compounds in Brassica vegetables. Molecules 2010, 16, 251–280. [Google Scholar] [CrossRef]
- Kapusta-Duch, J.; Kopec, A.; Piatkowska, E.; Borczak, B.; Leszczynska, T. The beneficial effects of Brassica vegetables on human health. Rocz. Państw. Zakł. Hig. 2012, 63, 389–395. [Google Scholar] [PubMed]
- Crowley-Weber, C.L.; Dvorakova, K.; Crowley, C.; Bernstein, H.; Bernstein, C.; Garewal, H.; Payne, C.M. Nicotine increases oxidative stress, activates NF-κB and GRP78, induces apoptosis and sensitizes cells to genotoxic/xenobiotic stresses by a multiple stress inducer, deoxycholate: Relevance to colon carcinogenesis. Chem. Biol. Interact. 2003, 145, 53–66. [Google Scholar] [CrossRef]
- Das, S.; Gautam, N.; Dey, S.K.; Maiti, T.; Roy, S. Oxidative stress in the brain of nicotine-induced toxicity: Protective role of Andrographis paniculata Nees and vitamin E. Appl. Physiol. Nutr. Metab. 2009, 34, 124–135. [Google Scholar] [CrossRef] [PubMed]
- Yarahmadi, A.; Zal, F.; Bolouki, A. Protective effects of quercetin on nicotine induced oxidative stress in ‘HepG2 cells’. Toxicol. Mech. Methods 2017, 27, 609–614. [Google Scholar] [CrossRef] [PubMed]
- Zhou, X.; Sheng, Y.; Yang, R.; Kong, X. Nicotine promotes cardiomyocyte apoptosis via oxidative stress and altered apoptosis-related gene expression. Cardiology 2010, 115, 243–250. [Google Scholar] [CrossRef]
- Kim, K.M.; Shim, S.-M. Nicotine detoxification of rutin, quercitrin, and chlorogenic acid isolated from Houttuynia cordata by reducing reactive oxygen species and inducing conversion from nicotine to cotinine. J. Korean Soc. Appl. Biol. Chem. 2014, 57, 503–509. [Google Scholar] [CrossRef]
- Laparra, J.; Velez, D.; Barbera, R.; Montoro, R.; Farre, R. Bioaccessibility and transport by Caco-2 cells of organoarsenical species present in seafood. J. Agric. Food Chem. 2007, 55, 5892–5897. [Google Scholar] [CrossRef]
- Parada, J.; Aguilera, J. Food microstructure affects the bioavailability of several nutrients. J. Food Sci. 2007, 72, 21–32. [Google Scholar] [CrossRef]
- Shim, S.-M.; Kwon, H. Metabolites of amygdalin under simulated human digestive fluids. Int. J. Food Sci. Nutr. 2010, 61, 770–779. [Google Scholar] [CrossRef]
- McClements, D.J.; Xiao, H. Excipient foods: Designing food matrices that improve the oral bioavailability of pharmaceuticals and nutraceuticals. Food Funct. 2014, 5, 1320–1333. [Google Scholar] [CrossRef]
- Girgin, N.; El, S.N. Effects of cooking on in vitro sinigrin bioaccessibility, total phenols, antioxidant and antimutagenic activity of cauliflower (Brassica oleraceae L. var. botrytis). J. Food Compos. Anal. 2015, 37, 119–127. [Google Scholar] [CrossRef]
- Granado-Lorencio, F.; Olmedilla-Alonso, B.; Herrero-Barbudo, C.; Blanco-Navarro, I.; Pérez-Sacristán, B.; Blázquez-García, S. In vitro bioaccessibility of carotenoids and tocopherols from fruits and vegetables. Food Chem. 2007, 102, 641–648. [Google Scholar] [CrossRef]
- Lee, H.R.; Cho, S.D.; Lee, W.K.; Kim, G.H.; Shim, S.M. Digestive recovery of sulfur-methyl-l-methionine and its bioaccessibility in Kimchi cabbages using a simulated in vitro digestion model system. J. Sci. Food Agric. 2014, 94, 109–112. [Google Scholar] [CrossRef] [PubMed]
- Son, Y.-R.; Shim, S.-M. Various domestic heating processes changed content, digestibility, and radical scavenging capacities of Su Ri Chwi. J. Korean Soc. Appl. Biol. Chem. 2015, 58, 771–778. [Google Scholar] [CrossRef]
- Yang, U.-J.; Maeng, H.; Park, T.-S.; Shim, S.-M. Houttuynia cordata extract improves physical endurance performance by regulating endothelial production of nitric oxide. J. Med. Food 2015, 18, 1022–1031. [Google Scholar] [CrossRef] [PubMed]
- Yang, U.-J.; Ko, S.-H.; Shim, S.-M. Vitamin C from standardized water spinach extract on inhibition of cytotoxicity and oxidative stress induced by heavy metals in HepG2 cells. J. Korean Soc. Appl. Biol. Chem. 2014, 57, 167–172. [Google Scholar] [CrossRef]
- Kim, K.M.; Suh, J.W.; Yang, S.H.; Kim, B.R.; Park, T.S.; Shim, S.M. Smilax China root extract detoxifies nicotine by reducing reactive oxygen species and inducing CYP2A6. J. Food Sci. 2014, 79, 2132–2139. [Google Scholar] [CrossRef]
- Rodríguez-Roque, M.J.; Rojas-Grau, M.A.; Elez-Martínez, P.; Martín-Belloso, O. Changes in vitamin C, phenolic, and carotenoid profiles throughout in vitro gastrointestinal digestion of a blended fruit juice. J. Agric. Food Chem. 2013, 61, 1859–1867. [Google Scholar] [CrossRef]
- Miranda, L.; Deußer, H.; Evers, D. The impact of in vitro digestion on bioaccessibility of polyphenols from potatoes and sweet potatoes and their influence on iron absorption by human intestinal cells. Food Funct. 2013, 4, 1595–1601. [Google Scholar] [CrossRef]
- Murota, K.; Terao, J. Antioxidative flavonoid quercetin: Implication of its intestinal absorption and metabolism. Arch. Biochem. Biophys. 2003, 417, 12–17. [Google Scholar] [CrossRef]
- Serra, A.; Macià, A.; Romero, M.-P.; Reguant, J.; Ortega, N.; Motilva, M.-J. Metabolic pathways of the colonic metabolism of flavonoids (flavonols, flavones and flavanones) and phenolic acids. Food Chem. 2012, 130, 383–393. [Google Scholar] [CrossRef]
- Song, J.H.; Lee, H.R.; Shim, S.M. Determination of S-methyl-l-methionine (SMM) from Brassicaceae Family Vegetables and Characterization of the Intestinal Transport of SMM by Caco-2 Cells. J. Food Sci. 2017, 82, 36–43. [Google Scholar] [CrossRef] [PubMed]
- Odongo, G.A.; Schlotz, N.; Herz, C.; Hanschen, F.S.; Baldermann, S.; Neugart, S.; Trierweiler, B.; Frommherz, L.; Franz, C.M.; Ngwene, B. The role of plant processing for the cancer preventive potential of Ethiopian kale (Brassica carinata). Food Nutr. Res. 2017, 61, 1271527. [Google Scholar] [CrossRef] [PubMed]
- Liu, H.-H.; Peltz, G.A.; Liao, G.; Garrow, T.A. Compositions and Methods for Reducing the Risk of Agent-Induced Liver Toxicity. U.S. Patent US8685956B2, 1 April 2014. [Google Scholar]
- Kim, H.-J.; Park, K.-K.; Chung, W.-Y.; Lee, S.K.; Kim, K.-R. Protective Effect of White-fleshed Peach (Prunus persica (L.) Batsch) on Chronic Nicotine-induced Toxicity. J. Cancer Prev. 2017, 22, 22. [Google Scholar] [CrossRef] [PubMed]
- Muthukumaran, S.; Sudheer, A.R.; Menon, V.P.; Nalini, N. Protective effect of quercetin on nicotine-induced prooxidant and antioxidant imbalance and DNA damage in Wistar rats. Toxicology 2008, 243, 207–215. [Google Scholar] [CrossRef] [PubMed]
- Omar, N.A.A.; Allithy, A.N.E.A.; Faleh, F.M.; Mariah, R.A.; Ayat, M.M.A.; Shafik, S.R.; Elshweikh, S.A.; Baghdadi, H.; El Sayed, S.M. Apple cider vinegar (a prophetic medicine remedy) protects against nicotine hepatotoxicity: A histopathological and biochemical report. Am. J. Cancer Prev. 2016, 3, 122–127. [Google Scholar]
- Gawish, A.M.; Issa, A.M.; Bassily, N.S.; Manaa, S.M. Role of green tea on nicotine toxicity on liver and lung of mice: Histological and morphometrical studies. Afr. J. Biotechnol. 2012, 11, 2013–2025. [Google Scholar]
- Yamaguchi, K.; Honda, M.; Ikigai, H.; Hara, Y.; Shimamura, T. Inhibitory effects of (−)-epigallocatechin gallate on the life cycle of human immunodeficiency virus type 1 (HIV-1). Antivir. Res. 2002, 53, 19–34. [Google Scholar] [CrossRef]
- Ben Saad, A.; Rjeibi, I.; Alimi, H.; Ncib, S.; Bouhamda, T.; Zouari, N. Protective effects of Mentha spicata against nicotine-induced toxicity in liver and erythrocytes of Wistar rats. Appl. Physiol. Nutr. Metab. 2018, 43, 77–83. [Google Scholar] [CrossRef]
- Rahnasto, M.; Raunio, H.; Poso, A.; Wittekindt, C.; Juvonen, R.O. Quantitative structure-activity relationship analysis of inhibitors of the nicotine metabolizing CYP2A6 enzyme. J. Med. Chem. 2005, 48, 440–449. [Google Scholar] [CrossRef]
- Lee, H.-J.; Lee, J.-H. Effects of medicinal herb tea on the smoking cessation and reducing smoking withdrawal symptoms. Am. J. Chin. Med. 2005, 33, 127–138. [Google Scholar] [CrossRef] [PubMed]
- Huse, S.M.; Gruppuso, P.A.; Boekelheide, K.; Sanders, J.A. Patterns of gene expression and DNA methylation in human fetal and adult liver. BMC Genom. 2015, 16, 981. [Google Scholar] [CrossRef] [PubMed]
- Cashman, J.R.; Park, S.B.; Yang, Z.; Wrighton, S.A.; Jacob, P., III; Benowitz, N.L. Metabolism of nicotine by human liver microsomes: Stereoselective formation of trans-nicotine N′-oxide. Chem. Res. Toxicol. 1992, 5, 639–646. [Google Scholar] [CrossRef] [PubMed]
- Denisov, I.G.; Makris, T.M.; Sligar, S.G.; Schlichting, I. Structure and chemistry of cytochrome P450. Chem. Rev. 2005, 105, 2253–2278. [Google Scholar] [CrossRef] [PubMed]
- Jalas, J.R.; Hecht, S.S.; Murphy, S.E. Cytochrome P450 enzymes as catalysts of metabolism of 4-(methylnitrosamino)-1-(3-pyridyl)-1-butanone, a tobacco specific carcinogen. Chem. Res. Toxicol. 2005, 18, 95–110. [Google Scholar] [CrossRef] [PubMed]
- Nebert, D.W.; Russell, D.W. Clinical importance of the cytochromes P450. Lancet 2002, 360, 1155–1162. [Google Scholar] [CrossRef]
- Yamanaka, H.; Nakajima, M.; Fukami, T.; Sakai, H.; Nakamura, A.; Katoh, M.; Takamiya, M.; Aoki, Y.; Yokoi, T. CYP2A6 and CYP2B6 are involved in nornicotine formation from nicotine in humans: Interindividual differences in these contributions. Drug Metab. Dispos. 2005, 33, 1811–1818. [Google Scholar] [CrossRef] [PubMed]
- Fowler, C.D.; Lu, Q.; Johnson, P.M.; Marks, M.J.; Kenny, P.J. Habenular [agr] 5 nicotinic receptor subunit signalling controls nicotine intake. Nature 2011, 471, 597–601. [Google Scholar] [CrossRef] [PubMed]
- Stolerman, I.P.; Jarvis, M. The scientific case that nicotine is addictive. Psychopharmacology 1995, 117, 2–10. [Google Scholar] [CrossRef]







| Contents (µg/g of Dry Weight) | |||
|---|---|---|---|
| Rutin | Kaempferol-Rutinoside | Vitamin U | |
| SGV | 615.47 | 700.46 | 228.02 |
| SGK | 615.47 | 700.46 | 632.79 |
© 2019 by the authors. Licensee MDPI, Basel, Switzerland. This article is an open access article distributed under the terms and conditions of the Creative Commons Attribution (CC BY) license (http://creativecommons.org/licenses/by/4.0/).
Share and Cite
Choi, E.-H.; Lee, S.-B.; Lee, D.-Y.; Kim, G.-T.; Shim, S.-M.; Park, T.-S. Increased Intestinal Absorption of Vitamin U in Steamed Graviola Leaf Extract Activates Nicotine Detoxification. Nutrients 2019, 11, 1334. https://doi.org/10.3390/nu11061334
Choi E-H, Lee S-B, Lee D-Y, Kim G-T, Shim S-M, Park T-S. Increased Intestinal Absorption of Vitamin U in Steamed Graviola Leaf Extract Activates Nicotine Detoxification. Nutrients. 2019; 11(6):1334. https://doi.org/10.3390/nu11061334
Chicago/Turabian StyleChoi, Eun-Hye, Seon-Bong Lee, Da-Yeon Lee, Goon-Tae Kim, Soon-Mi Shim, and Tae-Sik Park. 2019. "Increased Intestinal Absorption of Vitamin U in Steamed Graviola Leaf Extract Activates Nicotine Detoxification" Nutrients 11, no. 6: 1334. https://doi.org/10.3390/nu11061334
APA StyleChoi, E.-H., Lee, S.-B., Lee, D.-Y., Kim, G.-T., Shim, S.-M., & Park, T.-S. (2019). Increased Intestinal Absorption of Vitamin U in Steamed Graviola Leaf Extract Activates Nicotine Detoxification. Nutrients, 11(6), 1334. https://doi.org/10.3390/nu11061334
