Mediterranean Diet and Motivation in Sport: A Comparative Study Between University Students from Spain and Romania
Abstract
1. Introduction
2. Materials and Methods
2.1. Subjects and Design
2.2. Instruments
2.3. Procedure
2.4. Data Analysis
3. Results
4. Discussion
5. Conclusions
Author Contributions
Funding
Conflicts of Interest
References
- Redondo, M.P.; De Mateos, B.; Carreno, L.; Marugan, J.M.; Fernández, M.; Camina, M.A. Dietary intake and adherence to the Mediterranean diet in a group of university students depending. Nutr. Hosp. 2016, 33, 1172–1178. [Google Scholar] [CrossRef]
- Belogianni, K.; Ooms, A.; Ahmed, H.; Nikoletou, D.; Grant, R.; Makris, D.; Moir, H.J. Rationale and design of an Online educational program using game-based learning to improve nutrition and physical activity outcomes among university students in the United Kingdom. J. Am. Coll. Nutr. 2018, 1–8. [Google Scholar] [CrossRef] [PubMed]
- Torstveit, M.K.; Johansen, B.T.; Haugland, S.H.; Stea, T.H. Participation in organized sports is associated with decreased likelihood of unhealthy lifestyle habits in adolescents. Scand. J. Med. Sci. Sports 2018, 28, 2384–2396. [Google Scholar] [CrossRef] [PubMed]
- Zurita, F.; San Roman, S.; Chacon, R.; Castro, M.; Muros, J.J. Adherence to the Mediterranean Diet is associated with physical activity, self-concept and sociodemographic factors in university student. Nutrients 2018, 10, 966. [Google Scholar] [CrossRef] [PubMed]
- Erwin, C.M.; McEvoy, C.T.; Moore, S.E.; Prior, L.; Lawton, J.; Kee, F.; Cupples, M.E.; Young, I.S.; Appleton, K.; McKinley, M.C.; et al. A qualitative analysis exploring preferred methods of peer support to encourage adherence to a Mediterranean diet in a Northern European population at high risk of cardiovascular disease. BMC Public Health 2017, 18, 213. [Google Scholar] [CrossRef] [PubMed]
- Lotrean, L.M.; Stan, O.; Lencu, C.; Laza, V. Dietary patterns, physical activity, body mass index, weight-related behaviours and their interrelationship among Romanian university students-trends from 2003 to 2016. Nutr. Hosp. 2018, 35, 375–383. [Google Scholar] [CrossRef] [PubMed]
- Esposito, K.; Maiorino, M.I.; Bellastella, G.; Panagiotakos, D.B.; Giugliano, D. Mediterranean diet for type 2 diabetes: Cardiometabolic benefits. Endocrine 2017, 56, 27–32. [Google Scholar] [CrossRef] [PubMed]
- Godos, J.; Rapisarda, G.; Marventano, S.; Galvano, F.; Mistretta, A.; Grosso, G. Association between polyphenol intake and adherence to the Mediterranean diet in Sicily, southern Italy. NFS J. 2017, 8, 1–7. [Google Scholar] [CrossRef]
- Yahia, N.; Achkar, A.; Abdallah, A.; Rizk, S. Eating habits and obesity among Lebanese university students. Nutr. J. 2008, 7, 32. [Google Scholar] [CrossRef]
- Ortiz-Moncada, R.; Norte, A.I.; Zaragoza, A.; Fernández, J.; Davo, M.C. Mediterranean diet patterns follow Spanish university students. Nutr. Hosp. 2012, 27, 1952–1959. [Google Scholar] [CrossRef]
- García, S.; Herrera, N.; Rodríguez, C.; Nissensohn, M.; Román, B.; Serra-Majem, L. KIDMED test; prevalence of low adherence to the Mediterranean diet in children and young; a systematic review. Nutr. Hosp. 2015, 32, 2390–2399. [Google Scholar] [CrossRef]
- Baldini, M.; Pasqui, F.; Bordoni, A.; Maranesi, M. Is the Mediterranean lifestyle still a reality? Evaluation of food consumption and energy expenditure in Italian and Spanish university students. Public Health Nutr. 2008, 12, 148–155. [Google Scholar] [CrossRef] [PubMed]
- Noale, M.; Nardi, M.; Limongi, F.; Siviero, P.; Caregaro, L.; Crepaldi, G.; Maggi, S. Mediterranean Diet Foundation Study Group. Adolescents in southern regions of Italy adhere to the Mediterranean diet more than those in the northern regions. Nutr. Res. 2014, 34, 771–779. [Google Scholar] [CrossRef] [PubMed]
- Muros, J.J.; Cofre-Bolados, C.; Arriscado, D.; Zurita-Ortega, F.; Knox, E. Mediterranean diet adherence is associated with lifestyle, physical fitness, and mental wellness among 10-y-olds in Chile. Nutrition 2017, 35, 87–92. [Google Scholar] [CrossRef] [PubMed]
- Sánchez-Villegas, A.; Ruiz-Canela, M.; Gea, A.; Lahortiga, F.; Martínez-González, M.A. The association between the Mediterranean lifestyle and depression. Clin. Psychol. Sci. 2016, 4, 1085–1093. [Google Scholar] [CrossRef]
- Mosconi, L.; Walters, M.; Sterling, J.; Quinn, C.; McHugh, P.; Andrews, R.; Matthews, D.C.; Ganzer, C.; Osorio, R.S.; Isaacson, R.S.; et al. Lifestyle and vascular risk effects on MRI-based biomarkers of Alzheimer´s disease: A cross-sectional study of middle-aged adults from the broader New York City area. BMJ Open 2018, 8, e019362. [Google Scholar] [CrossRef] [PubMed]
- Santomauro, F.; Lorini, C.; Tanini, T.; Indiani, L.; Lastrucci, V.; Comodo, N.; Bonaccorsi, G. Adherence to Mediterranean diet in a simple of Tuscan adolescents. Nutrition 2014, 30, 1379–1383. [Google Scholar] [CrossRef]
- Baydemir, C.; Ozgur, E.G.; Balci, S. Evaluation of adherence to Mediterranean diet in medical students at Kocaeli University, Turkey. J. Int. Med. Res. 2018, 46, 1585–1594. [Google Scholar] [CrossRef]
- Kyriacou, A.; Evans, J.M.; Economides, N.; Kyriacou, A. Adherence to the Mediterranean diet by the Greek and Cypriot population: A systematic review. Eur. J. Public Health 2015, 25, 1012–1018. [Google Scholar] [CrossRef]
- Roccaldo, R.; Censi, L.; D’Addezio, L.; Toti, E.; Martone, D.; D’Addesa, D.; Cernigliaro, A. ZOOM8 Study group. Adherence to the Mediterranean diet in Italian school children (the ZOOM8 study). Int. J. Food Sci. Nutr. 2014, 65, 621–628. [Google Scholar] [CrossRef]
- Chacón-Cuberos, R.; Castro-Sánchez, M.; Muros-Molina, J.J.; Espejo-Garcés, T.; Zurita-Ortega, F.; Linares-Manrique, M. Adherence to Mediterranean diet in university students and its relationship with digital leisure habits. Nutr. Hosp. 2016, 33, 405–410. [Google Scholar] [CrossRef]
- Padial-Ruz, R.; Viciana-Garófano, V.; Palomares, J. Adherence to the Mediterranean diet, physical activity and its relationship with the BMI, in university students of the grade of Primary, mention in Physical Education of Granada. Educ. Sport Health Phys. Act. 2018, 2, 30–49. [Google Scholar]
- Stefan, L.; Cule, M.; Milinovic, I.; Juranko, D.; Sporis, G. The relationship between lifestyle factors and body compositionin young adults. Int. J. Environ. Res. Public Health 2017, 14, 893. [Google Scholar] [CrossRef]
- Tognon, G.; Hebestreit, A.; Lanfer, A.; Moreno, L.A.; Pala, V.; Siani, A.; Tornaritis, M.; De Henauw, S.; Veidebaum, T.; Molnár, D.; et al. Mediterranean diet, overweight and body composition in children from eight European countries: Cross-sectional and prospective results from the IDEFICS study. Nutr. Metab. Cardiovasc. Dis. 2014, 24, 205–213. [Google Scholar] [CrossRef] [PubMed]
- Abenavoli, L.; Greco, M.; Milic, N.; Accattato, F.; Foti, D.; Gulletta, E.; Luzza, F. Effect of Mediterranean diet and antioxidant formulation in non-alcoholic fatty liver disease: A randomized study. Nutrients 2017, 9, 870. [Google Scholar] [CrossRef] [PubMed]
- Salas-Salvadó, J.; Bulló, M.; Babio, N.; Martínez-González, M.Á.; Ibarrola-Jurado, N.; Basora, J.; Estruch, R.; Covas, M.I.; Corella, D.; Arós, F.; et al. Erratum. Reduction in the Incidence of Type 2 Diabetes with the Mediterranean Diet: Results of the PREDIMED-Reus nutrition intervention randomized trial. Diabetes Care 2018, 34, 14–19. [Google Scholar] [CrossRef] [PubMed]
- Trovato, F.M.; Catalano, D.; Martines, G.F.; Pace, P.; Trovato, G.M. Mediterranean diet and non-alcoholic fatty liver disease: The need of extended and comprehensive interventions. Clin. Nutr. 2015, 34, 86–88. [Google Scholar] [CrossRef]
- O’neil, A.; Quirk, S.E.; Housden, S.; Brennan, S.L.; Williams, L.J.; Pasco, J.A.; Berk, M.; Jacka, F.N. Relationship between diet and mental health in children and adolescents: A systematic review. Am. J. Public Health 2014, 104, e31–e42. [Google Scholar] [CrossRef]
- Warburton, D.E.; Nicol, C.W.; Bredin, S.S. Health benefits of physical activity: The evidence. Can. Med. Assoc. J. 2006, 174, 801–809. [Google Scholar] [CrossRef]
- Lewis, B.A.; Napolitano, M.A.; Buman, M.P.; Williams, D.M.; Nigg, C.R. Future directions in physical activity intervention research: Expanding our focus to sedentary behaviors, technology, and dissemination. J. Behav. Med. 2017, 40, 112–126. [Google Scholar] [CrossRef]
- McMahon, E.M.; Corcoran, P.; O’Regan, G.; Keeley, H.; Cannon, M.; Carli, V.; Wasserman, C.; Hadlaczky, G.; Sarchiapone, M.; Apter, A.; et al. Physical activity in European adolescents and associations with anxiety, depression and well-being. Eur. Child Adol. Psychiatr. 2017, 26, 111–122. [Google Scholar] [CrossRef] [PubMed]
- Krøll, L.S.; Hammarlund, C.S.; Westergaard, M.L.; Nielsen, T.; Sloth, L.B.; Jensen, R.H.; Gard, G. Level of physical activity, well-being, stress and self-rated health in persons with migraine and co-existing tension-type headache and neck pain. J. Headache Pain 2017, 18, 46. [Google Scholar] [CrossRef] [PubMed]
- Roberts, G.C.; Treasure, D.C.; Balague, G. Achievement goals in sport: The development and validation of the Perception of Success Questionnaire. J Sports Sci. 1998, 16, 337–347. [Google Scholar] [CrossRef] [PubMed]
- Ring, C.; Kavussanu, M. The impact of achievement goals on cheating in sport. Psychol. Sport Exerc. 2018, 35, 98–103. [Google Scholar] [CrossRef]
- Lochbaum, M.; Kallinen, V.; Konttinen, N. Task and Ego Goal Orientations across the Youth Sports Experience. Stud. Sport. 2017, 11, 99–105. [Google Scholar] [CrossRef]
- McLaren, C.D.; Newland, A.; Eys, M.; Newton, M. Peer-initiated motivational climate and group cohesion in youth sport. J. Appl. Sport Psychol. 2017, 29, 88–100. [Google Scholar] [CrossRef]
- Chacón-Cuberos, R.; Muros-Molina, J.J.; Cachón, J.; Zagalaz, M.L.; Castro-Sánchez, M.; Zurita-Ortega, F. Physical activity, Mediterranean diet, maximal oxygen uptake and motivational climate towards sports in schoolchildren from the province of Granada: A structural equation model. Nutr. Hosp. 2018, 35, 774–781. [Google Scholar] [CrossRef]
- Ryan, R.M.; Deci, E.L. Self-Determination Theory: Basic Psychological Needs in Motivation, Development, and Wellness; Guilford Publications: New York, NY, USA, 2017. [Google Scholar]
- Hancox, J.E.; Quested, E.; Ntoumanis, N.; Thøgersen-Ntoumani, C. Putting self-determination theory into practice: Application of adaptive motivational principles in the exercise domain. Qual. Res. Sport Exerc. Health 2018, 10, 75–91. [Google Scholar] [CrossRef]
- Hulleman, C.S.; Schrager, S.M.; Bodmann, S.M.; Harackiewicz, J.M. A meta-analytic review of achievement goal measures: Different labels for the same constructs or different constructs with similar labels? Psychol. Bull. 2010, 136, 422–449. [Google Scholar] [CrossRef]
- Chacon, R.; Zurita, F.; Puertas, P.; Knox, E.; Cofre, C.; Viciana, V.; Muros, J.J. Relationship between healthy habits and perceived motivational climate in sport among university students: A structural equation model. Sustainability 2018, 10, 938. [Google Scholar] [CrossRef]
- Moore, S.E.; McEvoy, C.T.; Prior, L.; Lawton, J.; Patterson, C.C.; Kee, F.; Cupples, M.; Young, I.S.; Appleton, K.; McKinley, M.C.; et al. Barriers to adopting a Mediterranean diet in Nothern European adults at high risk of developing cardiovascular disease. J. Hum. Nutr. Diet 2017, 31, 451–462. [Google Scholar] [CrossRef] [PubMed]
- Chacón-Cuberos, R.; Zurita-Ortega, F.; Martínez-Martínez, A.; Olmedo-Moreno, E.; Castro-Sánchez, M. Adherence to the Mediterranean Diet Is Related to Healthy Habits, Learning Processes, and Academic Achievement in Adolescents: A Cross-Sectional Study. Nutrients 2018, 10, 1566. [Google Scholar] [CrossRef] [PubMed]
- Erturan-Ilker, G.; Yu, C.; Alemdaroğlu, U.; Köklü, Y. Basic psychological needs and self-determined motivation in PE to predict health-related fitness level. J. Sport Health Res. 2018, 10, 91–100. [Google Scholar]
- Dare, C.; Viebig, R.F.; Batista, N.S. Body composition and components of Mediterranean diet in Brazilian and European University Students. RBONE 2017, 11, 557–566. [Google Scholar]
- Bottcher, M.R.; Marincic, P.Z.; Nahay, K.L.; Baerlocher, B.E.; Willis, A.W.; Park, J. Nutrition knowledge and Mediterranean diet adherence in the southeast United States: Validation of a field-based survey instrument. Appetite 2017, 111, 166–176. [Google Scholar] [CrossRef] [PubMed]
- Merino-Marban, R.; Mayorga-Vega, D.; Fernandez-Rodríguez, E.; Estrada, F.; Viciana, J. Effect of a physical education-based stretching programme on sit-andreach score and its posterior reduction in elementary schoolchildren. Eur. Phys. Educ. Rev. 2015, 21, 83–92. [Google Scholar] [CrossRef]
- Serra-Majem, L.; Ribas, L.; Ngo, J.; Ortega, R.M.; Garcia, A.; Pérez-Rodrigo, C.; Aranceta, J. Food, youth and the Mediterranean diet in Spain. Development of KIDMED, Mediterranean diet quality index in children and adolescents. Public Health Nutr. 2004, 7, 931–935. [Google Scholar] [CrossRef]
- Newton, M.; Duda, J.; Yin, Z. Examination of the psychometric properties of the Perceived Motivational in Sport Questionnaire-2 in a sample of female athletes. J. Sports Sci. 2000, 18, 275–290. [Google Scholar] [CrossRef]
- González-Cutre, C.D.; Sicilia, A.; Moreno, J.A. The social-cognitive model of achievement motivation in physical education. Psicothema 2008, 20, 642–651. [Google Scholar]
- Baylis, K.; Nogueira, L.; Pace, K. Food import refusals: Evidence from the European Union. Am. J. Agric. Econ. 2010, 93, 566–572. [Google Scholar] [CrossRef]
- Celis-Morales, C.; Livingstone, K.M.; Affleck, A.; Navas-Carretero, S.; San Cristobal, R.; Martínez, J.A.; Marsaux, C.F.; Saris, W.H.M.; O’Donovan, C.B.; Forster, H.; et al. Correlates of overall and central obesity in adults from seven European countries: Findings from the Food4Me Study. Eur. J. Clin. Nutr. 2018, 72, 207–219. [Google Scholar] [CrossRef] [PubMed]
- Berry, E.M.; Arnoni, Y.; Aviram, M. The Middle Eastern and biblical origins of the Mediterranean diet. Public Health Nutr. 2011, 14, 2288–2295. [Google Scholar] [CrossRef] [PubMed]
- Mantziki, K.; Renders, C.M.; Seidell, J.C. Water Consumption in European Children: Associations with Intake of Fruit Juices, Soft Drinks and Related Parenting Practices. Int. J. Environ. Res. Public Health 2017, 14, 583. [Google Scholar] [CrossRef] [PubMed]
- Basu, S.; McKee, M.; Galea, G.; Stuckler, D. Relationship of soft drink consumption to global overweight, obesity, and diabetes: A cross-national analysis of 75 countries. Am. J. Public Health 2013, 103, 2071–2077. [Google Scholar] [CrossRef] [PubMed]
- Bauman, A.; Bull, F.; Chey, T.; Craig, C.L.; Ainsworth, B.E.; Sallis, J.F.; Bowles, H.R.; Hagstromer, M.; Sjostrom, M.; Pratt, M.; et al. The international prevalence study on physical activity: Results from 20 countries. Int. J. Behav. Nutr. Phys. Act. 2009, 6, 1–11. [Google Scholar] [CrossRef] [PubMed]
- Al-Yaaribi, A.; Kavussanu, M. Consequences of prosocial and antisocial behaviors in adolescent male soccer players: The moderating role of motivational climate. Psychol. Sport Exerc. 2018, 37, 91–99. [Google Scholar] [CrossRef]
- Jaakkola, T.; Yli-Piipari, S.; Barkoukis, V.; Liukkonen, J. Relationships among perceived motivational climate, motivational regulations, enjoyment, and PA participation among Finnish physical education students. Int. J. Sport Exerc. Psychol. 2017, 15, 273–290. [Google Scholar] [CrossRef]
- Harwood, C.G.; Keegan, R.J.; Smith, J.M.; Raine, A.S. A systematic review of the intrapersonal correlates of motivational climate perceptions in sport and physical activity. Psychol. Sport Exerc. 2015, 18, 9–25. [Google Scholar] [CrossRef]
- Curran, T.; Hill, A.P.; Hall, H.K.; Jowett, G.E. Relationships between the coach-created motivational climate and athlete engagement in youth sport. J. Sport Exerc. Psychol. 2015, 37, 193–198. [Google Scholar] [CrossRef]
- Gagea, A.; Marinescu, G.; Cordun, M.; Gagea, G.; Szabo, G.; Paunescu, M. Recreational sport culture in Romania and some European countries. Rev. Cercet. Interv. Soc. 2010, 31, 54–63. [Google Scholar]
- Craig, C.L.; Marshall, A.L.; Sjostrom, M.; Bauman, A.E.; Booth, M.L.; Ainsworth, B.E.; Pratt, M.; Ekelund, U.; Yngve, A.; Sallis, J.F.; et al. International physical activity questionnaire: 12-country reliability and validity. Med. Sci. Sports Exerc. 2003, 35, 1381–1395. [Google Scholar] [CrossRef] [PubMed]
- González-Valero, G.; Zurita-Ortega, F.; Puertas-Molero, P.; Chacón-Cuberos, R.; Garcés, T.E.; Sánchez, M.C. Education for health: Implementation of the program “Sportfruits” in schools of Granada. SPORT TK 2017, 6, 137–146. [Google Scholar] [CrossRef]
- Heemsoth, T.; Retelsdorf, J. Student-student relations from the teacher versus student perspective: A multi-level confirmatory factor analysis. Meas. Phys. Educ. Exerc. Sci. 2018, 22, 48–60. [Google Scholar] [CrossRef]
- Sánchez-Garcia, C.; López-Sánchez, G.F.; González-Carcelén, C.M.; Ibáñez-Ortega, E.J.; Díaz-Suárez, A. Physical fitness and body image of sports science students. Educ. Sport, Health, Phys. Act. 2018, 2, 92–104. [Google Scholar]
- Ivashchenko, O.V.; Khudolii, O.M.; Yermakova, T.S.; Veremeenko, V.Y. Power abilities: The structure of development in girls of 12–14 years old. Pedagog. Psychol. Med.-Biol. Probl. Phys. Train. Sports 2018, 4, 195–202. [Google Scholar] [CrossRef]
- Badau, A.; Badau, D.; Talaghir, L.G.; Rus, V. The impact of the needs and roles of nutrition counselling in sport. Hum. Sport. Med. 2018, 18, 88–96. [Google Scholar] [CrossRef]
- Badicu, G. Physical Activity and Sleep Quality in Students of the Faculty of Physical Education and Sport of Braşov, Romania. Sustainability 2018, 10, 2410. [Google Scholar] [CrossRef]



| Items of Adherence to MD | Levene’s Test | T-Test | ||||
|---|---|---|---|---|---|---|
| Country | A | SD | F | Sig. | Sig. | |
| I1. To eat a fruit or fruit juice every day | Romania | 0.27 | 0.44 | 4.65 | 0.031 | *** |
| Spain | 0.77 | 0.41 | ||||
| I2. To have a second fruit every day | Romania | 0.78 | 0.41 | 119.95 | 0.000 | *** |
| Spain | 0.42 | 0.49 | ||||
| I3. To eat fresh or cooked vegetables regularly once a day | Romania | 0.55 | 0.49 | 6.91 | 0.009 | 0.109 |
| Spain | 0.62 | 0.48 | ||||
| I4. To consume fresh or cooked vegetables more than once a day | Romania | 0.88 | 0.33 | 181.53 | 0.000 | *** |
| Spain | 0.33 | 0.47 | ||||
| I5. Regular fish consumption (at least 2–3/week) | Romania | 0.42 | 0.49 | 14.27 | 0.000 | *** |
| Spain | 0.67 | 0.46 | ||||
| I6. To go ˃ 1/ week to a fast food restaurant (hamburger) | Romania | −0.56 | 0.49 | 14.83 | 0.000 | *** |
| Spain | −0.34 | 0.47 | ||||
| I7. Pulses ˃ 1/week | Romania | 0.63 | 0.48 | 13.77 | 0.000 | * |
| Spain | 0.71 | 0.45 | ||||
| I8. To eat pasta or rice almost every day (5 or more per week) | Romania | 0.76 | 0.42 | 106.34 | 0.000 | *** |
| Spain | 0.42 | 0.49 | ||||
| I9. To have cereals or grains (bread, etc.) for breakfast | Romania | 0.71 | 0.45 | 66.35 | 0.000 | *** |
| Spain | 0.86 | 0.34 | ||||
| I10. To consume nuts regularly (at least 2–3/week) | Romania | 0.93 | 0.25 | 1266.61 | 0.000 | *** |
| Spain | 0.50 | 0.50 | ||||
| I11. To use olive oil at home | Romania | 0.99 | 0.07 | 0.86 | 0.353 | 0.643 |
| Spain | 0.99 | 0.09 | ||||
| I12. No breakfast | Romania | −0.46 | 0.49 | 24.63 | 0.000 | ** |
| Spain | −0.31 | 0.46 | ||||
| I13. To have a dairy product for breakfast (yoghurt, milk, etc.) | Romania | 0.26 | 0.44 | 15.15 | 0.000 | *** |
| Spain | 0.81 | 0.39 | ||||
| I14. To eat commercially baked goods or pastries for breakfast | Romania | −0.89 | 0.31 | 0.42 | 0.513 | *** |
| Spain | −0.12 | 0.32 | ||||
| I15. To consume two yoghurts and/or some cheese (40 g) daily | Romania | 0.56 | 0.49 | 2.42 | 0.120 | 0.070 |
| Spain | 0.48 | 0.50 | ||||
| I16. To have sweets and candy several times every day | Romania | −0.79 | 0.40 | 5.64 | 0.018 | *** |
| Spain | −0.17 | 0.37 | ||||
| Global score in adherence to MD | Rumanía | 5.06 | 1.31 | 101.88 | 0.000 | *** |
| España | 6.65 | 2.63 | ||||
| Dimensions of Motivational Climate | Country | A | SD | Levene’s Test | T-Test | |
|---|---|---|---|---|---|---|
| F | Sig. | Sig. | ||||
| TC | Romania | 3.11 | 0.55 | 2.720 | 0.100 | *** |
| Spain | 4.03 | 0.62 | ||||
| CL | Romania | 2.93 | 0.75 | 4.363 | 0.037 | *** |
| Spain | 4.06 | 0.72 | ||||
| EI | Romania | 3.34 | 0.53 | 4.477 | 0.035 | *** |
| Spain | 3.97 | 0.63 | ||||
| IR | Romania | 2.87 | 0.86 | 8.223 | 0.004 | *** |
| Spain | 4.10 | 0.73 | ||||
| EC | Romania | 3.24 | 0.54 | 18.175 | 0.000 | *** |
| Spain | 2.07 | 0.75 | ||||
| PM | Romania | 3.24 | 0.61 | 14.471 | 0.000 | *** |
| Spain | 1.93 | 0.79 | ||||
| UR | Romania | 3.17 | 0.70 | 6.259 | 0.013 | *** |
| Spain | 1.98 | 0.89 | ||||
| MR | Romania | 3.39 | 0.80 | 14.872 | 0.000 | *** |
| Spain | 2.56 | 0.95 | ||||
| Level of Adherence to MD According to Motivational Climate | Romania | Spain | |||||
|---|---|---|---|---|---|---|---|
| A | DT | P | A | DT | P | ||
| TC | Low adherence | - | - | 0.263 | 4.49 | 0.37 | * |
| Medium adherence | 3.12 | 0.54 | 3.98 | 0.62 | |||
| High adherence | 2.98 | 0.56 | 4.06 | 0.62 | |||
| CL | Low adherence | - | - | 0.677 | 4.60 | 0.37 | * |
| Medium adherence | 2.94 | 0.73 | 4.01 | 0.72 | |||
| High adherence | 2.87 | 0.90 | 4.10 | 0.71 | |||
| EI | Low adherence | - | - | 0.313 | 4.37 | 0.53 | * |
| Medium adherence | 3.35 | 0.52 | 3.90 | 0.65 | |||
| High adherence | 3.23 | 0.61 | 4.02 | 0.60 | |||
| IR | Low adherence | - | - | 0.253 | 4.60 | 0.37 | 0.305 |
| Medium adherence | 2.90 | 0.88 | 4.10 | 0.71 | |||
| High adherence | 2.68 | 0.67 | 4.08 | 0.76 | |||
| EC | Low adherence | - | - | * | 1.87 | 0.81 | 0.491 |
| Medium adherence | 3.27 | 0.53 | 2.04 | 0.71 | |||
| High adherence | 3.00 | 0.54 | 2.11 | 0.78 | |||
| PM | Low adherence | - | - | * | 1.66 | 0.39 | 0.391 |
| Medium adherence | 3.28 | 0.61 | 1.89 | 0.75 | |||
| High adherence | 2.96 | 0.50 | 1.98 | 0.82 | |||
| UR | Low adherence | - | - | 0.400 | 1.85 | 1.16 | 0.885 |
| Medium adherence | 3.19 | 0.71 | 1.97 | 0.86 | |||
| High adherence | 3.05 | 0.70 | 2.00 | 0.92 | |||
| MR | Low adherence | - | - | ** | 2.33 | 1.17 | 0.225 |
| Medium adherence | 3.45 | 0.76 | 2.49 | 0.90 | |||
| High adherence | 2.93 | 0.96 | 2.64 | 0.99 | |||
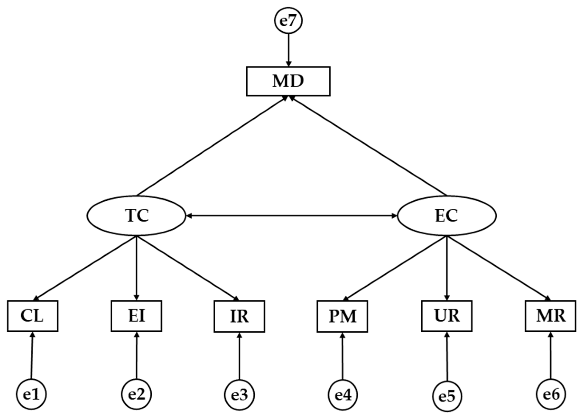
| Relationship between Variables | R.W. | S.R.W. | ||||
|---|---|---|---|---|---|---|
| Estimations | S.E. | C.R. | Estimations | |||
| Weights and standardized regression weights of students from Spain | ||||||
| CL | ← | TC | 1.000 | - | - | 0.856 *** |
| EI | ← | TC | 0.848 | 0.042 | 19.996 | 0.823 *** |
| IR | ← | TC | 1.057 | 0.049 | 21.424 | 0.884 *** |
| PM | ← | EC | 1.000 | - | - | 0.759 *** |
| UR | ← | EC | 1.403 | 0.096 | 14.656 | 0.940 *** |
| MR | ← | EC | 0.936 | 0.078 | 12.016 | 0.589 *** |
| MD | ← | TC | 0.115 | 0.247 | 0.465 | 0.027 |
| MD | ← | EC | 0.451 | 0.252 | 2.786 | 0.103 * |
| EC | ![]() | TC | -0.159 | 0.024 | -6.723 | -0.429 *** |
| Weights and standardized regression weights of students from Romania | ||||||
| CL | ← | TC | 1.000 | - | - | 0.562 *** |
| EI | ← | TC | 0.959 | 0.133 | 7.219 | 0.765 *** |
| IR | ← | TC | 1.434 | 0.208 | 6.905 | 0.708 *** |
| PM | ← | EC | 1.000 | - | - | 0.601 *** |
| UR | ← | EC | 1.479 | 0.188 | 7.883 | 0.765 *** |
| MR | ← | EC | 1.085 | 0.191 | 5.669 | 0.494 *** |
| MD | ← | TC | -0.977 | 1.337 | -3.731 | -0.315 *** |
| MD | ← | EC | 0.294 | 1.531 | 0.192 | 0.082 |
| EC | ![]() | TC | 0.167 | 0.032 | 5.286 | 0.872 *** |
, Relationships between exogenous variables.© 2018 by the authors. Licensee MDPI, Basel, Switzerland. This article is an open access article distributed under the terms and conditions of the Creative Commons Attribution (CC BY) license (http://creativecommons.org/licenses/by/4.0/).
Share and Cite
Chacón-Cuberos, R.; Badicu, G.; Zurita-Ortega, F.; Castro-Sánchez, M. Mediterranean Diet and Motivation in Sport: A Comparative Study Between University Students from Spain and Romania. Nutrients 2019, 11, 30. https://doi.org/10.3390/nu11010030
Chacón-Cuberos R, Badicu G, Zurita-Ortega F, Castro-Sánchez M. Mediterranean Diet and Motivation in Sport: A Comparative Study Between University Students from Spain and Romania. Nutrients. 2019; 11(1):30. https://doi.org/10.3390/nu11010030
Chicago/Turabian StyleChacón-Cuberos, Ramón, Georgian Badicu, Félix Zurita-Ortega, and Manuel Castro-Sánchez. 2019. "Mediterranean Diet and Motivation in Sport: A Comparative Study Between University Students from Spain and Romania" Nutrients 11, no. 1: 30. https://doi.org/10.3390/nu11010030
APA StyleChacón-Cuberos, R., Badicu, G., Zurita-Ortega, F., & Castro-Sánchez, M. (2019). Mediterranean Diet and Motivation in Sport: A Comparative Study Between University Students from Spain and Romania. Nutrients, 11(1), 30. https://doi.org/10.3390/nu11010030



