Characterizing the Pixel Footprint of Satellite Albedo Products Derived from MODIS Reflectance in the Heihe River Basin, China
Abstract
:1. Introduction

2. Data Sources and Research Area
2.1. 1-km Albedo Product
2.2. 30-m HJ Albedo Product
2.3. Study Area

| Scope | Set No. | HJ Product Date (Julian Day) | Comparison Scale | MODIS Product Date | GLASS Product Date |
|---|---|---|---|---|---|
| midstream | m1 | 30 June 2012 (182) | 500-m/1-km | 177 | 185 |
| m2 | 3 August 2012 (216) | 500-m/1-km | 209 | 217 | |
| m3 | 2 September 2012 (246) | 500-m/1-km | 241 | 249 | |
| m4 | 30 September 2012 (274) | 1-km | 265 | 273 | |
| m5 | 8 March 2013 (67) | 500-m | 57 | ||
| m6 | 2 April 2013 (92) | 500-m | 89 | ||
| m7 | 2 May 2013 (122) | 500-m | 113 | ||
| m8 | 11 June 2013 (162) | 500-m | 153 | ||
| downstream | d1 | 2 April 2013 (92) | 500-m | 89 | |
| d2 | 9 May 2013 (129) | 500-m | 121 | ||
| d3 | 2 August 2013 (214) | 500-m | 209 | ||
| d4 | 4 September 2013 (247) | 500-m | 241 | ||
| d5 | 3 October 2013 (276) | 500-m | 273 |
3. Simulation of the 500-m/1-km Albedo PSF Model
3.1. Method


3.2. Result

| Scope | Sensor | Product | c | s (m) | θ (°) | RMSE |
|---|---|---|---|---|---|---|
| midstream | Terra | MOD43A3 | 1.43 (0.053) | 368.69 (10.62) | −23.28 (2.45) | 0.059 (0.0045) |
| downstream | Terra | MOD43A3 | 1.45 (0.047) | 376.90 (7.54) | −23.89 (2.17) | 0.056 (0.0041) |
| Average * | Aqua | MYD43A3 | 1.4181 (0.0748) | 390.76 (12.93) | 22.2688 (3.52) | 0.0628 (0.0056) |
| Average | Terra + Aqua | MCD43A3 | 1.1831 (0.0514) | 375.0916 (25.82) | 1.9209 (8.4298) | 0.0568 (0.0087) |
4. Discussion
4.1. Comparison of the Simulated Albedo PSF Model with Other PSF Models


4.2. Application of the Models in Albedo Upscaling at 500-m



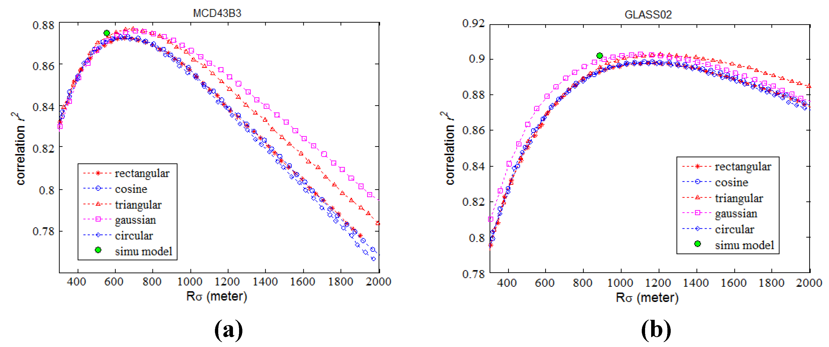
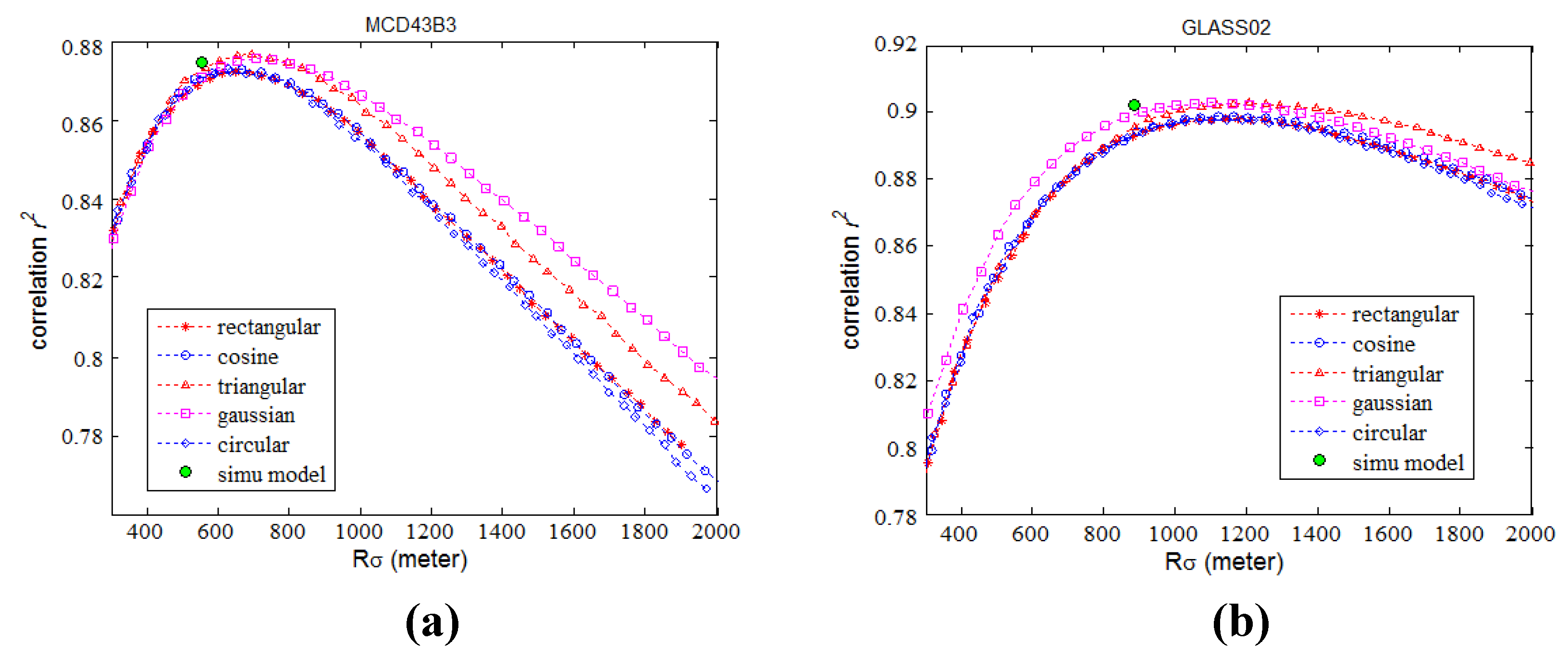
4.3. Comparison of the PSFs of MCD43B3 and GLASS02 at the 1-km Scale
| Product | c | s (m) | θ (°) | Rσ (m) | FWHMa (m) | FWHMb (m) |
|---|---|---|---|---|---|---|
| MCD43B3 | 1.6 | 482.09 | −26.17 | 568.4 | 1135 | 709 |
| GLASS02 | 1.36 | 700 | 2.3 | 868.86 | 1648 | 1212 |


| HJ Date | MCD43 | GLASS02 | |||
|---|---|---|---|---|---|
| x | y | x | y | ||
| 20120630 | −69 | 100 | −104 | −18 | |
| 20120803 | −102 | 62 | −231 | −121 | |
| 20120902 | −187 | 101 | −202 | −121 | |
| 20120930 | −119 | 168 | −272 | −98 | |
5. Conclusions
Acknowledgments
Author Contributions
Conflicts of Interest
References
- Tan, B.; Woodcock, C.E.; Hu, J.; Zhang, P.; Ozdoganb, M.; Huang, D.; Yang, W.; Knyazikhina, Y.; Myneni, R.B. The impact of gridding artifacts on the local spatial properties of MODIS data: Implications for validation, compositing, and band-to-band registration across resolutions. Remote Sens. Environ. 2006, 105, 98–114. [Google Scholar] [CrossRef]
- Barnes, W.L.; Pagano, T.S.; Salomonson, V.V. Prelaunch characteristics of the moderate resolution imaging spectroradiometer (MODIS) on EOS-AM1. IEEE Trans. Geosci. Remote Sens. 1998, 36, 1088–1100. [Google Scholar] [CrossRef]
- Campagnolo, M.L.; Montano, E.L. Estimation of effective resolution for daily MODIS gridded surface reflectance products. IEEE Trans. Geosci. Remote Sens. 2014, 52, 5622–5632. [Google Scholar] [CrossRef]
- Wolfe, R.E.; Nishihama, M.; Fleig, A.J.; Kuyper, J.A.; Roy, D.P.; Storey, J.C.; Patt, F.S. Achieving sub-pixel geolocation accuracy in support of MODIS land science. Remote Sens. Environ. 2002, 83, 31–49. [Google Scholar] [CrossRef]
- Justice, C.O.; Vermote, E.; Townshend, J.R.; Defries, R.; Roy, D.P.; Hall, D.K.; Salomonson, V.V.; Privette, J.L.; Riggs, G.; Strahler, A. The moderate resolution imaging spectroradiometer (MODIS): Land remote sensing for global change research. IEEE Trans. Geosci. Remote Sens. 1998, 36, 1228–1249. [Google Scholar] [CrossRef]
- Townshend, J.R.G.; Huang, C.; Kalluri, S.N.V.; Defries, R.S.; Liang, S.; Yang, K. Beware of per-pixel characterization of land cover. Int. J. Remote Sens. 2000, 21, 839–843. [Google Scholar] [CrossRef]
- Du, H.; Voss, K.J. Effects of point-spread function on calibration and radiometric accuracy of ccd camera. Appl. Opt. 2004, 43, 665–670. [Google Scholar] [CrossRef] [PubMed]
- Bitlis, B.; Jansson, P.A.; Allebach, J.P. Parametric point spread function modeling and reduction of stray light effects in digital still cameras. Proc. SPIE 2007. [Google Scholar] [CrossRef]
- Zhao, C.; Qi, B.; Youn, E.; Yin, G.; Nansen, C. Use of neighborhood unhomogeneity to detect the edge of hyperspectral spatial stray light region. Optik-Int. J. Light Electron Opt. 2014, 125, 3009–3012. [Google Scholar] [CrossRef]
- Barker, J.L.; Markham, B.L.; Burelbach, J.W. MODIS Image Simulation from Landsat TM Imagery; Global Change and Education ASPRS/ACSM/RT 92; American Society for Photogrammetry and Remote Sensing: Washington, DC, USA, 1992. [Google Scholar]
- Duveiller, G.; Baret, F.; Defourny, P. Crop specific green area index retrieval from MODIS data at regional scale by controlling pixel-target adequacy. Remote Sens. Environ. 2011, 115, 2686–2701. [Google Scholar] [CrossRef]
- Huang, C.; Townshend, J.R.G.; Liang, S.; Kalluri, S.N.V.; DeFries, R.S. Impact of sensor’s point spread function on land cover characterization: Assessment and deconvolution. Remote Sens. Environ. 2002, 80, 203–212. [Google Scholar] [CrossRef]
- Zong, Y.; Brown, S.W.; Meister, G.; Barnes, R.A.; Lykke, K.R. Characterization and Correction of Stray Light in Optical Instruments. Proc. SPIE 2007. [Google Scholar] [CrossRef]
- Pilz, M.; Honold, S.; Kienle, A. Determination of the optical properties of turbid media by measurements of the spatially resolved reflectance considering the point-spread function of the camera system. J. Biomed. Opt. 2008, 13, 4047–4053. [Google Scholar] [CrossRef] [PubMed]
- Hayes, D.J.; Cohen, W.B. Spatial, spectral and temporal patterns of tropical forest cover change as observed with multiple scales of optical satellite data. Remote Sens. Environ. 2007, 106, 1–16. [Google Scholar] [CrossRef]
- Busetto, L.; Meroni, M.; Colombo, R. Combining medium and coarse spatial resolution satellite data to improve the estimation of sub-pixel NDVI time series. Remote Sens. Environ. 2008, 112, 118–131. [Google Scholar] [CrossRef]
- Susaki, J.; Yasuoka, Y.; Kajiwara, K.; Honda, Y.; Hara, K. Validation of MODIS albedo products of paddy fields in Japan. IEEE Trans. Geosci. Remote Sens. 2007, 45, 206–217. [Google Scholar] [CrossRef]
- Mira, M.; Courault, D.; Olioso, A.; Weiss, M.; Marloie, O.; Baret, F.; Hagolle, O.; Gallego-Elvira, B. Validation of MODIS albedo products with high resolution albedo estimates from FORMOSAT-2. In Proceedings of the 2013 IEEE International Geoscience and Remote Sensing Symposium (IGARSS), Melbourne, VIC, Australia, 21–26 July 2013; pp. 3250–3253.
- Schaaf, C.B.; Gao, F.; Strahler, A.H.; Lucht, W.; Li, X.; Tsang, T.; Strugnell, N.C.; Zhang, X.; Jin, Y.; Muller, J.-P. First operational BRDF, albedo nadir reflectance products from MODIS. Remote Sens. Environ. 2002, 83, 135–148. [Google Scholar] [CrossRef]
- Liu, N.; Liu, Q.; Wang, L.; Liang, S.; Wen, J.; Qu, Y.; Liu, S. Mapping spatially-temporally continuous shortwave albedo for global land surface from MODIS data. Hydrol. Earth Syst. Sci. Discuss. 2012, 9, 9043–9064. [Google Scholar] [CrossRef]
- Qu, Y.; Liu, Q.; Liang, S.; Wang, L.; Liu, N.; Liu, S. Direct-estimation algorithm for mapping daily land-surface broadband albedo from MODIS data. IEEE Trans. Geosci. Remote Sens. 2014, 52, 907–919. [Google Scholar] [CrossRef]
- Peng, J.; Liu, Q.; Wen, J.; Liu, Q.; Tang, Y.; Wang, L.; Dou, B.; You, D.; Sun, C.; Zhao, X. Multi-scale validation strategy for satellite albedo products and its uncertainty analysis. Sci. China Earth Sci. 2015, 58, 573–588. [Google Scholar] [CrossRef]
- Li, X.; Cheng, G.; Liu, S.; Xiao, Q.; Ma, M.; Jin, R.; Che, T.; Liu, Q.; Wang, W.; Qi, Y. Heihe watershed allied telemetry experimental research (HiWATER): Scientific objectives and experimental design. Bull. Am. Meteorol. Soc. 2013, 94, 1145–1160. [Google Scholar] [CrossRef]
- Zhong, B.; Nie, A.; Yang, A.; Zhang, H.; Ma, P.; Liu, Q. HiWATER: Land Cover Map of Heihe River Basin; Heihe Plan Science Data Center: Lanzhou, China, 2014. [Google Scholar] [CrossRef]
- Ojansivu, V.; Heikkilä, J. Blur insensitive texture classification using local phase quantization. In Image and Signal Processing; Springer: Berlin/Heidelberg, Germany, 2008; pp. 236–243. [Google Scholar]
- Nishihama, M.; Wolfe, R.; Solomon, D.; Patt, F.; Blanchette, J.; Fleig, A.; Masuoka, E. MODIS Level 1a Earth Location: Algorithm Theoretical Basis Document Version 3.0. Available online: http://oceancolor.gsfc.nasa.gov/DOCS/atbd_mod28_v3.pdf (accessed on 22 May 2015).
- Ge, Y.; Wu, T.; Wang, J.; Ma, J.; Du, Y. Scaled total-least-squares-based registration for optical remote sensing imagery. Earth Sci. Inf. 2012, 5, 137–152. [Google Scholar] [CrossRef]
- Zhang, Z. From digital photogrammetry workstation (DPW) to digital photogrammetry grid (DPGrid). Geomat. Inf. Sci.Wuhan Univ. 2007, 32, 565–571. [Google Scholar]
© 2015 by the authors; licensee MDPI, Basel, Switzerland. This article is an open access article distributed under the terms and conditions of the Creative Commons Attribution license (http://creativecommons.org/licenses/by/4.0/).
Share and Cite
Peng, J.; Liu, Q.; Wang, L.; Liu, Q.; Fan, W.; Lu, M.; Wen, J. Characterizing the Pixel Footprint of Satellite Albedo Products Derived from MODIS Reflectance in the Heihe River Basin, China. Remote Sens. 2015, 7, 6886-6907. https://doi.org/10.3390/rs70606886
Peng J, Liu Q, Wang L, Liu Q, Fan W, Lu M, Wen J. Characterizing the Pixel Footprint of Satellite Albedo Products Derived from MODIS Reflectance in the Heihe River Basin, China. Remote Sensing. 2015; 7(6):6886-6907. https://doi.org/10.3390/rs70606886
Chicago/Turabian StylePeng, Jingjing, Qiang Liu, Lizhao Wang, Qinhuo Liu, Wenjie Fan, Meng Lu, and Jianguang Wen. 2015. "Characterizing the Pixel Footprint of Satellite Albedo Products Derived from MODIS Reflectance in the Heihe River Basin, China" Remote Sensing 7, no. 6: 6886-6907. https://doi.org/10.3390/rs70606886
APA StylePeng, J., Liu, Q., Wang, L., Liu, Q., Fan, W., Lu, M., & Wen, J. (2015). Characterizing the Pixel Footprint of Satellite Albedo Products Derived from MODIS Reflectance in the Heihe River Basin, China. Remote Sensing, 7(6), 6886-6907. https://doi.org/10.3390/rs70606886

