Possible Role of CYP450 Generated Omega-3/Omega-6 PUFA Metabolites in the Modulation of Blood Pressure and Vascular Function in Obese Children
Abstract
1. Introduction
2. Materials and Methods
2.1. Patients and Study Design
2.2. Anthropometric, Blood Pressure and Vascular Assessments
2.3. CYP-Derived Eicosanoids Measurement
2.4. Red Blood Cell Membrane Fatty Acids Measurement
2.5. Statistics
3. Results
3.1. Patient Characteristics
3.2. Omega-6 PUFA
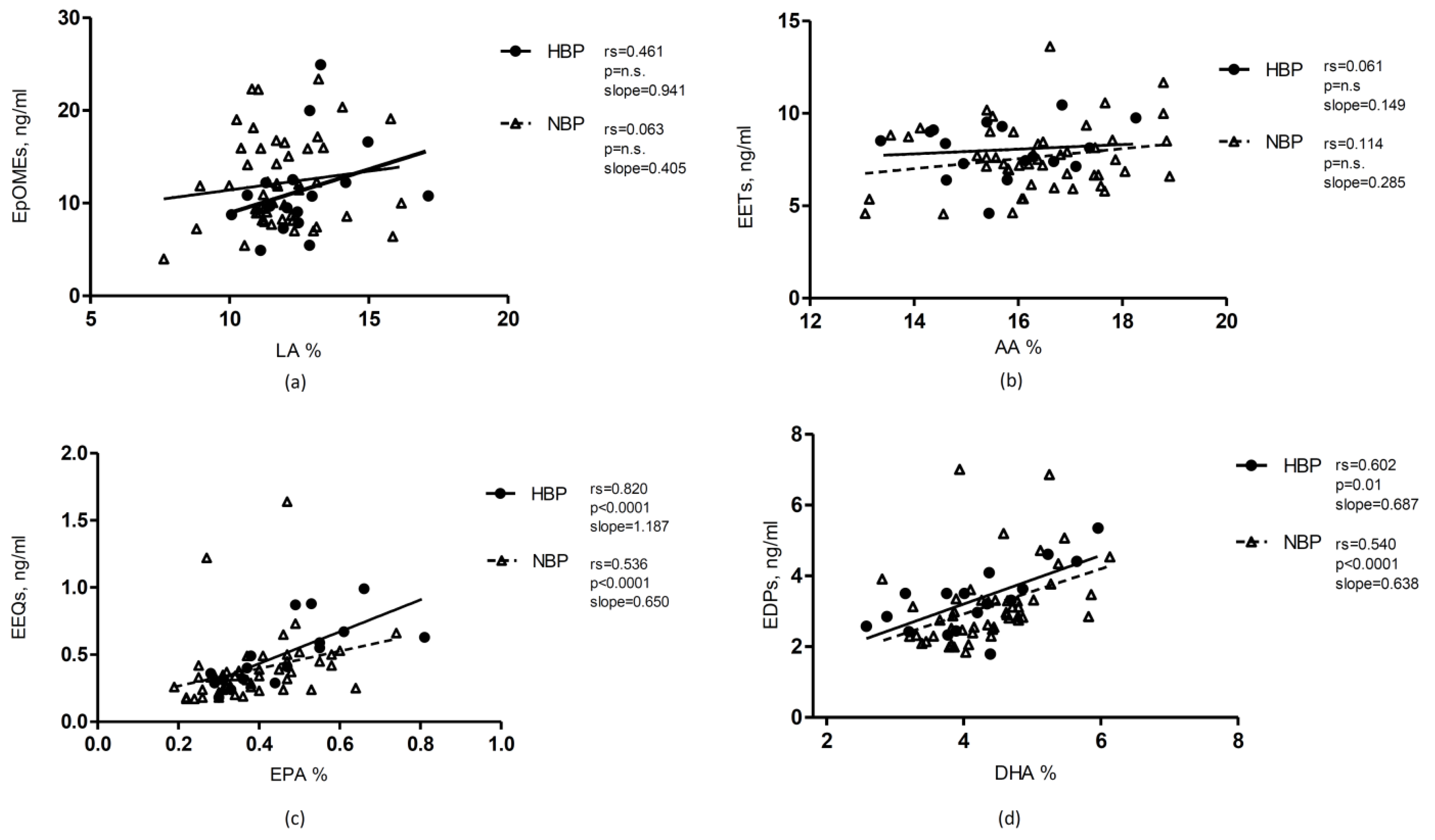
3.2.1. LA and CYP450-Derived Eicosanoids
Associations of LA with Clinical Features and with its Metabolites
CYP450-Derived Eicosanoids of LA and Their Associations with Clinical Features
3.2.2. AA and CYP450-Derived Eicosanoids
Associations of AA with Clinical Features and with Its Metabolites
CYP450-Derived Eicosanoids of AA and Their Associations with Clinical Features
3.3. Omega-3 PUFA
3.3.1. EPA and CYP450-Derived Eicosanoids
Associations of EPA with Clinical Features and with Its Metabolites
CYP450-Derived Eicosanoids of EPA and Their Associations with Clinical Features
3.3.2. DHA and CYP450-Derived Eicosanoids
Associations of DHA with Clinical Features and with Its Metabolites
CYP450-Derived Eicosanoids of EPA and Their Associations with Clinical Features
4. Discussion
Supplementary Materials
Author Contributions
Funding
Acknowledgments
Conflicts of Interest
References
- Daniels, S.R. Complications of obesity in children and adolescents. Int. J. Obes. 2009, 33 (Suppl. 1), S60–S65. [Google Scholar] [CrossRef]
- Bonafini, S.; Fava, C. Omega-3 fatty acids and cytochrome P450-derived eicosanoids in cardiovascular diseases: Which actions and interactions modulate hemodynamics? Prostaglandins Other Lipid Mediat. 2017, 128, 34–42. [Google Scholar] [CrossRef] [PubMed]
- Maffeis, C.; Pinelli, L.; Schutz, Y. Fat intake and adiposity in 8 to 11 year-old obese children. Int. J. Obes. 1996, 20, 170–174. [Google Scholar]
- Anonymous. Dietary supplementation with n-3 polyunsaturated fatty acids and vitamin E after myocardial infarction: Results of the GISSI-Prevenzione trial. Gruppo Italiano per lo Studio della Sopravvivenza nell’Infarto miocardico. Lancet 1999, 354, 447–455. [Google Scholar]
- Miller, P.E.; Van Elswyk, M.; Alexander, D.D. Long-chain omega-3 fatty acids eicosapentaenoic acid and docosahexaenoic acid and blood pressure: A meta-analysis of randomized controlled trials. Am. J. Hypertens. 2014, 27, 885–896. [Google Scholar] [CrossRef] [PubMed]
- Wang, D.D.; Li, Y.; Chiuve, S.E.; Stampfer, M.J.; Manson, J.E.; Rimm, E.B.; Willett, W.C.; Hu, F.B. Association of Specific Dietary Fats with Total and Cause-Specific Mortality. JAMA Intern. Med. 2016, 176, 1134–1145. [Google Scholar] [CrossRef] [PubMed]
- Vanhala, M.; Saltevo, J.; Soininen, P.; Kautiainen, H.; Kangas, A.J.; Ala-Korpela, M.; Mäntyselkä, P. Serum omega-6 polyunsaturated fatty acids and the metabolic syndrome: A longitudinal population-based cohort study. Am. J. Epidemiol. 2012, 176, 253–260. [Google Scholar] [CrossRef] [PubMed]
- Minihane, A.M.; Armah, C.K.; Miles, E.A.; Madden, J.M.; Clark, A.B.; Caslake, M.J.; Packard, C.J.; Kofler, B.M.; Lietz, G.; Curtis, P.J.; et al. Consumption of Fish Oil Providing Amounts of Eicosapentaenoic Acid and Docosahexaenoic Acid That Can Be Obtained from the Diet Reduces Blood Pressure in Adults with Systolic Hypertension: A Retrospective Analysis. J. Nutr. 2016, 146, 516–523. [Google Scholar] [CrossRef] [PubMed]
- Yang, B.; Shi, M.-Q.; Li, Z.-H.; Yang, J.-J.; Li, D. Fish, Long-Chain n-3 PUFA and Incidence of Elevated Blood Pressure: A Meta-Analysis of Prospective Cohort Studies. Nutrients 2016, 8. [Google Scholar] [CrossRef] [PubMed]
- Wang, Q.; Liang, X.; Wang, L.; Lu, X.; Huang, J.; Cao, J.; Li, H.; Gu, D. Effect of omega-3 fatty acids supplementation on endothelial function: A meta-analysis of randomized controlled trials. Atherosclerosis 2012, 221, 536–543. [Google Scholar] [CrossRef] [PubMed]
- Tousoulis, D.; Plastiras, A.; Siasos, G.; Oikonomou, E.; Verveniotis, A.; Kokkou, E.; Maniatis, K.; Gouliopoulos, N.; Miliou, A.; Paraskevopoulos, T.; et al. Omega-3 PUFAs improved endothelial function and arterial stiffness with a parallel antiinflammatory effect in adults with metabolic syndrome. Atherosclerosis 2014, 232, 10–16. [Google Scholar] [CrossRef] [PubMed]
- Pase, M.P.; Grima, N.A.; Sarris, J. Do long-chain n-3 fatty acids reduce arterial stiffness? A meta-analysis of randomised controlled trials. Br. J. Nutr. 2011, 106, 974–980. [Google Scholar] [CrossRef] [PubMed]
- Bonafini, S.; Tagetti, A.; Gaudino, R.; Cavarzere, P.; Montagnana, M.; Danese, E.; Benati, M.; Ramaroli, D.A.D.A.; Raimondi, S.; Giontella, A.; et al. Individual fatty acids in erythrocyte membranes are associated with several features of the metabolic syndrome in obese children. Eur. J. Nutr. 2018. [Google Scholar] [CrossRef] [PubMed]
- Schunck, W.-H.; Konkel, A.; Fischer, R.; Weylandt, K.-H. Therapeutic potential of omega-3 fatty acid-derived epoxyeicosanoids in cardiovascular and inflammatory diseases. Pharmacol. Ther. 2018, 183, 177–204. [Google Scholar] [CrossRef] [PubMed]
- Imig, J.D. Epoxide hydrolase and epoxygenase metabolites as therapeutic targets for renal diseases. Am. J. Physiol. Ren. Physiol. 2005, 289, F496–F503. [Google Scholar] [CrossRef] [PubMed]
- Hercule, H.C.; Schunck, W.-H.H.; Gross, V.; Seringer, J.; Leung, F.P.; Weldon, S.M.; da Costa Goncalves, A.C.; Huang, Y.; Luft, F.C.; Gollasch, M. Interaction between P450 eicosanoids and nitric oxide in the control of arterial tone in mice. Arterioscler. Thromb. Vasc. Biol. 2009, 29, 54–60. [Google Scholar] [CrossRef] [PubMed]
- Cheng, J.; Ou, J.-S.; Singh, H.; Falck, J.R.; Narsimhaswamy, D.; Pritchard, K.A.; Schwartzman, M.L. 20-Hydroxyeicosatetraenoic acid causes endothelial dysfunction via eNOS uncoupling. AJP Heart Circ. Physiol. 2008, 294, H1018–H1026. [Google Scholar] [CrossRef] [PubMed]
- Ishizuka, T.; Cheng, J.; Singh, H.; Vitto, M.D.; Manthati, V.L.; Falck, J.R.; Laniado-Schwartzman, M. 20-Hydroxyeicosatetraenoic acid stimulates nuclear factor-kappaB activation and the production of inflammatory cytokines in human endothelial cells. J. Pharmacol. Exp. Ther. 2008, 324, 103–110. [Google Scholar] [CrossRef] [PubMed]
- Mitchell, L.A.; Grant, D.F.; Melchert, R.B.; Petty, N.M.; Kennedy, R.H. Linoleic acid metabolites act to increase contractility in isolated rat heart. Cardiovasc. Toxicol. 2002, 2, 219–230. [Google Scholar] [CrossRef] [PubMed]
- Moran, J.H.; Nowak, G.; Grant, D.F. Analysis of the toxic effects of linoleic acid, 12,13-cis-epoxyoctadecenoic acid, and 12,13-dihydroxyoctadecenoic acid in rabbit renal cortical mitochondria. Toxicol. Appl. Pharmacol. 2001, 172, 150–161. [Google Scholar] [CrossRef] [PubMed]
- López-Vicario, C.; Alcaraz-Quiles, J.; García-Alonso, V.; Rius, B.; Hwang, S.H.; Titos, E.; Lopategi, A.; Hammock, B.D.; Arroyo, V.; Clària, J. Inhibition of soluble epoxide hydrolase modulates inflammation and autophagy in obese adipose tissue and liver: Role for omega-3 epoxides. Proc. Natl. Acad. Sci. USA 2015, 112, 536–541. [Google Scholar] [CrossRef] [PubMed]
- López-vicario, C.; González-Périz, A.; Rius, B.; Morán-Salvador, E.; García-alonso, V.; Lozano, J.J.; Bataller, R.; Kang, J.X.; Arroyo, V.; Clària, J.; et al. Molecular interplay between Δ5/Δ6 desaturases and long-chain fatty acids in the pathogenesis of non-alcoholic steatohepatitis. Gut 2014, 63, 344–355. [Google Scholar] [CrossRef] [PubMed]
- Agbor, L.N.; Walsh, M.T.; Boberg, J.R.; Walker, M.K. Elevated blood pressure in cytochrome P4501A1 knockout mice is associated with reduced vasodilation to omega-3 polyunsaturated fatty acids. Toxicol. Appl. Pharmacol. 2012, 264, 351–360. [Google Scholar] [CrossRef] [PubMed]
- Ye, D.; Zhang, D.; Oltman, C.; Dellsperger, K.; Lee, H.-C.C.; VanRollins, M. Cytochrome p-450 epoxygenase metabolites of docosahexaenoate potently dilate coronary arterioles by activating large-conductance calcium-activated potassium channels. J. Pharmacol. Exp. Ther. 2002, 303, 768–776. [Google Scholar] [CrossRef] [PubMed]
- Ulu, A.; Stephen Lee, K.S.; Miyabe, C.; Yang, J.; Hammock, B.G.; Dong, H.; Hammock, B.D. An omega-3 epoxide of docosahexaenoic acid lowers blood pressure in angiotensin-II-dependent hypertension. J. Cardiovasc. 2014, 64, 87–99. [Google Scholar] [CrossRef] [PubMed]
- Flynn, J.T.; Kaelber, D.C.; Baker-Smith, C.M.; Blowey, D.; Carroll, A.E.; Daniels, S.R.; de Ferranti, S.D.; Dionne, J.M.; Falkner, B.; Flinn, S.K.; et al. Clinical Practice Guideline for Screening and Management of High Blood Pressure in Children and Adolescents. Pediatrics 2017, e20171904. [Google Scholar] [CrossRef] [PubMed]
- Lurbe, E.; Agabiti-Rosei, E.; Cruickshank, J.K.; Dominiczak, A.; Erdine, S.; Hirth, A.; Invitti, C.; Litwin, M.; Mancia, G.; Pall, D.; et al. 2016 European Society of Hypertension guidelines for the management of high blood pressure in children and adolescents. J. Hypertens. 2016, 34, 1887–1920. [Google Scholar] [CrossRef] [PubMed]
- Wühl, E.; Witte, K.; Soergel, M.; Mehls, O.; Schaefer, F. Distribution of 24-h ambulatory blood pressure in children: Normalized reference values and role of body dimensions. J. Hypertens. 2002, 20, 1995–2007. [Google Scholar] [CrossRef] [PubMed]
- Sharma, A.K.; Metzger, D.L.; Daymont, C.; Hadjiyannakis, S.; Rodd, C.J. LMS tables for waist-circumference and waist-height ratio Z-scores in children aged 5-19 y in NHANES III: Association with cardio-metabolic risks. Pediatr. Res. 2015, 78, 1–7. [Google Scholar] [CrossRef] [PubMed]
- Barlow, S.E. Expert Committee Expert committee recommendations regarding the prevention, assessment, and treatment of child and adolescent overweight and obesity: Summary report. Pediatrics 2007, 120, S16–S249. [Google Scholar] [CrossRef] [PubMed]
- Cole, T.J.; Bellizzi, M.C.; Flegal, K.M.; Dietz, W.H. Establishing a standard definition for child overweight and obesity worldwide: International survey. BMJ 2000, 320, 1240–1243. [Google Scholar] [CrossRef] [PubMed]
- Doyon, A.; Kracht, D.; Bayazit, A.K.; Deveci, M.; Duzova, A.; Krmar, R.T.; Litwin, M.; Niemirska, A.; Oguz, B.; Schmidt, B.M.W.; et al. 4C Study Consortium Carotid artery intima-media thickness and distensibility in children and adolescents: Reference values and role of body dimensions. Hypertension 2013, 62, 550–556. [Google Scholar] [CrossRef] [PubMed]
- Urbina, E.M.; Williams, R.V.; Alpert, B.S.; Collins, R.T.; Daniels, S.R.; Hayman, L.; Jacobson, M.; Mahoney, L.; Mietus-Snyder, M.; Rocchini, A.; et al. American Heart Association Atherosclerosis, Hypertension, and Obesity in Youth Committee of the Council on Cardiovascular Disease in the Young Noninvasive assessment of subclinical atherosclerosis in children and adolescents: Recommendations for standard assessment for clinical research: A scientific statement from the American Heart Association. Hypertension 2009, 54, 919–950. [Google Scholar] [CrossRef] [PubMed]
- Giannarelli, C.; Bianchini, E.; Bruno, R.M.; Magagna, A.; Landini, L.; Faita, F.; Gemignani, V.; Penno, G.; Taddei, S.; Ghiadoni, L. Local carotid stiffness and intima-media thickness assessment by a novel ultrasound-based system in essential hypertension. Atherosclerosis 2012, 223, 372–377. [Google Scholar] [CrossRef] [PubMed]
- Arnold, C.; Markovic, M.; Blossey, K.; Wallukat, G.; Fischer, R.; Dechend, R.; Konkel, A.; von Schacky, C.; Luft, F.C.; Muller, D.N.; et al. Arachidonic acid-metabolizing cytochrome P450 enzymes are targets of {omega}-3 fatty acids. J. Biol. Chem. 2010, 285, 32720–32733. [Google Scholar] [CrossRef] [PubMed]
- Rivera, J.; Ward, N.; Hodgson, J.; Puddey, I.B.; Falck, J.R.; Croft, K.D. Measurement of 20-hydroxyeicosatetraenoic acid in human urine by gas chromatography-mass spectrometry. Clin. Chem. 2004, 50. [Google Scholar] [CrossRef] [PubMed]
- Von Schacky, C. The Omega-3 Index as a risk factor for cardiovascular diseases. Prostaglandins Other Lipid Mediat. 2011, 96, 94–98. [Google Scholar] [CrossRef] [PubMed]
- Harris, W.S.; Von Schacky, C. The Omega-3 Index: A new risk factor for death from coronary heart disease? Prev. Med. 2004, 39, 212–220. [Google Scholar] [CrossRef] [PubMed]
- Geleijnse, J.M.; Giltay, E.J.; Grobbee, D.E.; Donders, A.R.T.; Kok, F.J. Blood pressure response to fish oil supplementation: Metaregression analysis of randomized trials. J. Hypertens. 2002, 20, 1493–1499. [Google Scholar] [CrossRef] [PubMed]
- Bonafini, S.; Antoniazzi, F.; Maffeis, C.; Minuz, P.; Fava, C. Beneficial effects of ω-3 PUFA in children on cardiovascular risk factors during childhood and adolescence. Prostaglandins Other Lipid Mediat. 2015. [Google Scholar] [CrossRef] [PubMed]
- Damsgaard, C.T.; Schack-Nielsen, L.; Michaelsen, K.F.; Fruekilde, M.B.; Hels, O.; Lauritzen, L. Fish oil affects blood pressure and the plasma lipid profile in healthy Danish infants. J. Nutr. 2006, 136, 94–99. [Google Scholar] [CrossRef] [PubMed]
- Damsgaard, C.T.; Eidner, M.B.; Stark, K.D.; Hjorth, M.F.; Sjödin, A.; Andersen, M.R.; Andersen, R.; Tetens, I.; Astrup, A.; Michaelsen, K.F.; Lauritzen, L. Eicosapentaenoic acid and docosahexaenoic acid in whole blood are differentially and sex-specifically associated with cardiometabolic risk markers in 8-11-year-old danish children. PLoS ONE 2014, 9, e109368. [Google Scholar] [CrossRef] [PubMed]
- Capdevila, J.; Wang, W. Role of cytochrome P450 epoxygenase in regulating renal membrane transport and hypertension. Curr. Opin. Nephrol. Hypertens. 2013, 22, 163–169. [Google Scholar] [CrossRef] [PubMed]
- Minuz, P.; Jiang, H.; Fava, C.; Turolo, L.; Tacconelli, S.; Ricci, M.; Patrignani, P.; Morganti, A.; Lechi, A.; McGiff, J.C. Altered release of cytochrome p450 metabolites of arachidonic acid in renovascular disease. Hypertension 2008, 51, 1379–1385. [Google Scholar] [CrossRef] [PubMed]
- Dalle Vedove, F.; Fava, C.; Jiang, H.; Zanconato, G.; Quilley, J.; Brunelli, M.; Guglielmi, V.; Vattemi, G.; Minuz, P. Increased epoxyeicosatrienoic acids and reduced soluble epoxide hydrolase expression in the preeclamptic placenta. J. Hypertens. 2016, 34, 1364–1370. [Google Scholar] [CrossRef] [PubMed]
- Jiang, H.; McGiff, J.C.; Fava, C.; Amen, G.; Nesta, E.; Zanconato, G.; Quilley, J.; Minuz, P. Maternal and fetal epoxyeicosatrienoic acids in normotensive and preeclamptic pregnancies. Am. J. Hypertens. 2013, 26, 271–278. [Google Scholar] [CrossRef] [PubMed]
- Taddei, S.; Versari, D.; Cipriano, A.; Ghiadoni, L.; Galetta, F.; Franzoni, F.; Magagna, A.; Virdis, A.; Salvetti, A. Identification of a cytochrome P450 2C9-derived endothelium-derived hyperpolarizing factor in essential hypertensive patients. J. Am. Coll. Cardiol. 2006, 48, 508–515. [Google Scholar] [CrossRef] [PubMed]
- Halcox, J.P.; Narayanan, S.; Cramer-Joyce, L.; Mincemoyer, R.; Quyyumi, A.A. Characterization of endothelium-derived hyperpolarizing factor in the human forearm microcirculation. Am. J. Physiol. Heart Circ. Physiol. 2001, 280, H2470–H2477. [Google Scholar] [CrossRef] [PubMed]
- Lee, C.R.; Imig, J.D.; Edin, M.L.; Foley, J.; DeGraff, L.M.; Bradbury, J.A.; Graves, J.P.; Lih, F.B.; Clark, J.; Myers, P.; et al. Endothelial expression of human cytochrome P450 epoxygenases lowers blood pressure and attenuates hypertension-induced renal injury in mice. FASEB J. 2010, 24, 3770–3781. [Google Scholar] [CrossRef] [PubMed]
- Virdis, A.; Cetani, F.; Giannarelli, C.; Banti, C.; Ghiadoni, L.; Ambrogini, E.; Carrara, D.; Pinchera, A.; Taddei, S.; Bernini, G.; et al. The Sulfaphenazole-Sensitive Pathway Acts as a Compensatory Mechanism for Impaired Nitric Oxide Availability in Patients with Primary Hyperparathyroidism. Effect of Surgical Treatment. J. Clin. Endocrinol. Metab. 2010, 95, 920–927. [Google Scholar] [CrossRef] [PubMed]
- Morris, M.C.; Sacks, F.; Rosner, B. Does fish oil lower blood pressure? A meta-analysis of controlled trials. Circulation 1993, 88, 523–533. [Google Scholar] [CrossRef] [PubMed]
- Lynes, M.D.; Leiria, L.O.; Lundh, M.; Bartelt, A.; Shamsi, F.; Huang, T.L.; Takahashi, H.; Hirshman, M.F.; Schlein, C.; Lee, A.; et al. The cold-induced lipokine 12,13-diHOME promotes fatty acid transport into brown adipose tissue. Nat. Med. 2017, 23, 631–637. [Google Scholar] [CrossRef] [PubMed]
- Goodfriend, T.L.; Ball, D.L.; Egan, B.M.; Campbell, W.B.; Nithipatikom, K. Epoxy-Keto Derivative of Linoleic Acid Stimulates Aldosterone Secretion. Hypertension 2004, 43, 358–363. [Google Scholar] [CrossRef] [PubMed]
- Caligiuri, S.P.B.; Love, K.; Winter, T.; Gauthier, J.; Taylor, C.G.; Blydt-Hansen, T.; Zahradka, P.; Aukema, H.M. Dietary linoleic acid and α-linolenic acid differentially affect renal oxylipins and phospholipid fatty acids in diet-induced obese rats. J. Nutr. 2013, 143, 1421–1431. [Google Scholar] [CrossRef] [PubMed]
- Hamazaki, K.; Iso, H.; Eshak, E.S.; Ikehara, S.; Ikeda, A.; Iwasaki, M.; Hamazaki, T.; Tsugane, S.; Grp, J.S. Plasma levels of n-3 fatty acids and risk of coronary heart disease among Japanese: The Japan Public Health Center-based (JPHC) study. Atherosclerosis 2018, 272, 226–232. [Google Scholar] [CrossRef] [PubMed]
- Harris, W.S.; Del Gobbo, L.; Tintle, N.L. The Omega-3 Index and relative risk for coronary heart disease mortality: Estimation from 10 cohort studies. Atherosclerosis 2017, 262, 51–54. [Google Scholar] [CrossRef] [PubMed]



| Male (n = 38) | Female (n = 28) | NBP (n = 49) | HBP (n = 17) | |||
|---|---|---|---|---|---|---|
| Variable | Median (Range) | Median (Range) | p-Value * | Median (Range) | Median (Range) | p-Value * |
| Age, years | 11.5 (10.0–14.0) | 11.0 (9.0–13.0) | 0.187 | 12.0 (10.0–13.5) | 11.0 (8.5–12.5) | 0.181 |
| BMI, Kg/m2 | 28.3 (25.4–31.0) | 29.3 (26.1–33.2) | 0.392 | 28.4 (25.7–31.0) | 30.4 (26.7–35.3) | 0.125 |
| BMI percentile | 98.3 (97.2–99.0) | 98.7 (97.8–99.3) | 0.238 | 98.0 (97.3–99.0) | 99.1 (98.3–99.5) | 0.011 |
| Office-SBP, mmHg | 119.0 (112.9–125) | 116.3 (109.8–129) | 0.471 | 117.0 (110.2–110.2) | 123.3 (114.5–133.2) | 0.031 |
| Office-SBP percentile | 83.1 (64.9–94.8) | 79.9 (67.7–96.4) | 0.697 | 77.7 (64.7–93.7) | 95.6 (76.7–99.3) | 0.012 |
| Office-DBP, mmHg | 68.3 (63.3–76.1) | 66.7 (64.1–72.7) | 0.673 | 66.7 (63.7–72) | 75.0 (63.7–77.3) | 0.179 |
| Office-DBP percentile | 65.1 (43.9–80.7) | 66.1 (50.8–77.9) | 0.577 | 64.3 (46.9–76.2) | 83.0 (51.4–87.2) | 0.033 |
| 24 h-SBP, mmHg | 118.0 (114–121) | 112.0 (107–116) | 0.001 ° | 114.0 (109–118) | 121.0 (118.5–128.0) | <0.001 ° |
| 24 h-SBP, percentile | 73.7 (50.6–82.6) | 54.4 (35.3–79.8) | 0.169 | 51.7 (37.8–74.6) | 90.4 (80.0–98.8) | <0.001 ° |
| 24 h-DBP, mmHg | 68.0 (64.0–70.3) | 64.0 (61.3–67.0) | 0.001 ° | 65.0 (62.0–68.5) | 70.0 (65.5–74.5) | 0.002 ° |
| 24 h-DBP, percentile | 57.4 (28.5–74.5) | 34.5 (18.7–50.6) | 0.007 | 35.1 (20.0–57.4) | 69.9 (42.5–94.5) | 0.001 ° |
| cIMT, mm | 0.46 (0.42–0.51) | 0.41 (0.39–0.47) | 0.032 | 0.44 (0.40–0.48) | 0.46 (0.42–0.51) | 0.179 |
| cIMT, percentile | 98.4 (80.3–99.7) | 82.3 (60.4–96.7) | 0.021 | 88.2 (59.6–99.1) | 96.5 (82.2–99.7) | 0.207 |
| cDC, 10−3/Kpa | 39.7 (33.5–46.4) | 43.8 (34.9–48.3) | 0.199 | 42.0 (34.7–48.5) | 37.3 (33.0–42.5) | 0.127 |
| cDC, percentile | 6.4 (2.4–23.2) | 12.8 (2.2–27.0) | 0.249 | 12.3 (2.9–27.0) | 4.2 (2.2–13.2) | 0.110 |
| Glucose, mg/dL | 88.0 (84.0–93.0) | 85.0 (79.0–88.0) | 0.026 | 86.0 (83–90) | 87.0 (82–93.8) | 0.855 |
| Insulin, uU/mL | 18.5 (12.4–27.5) | 17.8 (13.0–28.2) | 0.887 | 17.7 (11.8–27.6) | 24.1 (17.1–30.0) | 0.110 |
| Cholesterol, mg/dL | 160 (139.9–186.8) | 165.0 (134–192) | 0.536 | 165.0 (139–192) | 151.5 (132–173.3) | 0.297 |
| Triglycerides, mg/dL | 79 (55–103.5) | 79 (54–100) | 0.744 | 76.5 (54–99.8) | 87 (59.5–118) | 0.231 |
| FMD, % | 7.7 (5.3–10.2) | 6.2 (3.4–9.6) | 0.403 | 7.4 (4.2–10.2) | 7.6 (3.2–9.8) | 0.682 |
| LA, % | 11.8 (11.1–12.9) | 11.8 (11.1–12.8) | 0.841 | 11.7 (11.0–12.6) | 12.4 (11.4–13.1) | 0.104 |
| AA, % | 16.0 (14.9–17.1) | 16.4 (15.8–17.3) | 0.082 | 16.4 (15.6–17.5) | 15.5 (14.6–16.6) | 0.038 |
| EPA, % | 0.4 (0.3–0.5) | 0.4 (0.3–0.5) | 0.340 | 0.37 (0.30–0.47) | 0.4 (0.3–0.6) | 0.127 |
| DHA, % | 4.3 (3.8–4.7) | 4.4 (3.8–5.0) | 0.425 | 4.4 (3.8–4.8) | 4.2 (3.5–4.8) | 0.367 |
| Omega-3 Index, % | 4.6 (4.1–5.2) | 4.6 (4.3–5.5) | 0.417 | 4.6 (4.2–5.3) | 4.5 (3.9–5.3) | 0.639 |
| EpOMEs, ng/mL | 11.2 (8.2–15.9) | 10.8 (8.7–15.7) | 0.907 | 11.5 (8.4–15.9) | 10.8 (8.3–12.4) | 0.613 |
| DiHOMEs, ng/mL | 7.2 (5.3–9.7) | 6.3 (5.3–8.8) | 0.340 | 6.5 (5.3–9.2) | 7.5 (5.6–9.6) | 0.363 |
| EpOMEs/DiHOMEs | 1.6 (0.9–2.1) | 1.6 (1.3–2.4) | 0.347 | 1.7 (1.3–2.3) | 1.2 (0.8–1.9) | 0.093 |
| EpOMEs+DiHOME | 18.6 (14.0–25.7) | 18.4 (15.3–22.2) | 0.795 | 19.4 (14.8–23.7) | 17.0 (13.4–24.2) | 0.634 |
| EETs, ng/mL | 7.4 (6.6–8.9) | 7.7 (6.8–8.9) | 0.460 | 7.5 (6.6–8.5) | 8.4 (7.2–9.2) | 0.131 |
| DHETs, ng/mL | 4.1 (3.3–4.7) | 4.0 (3.5–4.7) | 0.726 | 4.0 (3.4–4.5) | 4.0 (3.5–5.1) | 0.367 |
| EETs/DHETs | 1.9 (1.6–2.4) | 2.0 (1.6–1.2) | 0.902 | 1.9 (1.6–2.3) | 2.0 (1.6–2.2) | 0.814 |
| EETs+DHETs | 11.7 (10.1–13.3) | 12.1 (10.7–13.2) | 0.448 | 11.8 (10.2–13.0) | 12.7 (10.8–14.3) | 0.110 |
| EEQs, ng/mL | 0.3 (0.2–0.4) | 0.4 (0.3–0.5) | 0.302 | 0.3 (0.2–0.5) | 0.4 (0.3–0.7) | 0.047 |
| DiHETEs, ng/mL | 0.9 (0.7–1.3) | 0.9 (0.7–1.3) | 0.568 | 0.9 (0.7–1.1) | 1.2 (0.9–1.6) | 0.021 |
| EEQs/DiHETEs | 0.33 (0.31–0.38) | 0.42 (0.33–0.54) | 0.004 ° | 0.37 (0.31–0.46) | 0.34 (0.31–0.51) | 0.872 |
| EEQs+DiHETEs | 1.3 (1.0–1.8) | 1.3 (0.9–1.8) | 0.871 | 1.2 (1.0–1.5) | 1.8 (1.2–2.2) | 0.025 |
| EDPs, ng/mL | 2.9 (2.4–3.3) | 3.2 (2.7–4.2) | 0.050 | 2.9 (2.4–3.3) | 3.3 (2.5–3.9) | 0.221 |
| DiHDPAs, ng/mL | 0.9 (0.8–1.0) | 0.9 (0.8–1.1) | 0.399 | 0.9 (0.8–1.1) | 0.9 (0.8–1.1) | 0.665 |
| EDPs/DiHDPAs | 3.3 (2.9–3.6) | 3.6 (2.8–4.3) | 0.186 | 3.4 (2.8–3.8) | 3.2 (3.0–4.2) | 0.878 |
| EDPs+DiHDPAs | 3.8 (3.1–4.3) | 4.3 (3.5–5.3) | 0.044 | 3.8 (3.3–4.4) | 4.3 (3.3–4.9) | 0.238 |
| 20-HETE | 0.74 (0.61–0.86) | 0.64 (0.57–0.87) | 0.459 | 0.7 (0.58–0.84) | 0.83 (0.53–0.91) | 0.553 |
| 22-HDHA | 0.65 (0.44–0.92) | 0.66 (0.41–0.83) | 0.721 | 0.67 (0.42–0.89) | 0.64 (0.43–0.91) | 0.837 |
| Whole Population | NBP | HBP | |
|---|---|---|---|
| LA | |||
| 9,10-EpOME | 0.102 | 0.064 | 0.434 |
| 12,13-EpOME | 0.094 | 0.063 | 0.465 |
| 9,10-DiHOME | 0.438 ^ | 0.311 * | 0.674 ^ |
| 12,13-DiHOME | 0.336 ^ | 0.265 | 0.659 ^ |
| EpOME/DiHOME | −0.292 * | −0.172 | −0.424 |
| EpOME+DiHOME | 0.292 * | 0.234 | 0.718 ^ |
| AA | |||
| 5,6-EET | 0.029 | 0.152 | −0.049 |
| 8,9-EET | 0.061 | 0.162 | −0.064 |
| 11,12-EET | 0.049 | 0.096 | 0.177 |
| 14,15-EET | 0.040 | 0.114 | 0.074 |
| 5,6-DHET | 0.032 | 0.196 | −0.251 |
| 8,9-DHET | 0.105 | 0.201 | −0.051 |
| 11,12-DHET | 0.014 | 0.166 | −0.418 |
| 14,15-DHET | 0.210 | 0.218 | 0.220 |
| EET/DHET | −0.007 | −0.053 | 0.292 |
| EET+DHET | 0.051 | 0.186 | −0.081 |
| EPA | |||
| 8,9-EEQ | 0.434 ^ | 0.267 ° | 0.784 ^,° |
| 11,12-EEQ | 0.575 ^ | 0.482 ^,° | 0.794 ^,° |
| 14,15-EEQ | 0.641 ^ | 0.590 ^,° | 0.808 ^,° |
| 17,18-EEQ | 0.552 ^ | 0.509 ^,° | 0.643 ^,° |
| 5,6-DiHETE | 0.512 ^ | 0.441 ^,° | 0.652 ^,° |
| 8,9-DiHETE | 0.398 ^ | 0.337 *,° | 0.446 |
| 11,12-DiHETE | 0.217 | 0.244 | −0.023 |
| 14,15-DiHETE | 0.464 ^ | 0.393 ^,° | 0.532 *,° |
| 17,18-DiHETE | 0.484 ^ | 0.431 ^ | 0.440 |
| EEQ/DiHETE | 0.228 | 0.138 | 0.521 *,° |
| EEQ+DiHETE | 0.605 ^ | 0.578 ^,° | 0.652 ^ |
| DHA | |||
| 7,8-EDP | 0.482 ^,° | 0.553 ^,° | 0.666 ^° |
| 10,11-EDP | 0.375 ^,° | 0.360 *,° | 0.569 * |
| 13,14-EDP | 0.467 ^,° | 0.515 ^,° | 0.563 * |
| 16,17-EDP | 0.502 ^,° | 0.591 ^,° | 0.546 * |
| 19,20-EDP | 0.456 ^,° | 0.581 ^,° | 0.473 |
| 7,8-DiHDPA | 0.453 ^,° | 0.521 ^,° | 0.324 |
| 10,11-DiHDPA | 0.220 | 0.310 *,° | 0.205 |
| 13,14-DiHDPA | 0.256 *,° | 0.325 *,° | 0.290 |
| 16,17-DiHDPA | 0.386 ^,° | 0.531 ^,° | 0.086 |
| 19,20-DiHDPA | 0.383 ^,° | 0.565 ^,° | 0.010 |
| EDP/DiHDPA | 0.150 | 0.072 | 0.433 |
| EDP+DiHDPA | 0.526 *,° | 0.617 ^,° | 0.575 * |
| LA | AA | EPA | DHA | |
|---|---|---|---|---|
| Whole population | ||||
| Office-SBP, mmHg | −0.091 | −0.070 | 0.035 | 0.090 |
| Office-SBP percentile | 0.002 | 0.002 | −0.049 | −0.094 |
| Office-DBP, mmHg | 0.168 | −0.130 | −0.167 | −0.106 |
| Office-DBP percentile | 0.217 | −0.095 | −0.175 | −0.210 |
| 24 h-SBP, mmHg | 0.096 | −0.329 ^ | 0.154 | 0.016 |
| 24 h-SBP percentile | 0.229 | −0.134 | 0.014 | −0.214 |
| 24 h-DBP, mmHg | 0.171 | −0.222 | −0.069 | −0.140 |
| 24 h-DBP percentile | 0.200 | −0.176 | −0.092 | −0.175 |
| Day-time SBP, mmHg | 0.070 | −0.277 * | 0.172 | 0.043 |
| Day-time SBP, percentile | 0.192 | −0.129 | 0.086 | −0.132 |
| Day-time DBP, mmHg | 0.136 | −0.132 | −0.075 | −0.142 |
| Day-time DBP, percentile | 0.136 | −0.092 | −0.084 | −0.142 |
| Night-time SBP, mmHg | 0.066 | −0.327 ^ | 0.154 | −0.001 |
| Night-time SBP, percentile | 0.213 | −0.178 | 0.051 | −0.121 |
| Night-time DBP, mmHg | 0.145 | −0.359 ^ | 0.014 | −0.046 |
| Night-time DBP, percentile | 0.159 | −0.353 ^ | 0.043 | −0.040 |
| HBP | ||||
| Office-SBP, mmHg | 0.013 | 0.088 | −0.639 ^ | −0.050 |
| Office-SBP percentile | 0.017 | 0.172 | −0.609 ^ | −0.113 |
| Office-DBP, mmHg | 0.206 | −0.136 | −0.564 * | −0.377 |
| Office-DBP percentile | 0.218 | 0.083 | −0.668^ | −0.157 |
| 24 h-SBP, mmHg | −0.425 | 0.220 | −0.111 | 0.236 |
| 24 h-SBP percentile | −0.279 | 0.387 | −0.043 | 0.250 |
| 24 h-DBP, mmHg | −0.278 | −0.205 | −0.251 | 0.010 |
| 24 h-DBP percentile | −0.228 | −0.184 | −0.269 | −0.012 |
| Day-time SBP, mmHg | −0.433 | 0.055 | 0.013 | 0.257 |
| Day-time SBP, percentile | −0.277 | 0.306 | 0.037 | 0.257 |
| Day-time DBP, mmHg | −0.263 | −0.167 | −0.164 | 0.001 |
| Day-time DBP, percentile | −0.252 | −0.142 | −0.188 | 0.015 |
| Night-time SBP, mmHg | −0.413 | 0.319 | −0.225 | 0.172 |
| Night-time SBP, percentile | −0.193 | 0.466 | −0.029 | 0.076 |
| Night-time DBP, mmHg | −0.258 | −0.182 | −0.427 | −0.021 |
| Night-time DBP, percentile | −0.228 | −0.191 | −0.426 | −0.049 |
| NBP | ||||
| Office-SBP, mmHg | −0.180 | −0.034 | 0.169 | 0.188 |
| Office-SBP percentile | −0.087 | 0.042 | 0.063 | −0.050 |
| Office-DBP, mmHg | 0.089 | −0.144 | −0.049 | 0.025 |
| Office-DBP percentile | 0.128 | −0.111 | −0.079 | −0.125 |
| 24 h-SBP, mmHg | 0.059 | −0.325 * | 0.060 | 0.057 |
| 24 h-SBP percentile | 0.217 | −0.037 | −0.163 | −0.311 * |
| 24 h-DBP, mmHg | 0.233 | −0.221 | −0.131 | −0.151 |
| 24 h-DBP percentile | 0.268 | −0.172 | −0.159 | −0.196 |
| Day-time SBP, mmHg | 0.062 | −0.268 | 0.092 | 0.067 |
| Day-time SBP, percentile | 0.184 | −0.069 | −0.058 | −0.160 |
| Day-time DBP, mmHg | 0.208 | −0.124 | −0.136 | −0.176 |
| Day-time DBP, percentile | 0.209 | −0.060 | −0.147 | −0.176 |
| Night-time SBP, mmHg | 0.052 | −0.335 * | 0.090 | 0.025 |
| Night-time SBP, percentile | 0.249 | −0.154 | −0.042 | −0.212 |
| Night-time DBP, mmHg | 0.229 | −0.340 * | −0.044 | −0.025 |
| Night-time DBP, percentile | 0.251 | −0.333 * | −0.027 | −0.035 |
| Office SBP, mmHg | Office DBP, mmHg | 24-h SBP, mmHg | 24-h DBP, mmHg | Day-time SBP, mmHg | Day-time DBP, mmHg | Night-time SBP, mmHg | Night-time DBP, mmHg | |
|---|---|---|---|---|---|---|---|---|
| Whole population | ||||||||
| EpOMEtot | −0.092 | 0.070 | −0.025 | 0.069 | −0.045 | 0.073 | −0.086 | −0.019 |
| DiHOME tot | −0.060 | 0.279 * 9,10-DiHOME 0.319 ^ | 0.031 | 0.149 | −0.053 | 0.052 | 0.103 | 0.252 * 9,10-DiHOME 0.256 * |
| EET tot | 0.060 | −0.008 | 0.019 | 0.037 | 0.004 | 0.040 | 0.017 | −0.044 |
| DHET tot | 0.142 | 0.052 | 0.036 | 0.006 | 0.077 | 0.050 | 0.012 | −0.020 |
| EEQ tot | −0.120 | −0.211 8,9-EEQ −0.307 * | 0.045 | 0.030 | 0.038 | 0.021 | 0.052 | −0.076 |
| DiHETE tot | −0.069 | −0.171 | 0.117 | 0.109 | 0.131 | 0.058 | 0.080 | 0.112 |
| EDP tot | −0.128 | −0.180 | −0.013 | −0.077 | 0.001 | −0.067 | −0.076 | −0.140 |
| DiHDPA tot | −0.035 | −0.077 | −0.028 | −0.086 | 0.030 | −0.054 | −0.161 | −0.134 |
| HBP | ||||||||
| EpOME tot | −0.256 | −0.094 | −0.315 | −0.291 | −0.428 | −0.380 | −0.271 | 0.068 |
| DiHOME tot | −0.104 | 0.232 | −0.252 | −0.098 | −0.363 | −0.123 | −0.266 | 0.037 |
| EET tot | −0.108 | −0.287 | −0.211 | 0.071 | −0.087 | 0.183 | −0.311 | 0.106 |
| DHET tot | −0.016 | −0.109 | −0.034 | −0.050 | 0.112 | 0.046 | −0.102 | −0.047 |
| EEQ tot | −0.539 * 11,12-EEQ −0.694 ^ 17,18-EEQ −0.584 * | −0.299 | −0.276 11,12-EEQ −0.492 * | −0.117 | −0.080 | −0.038 | −0.439 11,12-EEQ −0.559 * 17,18-EEQ −0.615 ^ | −0.216 |
| DiHETE tot | −0.437 17,18-DiHETE −0.578 * | −0.120 | −0.233 17,18-DiHETE −0.512 * | 0.142 | −0.076 | 0.205 | −0.348 17,18-DiHETE −0.492 * | 0.089 |
| EDP tot | −0.229 7,8-EDP −0.574 * 10,11-EDP −0.506 * 16-17-EDP−0.539 * | −0.526* | −0.120 | −0.284 | −0.010 | −0.205 | −0.361 | −0.240 |
| DiHDPA tot | −0.090 | −0.382 | 0.093 | −0.183 | 0.277 | −0.070 | −0.195 | −0.350 |
| NBP | ||||||||
| EpOME tot | −0.048 | 0.148 | 0.065 | 0.147 | 0.070 | 0.206 | −0.049 | −0.033 |
| DiHOME tot | −0.094 | 0.281 9,10-DiHOME 0.319 * | 0.027 | 0.158 | −0.054 | 0.062 | 0.141 | 0.313 * 9,10-DiHOME 0.312 * |
| EET tot | 0.057 | −0.003 | −0.029 | −0.076 | −0.043 | −0.064 | −0.121 | −0.264 8,9-EET −0.332 * |
| DHET tot | 0.189 | 0.104 | −0.013 | 0.013 | 0.025 | 0.034 | −0.071 | −0.044 |
| EEQ tot | −0.080 | −0.143 | −0.073 | −0.024 | −0.070 | −0.013 | −0.104 | −0.279 14,15-EEQ −0.297 * |
| DiHETE tot | −0.065 | −0.211 11,12-DiHETE −0.339 * | −0.003 | −0.018 | 0.023 | −0.089 | −0.095 | −0.086 |
| EDP tot | −0.156 | −0.090 | −0.078 | −0.084 | −0.059 | −0.072 | −0.251 19,20-EDP −0.303 * | −0.259 |
| DiHDPA tot | −0.018 | −0.009 | −0.094 | −0.068 | −0.050 | −0.067 | −0.280 | −0.143 |
| cIMT | cIMT, (Percentile) | DC | DC, (Percentile) | FMD, % | |
|---|---|---|---|---|---|
| Whole population | |||||
| LA | 0.112 | 0.143 | 0.119 | 0.094 | −0.150 |
| AA | −0.142 | −0.097 | 0.108 | 0.063 | −0.005 |
| EPA | −0.212 | −0.305 * | −0.067 | −0.015 | 0.176 |
| DHA | −0.071 | −0.170 | −0.106 | −0.053 | 0.139 |
| EpOMEs | 0.069 | 0.064 | 0.120 | 0.140 | −0.141 |
| DiHOMEs | −0.083 | −0.077 | 0.095 | 0.085 | −0.155 |
| EETs | 0.093 | 0.084 | 0.072 | 0.073 | −0.185 |
| DHETs | −0.070 | −0.045 | −0.058 | −0.052 | −0.049 |
| EEQs | −0.184 | −0.230 14,15-EEQ −0.279 * 17,18-EEQ −0.263 * | 0.069 | 0.096 | −0.008 |
| DiHETEs | 0.008 | −0.026 | 0.012 | 0.024 | 0.176 |
| EDPs | −0.082 | −0.119 | 0.136 | 0.147 | −0.158 |
| DiHDPAs | −0.171 | −0.206 | 0.091 | 0.121 | −0.101 |
| HBP | |||||
| LA | −0.121 | −0.025 | 0.175 | 0.207 | −0.400 |
| AA | −0.172 | −0.174 | 0.011 | −0.039 | −0.121 |
| EPA | −0.304 | −0.378 | 0.432 | 0.407 | 0.268 |
| DHA | 0.027 | −0.002 | −0.121 | −0.136 | −0.146 |
| EpOMEs | −0.063 | 0.034 | 0.050 | 0.093 | −0.050 |
| DiHOMEs | 0.067 | 0.071 | −0.132 | −0.132 | 0.004 |
| EETs | −0.231 | −0.061 | 0.314 | 0.214 | 0.118 |
| DHETs | −0.301 | −0.273 | 0.155 | 0.071 | 0.296 |
| EEQs | −0.605 * 8;9-EEQ −0.493 * 14;15-EEQ −0.609 ^ 17;18-EEQ −0.615* | −0.620 ^ 8;9-EEQ −0.539 * 14;15-EEQ −0.657 ^ 17;18-EEQ −0.637 ^ | 0.374 11;12-EEQ 0.575 * | 0.388 11;12-EEQ 0.582 * | 0.288 |
| DiHETEs | −0.354 5;6-DiHETE −0.559 * | −0.323 5;6-DiHETE −0.577 * | 0.290 | 0.209 | 0.375 5;6-DiHETE −0.576 * |
| EDPs | −0.098 | 0.002 | 0.312 | 0.237 | −0.220 |
| DiHDPAs | −0.114 | −0.104 | 0.148 | 0.086 | −0.091 |
| NBP | |||||
| LA | 0.142 | 0.181 | 0.132 | 0.108 | −0.082 |
| AA | −0.067 | −0.016 | 0.088 | 0.043 | 0.029 |
| EPA | −0.243 | −0.359 * | −0.174 | −0.099 | 0.137 |
| DHA | −0.097 | −0.217 | −0.137 | −0.061 | 0.248 |
| EpOMEs | 0.095 | 0.078 | 0.107 | 0.140 | −0.189 |
| DiHOMEs | −0.163 | −0.145 | 0.196 | 0.186 | −0.209 |
| EETs | 0.159 | 0.101 | 0.032 | 0.068 | −0.272 |
| DHETs | 0.010 | 0.025 | −0.103 | −0.091 | −0.165 |
| EEQs | −0.162 | −0.235 14,15-EEQ −0.308 * | 0.013 | 0.046 | −0.116 |
| DiHETEs | 0.050 | −0.014 | −0.024 | 0.019 | 0.155 |
| EDPs | −0.185 | −0.247 19,20-EDP −0.296 * | 0.081 | 0.121 | −0.067 |
| DiHDPAs | 0.223 | 0.259 | 0.195 | 0.180 | −0.095 |
© 2018 by the authors. Licensee MDPI, Basel, Switzerland. This article is an open access article distributed under the terms and conditions of the Creative Commons Attribution (CC BY) license (http://creativecommons.org/licenses/by/4.0/).
Share and Cite
Bonafini, S.; Giontella, A.; Tagetti, A.; Marcon, D.; Montagnana, M.; Benati, M.; Gaudino, R.; Cavarzere, P.; Karber, M.; Rothe, M.; et al. Possible Role of CYP450 Generated Omega-3/Omega-6 PUFA Metabolites in the Modulation of Blood Pressure and Vascular Function in Obese Children. Nutrients 2018, 10, 1689. https://doi.org/10.3390/nu10111689
Bonafini S, Giontella A, Tagetti A, Marcon D, Montagnana M, Benati M, Gaudino R, Cavarzere P, Karber M, Rothe M, et al. Possible Role of CYP450 Generated Omega-3/Omega-6 PUFA Metabolites in the Modulation of Blood Pressure and Vascular Function in Obese Children. Nutrients. 2018; 10(11):1689. https://doi.org/10.3390/nu10111689
Chicago/Turabian StyleBonafini, Sara, Alice Giontella, Angela Tagetti, Denise Marcon, Martina Montagnana, Marco Benati, Rossella Gaudino, Paolo Cavarzere, Mirjam Karber, Michael Rothe, and et al. 2018. "Possible Role of CYP450 Generated Omega-3/Omega-6 PUFA Metabolites in the Modulation of Blood Pressure and Vascular Function in Obese Children" Nutrients 10, no. 11: 1689. https://doi.org/10.3390/nu10111689
APA StyleBonafini, S., Giontella, A., Tagetti, A., Marcon, D., Montagnana, M., Benati, M., Gaudino, R., Cavarzere, P., Karber, M., Rothe, M., Minuz, P., Antoniazzi, F., Maffeis, C., Schunck, W. H., & Fava, C. (2018). Possible Role of CYP450 Generated Omega-3/Omega-6 PUFA Metabolites in the Modulation of Blood Pressure and Vascular Function in Obese Children. Nutrients, 10(11), 1689. https://doi.org/10.3390/nu10111689

