Description and Performance of an L-Band Radiometer with Digital Beamforming
Abstract
:1. Introduction

2. PAU-RAD Overview
- SaVH, Sw are the antenna signal, from vertical and horizontal polarization, and the Wilkinson’s signal, respectively;
- CNS stands for Controlled Noise Source; and
- LPF stands for Low Pass Filter.

The PAU-RAD Instrument
3. Digital Beamforming General Considerations
- is the resulting signal of the digital beamforming steered to at the n instant for the p polarization;
- are the azimuth and zenith angles of the system;
- M is the total number of antennas distributed over a plane in a linear or planar array distribution;
- is the complex weight applied to the mth antenna to steer the beam to ; and
- is the collected signal of the mth antenna at the n instant and for the p polarization.
3.1. Calibration Errors that Can Be Handled by the PAU-RAD Array

3.2. Amplitude and Phase Errors Estimation
- SREF is the output complex signal of the reference receiver;
- SRUT is the output complex signal of the RUT;
- SCNS is the common signal coming from the CNS, which is uncorrelated to the other noise terms;
- Sreceiver-REF and Sreceiver-RUT are the reference and RUT receiver’s noise, which are uncorrelated among them, and to the other terms;
- SW-REF and SW-RUT are the Wilkinson power splitters’ noise of the reference and RUT receivers, which are uncorrelated among them and to the other terms;
- AREF and ARUT are the reference and RUT amplitudes, respectively; and
- φREF and φRUT are the reference and RUT phases, respectively.
- is the expected value operator,
- TCNS is the noise equivalent temperature of the CNS signal injected at receivers’ input;
- and are the physical temperatures of the Wilkinson power splitter of the reference and the RUT receivers;
- and are the receiver’s noise temperatures of the reference and the RUT receivers;
- IREF, is the real part of the analytic SREF signal (SREF= IREF+j QREF);
- IRUT and QRUT, are the real and imaginary parts of the analytic SRUT signal (SRUT= IRUT+j QRUT),
- is the inverse tangent function; and
- ACal-RUT and φCal-RUT are the estimated relative amplitude and phase between the reference receiver and the RUT.
- (a)
- the algorithm assumption that and to compute the amplitude which is not necessarily exactly true;
- (b)
- correlated noise terms generated by the noise distribution network between the CNS and the receivers’ inputs that may introduce offset terms in Equations (4(a–c)); and
- (c)
- phase and amplitude unbalances in the noise distribution network.
- offset1 and offset2 include all the terms in Equations 4, different to TCNS or any other possible offset due to unbalances or correlated noise.
3.3. PAU-RAD Antenna Array Design Criteria
- (a)
- Beamwidth, Δθ−3dB < 25°;
- (b)
- Main Beam Efficiency (MBE) >0.94;
- (c)
- minimum mutual coupling between the array elements
- (d)
- cross-pol coupling <−25 dB, and
- (e)
- DBF creates the beams in the vertical axis only, with an incidence angle up to ±20° from the array boresight in 5° steps to achieve an angular scan range from 25° to 65° when the antenna is tilted 45° (Figure 1).


4. PAU-RAD Design, Development and Integration
- A hardware package, consisting of the physical instrument and the digital design; and
- a software package, involving all the calibration algorithms, the control unit that manages the digital system, the PC control interface and the data processing algorithms.


4.1. PAU-RAD Hardware Description




- Correlation radiometer: Once the beam signals are synthesized (one for the upper channel and another for the lower channel), the correlation radiometer part performs the complex correlation between them. The main tasks of this part are the digital down-conversion to the baseband, low-pass filtering the signals, synthesis of the beams, and correlation of the resulting signals to obtain the Stokes parameters.
- Numerically Controlled Oscillators (NCOs): Is a set of oscillators, each channel has its own NCO. In this case, every individual oscillator consists of a simple look-up table accessed periodically and sequentially. The CU updates the NCO’s amplitude and phase according to the requirements. This is a crucial sub-system of the design, since the NCO set not only down‑converts the signals to baseband, but it also calibrates the amplitude and phase errors, and steers the beam for all the receivers. The content of each RUT look-up table is:where:
- Ω and n are the digital frequency and digital time, respectively;
- ABeam and φBeam are the modulus and phase of the complex weight, assigned to each RUT to steer the beam in the desired direction;
- ACal-RUT and φCal-RUT are the modulus and phase of the complex weight, assigned to each RUT for hardware calibration purposes; and
- Aph and φph are the modulus and phase of the complex weight, to correct any antenna error such as center phase or different path lengths. These values were measured at the UPC anechoic chamber and set as a system parameter.

4.2. PAU-RAD Software Description
- Implements the PAU-RAD finite state machine and the calibration algorithms. This part is running on the CU over a NIOS2 microprocessor, embedded in the FPGA. This software is written in ANSI C language;
- there is a user-friendly control interface on the remote PC side, from where the instrument is operated and the acquired data is stored. This part is written in C# language; and
- the communications channel between the CU and the PC consists of a bidirectional serial communication protocol using a universal asynchronous receiver/transmitter (UART). Over this serial protocol, there is a self-designed application layer, which ensures the communications.

- Init: This is the initialization mode and awaits the PC remote control connection.
- Calibration: The CU sets the ALU to measure the complex cross-correlations between the reference receiver and, sequentially, the other ones, when the CNS is connected to receivers’ inputs. The input temperature value is selected from the three possible values by the CU with two control bits. The measured amplitude and phase at different time instants are then filtered using a Kalman filter to reduce the noise variance (Section 3.2). Finally, the CU updates RUT’s look-up table following Equation (8) and modifying the NCO amplitude and phase values accordingly. At this time, the relative calibration has been performed and the DBF is ready to operate.
- Correlated Internal Reference: The CU sets the ALU to compute the Stokes parameters from the signals obtained after the DBF, when the CNS is connected to receiver’s inputs. This mode is used to perform the internal radiometric calibration, maximizing the period between external calibrations and is performed for each synthesized beam.
- Uncorrelated Internal Reference: The CU sets the ALU to compute the Stokes parameters from the signal obtained after the DBF, when the matched loads are connected to receivers’ inputs. This mode is used to compute the offsets of the Stokes parameters and it is performed for each synthesized beam.
- Normal mode: The CU sets the ALU to compute the Stokes parameters (radiometric observables) from the signals obtained after the DBF, when the antennas are connected to the receiver’s inputs. The system stays in this mode since the receiver phase and gain drifts degrade the beam. This loop is shown in Figure 12 labeled as if calibration not needed. This period is established empirically and depends on the required performance and application. Moreover, it determines the tradeoff between calibration and measurement time.
- Phase Sweep: The CU sets the ALU to measure the complex cross-correlations between the reference receiver and a RUT. The goal of this sequence is to sweep the phase of each NCO from 0 to 2π. As described in [28] this test helps to determine amplitude unbalances between I and Q branches, quadrature and phase errors, and offset errors. In PAU-RAD, since signals are sampled at IF and I/Q demodulation and low-pass filtering is performed digitally, there are only offset errors; therefore only information related to the RUT’s complex offset is obtained.
- Open Loop: Same as previous, but with all RUTs and keeping the NCO constant to evaluate RUTs’ temporal drifts.
- Closed Loop: same as previous, but updating the RUTs’ NCO to track calibration errors.
5. DBF Performance
- Evaluation of the hardware calibration goodness, measuring its impact on the DBF and correction of the array phase center [30] (the point from which the electromagnetic radiation spreads spherically outward, with the phase of the signal being equal at any point on the sphere);
- DBF stability; and
- quality of the beams.

5.1. Evaluation of the Calibration Goodness and Correction of the Phase Center
5.2. DBF Stability

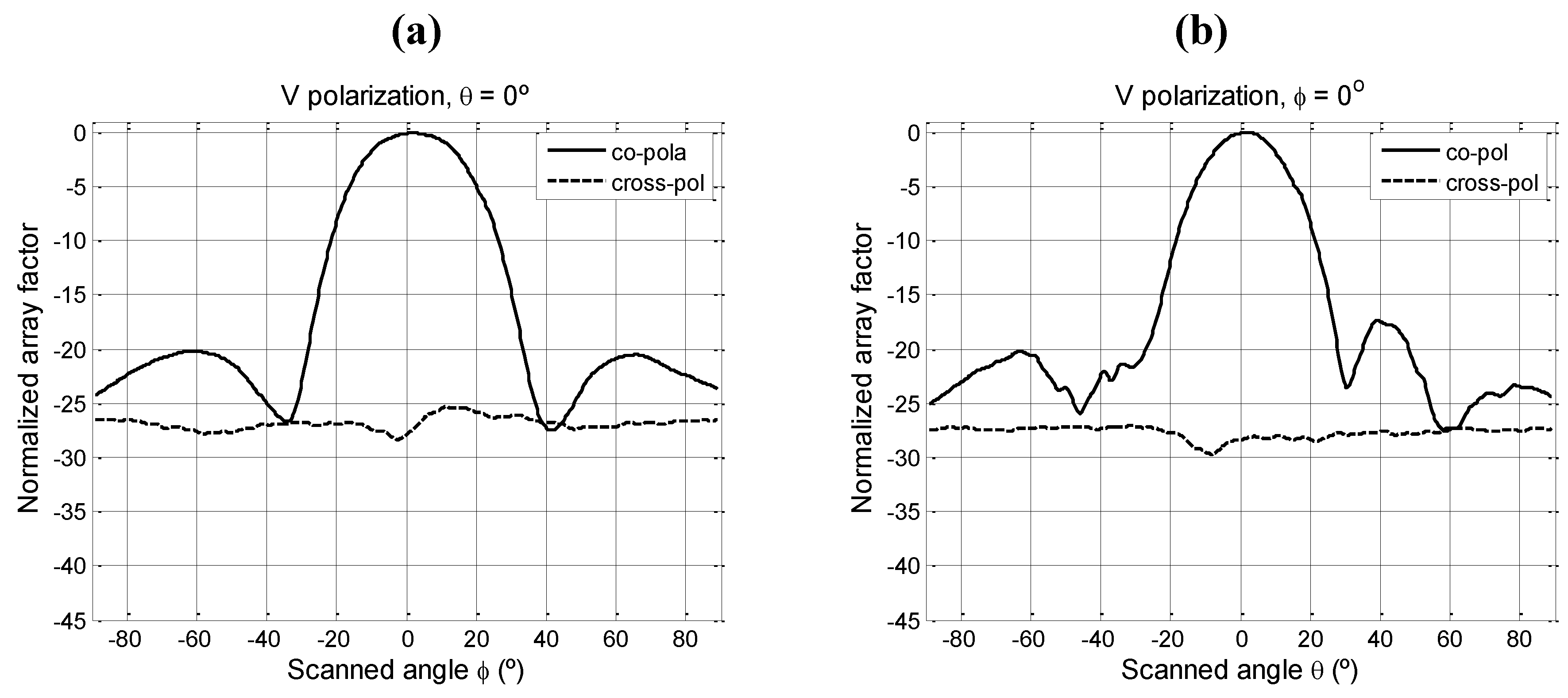
5.3. Beam Synthesis Performance and Steering Tests

| Polarization Beam steering | H | V | HV |
|---|---|---|---|
| −20° | 92.5% | 91.8% | 94.2% |
| −15° | 93.2% | 92.6% | 95.0% |
| −10° | 93.2% | 92.7% | 95.1% |
| −5° | 93.3% | 92.9% | 95.2% |
| 0° | 94.8% | 93.4% | 95.6% |
| 5° | 92.9% | 92.5% | 95.0% |
| 10° | 92.8% | 91.9% | 95.0% |
| 15° | 92.7% | 91.7% | 94.2% |
| 20° | 92.3% | 91.2% | 93.8% |
| Polarization Beam steering | H | V | HV |
|---|---|---|---|
| −20° | 24.6° | 24.2° | 24.8° |
| −15° | 25.0° | 24.8° | 25.5° |
| −10° | 24.1° | 24.0° | 24.6° |
| −5° | 23.7° | 23.1° | 24.2° |
| 0° | 22.8° | 22.4° | 23.3° |
| 5° | 23.7° | 23.3° | 24.2° |
| 10° | 24.6° | 24.2° | 24.8° |
| 15° | 23.8° | 23.5° | 24.2° |
| 20° | 24.2° | 24.1° | 24.6° |



6. Conclusions and Ongoing Work
Acknowledgements
References
- Barre, H.M.J.; Duesmann, B.; Kerr, Y.H. SMOS: The mission and the system. IEEE Trans. Geosci. Remote Sens. 2008, 46, 587–593. [Google Scholar] [CrossRef]
- Le Vine, D.M.; Lagerloef, G.S.E.; Colomb, F.R.; Yueh, S.H.; Pellerano, F.A. Aquarius: An instrument to Monitor Sea Surface Salinity from Space. IEEE Trans. Geosci. Remote Sens. 2007, 47, 2040–2050. [Google Scholar] [CrossRef]
- Swift, C.; McIntosh, R.E. Considerations for microwave remote sensing of ocean surface salinity. IEEE Trans. Geosci. Remote Sens. 1983, 21, 480–491. [Google Scholar] [CrossRef]
- Marquardt, D. An algorithm for least-squares estimation of non-linear parameters. J. Soc. Indust. Appl. Math. 1963, 11, 431–441. [Google Scholar] [CrossRef]
- Talone, M.; Camps, A.; Gabarro, C.; Sabia, R.; Gourrion, J.; Vall-llossera, M.; Mourre, B.; Font, J. Contributions to the Improvement of the SMOS Level 2 Retrieval Algorithm: Optimization of the Cost Function. In Proceedings of 2008 IEEE International Geoscience & Remote Sensing Symposium, Boston, MA, USA, July 6–11, 2008; Volume 4, pp. 943–937.
- Gabarro, C.; Font, J.; Miller, J.; Camps, A.; Burrage, D.; Wesson, J. Use of empirical sea surface emissivity models for a rough estimation of sea surface salinity from an airborne microwave radiometer. Scientia Marina 2008, 72, 329–336. [Google Scholar]
- Camps, A.; Font, J.; Vall-llossera, M.; Corbella, I.; Duffo, N.; Torres, F.; Blanch, S.; Aguasca, A.; Villarino, R.; Gabarro, C.; Enrique, L.; Miranda, J.; Sabia, R.; Talone, M. Determination of the sea surface emissivity at L-band and its applications to SMOS salinity retrieval algorithms: Review of the contributions of the UPC–ICM. Radio Sci. 2008, 43, RS3008. [Google Scholar] [CrossRef]
- Camps, A.; Vall-llossera, M.; Corbella, I.; Duffo, N.; Torres, F. Improved image reconstruction algorithms for Aperture Synthesis Radiometers. IEEE Trans. Geosci. Remote Sens. 2008, 46, 146–158. [Google Scholar] [CrossRef]
- Ramos-Perez, I.; Bosch-Lluis, X.; Camps, A.; Valencia, E.; Marchan-Hernandez, J.F.; Rodriguez-Alvarez, N.; Canales-Contador, F. Preliminary Results of the Passive Advanced Unit Synthetic Aperture (PAU-SA). In Proceedings of 2009 IEEE International Geoscience & Remote Sensing Symposium, Cape Town, South Africa, July 12–17, 2009; Volume 4, pp. 121–124.
- Camps, A.; Bosch-Lluis, X.; Ramos-Perez, I.; Marchan-Hernandez, J.F.; Izquierdo, B.; Rodriguez, N. New instrument concepts for ocean sensing: Analysis of the PAU-Radiometer. IEEE Trans. Geosci. Remote Sens. 2007, 45, 3180–3192. [Google Scholar] [CrossRef]
- Bosch-Lluis, X.; Camps, A.; Ramos-Perez, I.; Marchan-Hernandez, J.F.; Rodriguez-Alvarez, N.; Valencia, E. PAU/RAD: Design and preliminary calibration results of a new L-Band pseudo-correlation radiometer concept. Sensors 2008, 8, 4392–4412. [Google Scholar] [CrossRef]
- Marchan-Hernandez, J.F. Sea State Determination Using GNSS-R Techniques: Contributions to the PAU Instrument. Ph. D. Thesis, Universitat Politècnica de Catalunya, Barcelona, Spain, 2009. [Google Scholar]
- Marchan-Hernandez, J.F.; Camps, A.; Rodriguez-Alvarez, N.; Bosch-Lluis, X.; Ramos-Perez, I.; Valencia, E. PAU/GNSS-R: Implementation, performance and first results of a real-time Delay-Doppler map reflectometer using global navigation satellite system signals. In Sensors; 2008; Volume 8, pp. 3005–3018. [Google Scholar]
- Valencia, E.; Marchan-Hernandez, J.F.; Camps, A.; Rodriguez-Alvarez, N.; Tarongi, J.M.; Piles, M.; Ramos-Perez, I.; Bosch-Lluis, X.; Vall-llossera, M.; Ferre, P. Experimental Relationship between the Sea Brightness Temperature Changes and the GNSS-R Delay-Doppler Maps: Preliminary Results of the Albatross Field Experiments. In Proceedings of 2009 IEEE International Geoscience & Remote Sensing Symposium, Cape Town, South Africa, July 12–17, 2009; Volume 3, pp. 741–744.
- Rodriguez-Alvarez, N.; Camps, A.; Bosch-Lluis, X.; Ramos-Perez, I.; Marchan-Hernandez, J.F. Sea Surface Temperature Retrieval Using IR-Radiometry and Atmospheric Modeling: Simulation and Experimental Results Using PAU-IR. In Proceedings of 2007 IEEE International Geoscience & Remote Sensing Symposium, Barcelona, Spain, July 23–28, 2007; 2007; pp. 933–936. [Google Scholar]
- Randa, J.; Lahtinen, J.; Camps, A.; Gasiewski, A.J.; Hallikainen, M.; Le Vine, D.M.; Martin-Neira, M.; Piepmeier, J.; Rosenkranz, P.W.; Ruf, C.S.; Shiue, J.; Skou, N. Recommended Terminology for Microwave Radiometry; NIST Technical Note TN1551; National Institute of Standards and Technology: Gaithersburg, MD, USA, 2008. [Google Scholar]
- Bosch-Lluis, X.; Ramos-Perez, I.; Camps, A.; Rodriguez-Alvarez, N.; Marchan-Hernandez, J.F.; Valencia, E. Digital Beamforming Analysis and Performance for a Digital L-Band Pseudo-Correlation Radiometer. In Proceedings of 2009 IEEE International Geoscience & Remote Sensing Symposium, Cape Town, South Africa, July 12–17, 2009; Volume 5, pp. 184–187.
- IEEE Standard VHDL Synthesis Packages. IEEE Standard 1076.3-1997.
- GPS Receiver RF Front End; GP2015; Zarlink: Ottawa, ON, Canada, September 2007; Available online: http://www.zarlink.com/zarlink/gp2015-datasheet-sept2007.pdf (accessed on December 30, 2010).
- Camps, A.; Rodriguez-Alvarez, N.; Bosch-Lluis, X.; Marchan-Hernandez, J.F.; Ramos-Perez, I.; Segarra, M.; Sagues, L.; Tarrago, D.; Cunado, O.; Vilaseca, R.; Tomas, A.; Mas, J.; Guillamon, J. PAU in SeoSAT: A proposed hybrid L-band microwave radiometer/GPS reflectometer to improve Sea Surface Salinity estimates from space. In Proceedings of Microwave Radiometry and Remote Sensing of the Environment, Firenze, Italy, March 11–14, 2008; pp. 1–4.
- Smith, N.; Lefebvre, M. The Global Ocean Data Assimilation Experiment (GODAE). In Proceedings of International Symposium Monitoring Oceans in the 2000s: An Integrated Approach, Biarritz, France, October 15–17, 1997.
- Sonmez, M.K.; Trew, R.J.; Hearn, C.P. Front-End Topologies for Phased Array Radiometry. In Proceedings of 22nd European Microwave Conference, Helsinki, Finland, September 5–9, 1992; Volume 2, pp. 1251–1256.
- Villarino, R.M. Empirical Determination of the Sea Surface Emissivity at L-band: A contribution to ESA’s SMOS Earth Explorer Mission. Ph.D. Dissertation, Universitat Politècnica de Catalunya, Barcelona, Spain, 2004. [Google Scholar]
- Kalman, R.E. A new approach to linear filtering and prediction problems. Trans. ASME–J. Basic Eng.Series D 1960, 82, 35–45. [Google Scholar] [CrossRef]
- Camps, A.; Font, J.; Vall-llossera, M.; Gabarro, C.; Corbella, I.; Duffo, N.; Torres, F.; Blanch, S.; Aguasca, A.; Villarino, R.; Enrique, L.; Miranda, J.J.; Arenas, R.; Julia, A.; Etcheto, J.; Caselles, V.; Weill, A.; Boutin, J.; Contardo, S.; Niclos, R.; Rivas, R.; Reising, S.C.; Wursteisen, P.; Berger, M.; Martin-Neira, M. The WISE 2000 and 2001 field experiments in support of the SMOS mission: Sea surface L-band brightness temperature observations and their application to sea surface salinity retrieval. IEEE Trans. Geosci. Remote Sens. 2004, 42, 804–823. [Google Scholar] [CrossRef]
- Standard for the Preparation of Test Procedures for the Thermal Evaluation of Solid Electrical Insulating Materials. IEEE Standard 98-2002, 2002.
- NIOS II Processor Reference Handbook; ALTERA: San Jose, CA, USA, 2009.
- Camps, A.; Torres, F.; Corbella, I.; Bara, J.; Soler, X. Calibration and experimental results of a two-dimensional interferometric radiometer laboratory prototype. Radio Sci. 1997, 32, 1821–1832. [Google Scholar] [CrossRef]
- TSC-UPC Anechoic Chamber. Available online: http://www.tsc.upc.es/researcheef/antennas/antennalab_website/r_grups_amp.html (accessed on December 30, 2010).
- Nagelberg, E. Fresnel region phase centers of circular aperture antennas. IEEE Trans. Antennas Propagat. 1965, 13, 479–480. [Google Scholar] [CrossRef]
© 2011 by the authors; licensee MDPI, Basel, Switzerland. This article is an open access article distributed under the terms and conditions of the Creative Commons Attribution license (http://creativecommons.org/licenses/by/3.0/).
Share and Cite
Bosch-Lluis, X.; Ramos-Perez, I.; Camps, A.; Rodriguez-Alvarez, N.; Valencia, E.; Marchan-Hernandez, J.F. Description and Performance of an L-Band Radiometer with Digital Beamforming. Remote Sens. 2011, 3, 14-40. https://doi.org/10.3390/rs3010014
Bosch-Lluis X, Ramos-Perez I, Camps A, Rodriguez-Alvarez N, Valencia E, Marchan-Hernandez JF. Description and Performance of an L-Band Radiometer with Digital Beamforming. Remote Sensing. 2011; 3(1):14-40. https://doi.org/10.3390/rs3010014
Chicago/Turabian StyleBosch-Lluis, Xavier, Isaac Ramos-Perez, Adriano Camps, Nereida Rodriguez-Alvarez, Enric Valencia, and Juan F. Marchan-Hernandez. 2011. "Description and Performance of an L-Band Radiometer with Digital Beamforming" Remote Sensing 3, no. 1: 14-40. https://doi.org/10.3390/rs3010014
APA StyleBosch-Lluis, X., Ramos-Perez, I., Camps, A., Rodriguez-Alvarez, N., Valencia, E., & Marchan-Hernandez, J. F. (2011). Description and Performance of an L-Band Radiometer with Digital Beamforming. Remote Sensing, 3(1), 14-40. https://doi.org/10.3390/rs3010014

