Using Sentinel-2 Data for Retrieving LAI and Leaf and Canopy Chlorophyll Content of a Potato Crop
Abstract
:1. Introduction
2. Material and Methods
2.1. Study Site
2.2. Field Radiometry
2.3. Sentinel-2
3. Results and Discussion
3.1. Sentinel-2 Temporal Profiles
3.2. LAI Estimation
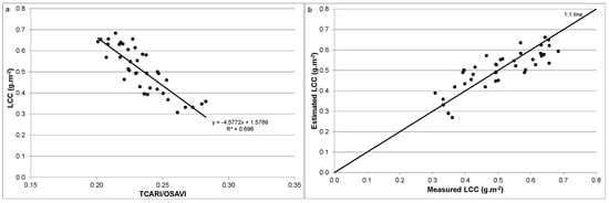
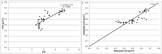
3.3. LCC Estimation
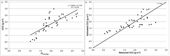
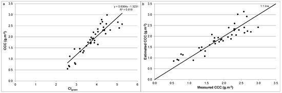
3.4. CCC Estimation
3.5. Spatial Patterns
4. Conclusions
Acknowledgments
Author Contributions
Conflicts of Interest
References
- Houborg, R.; Fisher, J.B.; Skidmore, A.K. Advances in remote sensing of vegetation function and traits. Int. J. Appl. Earth Obs. Geoinf. 2015, 43, 1–6. [Google Scholar] [CrossRef]
- Van Evert, F.K.; Booij, R.; Jukema, J.N.; ten Berge, H.F.M.; Uenk, D.; Meurs, E.J.J.B.; van Geel, W.C.A.; Wijnholds, K.H.; Slabbekoorn, J.J.H. Using crop reflectance to determine sidedress N rate in potato saves N and maintains yield. Eur. J. Agron. 2012, 43, 58–67. [Google Scholar] [CrossRef]
- Elarab, M.; Ticlavilca, A.M.; Torres-Rua, A.F.; Maslova, I.; McKee, M. Estimating chlorophyll with thermal and broadband multispectral high resolution imagery from an unmanned aerial system using relevance vector machines for precision agriculture. Int. J. Appl. Earth Obs. Geoinf. 2015, 43, 32–42. [Google Scholar] [CrossRef]
- Mulla, D.J. Twenty five years of remote sensing in precision agriculture: Key advances and remaining knowledge gaps. Biosyst. Eng. 2013, 114, 358–371. [Google Scholar] [CrossRef]
- Daughtry, C.S.T.; Walthall, C.L.; Kim, M.S.; de Colstoun, E.B.; McMurtrey, J.E., III. Estimating corn leaf chlorophyll concentration from leaf and canopy reflectance. Remote Sens. Environ. 2000, 74, 229–239. [Google Scholar] [CrossRef]
- Clevers, J.G.P.W.; Kooistra, L. Using hyperspectral remote sensing data for retrieving canopy chlorophyll and nitrogen content. IEEE J. Sel. Top. Appl. Earth Obs. Remote Sens. 2012, 5, 574–583. [Google Scholar] [CrossRef]
- Clevers, J.G.P.W. The application of a weighted infrared-red vegetation index for estimating leaf area index by correcting for soil moisture. Remote Sens. Environ. 1989, 29, 25–37. [Google Scholar] [CrossRef]
- Bouman, B.A.M.; Van Kasteren, H.W.J.; Uenk, D. Standard relations to estimate ground cover and LAI of agricultural crops from reflectance measurements. Eur. J. Agron. 1992, 1, 249–262. [Google Scholar] [CrossRef]
- Kooistra, L.; Clevers, J.G.P.W. Estimating potato leaf chlorophyll content using ratio vegetation indices. Remote Sens. Lett. 2016, 7, 611–620. [Google Scholar] [CrossRef]
- Haboudane, D.; Miller, J.R.; Tremblay, N.; Zarco-Tejada, P.J.; Dextraze, L. Integrated narrow-band vegetation indices for prediction of crop chlorophyll content for application to precision agriculture. Remote Sens. Environ. 2002, 81, 416–426. [Google Scholar] [CrossRef]
- Vincini, M.; Frazzi, E.; D’Alessio, P. A broad-band leaf chlorophyll vegetation index at the canopy scale. Precis. Agric. 2008, 9, 303–319. [Google Scholar] [CrossRef]
- Gitelson, A.A.; Gritz, Y.; Merzlyak, M.N. Relationships between leaf chlorophyll content and spectral reflectance and algorithms for non-destructive chlorophyll assessment in higher plant leaves. J. Plant Physiol. 2003, 160, 271–282. [Google Scholar] [CrossRef] [PubMed]
- Clevers, J.G.P.W.; Gitelson, A.A. Remote estimation of crop and grass chlorophyll and nitrogen content using red-edge bands on sentinel-2 and -3. Int. J. Appl. Earth Obs. Geoinf. 2013, 23, 344–351. [Google Scholar] [CrossRef]
- Stoorvogel, J.J.; Kooistra, L.; Bouma, J. Managing soil variability at different spatial scales as a basis for precision agriculture. In Soil-Specific Farming: Precision Agriculture; Lal, R., Stewart, B.A., Eds.; CRC Press: Boca Raton, FL, USA, 2016; pp. 37–72. [Google Scholar]
- Uddling, J.; Gelang-Alfredsson, J.; Piikki, K.; Pleijel, H. Evaluating the relationship between leaf chlorophyll concentration and SPAD-502 chlorophyll meter readings. Photosynth. Res. 2007, 91, 37–46. [Google Scholar] [CrossRef] [PubMed]
- Drusch, M.; Del Bello, U.; Carlier, S.; Colin, O.; Fernandez, V.; Gascon, F.; Hoersch, B.; Isola, C.; Laberinti, P.; Martimort, P.; et al. Sentinel-2: ESA’s optical high-resolution mission for GMES operational services. Remote Sens. Environ. 2012, 120, 25–36. [Google Scholar] [CrossRef]
- Delegido, J.; Verrelst, J.; Alonso, L.; Moreno, J. Evaluation of sentinel-2 red-edge bands for empirical estimation of green LAI and chlorophyll content. Sensors 2011, 11, 7063–7081. [Google Scholar] [CrossRef] [PubMed]
- Dash, J.; Curran, P.J. The MERIS terrestrial chlorophyll index. Int. J. Remote Sens. 2004, 25, 5403–5413. [Google Scholar] [CrossRef]
- Gitelson, A.A.; Viña, A.; Ciganda, V.; Rundquist, D.C.; Arkebauer, T.J. Remote estimation of canopy chlorophyll content in crops. Geophys. Res. Lett. 2005, 32, L08403. [Google Scholar] [CrossRef]
- Louis, J.; Debaecker, V.; Pflug, B.; Main-Knorn, M.; Bieniarz, J.; Mueller-Wilm, U.; Cadau, E.; Gascon, F. Sentinel-2 SEN2COR: L2A Processor for Users; (Special Publication) ESA SP-740; European Space Agency: Prague, Czech Repubic, 2016. [Google Scholar]
- Richter, R.; Schläpfer, D. Geo-atmospheric processing of airborne imaging spectrometry data. Part 2: Atmospheric/topographic correction. Int. J. Remote Sens. 2002, 23, 2631–2649. [Google Scholar] [CrossRef]
- Gitelson, A.A.; Merzlyak, M.N. Signature analysis of leaf reflectance spectra: Algorithm development for remote sensing of chlorophyll. J. Plant Physiol. 1996, 148, 494–500. [Google Scholar] [CrossRef]
- Immitzer, M.; Vuolo, F.; Atzberger, C. First experience with Sentinel-2 data for crop and tree species classifications in central Europe. Remote Sens. 2016, 8, 166. [Google Scholar] [CrossRef]
- Al-Gaadi, K.A.; Hassaballa, A.A.; Tola, E.; Kayad, A.G.; Madugundu, R.; Alblewi, B.; Assiri, F. Prediction of potato crop yield using precision agriculture techniques. PLoS ONE 2016, 11, e0162219. [Google Scholar] [CrossRef] [PubMed]











| Plot | Initial Fertilization (N kg·ha−1) | 28 June (N kg·ha−1) | 7 July (K kg·ha−1) | 15 July (N kg·ha−1) | 9 August (N kg·ha−1) |
|---|---|---|---|---|---|
| A | 40 | 0 | 60 | 0 | 0 |
| B | 40 | 42 | 60 | 30 | 45 |
| C | 0 | 0 | 60 | 0 | 0 |
| D | 0 | 140 | 60 | 30 | 34 |
| E | 70 | 0 | 60 | 0 | 0 |
| F | 70 | 0 | 60 | 49 | 47 |
| G | 25 | 0 | 100 | 0 | 0 |
| H | 25 | 84 | 60 | 38 | 28 |
| I | 0 | 0 | 300 | 50 | 27 |
| J | 0 | 269 | 0 | 30 | 26 |
| Index | Formulation | Reference |
|---|---|---|
| WDVI | with C = | [7] |
| TCARI/OSAVI | [10] | |
| CVI | [11] | |
| CIred-edge | [12] | |
| CIgreen | [12] |
| Center Wavelength (nm) | Band Width (nm) |
|---|---|
| 490 | 7.3 |
| 530 | 8.5 |
| 550 | 9.2 |
| 570 | 9.7 |
| 670 | 11 |
| 700 | 12 |
| 710 | 12 |
| 740 | 13 |
| 750 | 13 |
| 780 | 11 |
| 870 | 12 |
| 940 | 13 |
| 950 | 13 |
| 1000 | 15 |
| 1050 | 15 |
| 1650 | 200 |
| Spectral Band | Center Wavelength (nm) | Band Width (nm) | Spatial Resolution (m) |
|---|---|---|---|
| B1 | 443 | 20 | 60 |
| B2 | 490 | 65 | 10 |
| B3 | 560 | 35 | 10 |
| B4 | 665 | 30 | 10 |
| B5 | 705 | 15 | 20 |
| B6 | 740 | 15 | 20 |
| B7 | 783 | 20 | 20 |
| B8 | 842 | 115 | 10 |
| B8a | 865 | 20 | 20 |
| B9 | 945 | 20 | 60 |
| B10 | 1380 | 30 | 60 |
| B11 | 1610 | 90 | 20 |
| B12 | 2190 | 180 | 20 |
| Date | Orbit | Solar Zenith Angle (°) | Solar Azimuth Angle (°) | View Zenith Angle (°) | View Azimuth Angle (°) |
|---|---|---|---|---|---|
| 8 May 2016 | 8 | 35.44 | 159.56 | 8.00 | 99.98 |
| 7 June 2016 | 8 | 30.22 | 155.94 | 8.04 | 99.99 |
| 10 July 2016 | 51 | 30.65 | 157.81 | 5.61 | 279.37 |
| 20 July 2016 | 51 | 32.27 | 158.19 | 5.63 | 279.41 |
| 16 August 2016 | 8 | 39.52 | 158.02 | 8.01 | 99.96 |
| 26 August 2016 | 8 | 42.64 | 160.08 | 8.00 | 99.96 |
| 8 September 2016 | 51 | 46.66 | 166.20 | 5.65 | 279.41 |
| 25 September 2016 | 8 | 53.29 | 166.18 | 8.11 | 99.99 |
| 5 October 2016 | 8 | 57.01 | 167.82 | 8.11 | 99.99 |
| Date | WDV–LAI | TCARI/OSAVI–LCC | CVI–LCC | CIred-edge–CCC | CIgreen–CCC |
|---|---|---|---|---|---|
| 7 June 2016 | 0.708 | 0.501 | 0.412 | 0.903 | 0.903 |
| 10 July 2016 | 0.920 | 0.668 | 0.816 | 0.778 | 0.857 |
| 20 July 2016 | 0.875 | 0.650 | 0.636 | 0.845 | 0.906 |
| 16 August 2016 | 0.916 | 0.742 | 0.711 | 0.932 | 0.634 |
| 4 dates combined | 0.809 | 0.696 | 0.656 | 0.576 | 0.818 |
© 2017 by the authors. Licensee MDPI, Basel, Switzerland. This article is an open access article distributed under the terms and conditions of the Creative Commons Attribution (CC BY) license (http://creativecommons.org/licenses/by/4.0/).
Share and Cite
Clevers, J.G.P.W.; Kooistra, L.; Van den Brande, M.M.M. Using Sentinel-2 Data for Retrieving LAI and Leaf and Canopy Chlorophyll Content of a Potato Crop. Remote Sens. 2017, 9, 405. https://doi.org/10.3390/rs9050405
Clevers JGPW, Kooistra L, Van den Brande MMM. Using Sentinel-2 Data for Retrieving LAI and Leaf and Canopy Chlorophyll Content of a Potato Crop. Remote Sensing. 2017; 9(5):405. https://doi.org/10.3390/rs9050405
Chicago/Turabian StyleClevers, Jan G. P. W., Lammert Kooistra, and Marnix M. M. Van den Brande. 2017. "Using Sentinel-2 Data for Retrieving LAI and Leaf and Canopy Chlorophyll Content of a Potato Crop" Remote Sensing 9, no. 5: 405. https://doi.org/10.3390/rs9050405
APA StyleClevers, J. G. P. W., Kooistra, L., & Van den Brande, M. M. M. (2017). Using Sentinel-2 Data for Retrieving LAI and Leaf and Canopy Chlorophyll Content of a Potato Crop. Remote Sensing, 9(5), 405. https://doi.org/10.3390/rs9050405

