Aerosol Retrieval Sensitivity and Error Analysis for the Cloud and Aerosol Polarimetric Imager on Board TanSat: The Effect of Multi-Angle Measurement
Abstract
:1. Introduction
2. Description of the Forward Model
2.1. The Linearized Aerosol Scattering Model
2.2. The Rayleigh Scattering and Gas Absorption Model
2.3. The Surface Model
2.4. The Radiative Transfer Model
3. Retrieval Method
3.1. Optimal Estimation Theory and Retrieval Error Analysis Method
3.2. The State Vector and A Priori Uncertainty
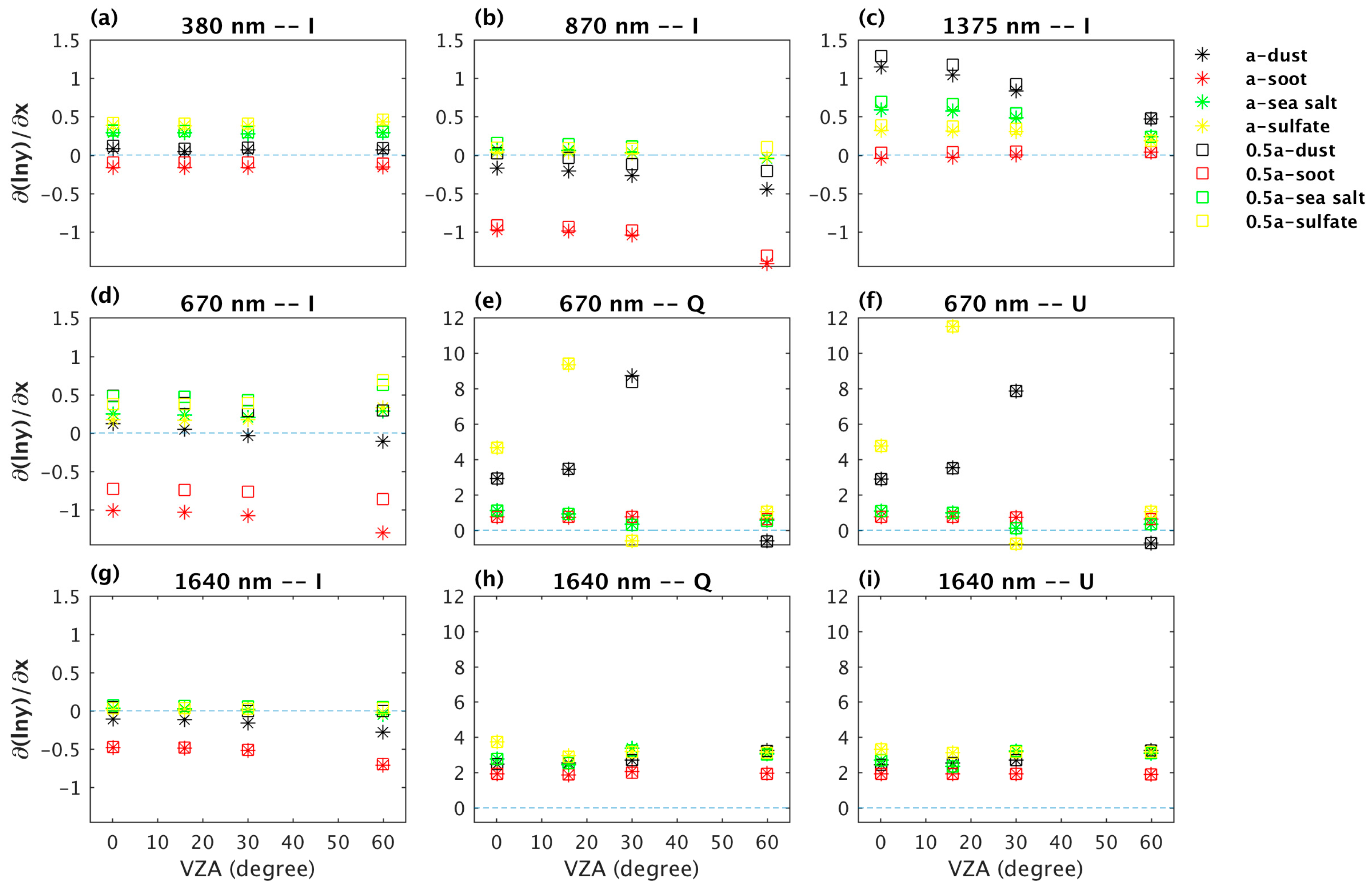
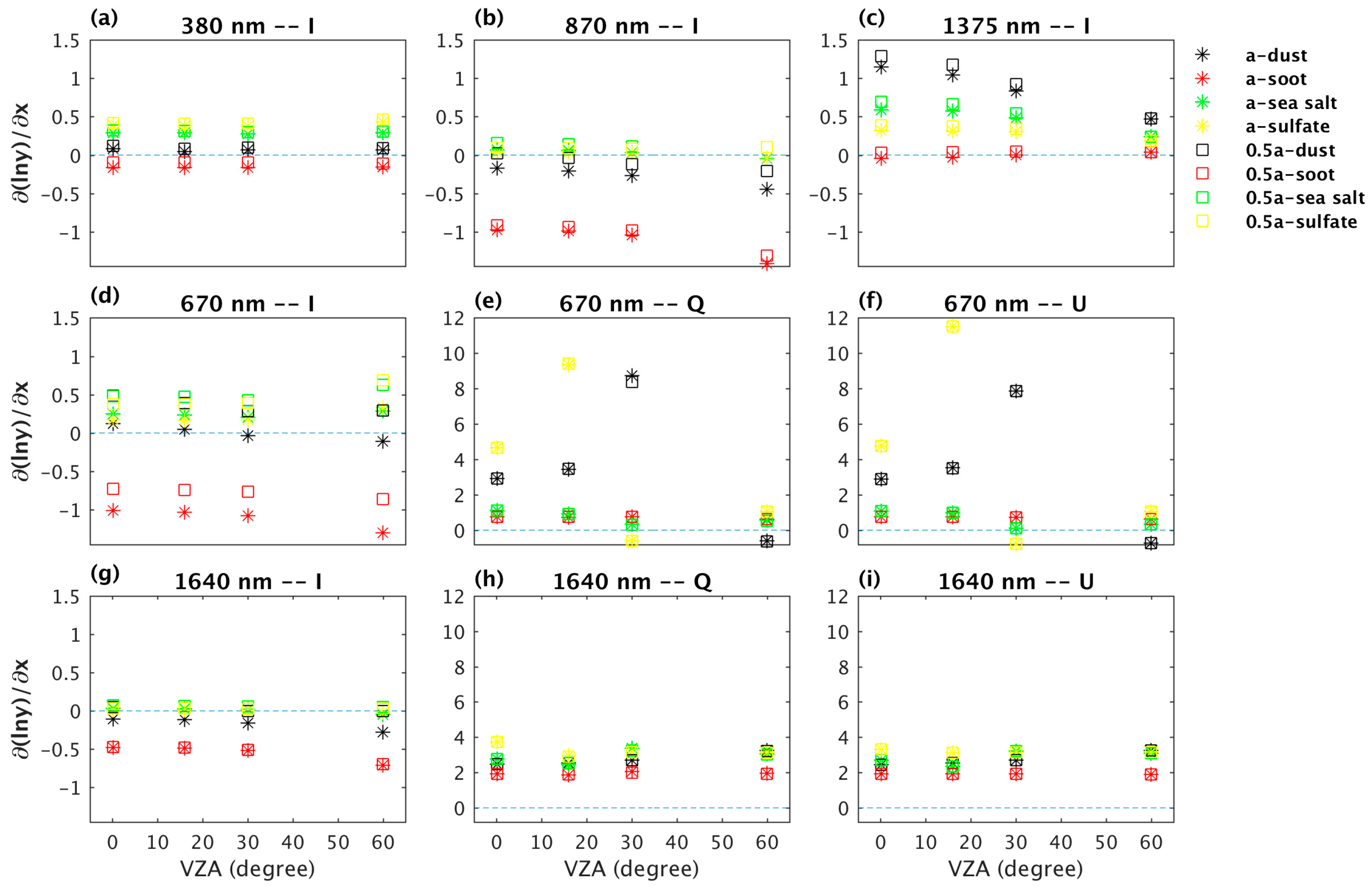
4. Simulated CAPI Measurements and Aerosol Sensitivity
5. Impact of Observation Geometry and Multi-Angle Retrieval
5.1. Influence of Observation Geometry
5.2. Improvement of Multi-Angle Measurement
6. Error Analysis and Correlation Matrix for Aerosol Retrieval
6.1. Retrieval Error and Its Components
6.2. Correlation of Surface and Aerosol
7. Conclusions
Acknowledgments
Author Contributions
Conflicts of Interest
References
- Bovensmann, H.; Burrows, J.P.; Buchwitz, M.; Frerick, J.; Noe’l, S.; Rozanov, V.V. SCIAMACHY mission objectives and measurement modes. J. Atmos. Sci. 1999, 56, 127–150. [Google Scholar] [CrossRef]
- Buchwitz, M.; de Beek, R.; Burrows, J.P.; Bovensmann, H.; Warneke, T.; Notholt, J.; Meirink, J.F.; Goede, A.P.H.; Bergamaschi, P.; Kärner, S.; et al. Atmospheric methane and carbon dioxide from SCIAMACHY satellite data: Initial comparison with chemistry and transport models. Atmos. Chem. Phys. 2005, 5, 941–962. [Google Scholar] [CrossRef]
- Chahine, M.T.; Pagano, T.S.; Aumann, H.H.; Atlas, R.E.A. AIRS: Improving weather forecasting and providing new data on greenhouse gases. Bull. Am. Meteorol. Soc. 2006, 87, 911–926. [Google Scholar] [CrossRef]
- Crevoisier, C.; Heilliette, S.; Chédin, A.; Serrar, S.; Armante, R.; Scott, N.A. Midtropospheric CO2 concentration retrieval from AIRS observations in the tropics. Geophys. Res. Lett. 2004, 31. [Google Scholar] [CrossRef]
- Kuze, A.; Suto, H.; Nakajima, M.; Hamazaki, T. Thermal and near infrared sensor for carbon observation Fourier-Transform Spectrometer on the greenhouse gases observing satellite for greenhouse gases monitoring. Appl. Opt. 2009, 48, 6716–6733. [Google Scholar] [CrossRef] [PubMed]
- Crisp, D.; Atlas, R.M.; Breon, F.-M.; Brown, L.R.; Burrows, J.P.; Ciais, P.; Connor, B.J.; Doney, S.C.; Fung, I.Y.; Jacob, D.J. The Orbiting Carbon Observatory (OCO) mission. Adv. Space Res. 2004, 34, 700–709. [Google Scholar] [CrossRef]
- Chen, W.; Zhang, Y.; Yin, Z.; Zheng, Y.; Yan, C.; Yang, Z. In the tansat mission: Global CO2 observation and monitoring. In Proceedings of the 63rd International Astronautical Congress, Naples, Italy, 1–5 October 2012.
- Liu, Y.; Yang, D.X.; Cai, Z.N. A retrieval algorithm for TanSat XCO2 observation: Retrieval experiments using GOSAT data. Chin. Sci. Bull. 2013, 58, 1520–1523. [Google Scholar] [CrossRef]
- Yoshida, Y.; Ota, Y.; Eguchi, N.; Kikuchi, N.; Nobuta, K.; Tran, H.; Morino, I.; Yokota, T. Retrieval algorithm for CO2 and CH4 column abundances from short-wavelength infrared spectral observations by the greenhouse gases observing satellite. Atmos. Meas. Tech. 2011, 4, 717–734. [Google Scholar] [CrossRef]
- Yang, D.; Liu, Y.; Cai, Z. Simulations of aerosol optical properties to top of atmospheric reflected sunlight in the near infrared CO2 weak absorption band. Atmos. Ocean. Sci. Lett. 2013, 6, 60–64. [Google Scholar]
- O’Dell, C.W.; Connor, B.; Bösch, H.; O’Brien, D.; Frankenberg, C.; Castano, R.; Christi, M.; Eldering, D.; Fisher, B.; Gunson, M.; et al. The ACOS CO2 retrieval algorithm—Part 1: Description and validation against synthetic observations. Atmos. Meas. Tech. 2012, 5, 99–121. [Google Scholar] [CrossRef]
- Houweling, S.; Hartmann, W.; Aben, I.; Schrijver, H.; Skidmore, J.; Roelofs, G.-J.; Breon, F.M. Evidence of systematic errors in SCIAMACHY-observed CO2 due to aerosols. Atmos. Chem. Phys. 2005, 5, 3003–3013. [Google Scholar] [CrossRef]
- Ishida, H.; Nakjima, T.Y.; Yokota, T.; Kikuchi, N.; Watanabe, H. Investigation of GOSAT TANSO-CAI cloud screening ability through an intersatellite comparison. J. Appl. Meteorol. Clim. 2011, 50, 1571–1586. [Google Scholar] [CrossRef]
- Zhang, J.; Shao, J.; Yan, C. Cloud and Aerosol Polarimetric Imager. In Proceedings of the Conferences of the Photoelectronic Technology Committee of the Chinese Society of Astronautics: Optical Imaging, Remote Sensing, and Laser-Matter Interaction, Suzhou, China, 20–29 October 2013.
- Herman, M.; Deuzé, J.L.; Devaux, C.; Goloub, P.; Bréon, F.M.; Tanré, D. Remote sensing of aerosols over land surfaces including polarization measurements and application to POLDER measurements. J. Geophys. Res. 1997, 102, 17039–17049. [Google Scholar] [CrossRef]
- Maso, M.D.; Kulmala, M.; Riipinen, I.; Wagner, R.; Hussein, T.; Aalto, P.P.; Lehtinen, K.E.J. Formation and growth of fresh atmospheric aerosols: Eight years of aerosol size distribution data from SMEAR II, Hyytiälä, Finland. Boreal. Environ. Res. 2005, 10, 323–336. [Google Scholar]
- Hasekamp, O.P.; Landgraf, J. Linearization of vector radiative transfer with respect to aerosol properties and its use in satellite remote sensing. J. Geophys. Res. 2005, 110. [Google Scholar] [CrossRef]
- Kaufman, Y.J.; Tanré, D.; Remer, L.A.; Vermote, E.F.; Chu, A.; Holben, B.N. Operational remote sensing of tropospheric aerosol over land from EOS Moderate Resolution Imaging Spectroradiometer. J. Geophys. Res. 1997, 102, 17051–17067. [Google Scholar] [CrossRef]
- Levy, R.C.; Remer, L.A.; Mattoo, S.; Vermote, E.F.; Kaufman, Y.J. Second-generation operational algorithm: Retrieval of aerosol properties over land from inversion of Moderate Resolution Imaging Spectroradiometer spectral reflectance. J. Geophys. Res. 2007, 112. [Google Scholar] [CrossRef]
- Nagaraja Rao, C.R.; Stowe, L.L.; McClain, E.P. Remote sensing of aerosols over the oceans using AVHRR data theory, practice and applications. Int. J. Remote Sens. 1989, 10, 743–749. [Google Scholar] [CrossRef]
- Mishchenko, M.I.; Geogdzhayev, I.V.; Cairns, B.; Rossow, W.B.; Lacis, A.A. Aerosol retrievals over the ocean by use of channels 1 and 2 AVHRR data: Sensitivity analysis and preliminary results. Appl. Opt. 1999, 38, 7325–7341. [Google Scholar] [CrossRef] [PubMed]
- De Graaf, M.; Stammes, P.; Aben, E.A.A. Analysis of reflectance spectra of UV-absorbing aerosol scenes measured by SCIAMACHY. J. Geophys. Res. 2007, 112, 485–493. [Google Scholar] [CrossRef]
- Torres, O.; Bhartia, P.K.; Herman, J.R.; Sinyuk, A.; Ginoux, P.; Holben, B. A long-term record of aerosol optical depth from TOMS observations and comparison to AERONET measurements. J. Atmos. Sci. 2002, 59, 398–413. [Google Scholar] [CrossRef]
- Torres, O.; Tanskanen, A.; Veihelmann, B.; Ahn, C.; Braak, R.; Bhartia, P.K.; Veefkind, P.; Levelt, P. Aerosols and surface UV products from ozone monitoring instrument observations: An overview. J. Geophys. Res. 2007, 112. [Google Scholar] [CrossRef]
- Chiapello, I.; Goloub, P.; Tanré, D.; Marchand, A.; Herman, J.; Torres, O. Aerosol detection by TOMS and POLDER over oceanic regions. J. Geophys. Res. 2000, 105, 7133–7142. [Google Scholar] [CrossRef]
- Chu, D.A.; Kaufman, Y.J.; Ichoku, C.; Remer, L.A.; Tanre, D.; Holben, B.N. Validation of MODIS aerosol optical depth retrieval over land. Geophys. Res. Lett. 2002, 29. [Google Scholar] [CrossRef]
- Abdou, W.A.; Diner, D.J.; Martonchik, J.V.; Bruegge, C.J.; Kahn, R.A.; Gaitley, B.J.; Crean, K.A. Comparison of coincident multiangle imaging spectroradiometer and Moderate Resolution Imaging Spectroradiometer aerosol optical depths over land and ocean scenes containing aerosol robotic network sites. J. Geophys. Res. 2005, 110. [Google Scholar] [CrossRef]
- Diner, D.J.; Beckert, J.C.; Reilly, T.H.; Bruegge, C.J.; Conel, J.E.; Kahn, R.; Martonchik, J.V.; Ackerman, T.P.; Davies, R.; Gerstl, S.A. Multi-angle Imaging Spectroradiometer (MISR) instrument description and experiment overview. IEEE Trans. Geosci. Remote Sens. 1998, 36, 1072–1087. [Google Scholar] [CrossRef]
- Kahn, R.A.; Gaitley, B.J.; Martonchik, J.V.; Diner, D.J.; Crean, K.A. Multiangle Imaging Spectroradiometer (MISR) global aerosol optical depth validation based on 2 years of coincident aerosol robotic network (AERONET) observations. J. Geophys. Res. 2005, 110, 1–16. [Google Scholar] [CrossRef]
- Liu, Y.; Koutrakis, P.; Kahn, R. Estimating fine particulate matter component concentrations and size distributions using satellite-retrieved fractional aerosol optical depth: Part 1—Method development. J. Air Waste Manag. Assoc. 2007, 57, 1351–1359. [Google Scholar] [PubMed]
- Hansen, J.E.; Travis, L.D. Light scattering in planetary atmospheres. Space Sci. Rev. 1974, 16, 527–610. [Google Scholar] [CrossRef]
- Leroy, M.; Deuze, J.L.; Breon, F.M.; Hautecoeur, O.; Herman, M.; Buriez, J.C.; Tanre, D.; Bouffies, S.; Chazette, P.; Roujean, J.L. Retrieval of atmospheric properties and surface bidirectional reflectances over land from POLDER/ADEOS. J. Geophys. Res. 1997, 102, 17023–17037. [Google Scholar] [CrossRef]
- Deuzé, J.L.; Bréon, F.M.; Devaux, C.; Goloub, P.; Herman, M.; Lafrance, B.; Maignan, F.; Marchand, A.; Nadal, F.; Perry, G.; et al. Remote sensing of aerosols over land surfaces from POLDER-ADEOS-1 polarized measurements. J. Geophys. Res. 2001, 106, 4913–4926. [Google Scholar] [CrossRef]
- Hasekamp, O.P.; Landgraf, J. Retrieval of aerosol properties over land surfaces: Capabilities of multiple-viewing-angle intensity and polarization measurements. Appl. Opt. 2007, 46, 3332–3344. [Google Scholar] [CrossRef] [PubMed]
- Sinyuk, A.; Dubovik, O.; Holben, B.; Eck, T.F.; Breon, F.-M.; Martonchik, J.; Kahn, R.; Diner, D.J.; Vermote, E.F.; Roger, J.-C.; et al. Simultaneous retrieval of aerosol and surface properties from a combination of AERONET and satellite data. Remote. Sens. Environ. 2007, 107, 90–108. [Google Scholar] [CrossRef]
- Torres, O. Total Ozone Mapping Spectrometer measurements of aerosol absorption from space: Comparison to SAFARI 2000 ground-based observations. J. Geophys. Res. 2005, 110. [Google Scholar] [CrossRef]
- Torres, O.; Ahn, C.; Chen, Z. Improvements to the OMI near-UV aerosol algorithm using A-Train CALIOP and AIRS observations. Atmos. Meas. Tech. 2013, 6, 3257–3270. [Google Scholar] [CrossRef]
- Frankenberg, C.; Hasekamp, O.; O’Dell, C.; Sanghavi, S.; Butz, A.; Worden, J. Aerosol information content analysis of multi-angle high spectral resolution measurements and its benefit for high accuracy greenhouse gas retrievals. Atmos. Meas. Tech. 2012, 5, 1809–1821. [Google Scholar] [CrossRef]
- Butz, A.; Hasekamp, O.P.; Frankenberg, C.; Aben, I. Retrievals of atmospheric CO2 from simulated space-borne measurements of backscattered near-infrared sunlight: Accounting for aerosol effects. Appl. Opt. 2009, 48, 3322–3336. [Google Scholar] [CrossRef] [PubMed]
- Wang, J.; Xu, X.; Ding, S.; Zeng, J.; Spurr, R.J.D.; Liu, X.; Chance, K.; Mishchenko, M.I. A numerical testbed for remote sensing of aerosols, and its demonstration for evaluating retrieval synergy from a geostationary satellite constellation of GEO-CAPE and GOES-R. J. Quant. Spectrosc. Radiat. 2014, 146, 510–528. [Google Scholar] [CrossRef]
- Chen, X.; Wang, J.; Liu, Y.; Xu, X.; Cai, Z.; Yang, D.; Yan, C.-X. Angular dependence of aerosol information content in CAPI/TanSat observation over land: Effect of polarization and synergy with A-Train satellites. Remote. Sens. Environ. 2016. under review. [Google Scholar]
- Martynenko, D.; Holzer-Popp, T.; Elbern, H.; Schroedter-Homscheidt, M. Understanding the aerosol information content in multi-spectral reflectance measurements using a synergetic retrieval algorithm. Atmos. Meas. Tech. 2010, 3, 1589–1598. [Google Scholar] [CrossRef]
- Geddes, A.; Bösch, H. Tropospheric aerosol profile information from high-resolution oxygen A-band measurements from space. Atmos. Meas. Tech. 2015, 8, 859–874. [Google Scholar] [CrossRef]
- Spurr, R.J.D.; Wang, J.; Zeng, J.; Mishchenko, M.I. Linearized T-matrix and Mie scattering computations. J. Quant. Spectrosc. Radiat. 2012, 113, 425–439. [Google Scholar] [CrossRef]
- Hess, M.; Koepke, P.; Schult, I. Optical Properties of Aerosols and Clouds: The software package OPAC. Bull. Am. Meteorol. Soc. 1998, 79, 831–844. [Google Scholar] [CrossRef]
- Bodhaine, B.A.; Wood, N.B.; Dutton, E.G.; Slusser, J.R. On Rayleigh optical depth calculations. J. Atmos. Ocean. Technol. 1999, 16, 1854–1861. [Google Scholar] [CrossRef]
- Rothman, L.S.; Gordon, I.E.; Barbe, A.; Benner, D.C.; Bernath, P.F.; Birk, M.; Boudon, V.; Brown, L.R.; Campargue, A.; Champion, J.P.; et al. The HITRAN 2008 molecular spectroscopic database. J. Quant. Spectrosc. Radiat. 2009, 110, 533–572. [Google Scholar] [CrossRef]
- Von Hoyningen-Huene, W.; Freitag, M.; Burrows, J.B. Retrieval of aerosol optical thickness over land surfaces from top-of-atmosphere radiance. J. Geophys. Res. 2003, 108. [Google Scholar] [CrossRef]
- Meer, F.V.D.; Jong, S.M.D. Improving the results of spectral unmixing of landsat thematic mapper imagery by enhancing the orthogonality of end-members. Int. J. Remote. Sens. 2000, 21, 2781–2797. [Google Scholar] [CrossRef]
- Yamaguchi, Y.; Kahle, A.B.; Tsu, H.; Kawakami, T.; Pniel, M. Overview of advanced spaceborne thermal emission and reflection radiometer (ASTER). Geosci. Remote Sens. 1998, 36, 1062–1071. [Google Scholar] [CrossRef]
- Spurr, R. Lidort and vlidort: Linearized pseudo-spherical scalar and vector discrete ordinate radiative transfer models for use in remote sensing retrieval problems. In Light Scattering Reviews 3; Kokhanovsky, D.A.A., Ed.; Springer: Berlin/Heidelberg, Germany, 2008; pp. 229–275. [Google Scholar]
- Spurr, R.J.D. Vlidort: A linearized pseudo-spherical vector discrete ordinate radiative transfer code for forward model and retrieval studies in multilayer multiple scattering media. J. Quant. Spectrosc. Radiat. 2006, 102, 316–342. [Google Scholar] [CrossRef]
- Mukai, S.; Sano, I. Retrieval algorithm for atmospheric aerosols based on multi-angle viewing of ADEOS/POLDER. Earth Planets Space 1999, 51, 1247–1254. [Google Scholar] [CrossRef]







| Channels | Band Centre Wavelength (µm) | Band Range (µm) | Signal-to-Noise Ratio (SNR) | Radiance (W/m2/µm/sr) | Polarization Angle 1 |
|---|---|---|---|---|---|
| 1 | 0.38 | 0.365–0.408 | 260 | 28.0 | - |
| 2 | 0.67 | 0.66–0.685 | 160 | 22 | 0°, 60°, 120° |
| 3 | 0.87 | 0.862–0.877 | 400 | 25 | - |
| 4 | 1.375 | 1.36–1.39 | 180 | 6.0 | - |
| 5 | 1.64 | 1.628–1.654 | 110 | 7.3 | 0°, 60°, 120° |
| State Vector Element | Aerosol Types | A Priori | A Priori Error (1σ) |
|---|---|---|---|
| AOD 1 | - 2 | 0.3 | 0.3 |
| Real refractive index 1 | Dust | 1.53 | 0.15 2 |
| Soot | 1.75 | ||
| Sea salt | 1.381 | ||
| Sulfate | 1.43 | ||
| Imaginary refractive index 1 | Dust | 0.008 | 0.02 |
| Soot | 0.44 | 1.0 | |
| Sea salt | 4.26 × 10−9 | 1.0 × 10−8 | |
| Sulfate | 1.0 × 10−8 | 3.0 × 10−8 | |
| PSD mode radius | Dust | 0.39 | 0.4 |
| Soot | 0.0118 | 0.01 | |
| Sea salt | 0.209 | 0.2 | |
| Sulfate | 0.0695 | 0.07 | |
| PSD variance | Dust | 2.0 | 2.0 2 |
| Soot | 2.0 | ||
| Sea salt | 2.03 | ||
| Sulfate | 2.03 | ||
| Vegetation fraction | - 2 | 0.5 | 0.2 |
| Scenario | Solar Zenith Angle (Degree) | Viewing Zenith Angle (Degree) | Scattering Angle (Degree) | Surface Albedo |
|---|---|---|---|---|
| Winter | 65 | 0 (nadir), 16, 30, 60 | 115.0, 114.0, 111.5, 102.2 | bright (α(λ)), dark (α(λ) × 0.5) |
| Summer | 20 | 0 (nadir), 16, 30, 60 | 160.0, 154.6, 144.5, 118.0 |
© 2017 by the authors. Licensee MDPI, Basel, Switzerland. This article is an open access article distributed under the terms and conditions of the Creative Commons Attribution (CC BY) license ( http://creativecommons.org/licenses/by/4.0/).
Share and Cite
Chen, X.; Yang, D.; Cai, Z.; Liu, Y.; Spurr, R.J.D. Aerosol Retrieval Sensitivity and Error Analysis for the Cloud and Aerosol Polarimetric Imager on Board TanSat: The Effect of Multi-Angle Measurement. Remote Sens. 2017, 9, 183. https://doi.org/10.3390/rs9020183
Chen X, Yang D, Cai Z, Liu Y, Spurr RJD. Aerosol Retrieval Sensitivity and Error Analysis for the Cloud and Aerosol Polarimetric Imager on Board TanSat: The Effect of Multi-Angle Measurement. Remote Sensing. 2017; 9(2):183. https://doi.org/10.3390/rs9020183
Chicago/Turabian StyleChen, Xi, Dongxu Yang, Zhaonan Cai, Yi Liu, and Robert J. D. Spurr. 2017. "Aerosol Retrieval Sensitivity and Error Analysis for the Cloud and Aerosol Polarimetric Imager on Board TanSat: The Effect of Multi-Angle Measurement" Remote Sensing 9, no. 2: 183. https://doi.org/10.3390/rs9020183
APA StyleChen, X., Yang, D., Cai, Z., Liu, Y., & Spurr, R. J. D. (2017). Aerosol Retrieval Sensitivity and Error Analysis for the Cloud and Aerosol Polarimetric Imager on Board TanSat: The Effect of Multi-Angle Measurement. Remote Sensing, 9(2), 183. https://doi.org/10.3390/rs9020183

