3D Monitoring of Buildings Using TerraSAR-X InSAR, DInSAR and PolSAR Capacities
Abstract
:1. Introduction
- We do not want to use a priori information about the elevation or the evolution of the deformations through time.
- We want to avoid spatial average, as far as possible to preserve the high resolution of the data. No selection of pixels is used, and polarimetric parameters are derived under the deterministic hypothesis.
- Temporal stack can be used to make estimations more robust, when possible, both for InSAR and PolSAR modes.
2. The Dataset and the Studied Buildings
2.1. The TerraSAR-X InSAR/DInSAR and PolSAR Temporal Stacks
2.2. The Studied Buildings
- The wind that makes the buildings oscillate in the perpendicular direction to the wind flow. Gustave Eiffel sized structure for the lateral oscillations due to wind up to 70 cm. However, oscillation amplitude records did not exceed 18 cm amplitude reached during the violent storm of December 1999. Hence, wind is not the most important deformation factor for this structure.
- The air temperature, that makes the iron and the concrete expend. The whole structures have then a vertical deformation. Depending on the temperature, the tower can elongate or shrink several centimeters. Given that the thermal expansion coefficient is approximately 10 m/(mK) for iron and concrete, buildings with a height of 100 m will have a 1 cm thermal expansion by 10 C temperature difference.
- The sunlight, that makes the side of the structures exposed to the sun expends more that the side of the structure that is in the shadow. The whole structures are thus bended in the direction opposite to the sun. The top of the Eiffel Tower can be shifted by 20 cm on a sunny day. This is thus the prevalent deformation effect for the studied buildings.
2.3. Multi-Channel SAR Estimation
3. Measuring the Height by Interferometry
3.1. Methodology
3.1.1. SAR Interferometry Principle
3.1.2. Unwrapping the Fringes
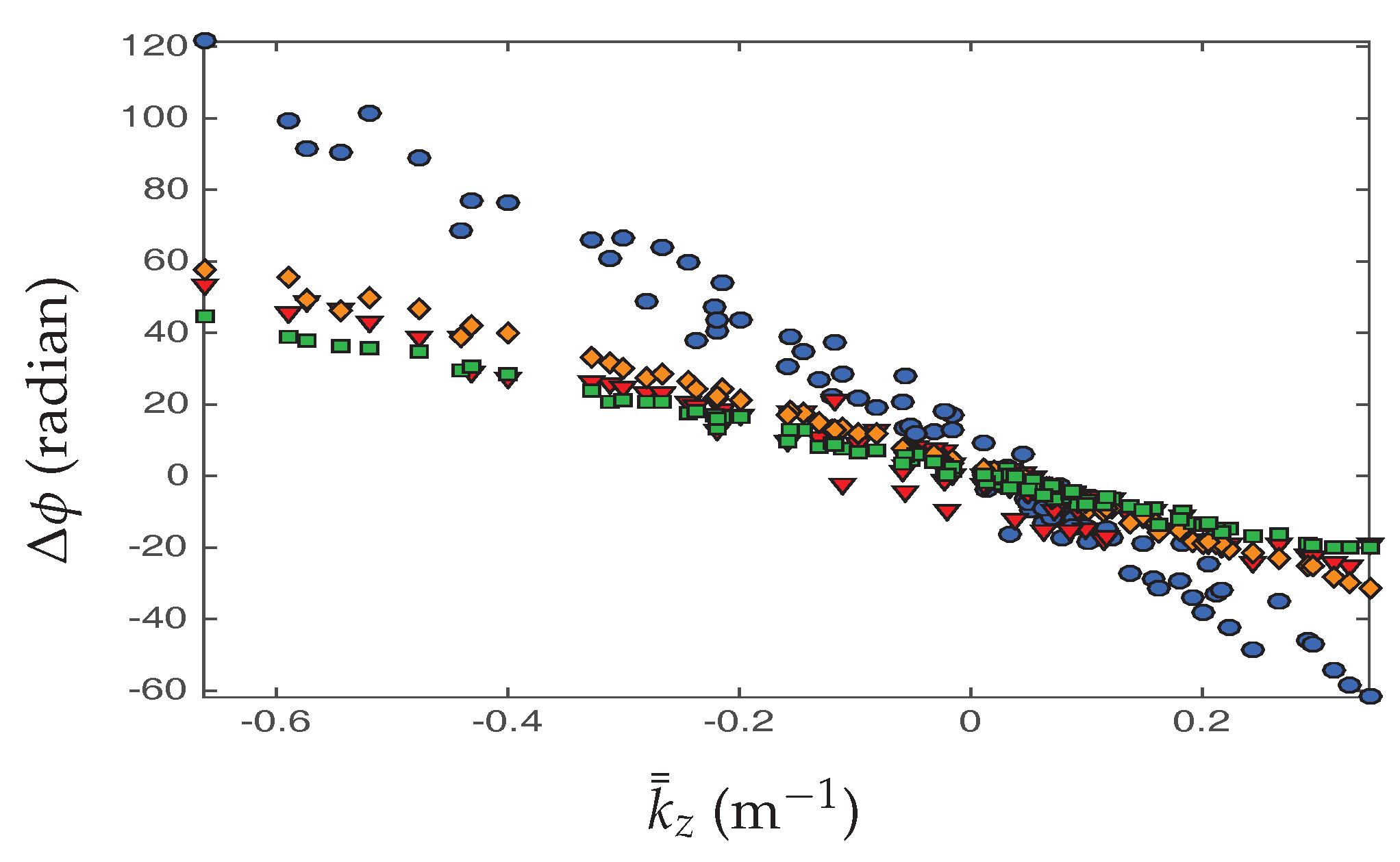
3.2. Height Estimation Results for Two-Images-Repeat-Pass Interferometry
3.3. Height Estimation Results for Time-Series-Repeat-Pass Interferometry
4. Measuring the Deformation Trough Differential Interferometry
4.1. Methodology
4.2. Deformation Estimation Results
4.3. Analysis of the Estimated Deformation
4.3.1. Comparison with Weather Data
- The time between the acquisition and sun set , which enables to account for the periodicity in the measured deformations.
- The minimal temperature the day of the acquisition , linked to the thermal expansion in the measured deformation.
- The number of sunny hours during the acquisition day , that can be linked to the bending of the building caused by sunlight.
- The maximal gust during the hour of the acquisition , that can account for the deformation due to wind.
4.3.2. Comparison with In Situ Measurements
4.4. Discussion on the Impact of the Atmosphere on the Precision of the Estimated Deformation
5. Polarimetric Analysis
5.1. Benefit of Polarimetry for Repeat-Pass Interferometry
5.2. Benefit of Polarimetry for Building Monitoring
5.2.1. Main Investigation: Orientations and Materials
- The orientation of buildings. Indeed, our measurements of local deformations on buildings presuppose that this deformation is mainly in the vertical direction. However, if a scattering structure element has a different orientation, the axis of deformation will also be different. It is interesting firstly to be able to identify these cases and in a second step to use this information to project the measured deformation in the structure direction.
- Building materials. Again, this is crucial for a potential deformation measure: the effects of thermal expansion which seems to be predominant deformation effect measured with DInSAR data, depend on the material.
- First, the both polarimetric acquisitions have been co-registered together at a sub-pixel precision, using [34].
- For each pixel, we applied to the Sinclair matrix the polar decomposition described in [35], to be able to describe diattenuation and retardance properties. Diattenuation concerns only the change in the amplitudes of the components of the electric field vector, whereas the retarder changes only the phases of components of the electric-field vector.
- We extract the two main parameters, retardance and diattenuation, as well as the orientation of the axes of the two main Stokes vectors (maximum retardance axis and maximum diattenuation axis).
5.2.2. Dedicated Ground Truth
- For the five towers, we consider any horizontal vectors belonging to each vertical face including window sills, vertical ducts, floor separations, balcony edging profile, etc.
- For the Eiffel tower, we consider all principal beams of the structure.
5.2.3. Results
Mirabeau Tower
Espace 2000 and Keller Towers
Perspective II and Cristal Towers
Eiffel Tower
6. Conclusions
Acknowledgments
Author Contributions
Conflicts of Interest
Abbreviations
| InSAR | interferometric SAR |
| DInSAR | differential interferometric SAR |
| PolSAR | polarimetric SAR |
| PS | permanent scatterer |
| SETE | Société d’Exploitation de la Tour Eiffel |
| TSX | TerraSAR-X |
| TDX | TanDEM-X |
| VHR | Very High Resolution |
| ZPD | Zenith Path Delay |
References
- Bonano, M.; Manunta, M.; Pepe, A.; Paglia, L.; Lanari, R. From previous C-band to new X-band SAR systems: Assessment of the DInSAR mapping improvement for deformation time-series retrieval in urban areas. IEEE Trans. Geosci. Remote Sens. 2013, 51, 1973–1984. [Google Scholar] [CrossRef]
- Tison, C.; Tupin, F.; Maitre, H. Extraction of Urban Elevation Models form High Resolution Interferometric SAR Images. In Proceedings of the 5th European Conference on Synthetic Aperture Radar, Ulm, Germany, 25–27 May 2004; pp. 411–414. [Google Scholar]
- Thiele, A.; Thoennessen, U.; Cadario, E.; Schulz, K.; Soergel, U. Building recognition from multi-aspect high-resolution interferometric SAR data in urban areas. IEEE Trans. Geosci. Remote Sens. 2007, 45, 3583–3593. [Google Scholar] [CrossRef]
- Colin-Koeniguer, E.; Trouve, N. Performance of building height estimation using high-resolution PolInSAR images. IEEE Trans. Geosci. Remote Sens. 2014, 52, 5870–5879. [Google Scholar] [CrossRef]
- Bamler, R.; Eineder, M.; Adam, N.; Zhu, X.; Gernhardt, S. Interferometric potential of high resolution spaceborne SAR. Photogramm. Fernerkund. Geoinf. 2009, 2009, 407–419. [Google Scholar] [CrossRef]
- Brcic, R.; Eineder, M.; Bamler, R.; Steinbrecher, U.; Schulze, D.; Metzig, R.; Papathanassiou, K.P.; Nagler, T.; Mueller, F.; Suess, M. Delta-k wideband SAR interferometry for DEM generation and PSI using Terrasar-X. In Proceedings of the ESA Proc. FRINGE, Frascati, Italy, 30 November–4 December 2009. [Google Scholar]
- Ferretti, A.; Prati, C.; Rocca, F. Nonlinear Subsidence Rate Estimation Using Permanent Scatterers in Differential SAR Interferometry. IEEE Trans. Geosci. Remote Sens. 2000, 38, 2202–2212. [Google Scholar] [CrossRef]
- Ferretti, A.; Ferrucci, F.; Prati, C.; Rocca, F. SAR Analysis of Building Collapse by means of Permanent Scatterers Technique. In Proceedings of the IEEE 2000 International Geoscience and Remote Sensing Symposium. Taking the Pulse of the Planet: The Role of Remote Sensing in Managing the Environment, Honolulu, HI, USA, 24–28 July 2000; Volume 7, pp. 3219–3221. [Google Scholar]
- Zeni, G.; Bonano, M.; Casu, F.; Manunta, M.; Manzo, M.; Marsella, M.; Pepe, A.; Lanari, R. Long-term deformation analysis of historical buildings through the advanced SBAS-DInSAR technique: The case study of the city of Rome, Italy. J. Geophys. Eng. 2011, 8, S1. [Google Scholar] [CrossRef]
- Fornaro, G.; Pauciullo, A.; Reale, D.; Zhu, X.; Bamler, R. Peculiarities of Urban Area Analysis With Very High Resolution Interferometric SAR Data. In Proceedings of the JURSE 2011—Joint Urban Remote Sensing Event, Munich, Germany, 11–13 April 2011; pp. 185–188. [Google Scholar]
- Yang, K.; Yan, L.; Huang, G.; Chen, C.; Wu, Z. Monitoring building deformation with InSAR: Experiments and validation. Sensors 2016, 16, 2182. [Google Scholar] [CrossRef] [PubMed]
- Weissgerber, F.; Nicolas, J.M.; Colin-koeniguer, E.; Trouvé, N. Mesure de la dilatation thermique de la Tour Eiffel par interférométrie RSO differentielle. In Proceedings of the GRETSI, Lyon, France, 8–11 September 2015. [Google Scholar]
- Moriyama, T.; Yamaguchi, Y.; Uratsuka, S.; Umehara, T.; Maeno, H.; Satake, M.; Nadai, A.; Nakamura, K. A study on polarimetric correlation coefficient for feature extraction of polarimetric SAR data. IEICE Trans. Commun. 2005, 88, 2353–2361. [Google Scholar] [CrossRef]
- Cloude, S. Polarisation: Applications in Remote Sensing; Oxford University Press: Oxford, UK, 2010. [Google Scholar]
- Iribe, K.; Sato, M. Analysis of polarization orientation angle shifts by artificial structures. IEEE Trans. Geosci. Remote Sens. 2007, 45, 3417–3425. [Google Scholar] [CrossRef]
- Duquenoy, M.; Ovarlez, J.; Morisseau, C.; Vieillard, G.; Ferro-Famil, L.; Pottier, E. Supervised classification by neural networks using polarimetric time-frequency signatures. In Proceedings of the 2009 IEEE International Geoscience and Remote Sensing Symposium, Cape Town, South Africa, 12–17 July 2009; Volume 4, p. IV-438. [Google Scholar]
- Pipia, L.; Fabregas, X.; Aguasca, A.; López-Martínez, C. Polarimetric temporal analysis of urban environments with a ground-based SAR. IEEE Trans. Geosci. Remote Sens. 2013, 51, 2343–2360. [Google Scholar] [CrossRef]
- Navarro-Sanchez, V.D.; Lopez-Sanchez, J.M. Improvement of persistent-scatterer interferometry performance by means of a polarimetric optimization. IEEE Geosci. Remote Sens. Lett. 2012, 9, 609–613. [Google Scholar] [CrossRef]
- Goodman, J.W. Some fundamental properties of speckle. J. Opt. Soc. Am. 1976, 66, 1145–1150. [Google Scholar] [CrossRef]
- Deledalle, C.A.; Denis, L.; Tupin, F.; Reigber, A.; Jäger, M. NL-SAR: A unified Non-Local framework for resolution-preserving (Pol)(In)SAR denoising. IEEE Trans. Geosci. Remote Sens. 2015, 4, 2021–2038. [Google Scholar] [CrossRef]
- Weissgerber, F.; Colin-Koeniguer, E.; Trouvé, N.; Nicolas, J.M. A Temporal Estimation of Entropy and its Comparison with Spatial Estimations on PolSAR images. IEEE J. Sel. Top. Appl. Earth Obs. Remote Sens. 2016, 9, 3809–3820. [Google Scholar] [CrossRef]
- Bamler, R.; Hartl, P. Synthetic aperture radar interferometry. Inverse Probl. 1998, 14, 1–54. [Google Scholar] [CrossRef]
- Feigl, K.L.; Thurber, C.H. A method for modelling radar interferograms without phase unwrapping: Application to the M 5 Fawnskin, Carlifornia earthquake of 1992 December 4. Geophys. J. Int. 2009, 176, 491–501. [Google Scholar] [CrossRef]
- Ferretti, A.; Prati, C.; Rocca, F. Permanent scatterers in SAR interferometry. IEEE Trans. Geosci. Remote Sens. 2001, 39, 8–20. [Google Scholar] [CrossRef]
- Info Climat, Weather Archive. Available online: http://www.infoclimat.fr/observations-meteo/temps-reel/paris-montsouris/07156.html. (accessed on 18 January 2016).
- Meteo France Weather Archive. Available online: http://www.meteofrance.com/climat/meteo-date-passee. (accessed on 18 January 2016).
- Delacourt, C.; Briole, P.; Achache, J. Tropospheric corrections of SAR interferograms with strong topography. Application to Etna. Geophys. Res. Lett. 1998, 25, 2849–2852. [Google Scholar] [CrossRef]
- Eineder, M.; Minet, C.; Steigenberger, P.; Cong, X.; Fritz, T. Imaging Geodesy-Toward Centimeter-Level Ranging Accuracy With TerraSAR-X. IEEE Trans. Geosci. Remote Sens. 2011, 49, 661–671. [Google Scholar] [CrossRef]
- Colin, E.; Titin-Schnaider, C.; Tabbara, W. An interferometric coherence optimization method in radar polarimetry for high-resolution imagery. IEEE Trans. Geosci. Remote Sens. 2006, 44, 167–175. [Google Scholar] [CrossRef]
- Schneider, R.Z.; Papathanassiou, K.P.; Hajnsek, I.; Moreira, A. Polarimetric and interferometric characterization of coherent scatterers in urban areas. IEEE Trans. Geosci. Remote Sens. 2006, 44, 971–984. [Google Scholar] [CrossRef]
- Margarit, G.; Mallorqui, J.; Corney, I. Performance Evaluation of Polarimetric SAR Interferometry (PolIn-SAR) in Urban Scenarios: Analysis of Simulated Images and Cross-Correlation with Real Data; ESA Special Publication: Paris, France, 2009; Volume 668. [Google Scholar]
- Schiavon, G.; Solimini, D. Modeling polarimetric SAR response of urban dihedrons. In Proceedings of the 3rd International Workshop on Science and Applications of SAR Polarimetry and Polarimetric Interferometry, Frascati, Italy, 22–26 January 2007. [Google Scholar]
- Fanjul-Vélez, F.; Arce-Diego, J.L. Polarimetry of birefringent biological tissues with arbitrary fibril orientation and variable incidence angle. Opt. Lett. 2010, 35, 1163–1165. [Google Scholar] [CrossRef] [PubMed]
- Plyer, A.; Colin-Koeniguer, E.; Weissgerber, F. A New Coregistration Algorithm for Recent Applications on Urban SAR Images. IEEE Geosci. Remote Sens. Lett. 2015, 12, 2198–2202. [Google Scholar] [CrossRef]
- Lu, S.Y.; Chipman, R.A. Homogeneous and inhomogeneous Jones matrices. J. Opt. Soc. Am. A 1994, 11, 766–773. [Google Scholar] [CrossRef]
) and the other 97 images composing the interferometric dataset given the number of days between the acquisitions. The vertical dashed lines represent the years from the reference image.
) and the other 97 images composing the interferometric dataset given the number of days between the acquisitions. The vertical dashed lines represent the years from the reference image.


Eiffel Tower,
Cristal Tower,
Keller Tower,
Mirabeau Tower. The vertical dashed lines represent the years from the master image acquired the 24 January 2009.
Eiffel Tower,
Cristal Tower,
Keller Tower,
Mirabeau Tower. The vertical dashed lines represent the years from the master image acquired the 24 January 2009.
Eiffel Tower,
Cristal Tower,
Keller Tower,
Mirabeau Tower.
Eiffel Tower,
Cristal Tower,
Keller Tower,
Mirabeau Tower.
Eiffel Tower; (b)
Cristal Tower; (c)
Keller Tower; (d)
Mirabeau Tower. The vertical dashed lines represent the years from the master image acquired the 24 January 2009.
Eiffel Tower; (b)
Cristal Tower; (c)
Keller Tower; (d)
Mirabeau Tower. The vertical dashed lines represent the years from the master image acquired the 24 January 2009.
Lineic DInSAR deformation estimated for the Eiffel Tower — Minimal and Maximal lineic deformation measured by optical strands.
Lineic DInSAR deformation estimated for the Eiffel Tower — Minimal and Maximal lineic deformation measured by optical strands.











| Acquisition Parameters | Specifications |
|---|---|
| Satellite altitude | 514 km |
| Wavelength | 0.031 m |
| Look angle | 34.69 |
| Satellite-Earth distance R | 625 km |
| Ground-pixel size (azimuth and range) | = 0.87 m and = 0.71 m |
| Ground resolution (azimuth and range) | = 0.91 m and = 0.79 m |
| Slant range pixel size | 0.455 m |
| Acquisition time | 17:34 UTC |
| Tower | Height | Facade Material | Facade Structure | Shape | |
|---|---|---|---|---|---|
| 1. | Eiffel | 321 m | Iron beams | ||
| 2. | Cristal | 98 m | Glass | Slanted corner | Rectangular cuboid |
| 3. | Keller | 98 m | Reinforced concrete | Concrete panels and windows | Rectangular cuboid |
| 4. | Mirabeau | 70 m | Reinforced concrete | Metallic window frame | Tripode |
| 5. | Espace 2000 | 98 m | Reinforced concrete | Small balconies | Rectangular cuboid |
| 6. | Perspective II | 94 m | Reinforced concrete | Concrete panels and windows | Butterfly-shape footprint |
| Eiffel Tower | Cristal Tower | Keller Tower | Mirabeau Tower | |
|---|---|---|---|---|
| h reference | 177.1 | 85.2 | 89.1 | 68.1 |
| h regression | 176.7 | 81.1 | 92.0 | 67.7 |
| 0.98 | 0.95 | 0.99 | 0.99 |
| Eiffel Tower | −0.30 | 0.52 | −0.09 | −0.06 |
| Cristal Tower | −0.35 | 0.53 | 0.01 | −0.00 |
| Keller Tower | −0.27 | 0.48 | 0.02 | −0.15 |
| Mirabeau Tower | −0.73 | 0.81 | 0.53 | 0.08 |
© 2017 by the authors. Licensee MDPI, Basel, Switzerland. This article is an open access article distributed under the terms and conditions of the Creative Commons Attribution (CC BY) license (http://creativecommons.org/licenses/by/4.0/).
Share and Cite
Weissgerber, F.; Colin-Koeniguer, E.; Nicolas, J.-M.; Trouvé, N. 3D Monitoring of Buildings Using TerraSAR-X InSAR, DInSAR and PolSAR Capacities. Remote Sens. 2017, 9, 1010. https://doi.org/10.3390/rs9101010
Weissgerber F, Colin-Koeniguer E, Nicolas J-M, Trouvé N. 3D Monitoring of Buildings Using TerraSAR-X InSAR, DInSAR and PolSAR Capacities. Remote Sensing. 2017; 9(10):1010. https://doi.org/10.3390/rs9101010
Chicago/Turabian StyleWeissgerber, Flora, Elise Colin-Koeniguer, Jean-Marie Nicolas, and Nicolas Trouvé. 2017. "3D Monitoring of Buildings Using TerraSAR-X InSAR, DInSAR and PolSAR Capacities" Remote Sensing 9, no. 10: 1010. https://doi.org/10.3390/rs9101010
APA StyleWeissgerber, F., Colin-Koeniguer, E., Nicolas, J.-M., & Trouvé, N. (2017). 3D Monitoring of Buildings Using TerraSAR-X InSAR, DInSAR and PolSAR Capacities. Remote Sensing, 9(10), 1010. https://doi.org/10.3390/rs9101010
