Energy Deficit Required for Rapid Weight Loss in Elite Collegiate Wrestlers
Abstract
:1. Introduction
2. Materials and Methods
2.1. Subjects
2.2. Experimental Design
2.3. Anthropometry and Body Composition Measurements
2.4. Air Displacement Plethysmography
2.5. Bioelectrical Impedance Analysis
2.6. Dual-Energy X-ray Absorptiometry
2.7. Stable Isotope Dilution
Three- and Four-Component Model
2.8. Energy and Macronutrient Intake
2.9. Body Energy Density of Rapid Weight Loss
2.10. Resting Energy Expenditure and Energy Expenditure of Exercise and Training
2.11. Statistical Analyses
3. Results
3.1. Body Mass and Body Composition
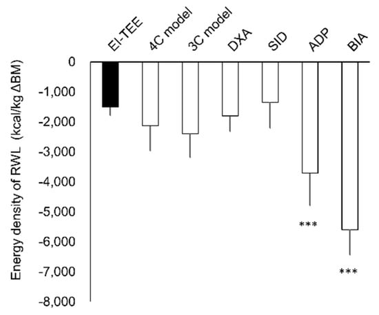
3.2. Energy Balance During Rapid Weight Loss
4. Discussion
5. Conclusions
Author Contributions
Acknowledgments
Conflicts of Interest
References
- Reale, R.; Cox, G.R.; Slater, G.; Burke, L.M. Regain in body mass after weigh-in is linked to success in real life judo competition. Int. J. Sport Nutr. Exerc. Metab. 2016, 26, 525–530. [Google Scholar] [CrossRef] [PubMed]
- Oppliger, R.A.; Steen, S.A.; Scott, J.R. Weight loss practices of college wrestlers. Int. J. Sport Nutr. Exerc. Metab. 2003, 13, 29–46. [Google Scholar] [CrossRef] [PubMed]
- Amirsasan, R.; Hamed, F.; Ladan, A. Rapid weight loss of Iranian freestyle and Greco-Roman elite cadet wrestlers. Int. J. Wrestl. Sci. 2014, 4, 63–68. [Google Scholar] [CrossRef]
- Artioli, G.G.; Gualano, B.; Franchini, E.; Scagliusi, F.B.; Takesian, M.; Fuchs, M.; Lancha, A.H. Prevalence, magnitude, and methods of rapid weight loss among judo competitors. Med. Sci. Sports Exerc. 2010, 42, 436–442. [Google Scholar] [CrossRef] [PubMed]
- Lopes-Silva, J.P.; Felippe, L.J.; Silva-Cavalcante, M.D.; Bertuzzi, R.; Lima-Silva, A.E. Caffeine ingestion after rapid weight loss in judo athletes reduces perceived effort and increases plasma lactate concentration without improving performance. Nutrients 2014, 6, 2931–2945. [Google Scholar] [CrossRef] [PubMed]
- Reljic, D.; Feist, J.; Jost, J.; Kieser, M.; Friedmann-Bette, B. Rapid body mass loss affects erythropoiesis and hemolysis but does not impair aerobic performance in combat athletes. Scand. J. Med. Sci. Sports 2016, 26, 507–517. [Google Scholar] [CrossRef] [PubMed]
- Reljic, D.; Jost, J.; Dickau, K.; Kinscherf, R.; Bonaterra, G.; Friedmann-Bette, B. Effects of pre-competitional rapid weight loss on nutrition, vitamin status and oxidative stress in elite boxers. J. Sports Sci. 2015, 33, 437–448. [Google Scholar] [CrossRef] [PubMed]
- Sagayama, H.; Yoshimura, E.; Yamada, Y.; Ichikawa, M.; Ebine, N.; Higaki, Y.; Kiyonaga, A.; Tanaka, H. Effects of rapid weight loss and regain on body composition and energy expenditure. Appl. Physiol. Nutr. Metab. 2014, 39, 21–27. [Google Scholar] [CrossRef] [PubMed]
- Yang, W.H.; Heine, O.; Pauly, S.; Kim, P.; Bloch, W.; Mester, J.; Grau, M. Rapid rather than gradual weight reduction impairs hemorheological parameters of taekwondo athletes through reduction in RBC-NOS activation. PLoS ONE 2015, 10, e0123767. [Google Scholar] [CrossRef] [PubMed]
- Durguerian, A.; Bougard, C.; Drogou, C.; Sauvet, F.; Chennaoui, M.; Filaire, E. Weight loss, performance and psychological related states in high-level weightlifters. Int. J. Sports Med. 2016, 37, 230–238. [Google Scholar] [CrossRef] [PubMed]
- Bhutani, S.; Kahn, E.; Tasali, E.; Schoeller, D.A. Composition of two-week change in body weight under unrestricted free-living conditions. Physiol. Rep. 2017, 5, e13336. [Google Scholar] [CrossRef] [PubMed]
- Silva, A.M.; Matias, C.N.; Santos, D.A.; Rocha, P.M.; Minderico, C.S.; Thomas, D.; Heymsfield, S.B.; Sardinha, L.B. Do dynamic fat and fat-free mass changes follow theoretical driven rules in athletes? Med. Sci. Sports Exerc. 2017, 49, 2086–2092. [Google Scholar] [CrossRef] [PubMed]
- Heymsfield, S.B.; Gonzalez, M.C.; Shen, W.; Redman, L.; Thomas, D. Weight loss composition is one-fourth fat-free mass: A critical review and critique of this widely cited rule. Obes. Rev. 2014, 15, 310–321. [Google Scholar] [CrossRef] [PubMed]
- Thomas, D.M.; Bouchard, C.; Church, T.; Slentz, C.; Kraus, W.E.; Redman, L.M.; Martin, C.K.; Silva, A.M.; Vossen, M.; Westerterp, K.; et al. Why do individuals not lose more weight from an exercise intervention at a defined dose? An energy balance analysis. Obes. Rev. 2012, 13, 835–847. [Google Scholar] [CrossRef] [PubMed]
- De Jonge, L.; DeLany, J.P.; Nguyen, T.; Howard, J.; Hadley, E.C.; Redman, L.M.; Ravussin, E. Validation study of energy expenditure and intake during calorie restriction using doubly labeled water and changes in body composition. Am. J. Clin. Nutr. 2007, 85, 73–79. [Google Scholar] [CrossRef] [PubMed]
- Schoeller, D.A.; Thomas, D. Energy balance and body composition. World Rev. Nutr. Diet. 2015, 111, 13–18. [Google Scholar] [PubMed]
- Dempster, P.; Aitkens, S. A new air displacement method for the determination of human body composition. Med. Sci. Sports Exerc. 1995, 27, 1692–1697. [Google Scholar] [CrossRef] [PubMed]
- Brozek, J.; Grande, F.; Anderson, J.T.; Keys, A. Densitometric analysis of body composition: Revision of some quantitative assumptions. Ann. N. Y. Acad. Sci. 1963, 110, 113–140. [Google Scholar] [CrossRef] [PubMed]
- Sagayama, H.; Yamada, Y.; Racine, N.M.; Shriver, T.C.; Schoeller, D.A.; DLW Study Group. Dilution space ratio of 2H and 18O of doubly labeled water method in humans. J. Appl. Physiol. 2016, 120, 1349–1354. [Google Scholar] [CrossRef] [PubMed]
- Cole, T.J.; Coward, W.A. Precision and accuracy of doubly labeled water energy expenditure by multipoint and two-point methods. Am. J. Physiol. 1992, 263, E965–E973. [Google Scholar] [CrossRef] [PubMed]
- Racette, S.B.; Schoeller, D.A.; Luke, A.H.; Shay, K.; Hnilicka, J.; Kushner, R.F. Relative dilution spaces of 2h- and 18o-labeled water in humans. Am. J. Physiol. 1994, 267, E585–E590. [Google Scholar] [CrossRef] [PubMed]
- Heymsfield, S.B.; Wang, Z.; Visser, M.; Gallagher, D.; Pierson, R.N., Jr. Techniques used in the measurement of body composition: An overview with emphasis on bioelectrical impedance analysis. Am. J. Clin. Nutr. 1996, 64, 478S–484S. [Google Scholar] [CrossRef] [PubMed]
- Weir, J.B. New methods for calculating metabolic rate with special reference to protein metabolism. J. Physiol. 1949, 109, 1–9. [Google Scholar] [CrossRef] [PubMed]
- Schoeller, D.A. Measurement of energy expenditure in free-living humans by using doubly labeled water. J. Nutr. 1988, 118, 1278–1289. [Google Scholar] [CrossRef] [PubMed]
- Siri, W. Body composition from fluid spaces and density: Analysis of methods. In Techniques for Measuring Body Composition; Brozek, J., Henschel, A., Eds.; National Academy of Sciences, National Research Council: Washington, DC, USA, 1961; pp. 223–244. [Google Scholar]
- Heymsfield, S.; Wang, Z.; Withers, R. Multicomponent Molecular Level Models of Body Composition Analysis; Human Kinetics: Champaign, IL, USA, 1996. [Google Scholar]
- Heymsfield, S.B.; Waki, M.; Kehayias, J.; Lichtman, S.; Dilmanian, F.A.; Kamen, Y.; Wang, J.; Pierson, R.N., Jr. Chemical and elemental analysis of humans in vivo using improved body composition models. Am. J. Physiol. 1991, 261, E190–E198. [Google Scholar] [CrossRef] [PubMed]
- Sagayama, H.; Kondo, E.; Shiose, K.; Yamada, Y.; Motonaga, K.; Ouchi, S.; Kamei, A.; Osawa, T.; Nakajima, K.; Takahashi, H.; et al. Energy requirement assessment and water turnover in Japanese college wrestlers using the doubly labeled water method. J. Nutr. Sci. Vitaminol. (Tokyo) 2017, 63, 141–147. [Google Scholar] [CrossRef] [PubMed]
- Heymsfield, S.B.; Thomas, D.; Martin, C.K.; Redman, L.M.; Strauss, B.; Bosy-Westphal, A.; Muller, M.J.; Shen, W.; Martin Nguyen, A. Energy content of weight loss: Kinetic features during voluntary caloric restriction. Metabolism 2012, 61, 937–943. [Google Scholar] [CrossRef] [PubMed]
- Ainsworth, B.E.; Haskell, W.L.; Herrmann, S.D.; Meckes, N.; Bassett, D.R., Jr.; Tudor-Locke, C.; Greer, J.L.; Vezina, J.; Whitt-Glover, M.C.; Leon, A.S. 2011 compendium of physical activities: A second update of codes and met values. Med. Sci. Sports Exerc. 2011, 43, 1575–1581. [Google Scholar] [CrossRef] [PubMed]
- Cohen, J. A power primer. Psychol. Bull. 1992, 112, 155–159. [Google Scholar] [CrossRef] [PubMed]
- Silva, A.M.; Matias, C.N.; Santos, D.A.; Thomas, D.; Bosy-Westphal, A.; Mu, L.M.; Heymsfield, S.B.; Sardinha, L.B. Compensatory changes in energy balance regulation over one athletic season. Med. Sci. Sports Exerc. 2017, 49, 1229–1235. [Google Scholar] [CrossRef] [PubMed]
- Forbes, G.B. Lean body mass-body fat interrelationships in humans. Nutr. Rev. 1987, 45, 225–231. [Google Scholar] [CrossRef] [PubMed]
- Hall, K.D. What is the required energy deficit per unit weight loss? Int. J. Obes. (Lond.) 2008, 32, 573–576. [Google Scholar] [CrossRef] [PubMed]
- Houston, M.E.; Marrin, D.A.; Green, H.J.; Thomson, J.A. The effect of rapid weight loss on physiological functions in wrestlers. Phys. Sportsmed. 1981, 9, 73–78. [Google Scholar] [CrossRef] [PubMed]
- Tarnopolsky, M.A.; Cipriano, N.; Woodcroft, C.; Pulkkinen, W.J.; Robinson, D.C.; Henderson, J.M.; MacDougall, J.D. Effects of rapid weight loss and wrestling on muscle glycogen concentration. Clin. J. Sport Med. 1996, 6, 78–84. [Google Scholar] [CrossRef] [PubMed]
- Bartok, C.; Schoeller, D.A.; Randall Clark, R.; Sullivan, J.C.; Landry, G.L. The effect of dehydration on wrestling minimum weight assessment. Med. Sci. Sports Exerc. 2004, 36, 160–167. [Google Scholar] [CrossRef] [PubMed]
- Müller, M.J.; Enderle, J.; Pourhassan, M.; Braun, W.; Eggeling, B.; Lagerpusch, M.; Glüer, C.C.; Kehayias, J.J.; Kiosz, D.; Bosy-Westphal, A. Metabolic adaptation to caloric restriction and subsequent refeeding: The minnesota starvation experiment revisited. Am. J. Clin. Nutr. 2015, 102, 807–819. [Google Scholar] [CrossRef] [PubMed]



| PRE | POST | Change | |
|---|---|---|---|
| Age (years) | 20.3 ± 0.5 | - | - |
| Height (cm) | 169.7 ± 3.5 | - | - |
| BM (kg) | 73.7 ± 8.0 | 69.0 ± 7.7 *** | −4.7 ± 0.5 |
| %fat | 12.4 ± 2.5 | 12.3 ± 2.5 | −0.1 ± 0.6 |
| FM (kg) | 9.1 ± 1.9 | 8.5 ± 1.8 ** | −0.6 ± 0.4 |
| FFM (kg) | 64.6 ± 7.4 | 60.5 ± 6.8 *** | −4.1 ± 0.8 |
| TBW (kg) | 46.8 ± 5.6 | 43.5 ± 5.2 *** | −3.4 ± 0.6 |
| TBW (%/kg FFM) | 72.5 ± 0.7 | 71.9 ± 0.6 * | −0.6 ± 0.4 |
| Mo (kg) | 3.2 ± 0.3 | 3.2 ± 0.3 * | 0.0 ± 0.0 |
| Mo (%/kg FFM) | 5.0 ± 0.3 | 5.3 ± 0.4 *** | 0.4 ± 0.0 |
| FFDS (kg) | 14.5 ± 1.6 | 13.8 ± 1.4 ** | −0.8 ± 0.4 |
| FFDS (%/kg FFM) | 22.5 ± 0.5 | 22.8 ± 0.3 | 0.2 ± 0.4 |
| Density of FFM (g/cm3) | 1.094 ± 0.003 | 1.098 ± 0.004 *** | 0.004 ± 0.001 |
| Methods | PRE | POST | Change | |
|---|---|---|---|---|
| %fat | 4C model | 12.4 ± 2.5 | 12.3 ± 2.5 | −0.1 ± 0.6 a |
| 3C model | 12.8 ± 2.4 | 12.5 ± 2.2 | −0.2 ± 0.5 a | |
| DXA | 11.1 ± 1.8 | 11.2 ± 2.1 | 0.1 ± 0.4 a | |
| SID | 13.2 ± 2.7 | 13.9 ± 2.4 ** | 0.7 ± 0.6 a | |
| ADP | 11.7 ± 2.4 | 10.3 ± 2.3 *** | −1.4 ± 0.9 b | |
| BIA | 13.3 ± 2.0 | 10.4 ± 2.5 *** | −2.8 ± 0.9 c | |
| Fat mass (kg) | 4C model | 9.1 ± 1.9 | 8.5 ± 1.8 ** | −0.6 ± 0.4 a |
| 3C model | 9.4 ± 1.9 | 8.6 ± 1.8 *** | −0.7 ± 0.4 a | |
| DXA | 8.2 ± 1.5 | 7.7 ± 1.6 ** | −0.4 ± 0.3 a | |
| SID | 9.7 ± 1.9 | 9.6 ± 1.7 | −0.1 ± 0.4 a | |
| ADP | 8.7 ± 2.2 | 7.2 ± 2.1 *** | −1.5 ± 0.6 b | |
| BIA | 9.8 ± 2.2 | 7.2 ± 2.3 *** | −2.5 ± 0.6 c | |
| Fat free mass (kg) | 4C model | 64.6 ± 7.4 | 60.5 ± 6.8 *** | −4.1 ± 0.8 ab |
| 3C model | 64.3 ± 7.3 | 60.3 ± 6.7 *** | −4.0 ± 0.7 ab | |
| DXA | 65.5 ± 7.2 | 61.3 ± 7.0 *** | −4.3 ± 0.4 ab | |
| SID | 64.0 ± 7.6 | 59.4 ± 7.1 *** | −4.6 ± 0.8 a | |
| ADP | 65.0 ± 7.0 | 61.8 ± 6.3 *** | −3.2 ± 0.8 bc | |
| BIA | 63.5 ± 6.4 | 61.3 ± 6.2 *** | −2.2 ± 0.4 c |
| Baseline | RWL Period | ||
|---|---|---|---|
| Food weight | (g/day) | 3686 ± 1615 | 1464 ± 720 ** |
| Energy intake | (kcal/day) | 3528 ± 829 | 1071 ± 536 *** |
| (kcal/kg BM/day) | 47.9 ± 10.2 | 14.5 ± 6.8 *** | |
| Protein | (g/day) | 125 ± 30 | 38 ± 18 *** |
| (g/kg BM/day) | 1.7 ± 0.4 | 0.5 ± 0.2 *** | |
| (%energy) | 14.2 ± 0.9 | 14.6 ± 2.8 | |
| Fat | (g/day) | 110 ± 24 | 34 ± 20 *** |
| (g/kg BM/day) | 1.5 ± 0.3 | 0.5 ± 0.3 *** | |
| (%energy) | 28.7 ± 5.3 | 28.4 ± 9.3 | |
| Carbohydrate | (g/day) | 509 ± 149 | 154 ± 77 *** |
| (g/kg BM/day) | 6.9 ± 1.9 | 2.1 ± 1.0 *** | |
| (%energy) | 57.1 ± 5.4 | 57.0 ± 11.4 | |
© 2018 by the authors. Licensee MDPI, Basel, Switzerland. This article is an open access article distributed under the terms and conditions of the Creative Commons Attribution (CC BY) license (http://creativecommons.org/licenses/by/4.0/).
Share and Cite
Kondo, E.; Sagayama, H.; Yamada, Y.; Shiose, K.; Osawa, T.; Motonaga, K.; Ouchi, S.; Kamei, A.; Nakajima, K.; Higaki, Y.; et al. Energy Deficit Required for Rapid Weight Loss in Elite Collegiate Wrestlers. Nutrients 2018, 10, 536. https://doi.org/10.3390/nu10050536
Kondo E, Sagayama H, Yamada Y, Shiose K, Osawa T, Motonaga K, Ouchi S, Kamei A, Nakajima K, Higaki Y, et al. Energy Deficit Required for Rapid Weight Loss in Elite Collegiate Wrestlers. Nutrients. 2018; 10(5):536. https://doi.org/10.3390/nu10050536
Chicago/Turabian StyleKondo, Emi, Hiroyuki Sagayama, Yosuke Yamada, Keisuke Shiose, Takuya Osawa, Keiko Motonaga, Shiori Ouchi, Akiko Kamei, Kohei Nakajima, Yasuki Higaki, and et al. 2018. "Energy Deficit Required for Rapid Weight Loss in Elite Collegiate Wrestlers" Nutrients 10, no. 5: 536. https://doi.org/10.3390/nu10050536
APA StyleKondo, E., Sagayama, H., Yamada, Y., Shiose, K., Osawa, T., Motonaga, K., Ouchi, S., Kamei, A., Nakajima, K., Higaki, Y., Tanaka, H., Takahashi, H., & Okamura, K. (2018). Energy Deficit Required for Rapid Weight Loss in Elite Collegiate Wrestlers. Nutrients, 10(5), 536. https://doi.org/10.3390/nu10050536

