Assessment of the Suomi NPP VIIRS Land Surface Albedo Data Using Station Measurements and High-Resolution Albedo Maps
Abstract
:1. Introduction
2. Data
2.1. Ground Measurements
| Networks | Site | Latitude | Longitude | Land Surface Type | 
|---|---|---|---|---|
| SURFRAD | Bondville | 40.05 | −88.37 | Cropland | 
| Sioux Falls | 43.73 | −96.62 | Cropland | |
| Table Mountain | 40.12 | −105.23 | Forest | |
| Desert Rock | 36.62 | −116.01 | Desert | |
| Boulder | 48.30 | −105.10 | Grassland | |
| Penn State | 40.72 | −77.93 | Grassland | |
| Goodwin Creek | 34.25 | −89.87 | Grassland | |
| BSRN | Tateno | 36.05 | 140.12 | Grassland | 
| Tiksi | 71.58 | 128.91 | Tundra | |
| Toravere | 58.25 | 26.46 | Savannas | |
| Ameri-Flux | USDia | 37.67 | −121.53 | Grassland | 
| USFR3 | 29.94 | −97.99 | Grassland | |
| USWcr | 45.80 | −90.07 | Grassland | |
| GC-Net | GITS | 77.13 | −61.04 | Snow | 
| Humboldt | 78.52 | −56.83 | Snow | |
| Summit | 72.57 | −38.50 | Snow | |
| Tunu-N | 78.01 | −33.98 | Snow | |
| DYE-2 | 66.48 | −46.28 | Snow | |
| Saddle | 65.99 | −44.50 | Snow | |
| South-Dome | 63.14 | −44.81 | Snow | |
| NASA-E | 75.00 | −29.99 | Snow | |
| NASA-SE | 66.47 | −42.49 | Snow | |
| NEEM | 77.50 | −50.87 | Snow | 
2.2. VIIRS LSA EDR Product
2.3. MODIS Albedo Product
2.4. Landsat-Retrieved Albedo
3. Result Analysis
3.1. VIIRS Validation Against Field Measurements
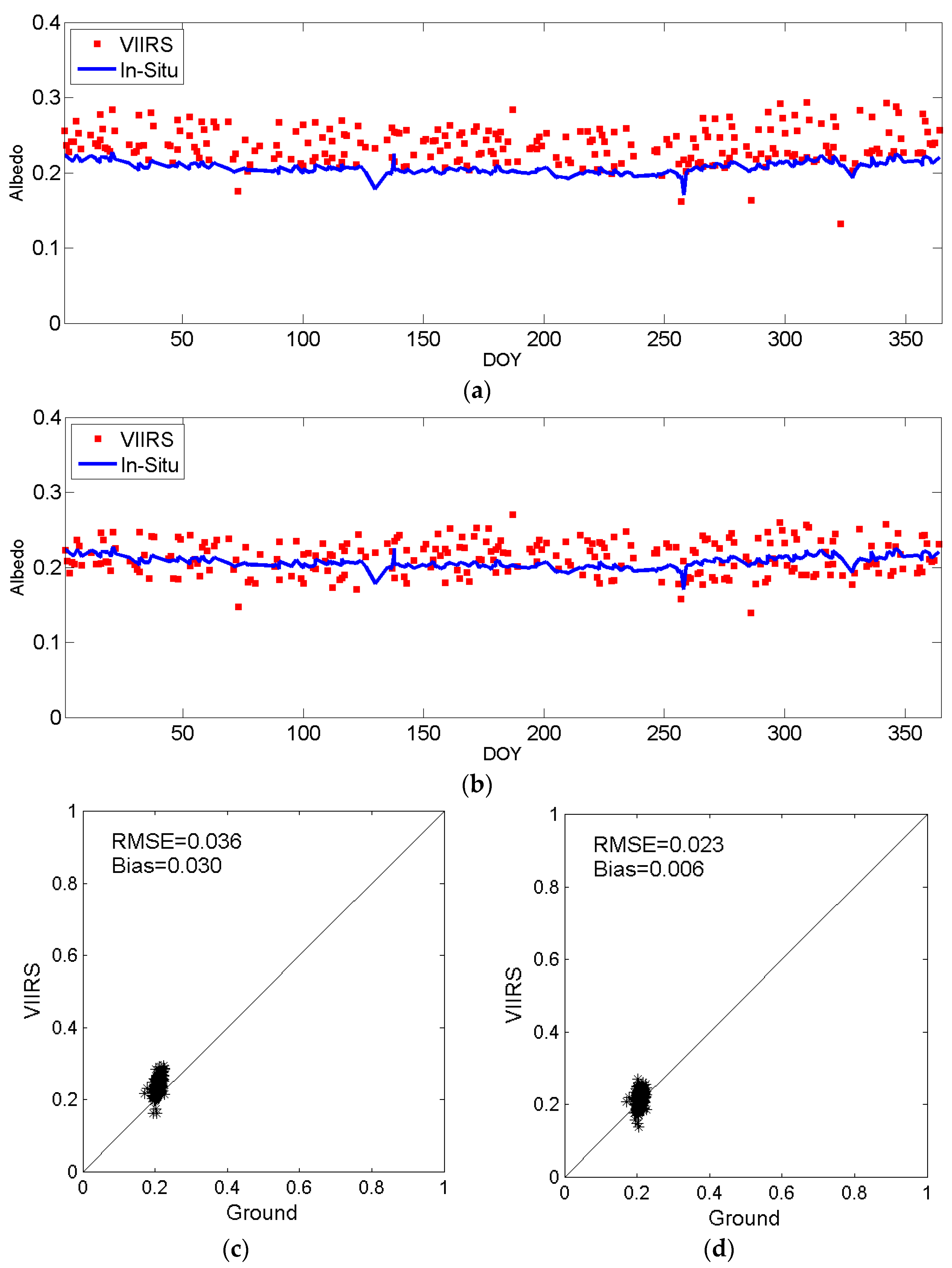
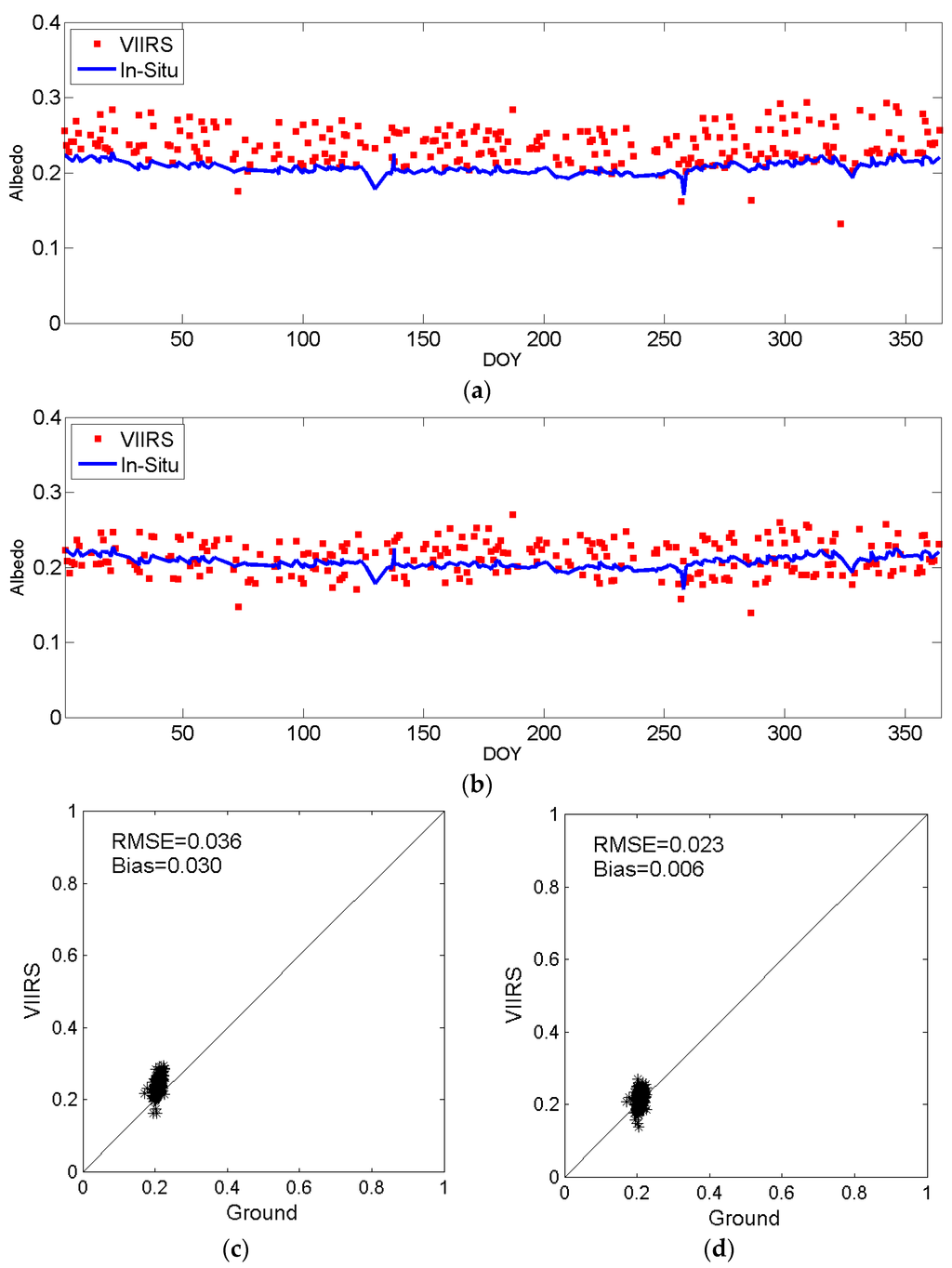
3.1.1. Vegetated Surfaces
| Site | Overall | Snow-Free | ||
|---|---|---|---|---|
| RMSE | Bias | RMSE | Bias | |
| Bondville | 0.079 | −0.040 | 0.071 | −0.040 | 
| Sioux Falls | 0.051 | 0.031 | 0.024 | 0.007 | 
| Table Mountain | 0.056 | 0.024 | 0.028 | 0.012 | 
| Boulder | 0.024 | −0.003 | 0.027 | 0.007 | 
| Penn State | 0.068 | −0.041 | 0.042 | −0.028 | 
| Goodwin Creek | 0.033 | −0.020 | 0.033 | −0.020 | 
| Tateno | 0.046 | −0.003 | 0.046 | −0.003 | 
| Tiksi | 0.042 | 0.010 | 0.040 | 0.016 | 
| Toravere | 0.051 | 0.007 | 0.053 | 0.005 | 
| USDia | 0.038 | 0.004 | 0.038 | 0.004 | 
| USFR3 | 0.036 | 0.026 | 0.036 | 0.026 | 
| USWcr | 0.050 | −0.005 | 0.050 | −0.005 | 
| Overall | 0.050 | −0.010 | 0.033 | −0.007 | 

3.1.2. Desert

3.1.3. Snow



| Site | Lambertian LUT | Generic LUT | Snow LUT | |||
|---|---|---|---|---|---|---|
| RMSE | Bias | RMSE | Bias | RMSE | Bias | |
| GITS | 0.067 | 0.011 | 0.102 | −0.066 | 0.068 | −0.012 | 
| Humboldt | 0.081 | −0.013 | 0.095 | −0.073 | 0.090 | −0.046 | 
| Summit | 0.058 | 0.037 | 0.072 | −0.028 | 0.058 | −0.007 | 
| Tunu-N | 0.050 | −0.017 | 0.087 | −0.072 | 0.090 | −0.057 | 
| DYE-2 | 0.103 | 0.067 | 0.074 | 0.007 | 0.070 | 0.039 | 
| Saddle | 0.080 | 0.036 | 0.092 | −0.032 | 0.073 | −0.005 | 
| South-Dome | 0.143 | 0.106 | 0.096 | 0.053 | 0.096 | 0.057 | 
| NASA-E | 0.065 | −0.011 | 0.090 | −0.060 | 0.083 | −0.037 | 
| NASA-SE | 0.069 | 0.029 | 0.077 | −0.036 | 0.072 | −0.018 | 
| NEEM | 0.059 | 0.006 | 0.084 | −0.056 | 0.068 | −0.040 | 
| Overall | 0.077 | 0.006 | 0.093 | −0.052 | 0.087 | −0.024 | 
3.2. VIIRS Validated against Landsat




3.3. VIIRS Validated against MODIS

4. Summary
- (1)
- The updated desert LUT captures better albedo over a desert site than the original LUT upon the test results in the local environment, suggesting the potential of such updated LUT to the improve the VIIRS LSA product accuracy. Further validations with extensive desert sites are needed to comprehensively demonstrate the effectiveness of the new desert LUT. In addition, the newly developed snow-specific LUT also improves the accuracy of VIIRS LSA estimation over snow surfaces, thereby improving the overall accuracy over all validation sites.
- (2)
- For snow-covered sites from the GC-Net network, LSA retrieved using both Lambertian-based LUT and snow-specific BRDF LUT perform much better than that obtained using generic BRDF LUT. In addition, Lambertian LUT generates a slightly higher accuracy than that of snow-specific LUT, owing to the different sensitivity of albedo estimation biases to the SZA between the two LUTs. Further investigation might be needed to identify a threshold of SZA to determine the most appropriate LUT for snow-covered surface in high-latitude areas.
- (3)
- By validating against Landsat-retrieved albedo, it is found that VIIRS LSA is also comparable to high-resolution albedo retrieval (RMSE < 0.04), although Landsat albedo has slightly better ground validation results than that of VIIRS, which is probably attributed to the fact that the high-resolution Landsat data is nearly free from the impact of heterogeneous surface and mixed pixel effect. Point spread function will be implemented to mitigate such discrepancies in future works.
- (4)
- VIIRS LSA retrievals agree well with the MODIS albedo product over all kinds of surfaces, including vegetated, desert, and snow surfaces, with the overall RMSE of lower than 0.05 and overall bias of lower than 0.025. As the successor of MODIS, it is demonstrated that VIIRS is capable of producing LSA product, whose accuracy is comparable to MODIS.
Acknowledgments
Author Contributions
Conflicts of Interest
References
- Liang, S. Quantitative Remote Sensing of Land Surfaces; Wiley: Hoboken, NJ, USA, 2004. [Google Scholar]
- Dickinson, R.E. Land surface processes and climate—Surface albedos and energy balance. Adv. Geophys. 1983, 25, 305–353. [Google Scholar]
- Chapin, F.S.; Randerson, J.T.; McGuire, A.D.; Foley, J.A.; Field, C.B. Changing feedbacks in the climate—Biosphere system. Front. Ecol. Environ. 2008, 6, 313–320. [Google Scholar] [CrossRef]
- Bonan, G.B. Forests and climate change: Forcings, feedbacks, and the climate benefits of forests. Science 2008, 320, 1444–1449. [Google Scholar] [CrossRef] [PubMed]
- Sellers, P.J.; Hall, F.G.; Kelly, R.D.; Black, A.; Baldocchi, D.; Berry, J.; Ryan, M.; Ranson, K.J.; Crill, P.M.; Lettenmaier, D.P.; et al. BOREAS in 1997: Experiment overview, scientific results, and future directions. J. Geophys. Res. 1997, 102, 28731. [Google Scholar]
- Ollinger, S.V.; Richardson, A.D.; Martin, M.E.; Hollinger, D.Y.; Frolking, S.E.; Reich, P.B.; Plourde, L.C.; Katul, G.G.; Munger, J.W.; Oren, R.; et al. Canopy nitrogen, carbon assimilation, and albedo in temperate and boreal forests: Functional relations and potential climate feedbacks. Proc. Natl. Acad. Sci. USA 2008, 105, 19336–19341. [Google Scholar] [PubMed]
- Lawrence, D.M.; Slingo, J.M. An annual cycle of vegetation in a GCM. Part II: Global impacts on climate and hydrology. Clim. Dyn. 2004, 22, 107–122. [Google Scholar]
- Cescatti, A.; Marcolla, B.; Santhana Vannan, S.K.; Pan, J.Y.; Román, M.O.; Yang, X.; Ciais, P.; Cook, R.B.; Law, B.E.; Matteucci, G.; et al. Intercomparison of MODIS albedo retrievals and in situ measurements across the global FLUXNET network. Remote Sens. Environ. 2012, 121, 323–334. [Google Scholar]
- Chapin, F.S.; Sturm, M.; Serreze, M.C.; McFadden, J.P.; Key, J.R.; Lloyd, A.H.; McGuire, A.D.; Rupp, T.S.; Lynch, A.H.; Schimel, J.P.; et al. Role of land-surface changes in arctic summer warming. Science 2005, 310, 657–660. [Google Scholar] [PubMed]
- Rotenberg, E.; Yakir, D. Contribution of semi-arid forests to the climate system. Science 2010, 327, 451–454. [Google Scholar] [CrossRef] [PubMed]
- Bird, D.N.; Kunda, M.; Mayer, A.; Schlamadinger, B.; Canella, L.; Johnston, M. Incorporating changes in albedo in estimating the climate mitigation benefits of land use change projects. Biogeosci. Discuss. 2008, 5, 1511–1543. [Google Scholar] [CrossRef]
- Betts, R.A. Offset of the potential carbon sink from boreal forestation by decreases in surface albedo. Nature 2000, 408, 187–190. [Google Scholar] [CrossRef] [PubMed]
- Anderson, R.G.; Canadell, J.G.; Randerson, J.T.; Jackson, R.B.; Hungate, B.A.; Baldocchi, D.D.; Ban-Weiss, G.A.; Bonan, G.B.; Caldeira, K.; Cao, L.; et al. Biophysical considerations in forestry for climate protection. Front. Ecol. Environ. 2011, 9, 174–182. [Google Scholar]
- Liang, S. A direct algorithm for estimating land surface broadband albedos from MODIS imagery. IEEE Trans. Geosci. Remote Sens. 2003, 41, 136–145. [Google Scholar] [CrossRef]
- Wang, D.; Liang, S.; He, T.; Yu, Y. Direct estimation of land surface albedo from VIIRS data: Algorithm improvement and preliminary validation. J. Geophys. Res. Atmos. 2013, 118, 12,577. [Google Scholar] [CrossRef]
- Raschke, E.; Vonder Haar, T.H.; Bandeen, W.R.; Pasternak, M. The annual radiation balance of the earth-atmosphere system during 1969–1970 from Nimbus 3 measurements. J. Atmos. Sci. 1973, 30, 341–364. [Google Scholar] [CrossRef]
- Li, Z.; Garand, L. Estimation of surface albedo from space: A parameterization for global application. J. Geophys. Res. 1994, 99, 8335. [Google Scholar] [CrossRef]
- Csiszar, I.; Gutman, G. Mapping global land surface albedo from NOAA AVHRR. J. Geophys. Res. 1999, 104, 6215. [Google Scholar] [CrossRef]
- Schaaf, C.B.; Gao, F.; Strahler, A.H.; Lucht, W.; Li, X.; Tsang, T.; Strugnell, N.C.; Zhang, X.; Jin, Y.; Muller, J.-P.; et al. First operational BRDF, albedo nadir reflectance products from MODIS. Remote Sens. Environ. 2002, 83, 135–148. [Google Scholar]
- Salomonson, V.V.; Barnes, W.L.; Maymon, P.W.; Montgomery, H.E.; Ostrow, H. MODIS: Advanced facility instrument for studies of the earth as a system. IEEE Trans. Geosci. Remote Sens. 1989, 27, 145–153. [Google Scholar] [CrossRef]
- Lucht, W.; Schaaf, C.B.; Strahler, A.H. An algorithm for the retrieval of albedo from space using semiempirical BRDF models. IEEE Trans. Geosci. Remote Sens. 2000, 38, 977–998. [Google Scholar] [CrossRef]
- Wang, D.; Liang, S.; He, T.; Yu, Y.; Schaaf, C.; Wang, Z. Estimating daily mean land surface albedo from MODIS data. J. Geophys. Res. Atmos. 2015, 120, 4825–4841. [Google Scholar] [CrossRef]
- Qu, Y.; Liu, Q.; Liang, S.; Wang, L.; Liu, N.; Liu, S. Direct-estimation algorithm for mapping daily land-surface broadband albedo from MODIS data. IEEE Trans. Geosci. Remote Sens. 2014, 52, 907–919. [Google Scholar] [CrossRef]
- He, T.; Liang, S.; Wang, D.; Wu, H.; Yu, Y.; Wang, J. Estimation of surface albedo and directional reflectance from Moderate Resolution Imaging Spectroradiometer (MODIS) observations. Remote Sens. Environ. 2012, 119, 286–300. [Google Scholar] [CrossRef]
- Liang, S. Mapping daily snow/ice shortwave broadband albedo from Moderate Resolution Imaging Spectroradiometer (MODIS): The improved direct retrieval algorithm and validation with Greenland in situ measurement. J. Geophys. Res. 2005, 110. [Google Scholar] [CrossRef]
- Gao, F. MODIS bidirectional reflectance distribution function and albedo Climate Modeling Grid products and the variability of albedo for major global vegetation types. J. Geophys. Res. 2005, 110. [Google Scholar] [CrossRef]
- Lucht, W.; Hyman, A.H.; Strahler, A.H.; Barnsley, M.J.; Hobson, P.; Muller, J.-P. A comparison of satellite-derived spectral albedos to ground-based broadband albedo measurements modeled to satellite spatial scale for a semidesert landscape. Remote Sens. Environ. 2000, 74, 85–98. [Google Scholar] [CrossRef]
- Liang, S.; Strahler, A.H.; Walthall, C. Retrieval of land surface albedo from satellite observations: A simulation study. J. Appl. Meteor. 1999, 38, 712–725. [Google Scholar] [CrossRef]
- Wang, Z.; Barlage, M.; Zeng, X.; Dickinson, R.; Schaaf, C. The solar zenith angle dependence of desert albedo. Geophys. Res. Lett. 2005, 32. [Google Scholar] [CrossRef]
- Maignan, F.; Bréon, F.-M.; Lacaze, R. Bidirectional reflectance of Earth targets: Evaluation of analytical models using a large set of spaceborne measurements with emphasis on the hot spot. Remote Sens. Environ. 2004, 90, 210–220. [Google Scholar] [CrossRef]
- Bicheron, P.; Leroy, M. Bidirectional reflectance distribution function signatures of major biomes observed from space. J. Geophys. Res. 2000, 105, 26669. [Google Scholar] [CrossRef]
- Bacour, C.; Bréon, F.-M. Variability of biome reflectance directional signatures as seen by POLDER. Remote Sens. Environ. 2005, 98, 80–95. [Google Scholar] [CrossRef]
- Muller, J.-P. Algorithm theoretical basis document ATBD 1:4: BRDF/ALBEDO RETRIEVAL. MERIS AlbedoMaps 2006, 1, 1–19. [Google Scholar]
- Rutan, D.; Rose, F.; Roman, M.; Manalo-Smith, N.; Schaaf, C.; Charlock, T. Development and assessment of broadband surface albedo from Clouds and the Earth’s Radiant Energy System Clouds and Radiation Swath data product. J. Geophys. Res. 2009, 114. [Google Scholar] [CrossRef]
- Rutan, D.; Charlock, T.; Rose, F.; Kato, S.; Zentz, S.; Coleman, L. Global Surface Albedo from CERES/TERRA Surface and Atmospheric Radiation Budget (SARB) Data Product. In Proceedings of the 12th conference on atmospheric radiation (AMS), Madison, WI, USA, 10–14 July 2006.
- He, T.; Liang, S.; Wang, D.; Shi, Q.; Tao, X. Estimation of high-resolution land surface shortwave albedo from AVIRIS data. IEEE J. Sel. Top. Appl. Earth Obs. Remote Sens. 2014, 7, 4919–4928. [Google Scholar] [CrossRef]
- Hulley, G.C.; Hook, S.J. Intercomparison of versions 4, 4.1 and 5 of the MODIS land surface temperature and emissivity products and validation with laboratory measurements of sand samples from the Namib desert, Namibia. Remote Sens. Environ. 2009, 113, 1313–1318. [Google Scholar]
- NOAA Comprehensive Large Array-data Stewardship System (CLASS). Available online: http://www.nsof.class.gov/saa/products/welcome (accessed on 8 October 2014).
- He, T.; Liang, S.; Wang, D.; Chen, X.; Song, D.-X.; Jiang, B. Land surface albedo estimation from Chinese HJ satellite data based on the direct estimation approach. Remote Sens. 2015, 7, 5495–5510. [Google Scholar] [CrossRef]
- Mira, M.; Weiss, M.; Baret, F.; Courault, D.; Hagolle, O.; Gallego-Elvira, B.; Olioso, A. The MODIS (collection V006) BRDF/albedo product MCD43D: Temporal course evaluated over agricultural landscape. Remote Sens. Environ. 2015, 170, 216–228. [Google Scholar] [CrossRef]
- Campagnolo, M.L.; Montano, E.L. Estimation of effective resolution for daily MODIS gridded surface reflectance products. IEEE Trans. Geosci. Remote Sens. 2014, 52, 5622–5632. [Google Scholar] [CrossRef]
© 2016 by the authors; licensee MDPI, Basel, Switzerland. This article is an open access article distributed under the terms and conditions of the Creative Commons by Attribution (CC-BY) license (http://creativecommons.org/licenses/by/4.0/).
Share and Cite
Zhou, Y.; Wang, D.; Liang, S.; Yu, Y.; He, T. Assessment of the Suomi NPP VIIRS Land Surface Albedo Data Using Station Measurements and High-Resolution Albedo Maps. Remote Sens. 2016, 8, 137. https://doi.org/10.3390/rs8020137
Zhou Y, Wang D, Liang S, Yu Y, He T. Assessment of the Suomi NPP VIIRS Land Surface Albedo Data Using Station Measurements and High-Resolution Albedo Maps. Remote Sensing. 2016; 8(2):137. https://doi.org/10.3390/rs8020137
Chicago/Turabian StyleZhou, Yuan, Dongdong Wang, Shunlin Liang, Yunyue Yu, and Tao He. 2016. "Assessment of the Suomi NPP VIIRS Land Surface Albedo Data Using Station Measurements and High-Resolution Albedo Maps" Remote Sensing 8, no. 2: 137. https://doi.org/10.3390/rs8020137
APA StyleZhou, Y., Wang, D., Liang, S., Yu, Y., & He, T. (2016). Assessment of the Suomi NPP VIIRS Land Surface Albedo Data Using Station Measurements and High-Resolution Albedo Maps. Remote Sensing, 8(2), 137. https://doi.org/10.3390/rs8020137
 
        


 
                         
       