A Spatio-Temporal Model for Forest Fire Detection Using HJ-IRS Satellite Data
Abstract
:1. Introduction
2. Study Area and Data
2.1. Study Area
2.2. HJ-1B Satellite Data
2.3. Ground Reference Data
3. Methodology
3.1. Contextual Algorithm
3.2. Overview of the Improved Algorithm
3.2.1. Data Preprocessing
3.2.2. Cloud Masking
3.2.3. Potential Fire Pixel Judgment
3.2.4. Relative Fire Pixel Judgment Based on STM
Background BT Prediction
Integration of Spatial and Temporal Information
Relative Fire Pixel Judgment
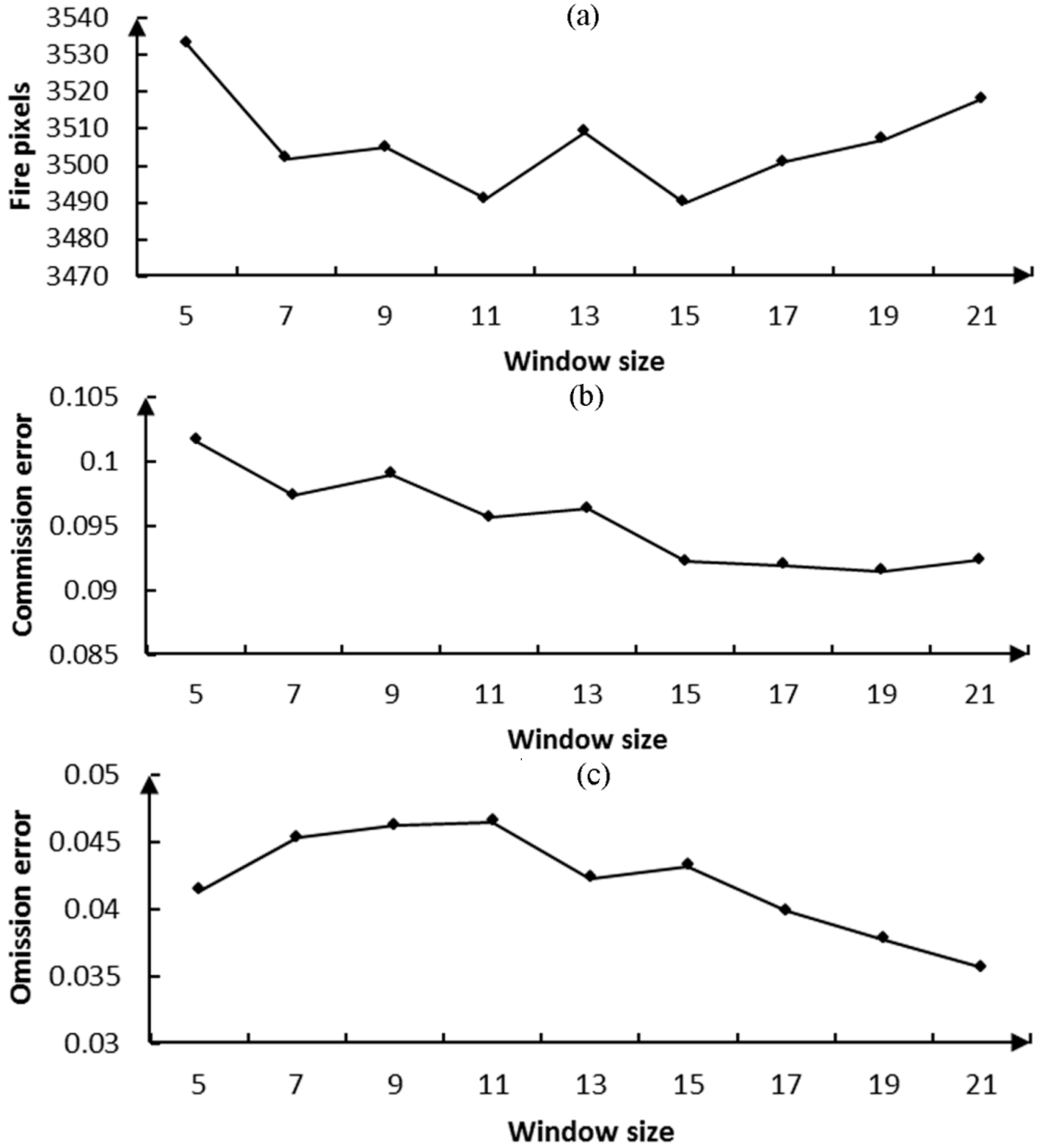
4. Results and Discussion
4.1. Goodness of Fit
4.2. Accuracy of Forest Fire Detection
5. Strengths and Limitations of the STM Method
6. Conclusions
Acknowledgments
Author Contributions
Conflicts of Interest
Abbreviations
| STM | Spatio-temporal model |
| MWIR | midwave infrared |
| LWIR | longwave infrared |
| NIR | near infrared |
| SWIR | shortwave infrared |
| BT | brightness temperature |
| SEVIRI | Spinning Enhanced Visible and Infrared Imager |
| DDM | Dynamic Detection Model |
| RST | robust satellite technique |
| ALICE | Absolute Local Index of Change of the Environment |
| MODIS | Moderate Resolution Imaging Spectroradiometer |
| CCD | charge-coupled device |
| IRS | infrared camera sensor |
| HJ-1 | Environment and Disaster Monitoring and Forecasting with a Small Satellite Constellation |
| LAADS | Level 1 and Atmosphere Archive and Distribution System |
| ROI | region-of-interest |
| DN | digital number |
References
- Loehman, R.A.; Reinhardt, E.; Riley, K.L. Wildland fire emissions, carbon, and climate: Seeing the forest and the trees—A cross-scale assessment of wildfire and carbon dynamics in fire-prone, forested ecosystems. For. Ecol. Manag. 2014, 317, 9–19. [Google Scholar] [CrossRef]
- Martell, D.L. A Review of recent forest and wildland fire management decision support systems research. Curr. For. Rep. 2015, 1, 128–137. [Google Scholar] [CrossRef]
- Wooster, M.J.; Xu, W.; Nightingale, T. Sentinel-3 SLSTR active fire detection and FRP product: Pre-launch algorithm development and performance evaluation using MODIS and ASTER datasets. Remote Sens. Environ. 2012, 120, 236–254. [Google Scholar] [CrossRef]
- He, L.; Li, Z. Enhancement of a fire detection algorithm by eliminating solar reflection in the mid-IR band: Application to AVHRR data. Int. J. Remote Sens. 2012, 33, 7047–7059. [Google Scholar] [CrossRef]
- Arino, O.; Casadio, S.; Serpe, D. Global night-time fire season timing and fire count trends using the ATSR instrument series. Remote Sens. Environ. 2012, 116, 226–238. [Google Scholar] [CrossRef]
- Hassini, A.; Benabdelouahed, F.; Benabadji, N. Active fire monitoring with level 1.5 MSG satellite images. Am. J. Appl. Sci. 2009, 6, 157. [Google Scholar] [CrossRef]
- Li, Z.; Nadon, S.; Cihlar, J. Satellite-based detection of Canadian boreal forest fires: Development and application of the algorithm. Int. J. Remote Sens. 2000, 21, 3057–3069. [Google Scholar] [CrossRef]
- Giglio, L.; Descloitres, J.; Justice, C.O. An enhanced contextual fire detection algorithm for MODIS. Remote Sens. Environ. 2003, 87, 273–282. [Google Scholar] [CrossRef]
- Amraoui, M.; DaCamara, C.C.; Pereira, J.M.C. Detection and monitoring of African vegetation fires using MSG-SEVIRI imagery. Remote Sens. Environ. 2010, 114, 1038–1052. [Google Scholar] [CrossRef]
- Csiszar, I.; Schroeder, W.; Giglio, L. Active fires from the Suomi NPP Visible Infrared Imaging Radiometer Suite: Product status and first evaluation results. J. Geophys. Res. Atmos. 2014, 119, 803–816. [Google Scholar] [CrossRef]
- Roberts, G.J.; Wooster, M.J. Fire detection and fire characterization over Africa using Meteosat SEVIRI. IEEE Trans. Geosci. Remote Sens. 2008, 46, 1200–1218. [Google Scholar] [CrossRef]
- Giglio, L.; Schroeder, W.; Justice, C.O. The collection 6 MODIS active fire detection algorithm and fire products. Remote Sens. Environ. 2016, 178, 31–41. [Google Scholar] [CrossRef]
- Laneve, G.; Castronuovo, M.M.; Cadau, E.G. Continuous monitoring of forest fires in the Mediterranean area using MSG. IEEE Trans. Geosci. Remote Sens. 2006, 44, 2761–2768. [Google Scholar] [CrossRef]
- Koltunov, A.; Ustin, S.L. Early fire detection using non-linear multitemporal prediction of thermal imagery. Remote Sens. Environ. 2007, 110, 18–28. [Google Scholar] [CrossRef]
- Mazzeo, G.; Marchese, F.; Filizzola, C. A Multi-temporal Robust Satellite Technique (RST) for forest fire detection. In Proceedings of the International Workshop on the Analysis of Multi-temporal Remote Sensing Images, Leuven, Belgium, 18–20 July 2007.
- Roberts, G.; Wooster, M.J. Development of a multi-temporal Kalman filter approach to geostationary active fire detection & fire radiative power (FRP) estimation. Remote Sens. Environ. 2014, 152, 392–412. [Google Scholar]
- China Centre for Resources Satellite Data and Application. Available online: http://www.cresda.com/CN/Satellite/3064.shtml (accessed on 21 March 2016).
- Zhang, Y.; Liu, Z.; Wang, Y. Inversion of aerosol optical depth based on the CCD and IRS sensors on the HJ-1 satellites. Remote Sens. 2014, 6, 8760–8778. [Google Scholar] [CrossRef]
- Wang, Q.; Wu, C.Q.; Li, Q. Chinese HJ-1A/B satellites and data characteristics. Sci. China Earth Sci. 2010, 53, 51–57. [Google Scholar] [CrossRef]
- Csiszar, I.; Morisette, J.T.; Giglio, L. Validation of active fire detection from moderate-resolution satellite sensors: The MODIS example in northern Eurasia. IEEE Trans. Geosci. Remote Sens. 2006, 44, 1757–1764. [Google Scholar] [CrossRef]
- Calle, A.; González-Alonso, F.; Merino De Miguel, S. Validation of active forest fires detected by MSG-SEVIRI by means of MODIS hot spots and AWiFS images. Int. J. Remote Sens. 2008, 29, 3407–3415. [Google Scholar] [CrossRef]
- Liew, S.C.; Shen, C.; Low, J. Validation of MODIS fire product over Sumatra and Borneo using high resolution SPOT imagery. In Proceedings of the 24th Asian Conference on Remote Sensing and 2003 International Symposium on Remote Sensing, Busan, South Korea, 9–13 October 2003.
- MODIS Policies. Available online: https://lpdaac.usgs.gov/user_services/modis_policies (accessed on 21 March 2016).
- Wang, S.D.; Miao, L.L.; Peng, G.X. An improved algorithm for forest fire detection using HJ data. Procedia Environ. Sci. 2012, 13, 140–150. [Google Scholar] [CrossRef]
- Yang, J.; Gong, P.; Zhou, J.X. Detection of the urban heat island in Beijing using HJ-1B satellite imagery. Sci. China Earth Sci. 2010, 53, 67–73. [Google Scholar] [CrossRef]
- Zhan, J.; Fan, C.; Li, T. A forest firespot automatic detection algorithm for HJ-IRS imagery. Geomat. Inf. Sci. Wuhan Univ. 2012, 37, 1321–1324. (In Chinese) [Google Scholar]

















| Satellite Platform | Sensor | Band | Spectral Range (μm) | Centre Wavelength (μm) | Spatial Resolution (m) | Amplitude Width (km) | Revisit Cycle (Days) |
|---|---|---|---|---|---|---|---|
| HJ-1B | CCD1 and CCD2 | 1 | 0.43−0.52 | 0.475 | 30 | 360 (single) 700 (double) | 4 |
| 2 | 0.52−0.60 | 0.56 | |||||
| 3 | 0.63−0.69 | 0.66 | |||||
| 4 | 0.76−0.90 | 0.83 | |||||
| IRS | 5 | 0.75−1.10 | 0.92 | 150 | 720 | 4 | |
| 6 | 1.55−1.75 | 1.65 | |||||
| 7 | 3.50−3.90 | 3.70 | |||||
| 8 | 10.5−12.5 | 11.5 | 300 |
| Data | Real Fire Pixels | Detected Fire Pixels | Commission Error (%) | Omission Error (%) | |||
|---|---|---|---|---|---|---|---|
| Contextual Algorithm | STM | Contextual Algorithm | STM | Contextual Algorithm | STM | ||
| 28 April 2009 | 196 | 228 | 223 | 18.86 | 14.80 | 5.61 | 3.06 |
| 29 April 2009 | 3311 | 3329 | 3518 | 7.15 | 9.24 | 6.64 | 3.36 |
| 03 May 2009 | 627 | 614 | 624 | 18.73 | 15.87 | 20.42 | 16.27 |
| 11 May 2009 | 24 | 29 | 19 | 24.14 | 0 | 8.33 | 20.83 |
| Overall | 4158 | 4200 | 4384 | 9.45 | 9.91 | 8.68 | 5.56 |
© 2016 by the authors; licensee MDPI, Basel, Switzerland. This article is an open access article distributed under the terms and conditions of the Creative Commons Attribution (CC-BY) license (http://creativecommons.org/licenses/by/4.0/).
Share and Cite
Lin, L.; Meng, Y.; Yue, A.; Yuan, Y.; Liu, X.; Chen, J.; Zhang, M.; Chen, J. A Spatio-Temporal Model for Forest Fire Detection Using HJ-IRS Satellite Data. Remote Sens. 2016, 8, 403. https://doi.org/10.3390/rs8050403
Lin L, Meng Y, Yue A, Yuan Y, Liu X, Chen J, Zhang M, Chen J. A Spatio-Temporal Model for Forest Fire Detection Using HJ-IRS Satellite Data. Remote Sensing. 2016; 8(5):403. https://doi.org/10.3390/rs8050403
Chicago/Turabian StyleLin, Lei, Yu Meng, Anzhi Yue, Yuan Yuan, Xiaoyi Liu, Jingbo Chen, Mengmeng Zhang, and Jiansheng Chen. 2016. "A Spatio-Temporal Model for Forest Fire Detection Using HJ-IRS Satellite Data" Remote Sensing 8, no. 5: 403. https://doi.org/10.3390/rs8050403
APA StyleLin, L., Meng, Y., Yue, A., Yuan, Y., Liu, X., Chen, J., Zhang, M., & Chen, J. (2016). A Spatio-Temporal Model for Forest Fire Detection Using HJ-IRS Satellite Data. Remote Sensing, 8(5), 403. https://doi.org/10.3390/rs8050403

