Animal and Plant Protein Intake and Body Mass Index and Waist Circumference in a Korean Elderly Population
Abstract
:1. Introduction
2. Materials and Methods
2.1. Study Participants
2.2. Covariate Measurements
2.3. Health Behavior Measurement
2.4. Body Mass Index and Waist Circumference
2.5. Assessment of Protein and Other Macronutrient Intake
2.6. Renal Function Assessment
2.7. Statistical Analysis
3. Results
3.1. Study Population
3.2. Characteristics of Study Participants According to Protein Intake
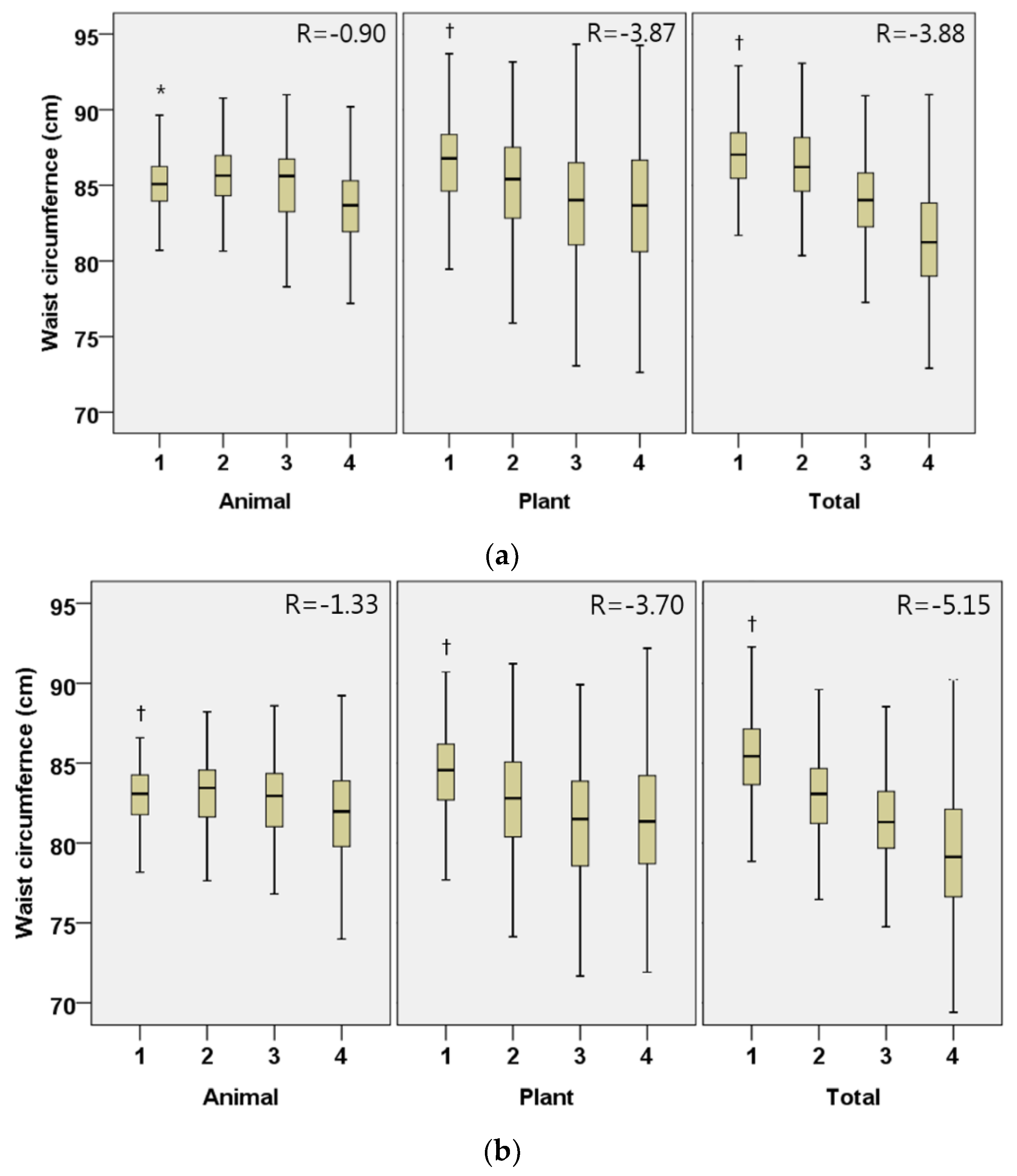
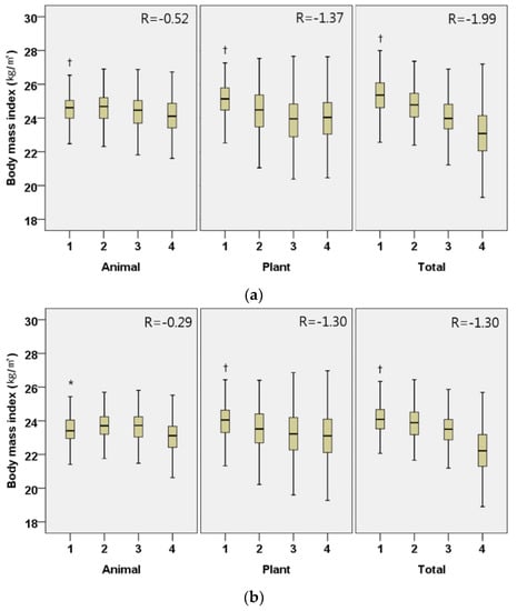
3.3. Body Mass Index, Waist Circumference and Protein Intake
3.4. Markers of Kidney Function and Protein Intake
4. Discussion
4.1. Total Protein, Plant Protein, Animal Protein and Obesity
4.2. Mechanism that Protein Intake Affects Obesity
4.3. Renal Function and Protein Intake
4.4. Limitations and Strengths of This Study
5. Conclusions
Author Contributions
Conflicts of Interest
References
- Ogden, C.L.; Carroll, M.D.; Fryar, C.D.; Flegal, K.M. Prevalence of Obesity among Adults and Youth: United States, 2011–2014; US Department of Health and Human Services, Centers for Disease Control and Prevention, National Center for Health Statistics: Atlanta, GA, USA, 2015.
- KOSIS. Trend of Obesity Prevalence 2005–2015: Ministry of Health and Welfare, Korea National Health and Nutrition Survey. Available online: kosis.kr/statHtml/statHtml.do?orgId=117&tblId=DT_11702_N101&conn_path=I2 (accessed on 25 April 2018).
- Janssen, I.; Mark, A.E. Elevated body mass index and mortality risk in the elderly. Obes. Rev. 2007, 8, 41–59. [Google Scholar] [CrossRef] [PubMed]
- Di Angelantonio, E.; Bhupathiraju, S.N.; Wormser, D.; Gao, P.; Kaptoge, S.; de Gonzalez, A.B.; Cairns, B.J.; Huxley, R.; Jackson, C.L.; Joshy, G. Body-mass index and all-cause mortality: Individual-participant-data meta-analysis of 239 prospective studies in four continents. Lancet 2016, 388, 776–786. [Google Scholar] [CrossRef]
- Pasiakos, S.M.; Lieberman, H.R.; Fulgoni, V.L., 3rd. Higher-protein diets are associated with higher HDL cholesterol and lower BMI and waist circumference in US adults. J. Nutr. 2015, 145, 605–614. [Google Scholar] [CrossRef] [PubMed]
- Green, K.K.; Shea, J.L.; Vasdev, S.; Randell, E.; Gulliver, W.; Sun, G. Higher dietary protein intake is associated with lower body fat in the Newfoundland Population. Clin. Med. Insights Endocrinol. Diabetes 2010, 3, 25–35. [Google Scholar] [CrossRef] [PubMed]
- Oh, C.; Jeon, B.H.; Storm, S.N.R.; Jho, S.; No, J.-K. The most effective factors to offset sarcopenia and obesity in the older Korean: Physical activity, vitamin D, and protein intake. Nutrition 2017, 33, 169–173. [Google Scholar] [CrossRef] [PubMed]
- Berryman, C.E.; Agarwal, S.; Lieberman, H.R.; Fulgoni, V.L., 3rd; Pasiakos, S.M. Diets higher in animal and plant protein are associated with lower adiposity and do not impair kidney function in US adults. Am. J. Clin. Nutr. 2016, 104, 743–749. [Google Scholar] [CrossRef] [PubMed]
- Lin, Y.; Bolca, S.; Vandevijvere, S.; De Vriese, S.; Mouratidou, T.; De Neve, M.; Polet, A.; Van Oyen, H.; Van Camp, J.; De Backer, G. Plant and animal protein intake and its association with overweight and obesity among the Belgian population. Br. J. Nutr. 2011, 105, 1106–1116. [Google Scholar] [CrossRef] [PubMed]
- Korea Centers for Disease Control and Prevention. Korea Health Statistics 2016: Korea National Health and Nutrition Examination Survey (KNHANES Ⅶ-1); Ministry of Health and Welfare: Seoul, Korea, 2017.
- Park, H. Adequacy of protein intake of Korean elderly: An analysis of 2013–2014 Korea national health and nutrition examination survey data. Korean J. Fam. Med. 2017, 39, 130–134. [Google Scholar] [CrossRef] [PubMed]
- Pasiakos, S.M.; Agarwal, S.; Lieberman, H.R.; Fulgoni, V.L. Sources and Amounts of Animal, Dairy, and Plant Protein Intake of US Adults in 2007–2010. Nutrients 2015, 7, 7058–7069. [Google Scholar] [CrossRef] [PubMed]
- U.S. Department of Agriculture, Agricultural Research Service. Nutrient Intakes from Food and Beverages: Mean Amounts Consumed per Individual, by Gender and Age, What We Eat in America, NHANES 2013–2014. Day 1. Available online: www.ars.usda.gov/nea/bhnrc/fsrg (accessed on 1 November 2017).
- Ainsworth, B.E.; Haskell, W.L.; Herrmann, S.D.; Meckes, N.; Bassett, D.R., Jr.; Tudor-Locke, C.; Greer, J.L.; Vezina, J.; Whitt-Glover, M.C.; Leon, A.S. 2011 Compendium of Physical Activities: A second update of codes and MET values. Med. Sci. Sports Exerc. 2011, 43, 1575–1581. [Google Scholar] [CrossRef] [PubMed]
- World Health Organization. The Asia-Pacific Perspective: Redefining Obesity and Its Treatment; Health Communications Australia: Sydney, Australia, 2000. [Google Scholar]
- Korea Centers for Disease Control and Prevention. The Sixth Korea National Health and Nutrition Examination Survey (KNHANES VI); Korea Centers for Disease Control and Prevention: Cheongju-si, Korea, 2015.
- Levey, A.S.; Bosch, J.P.; Lewis, J.B.; Greene, T.; Rogers, N.; Roth, D. A more accurate method to estimate glomerular filtration rate from serum creatinine: A new prediction equation. Ann. Intern. Med. 1999, 130, 461–470. [Google Scholar] [CrossRef] [PubMed]
- Mirmiran, P.; Hajifaraji, M.; Bahadoran, Z.; Sarvghadi, F.; Azizi, F. Dietary protein intake is associated with favorable cardiometabolic risk factors in adults: Tehran Lipid and Glucose Study. Nutr. Res. 2012, 32, 169–176. [Google Scholar] [CrossRef] [PubMed]
- Deibert, P.; König, D.; Schmidt-Trucksaess, A.; Zaenker, K.; Frey, I.; Landmann, U.; Berg, A. Weight loss without losing muscle mass in pre-obese and obese subjects induced by a high-soy-protein diet. Int. J. Obes. 2004, 28, 1349–1352. [Google Scholar] [CrossRef] [PubMed]
- Tooze, J.A.; Kipnis, V.; Buckman, D.W.; Carroll, R.J.; Freedman, L.S.; Guenther, P.M.; Krebs-Smith, S.M.; Subar, A.F.; Dodd, K.W. A mixed-effects model approach for estimating the distribution of usual intake of nutrients: The NCI method. Stat. Med. 2010, 29, 2857–2868. [Google Scholar] [CrossRef] [PubMed]
- Bujnowski, D.; Xun, P.; Daviglus, M.L.; Van Horn, L.; He, K.; Stamler, J. Longitudinal association between animal and vegetable protein intake and obesity among men in the United States: The Chicago Western Electric Study. J. Am. Diet. Assoc. 2011, 111, 1150–1155. [Google Scholar] [CrossRef] [PubMed]
- Burke, B.S. The dietary history as a tool in research. J. Am. Diet. Assoc. 1947, 23, 1041–1046. [Google Scholar]
- Alkerwi, A.A.; Sauvageot, N.; Buckley, J.D.; Donneau, A.-F.; Albert, A.; Guillaume, M.; Crichton, G.E. The potential impact of animal protein intake on global and abdominal obesity: Evidence from the Observation of Cardiovascular Risk Factors in Luxembourg (ORISCAV-LUX) study. Public Health Nutr. 2015, 18, 1831–1838. [Google Scholar] [CrossRef] [PubMed]
- Fine, E.J.; Feinman, R.D. Thermodynamics of weight loss diets. Nutr. Metab. 2004, 1, 15. [Google Scholar] [CrossRef] [PubMed]
- Feinman, R.D.; Fine, E.J. Thermodynamics and metabolic advantage of weight loss diets. Metab. Syndr. Relat. Disord. 2003, 1, 209–219. [Google Scholar] [CrossRef] [PubMed]
- Halton, T.L.; Hu, F.B. The effects of high protein diets on thermogenesis, satiety and weight loss: A critical review. J. Am. Coll. Nutr. 2004, 23, 373–385. [Google Scholar] [CrossRef] [PubMed]
- Batterham, R.L.; Heffron, H.; Kapoor, S.; Chivers, J.E.; Chandarana, K.; Herzog, H.; Le Roux, C.W.; Thomas, E.L.; Bell, J.D.; Withers, D.J. Critical role for peptide YY in protein-mediated satiation and body-weight regulation. Cell Metab. 2006, 4, 223–233. [Google Scholar] [CrossRef] [PubMed]
- Lee, K.; Cha, D.; Cheon, S.; Yeo, M.; Cho, S. Plasma ghrelin levels and their relationship with gastric emptying in patients with dysmotility-like functional dyspepsia. Digestion 2009, 80, 58–63. [Google Scholar] [CrossRef] [PubMed]
- Verdich, C.; Flint, A.; Gutzwiller, J.-P.; Naslund, E.; Beglinger, C.; Hellstrom, P.; Long, S.; Morgan, L.; Holst, J.; Astrup, A. A meta-analysis of the effect of glucagon-like peptide-1 (7–36) amide on ad libitum energy intake in humans. J. Clin. Endocrinol. Metab. 2001, 86, 4382–4389. [Google Scholar] [CrossRef] [PubMed]
- Kissileff, H.R.; Pi-Sunyer, F.X.; Thornton, J.; Smith, G.P. C-terminal octapeptide of cholecystokinin decreases food intake in man. Am. J. Clin. Nutr. 1981, 34, 154–160. [Google Scholar] [CrossRef] [PubMed]
- Stenholm, S.; Harris, T.B.; Rantanen, T.; Visser, M.; Kritchevsky, S.B.; Ferrucci, L. Sarcopenic obesity-definition, etiology and consequences. Curr. Opin. Clin. Nutr. Metab. Care 2008, 11, 693–700. [Google Scholar] [CrossRef] [PubMed]
- Schwingshackl, L.; Hoffmann, G. Comparison of high vs. normal/low protein diets on renal function in subjects without chronic kidney disease: A systematic review and meta-analysis. PLoS ONE 2014, 9, e97656. [Google Scholar] [CrossRef] [PubMed]
- Deutz, N.E.; Bauer, J.M.; Barazzoni, R.; Biolo, G.; Boirie, Y.; Bosy-Westphal, A.; Cederholm, T.; Cruz-Jentoft, A.; Krznariç, Z.; Nair, K.S. Protein intake and exercise for optimal muscle function with aging: Recommendations from the ESPEN Expert Group. Clin. Nutr. 2014, 33, 929–936. [Google Scholar] [CrossRef] [PubMed]
- Bauer, J.; Biolo, G.; Cederholm, T.; Cesari, M.; Cruz-Jentoft, A.J.; Morley, J.E.; Phillips, S.; Sieber, C.; Stehle, P.; Teta, D. Evidence-based recommendations for optimal dietary protein intake in older people: A position paper from the PROT-AGE Study Group. J. Am. Med. Dir. Assoc. 2013, 14, 542–559. [Google Scholar] [CrossRef] [PubMed]
- Wolfe, R.R.; Miller, S.L.; Miller, K.B. Optimal protein intake in the elderly. Clin. Nutr. 2008, 27, 675–684. [Google Scholar] [CrossRef] [PubMed]


| Proportion or Mean (SE) 1 | Male | Female | Total |
|---|---|---|---|
| Unweighted, n | 1127 | 1422 | 2549 |
| Age (year), mean (SE) | 69.5 (0.2) | 69.0 (0.2) | 69.2 (0.2) |
| 60–69 | 54.2 (1.7) | 55.9 (1.6) | 55.2 (1.3) |
| 70–79 | 38.8 (1.6) | 36.7 (1.5) | 37.6 (1.2) |
| 80≤ | 6.8 (0.7) | 7.2 (0.8) | 7.1 (0.5) |
| Household income | |||
| Lower | 34.9 (1.7) | 41.3 (1.8) | 38.4 (1.5) |
| Lower middle | 27.6 (1.5) | 28.9 (1.5) | 28.3 (1.3) |
| Upper middle | 20.2 (1.2) | 16.3 (1.2) | 18.1 (1.0) |
| Upper | 17.1 (1.4) | 13.3 (1.3) | 15.0 (1.2) |
| Education (year) | |||
| ≤9 | 50.2 (1.8) | 78.6 (1.5) | 65.8 (1.4) |
| 10–12 | 29.8 (1.5) | 15.1 (1.1) | 21.7 (1.0) |
| 13≤ | 19.8 (1.5) | 6.2 (0.8) | 12.3 (0.9) |
| Having chronic disease 2 vs. none | 69.0 (1.5) | 83.2 (1.0) | 76.8 (0.9) |
| Body mass index, mean (SE) | 23.5 (0.1) | 24.4 (0.1) | 24.0 (0.1) |
| Underweight | 3.7 (0.6) | 1.8 (0.4) | 2.7 (0.4) |
| Normal | 40.5 (1.6) | 33.9 (1.6) | 36.8 (1.1) |
| Overweight | 25.8 (1.3) | 24.7 (1.3) | 25.2 (0.9) |
| Obese | 29.8 (1.4) | 39.3 (1.4) | 35.0 (1.0) |
| Height (SE) | 165.7 (0.2) | 152.6 (0.2) | 158.5 (0.2) |
| Weight (SE) | 64.6 (0.3) | 56.9 (0.3) | 60.4 (0.2) |
| Waist circumference (SE) | 84.8 (0.3) | 82.5 (0.3) | 83.5 (0.3) |
| Current smoker | 25.2 (1.5) | 2.1 (0.4) | 12.5 (0.8) |
| Alcohol intake frequency per week | |||
| 0 | 28.0 (1.4) | 58.3 (1.5) | 44.7 (1.1) |
| 1 | 38.7 (1.7) | 36.3 (1.5) | 37.4 (1.1) |
| 2≤ | 33.1 (1.6) | 5.3 (0.6) | 17.8 (0.9) |
| MET/week (SE) | 2275.1 (92.8) | 1542.6 (66.3) | 1872.1 (57.5) |
| Inactive | 23.1 (1.3) | 41.0 (1.6) | 33.0 (1.1) |
| Minimally active | 53.9 (1.6) | 47.0 (1.5) | 50.1 (1.2) |
| Health enhancing | 22.8 (1.4) | 11.8 (0.8) | 16.8 (0.8) |
| Mean (SE) 1 | Q1 (Lowest) | Q2 | Q3 | Q4 (Highest) | Total |
|---|---|---|---|---|---|
| Male | |||||
| Median, g/kg/day | 0.57 | 0.83 | 1.12 | 1.62 | |
| Unweighted, n | 281 | 282 | 282 | 282 | 1127 |
| Age, year * | 70.7 (0.4) | 69.7 (0.4) | 68.4 (0.4) | 69.1 (0.4) | 69.5 (0.2) |
| Total energy intake, kcal/day † | 1406.3 (25.0) | 1820.8 (25.7) | 2210.1 (29.1) | 2737.2 (45.2) | 2033.3 (23.8) |
| % energy from carbohydrate, % † | 74.5 (0.7) | 69.0 (0.8) | 67.2 (0.6) | 59.9 (0.9) | 67.8 (0.4) |
| % energy from fat, % † | 9.9 (0.4) | 12.7 (0.5) | 14.8 (0.4) | 18.4 (0.7) | 13.9 (0.3) |
| Protein, total, g/day † | 36.3 (0.5) | 54.9 (0.6) | 72.2 (0.8) | 107.3 (2.1) | 67.1 (1.1) |
| % energy from protein, % † | 10.6 (0.2) | 12.5 (0.2) | 13.4 (0.2) | 16.1 (0.3) | 13.1 (0.1) |
| Protein, total, g/kg/day † | 0.5 (0.0) | 0.8 (0.0) | 1.1 (0.0) | 1.8 (0.0) | 1.1 (0.0) |
| Plant protein, g/day † | 28.0 (0.5) | 36.9 (0.7) | 45.0 (0.9) | 52.7 (1.3) | 40.5 (0.5) |
| Plant protein, g/kg/day † | 0.4 (0.0) | 0.6 (0.0) | 0.7 (0.0) | 0.9 (0.0) | 0.6 (0.0) |
| Animal protein, g/day † | 8.1 (0.4) | 17.2 (0.8) | 26.5 (1.1) | 53.4 (2.5) | 25.9 (0.9) |
| Animal protein, g/kg/day † | 0.1 (0.0) | 0.3 (0.0) | 0.4 (0.0) | 0.9 (0.0) | 0.4 (0.0) |
| A/T protein proportion, % † | 20.9 (1.0) | 30.5 (1.2) | 36.0 (1.3) | 46.8 (1.4) | 33.4 (0.7) |
| BMI, kg/m2 † | 24.19 (0.20) | 23.93 (0.21) | 23.52 (0.19) | 22.27 (0.20) | 23.49 (0.11) |
| Height, cm | 166.3 (0.5) | 165.6 (0.3) | 165.4 (0.4) | 165.5 (0.4) | 165.7 (0.2) |
| Weight, kg † | 67.0 (0.7) | 65.7 (0.6) | 64.4 (0.6) | 61.1 (0.7) | 64.6 (0.3) |
| Waist circumference, cm † | 87.3 (0.6) | 86.3 (0.7) | 84.1 (0.6) | 81.5 (0.6) | 84.8 (0.3) |
| Physical activity, MET/week | 2145.8 (157.9) | 2257.6 (195.9) | 2218.9 (155.2) | 2488.3 (181.2) | 2275.1 (92.8) |
| Female | |||||
| Median, g/kg/day | 0.46 | 0.70 | 0.95 | 1.46 | |
| Unweighted, n | 355 | 356 | 356 | 355 | 1422 |
| Age, year † | 70.5 (0.4) | 69.4 (0.4) | 68.5 (0.4) | 67.8 (0.4) | 69.0 (0.2) |
| Total energy intake, kcal/day † | 1029.2 (17.6) | 1394.0 (20.2) | 1685.2 (22.6) | 2246.2 (37.4) | 1593.1 (20.1) |
| % energy from carbohydrate, % † | 78.3 (0.5) | 74.9 (0.5) | 72.4 (0.6) | 66.6 (0.7) | 73.0 (0.3) |
| % energy from fat, % † | 9.8 (0.4) | 12.1 (0.4) | 13.5 (0.4) | 17.4 (0.5) | 13.2 (0.3) |
| Protein, total, g/day † | 26.8 (0.5) | 40.7 (0.4) | 53.7 (0.5) | 84.4 (1.4) | 51.6 (0.8) |
| % energy from protein, % † | 10.6 (0.2) | 12.0 (0.1) | 13.2 (0.2) | 15.4 (0.3) | 12.8 (0.1) |
| Protein, total, g/kg/day † | 0.5 (0.0) | 0.7 (0.0) | 1.0 (0.0) | 1.6 (0.0) | 0.9 (0.0) |
| Plant protein, g/day † | 21.2 (0.4) | 30.4 (0.5) | 37.4 (0.7) | 47.2 (1.0) | 34.1 (0.5) |
| Plant protein, g/kg/day † | 0.4 (0.0) | 0.5 (0.0) | 0.7 (0.0) | 0.9 (0.0) | 0.6 (0.0) |
| Animal protein, g/day † | 5.6 (0.4) | 10.2 (0.5) | 16.2 (0.7) | 37.0 (1.4) | 17.4 (0.6) |
| Animal protein, g/kg/day † | 0.1 (0.0) | 0.2 (0.0) | 0.3 (0.0) | 0.7 (0.0) | 0.3 (0.0) |
| A/T protein proportion, % † | 19.2 (1.1) | 24.5 (1.1) | 29.8 (1.1) | 42.0 (1.1) | 29.0 (0.7) |
| BMI, kg/m2 † | 25.49 (0.23) | 24.83 (0.19) | 24.06 (0.17) | 23.30 (0.19) | 24.41 (0.11) |
| Height, cm | 152.4 (0.3) | 152.6 (0.4) | 152.3 (0.3) | 152.9 (0.4) | 152.6 (0.2) |
| Weight, kg † | 59.3 (0.6) | 58.0 (0.5) | 55.9 (0.4) | 54.5 (0.5) | 56.9 (0.3) |
| Waist circumference, cm † | 85.6 (0.6) | 83.1 (0.6) | 81.4 (0.5) | 79.9 (0.6) | 82.5 (0.3) |
| Physical activity, MET/week† | 1140.3 (96.3) | 1488.0 (114.3) | 1666.8 (130.7) | 1867.1 (168.0) | 1542.6 (66.3) |
| Male (n = 1004) | Female (n = 1206) | |||||||||
|---|---|---|---|---|---|---|---|---|---|---|
| Quartiles | Q1 | Q2 | Q3 | Q4 | p for Trend | Q1 | Q2 | Q3 | Q4 | p for Trend |
| GFR, mL/min/1.73 m2 | ||||||||||
| Total | 77.5 ± 1.1 | 76.7 ± 1.1 | 77.5 ± 1.1 | 79.0 ± 1.1 | 0.400 | 79.1 ± 2.1 | 79.1 ± 2.2 | 81.4 ± 2.2 | 80.6 ± 2.3 | 0.324 |
| Plant | 77.6 ± 1.1 | 78.2 ± 1.2 | 75.5 ± 1.2 | 75.5 ± 1.2 | 0.104 | 79.7 ± 2.0 | 79.1 ± 2.1 | 79.5 ± 2.2 | 82.0 ± 2.2 | 0.193 |
| Animal | 77.9 ± 1.3 | 77.3 ± 1.1 | 77.1 ± 1.0 | 77.1 ± 1.0 | 0.769 | 78.2 ± 2.1 | 81.3 ± 2.1 | 80.2 ± 2.2 | 80.4 ± 2.3 | 0.203 |
| Creatinine, mg/dL | ||||||||||
| Total | 1.00 ± 0.02 | 1.01 ± 0.01 | 1.00 ± 0.01 | 0.98 ± 0.01 | 0.360 | 0.76 ± 0.02 | 0.76 ± 0.02 | 0.74 ± 0.02 | 0.75 ± 0.02 | 0.560 |
| Plant | 1.00 ± 0.02 | 0.99 ± 0.02 | 1.03 ± 0.02 | 0.97 ± 0.01 | 0.057 | 0.76 ± 0.02 | 0.77 ± 0.02 | 0.76 ± 0.02 | 0.73 ± 0.02 | 0.062 |
| Animal | 0.99 ± 0.02 | 1.00 ± 0.01 | 1.00 ± 0.01 | 0.99 ± 0.01 | 0.791 | 0.76 ± 0.02 | 0.74 ± 0.02 | 0.75 ± 0.02 | 0.76 ± 0.02 | 0.244 |
© 2018 by the authors. Licensee MDPI, Basel, Switzerland. This article is an open access article distributed under the terms and conditions of the Creative Commons Attribution (CC BY) license (http://creativecommons.org/licenses/by/4.0/).
Share and Cite
Park, K.-B.; Park, H.A.; Kang, J.-H.; Kim, K.; Cho, Y.G.; Jang, J. Animal and Plant Protein Intake and Body Mass Index and Waist Circumference in a Korean Elderly Population. Nutrients 2018, 10, 577. https://doi.org/10.3390/nu10050577
Park K-B, Park HA, Kang J-H, Kim K, Cho YG, Jang J. Animal and Plant Protein Intake and Body Mass Index and Waist Circumference in a Korean Elderly Population. Nutrients. 2018; 10(5):577. https://doi.org/10.3390/nu10050577
Chicago/Turabian StylePark, Ki-Byeong, Hyun Ah Park, Jae-Heon Kang, Kyoungwoo Kim, Young Gyu Cho, and Jinyoung Jang. 2018. "Animal and Plant Protein Intake and Body Mass Index and Waist Circumference in a Korean Elderly Population" Nutrients 10, no. 5: 577. https://doi.org/10.3390/nu10050577
APA StylePark, K.-B., Park, H. A., Kang, J.-H., Kim, K., Cho, Y. G., & Jang, J. (2018). Animal and Plant Protein Intake and Body Mass Index and Waist Circumference in a Korean Elderly Population. Nutrients, 10(5), 577. https://doi.org/10.3390/nu10050577

