A Framework for Winter Wheat Soil Moisture Retrieval Based on UAV Remote Sensing and AutoML
Highlights
- Novel dual-band and three-band hyperspectral indices were constructed, and the H2O AutoML model achieved the highest accuracy (R ≥ 0.72) for estimating soil moisture at 0–40 cm depths.
- Fusing Hyperspectral, Thermal Infrared, and RGB data yielded the best performance, with the Thermal Vegetation Dryness Index (TVDI) identified as the most critical feature for retrieval.
- The proposed framework integrates multi-source UAV remote sensing with automated machine learning, providing a robust technical approach for precise agricultural water resource management.
- This method effectively overcomes single-sensor limitations, offering a scalable solution for monitoring regional soil moisture dynamics in winter wheat fields.
Abstract
1. Introduction
2. Materials and Methods
2.1. Study Area
2.2. Data Collection and Preprocessing
2.2.1. UAV Data Acquisition
2.2.2. Ground-Based Soil Moisture Content Data Collection
2.2.3. UAV Data Preprocessing and Feature Extraction
2.3. Methods
2.3.1. Construction of RGB Indices
2.3.2. Construction of Novel HS Indices
2.3.3. Construction of Thermal Infrared Index
2.3.4. Construction of Machine Learning Models
2.3.5. Model Evaluation Metrics
2.4. Time-Independent Validation and Baseline Model Setup
2.4.1. Time-Independent Validation
2.4.2. Traditional Machine Learning Baseline Models
3. Results
3.1. Correlation Between SMC and Newly Constructed Two-Band and Three-Band Spectral Indices
3.2. SMC Prediction Based on Machine Learning
3.3. Time-Independent Validation Results and Comparison with Traditional Models
3.4. Spatial Distribution of Soil Moisture Content
4. Discussion
4.1. Performance of UAV-Based Multimodal Data in SMC Prediction
4.2. Prediction Accuracy and Performance Evaluation of TPOT, AutoGluon, H2O AutoML, and FLAML Models
4.3. Limitations and Future Perspectives on Soil Moisture Content Prediction
5. Conclusions
- Among the constructed novel HS indices, the dual-band index NDI (B566, B693) and the three-band index B484/B496 + B680 showed the highest correlation with SMC in the 0–20 cm soil layer (R = 0.616 and 0.629, respectively).
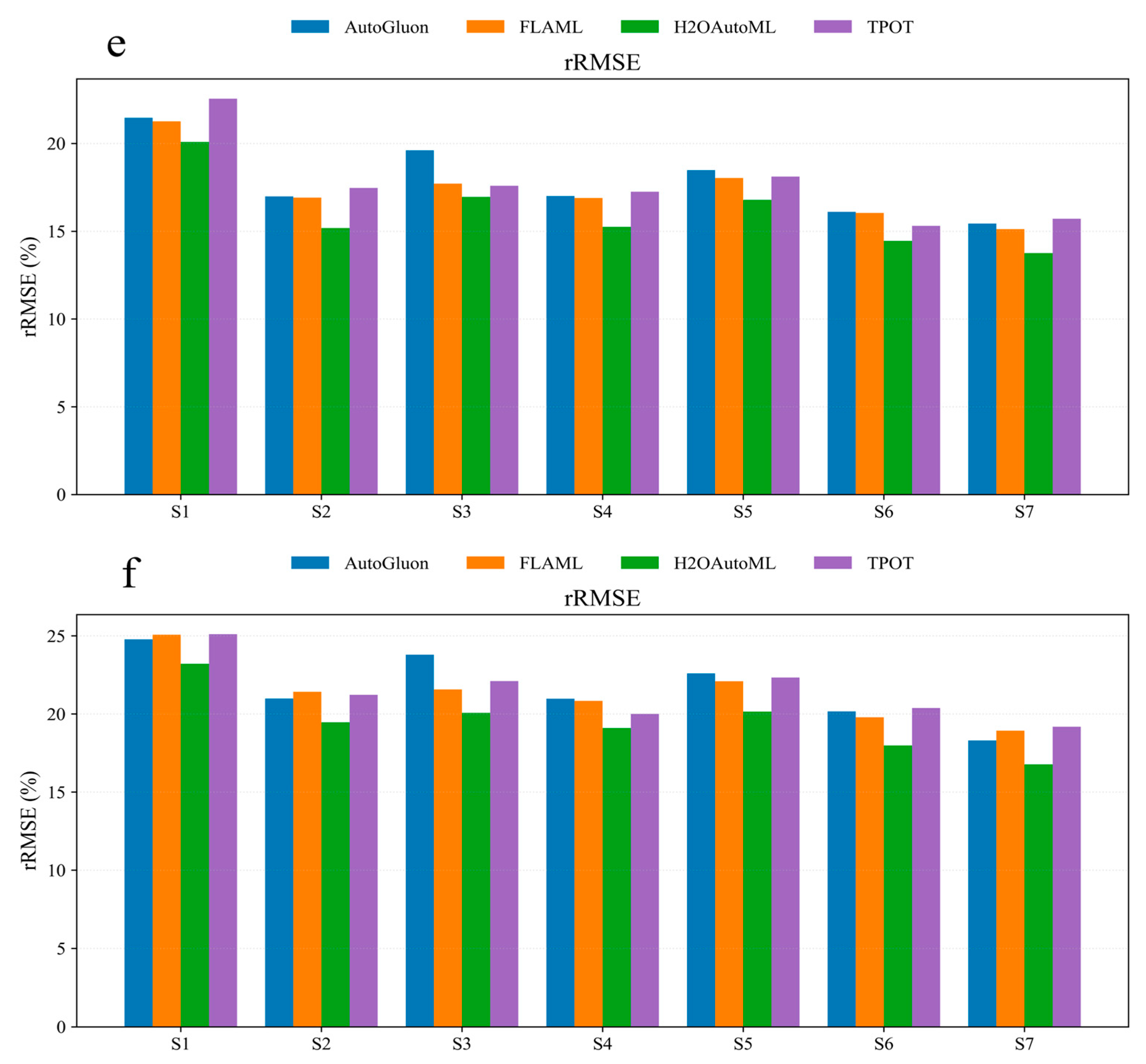
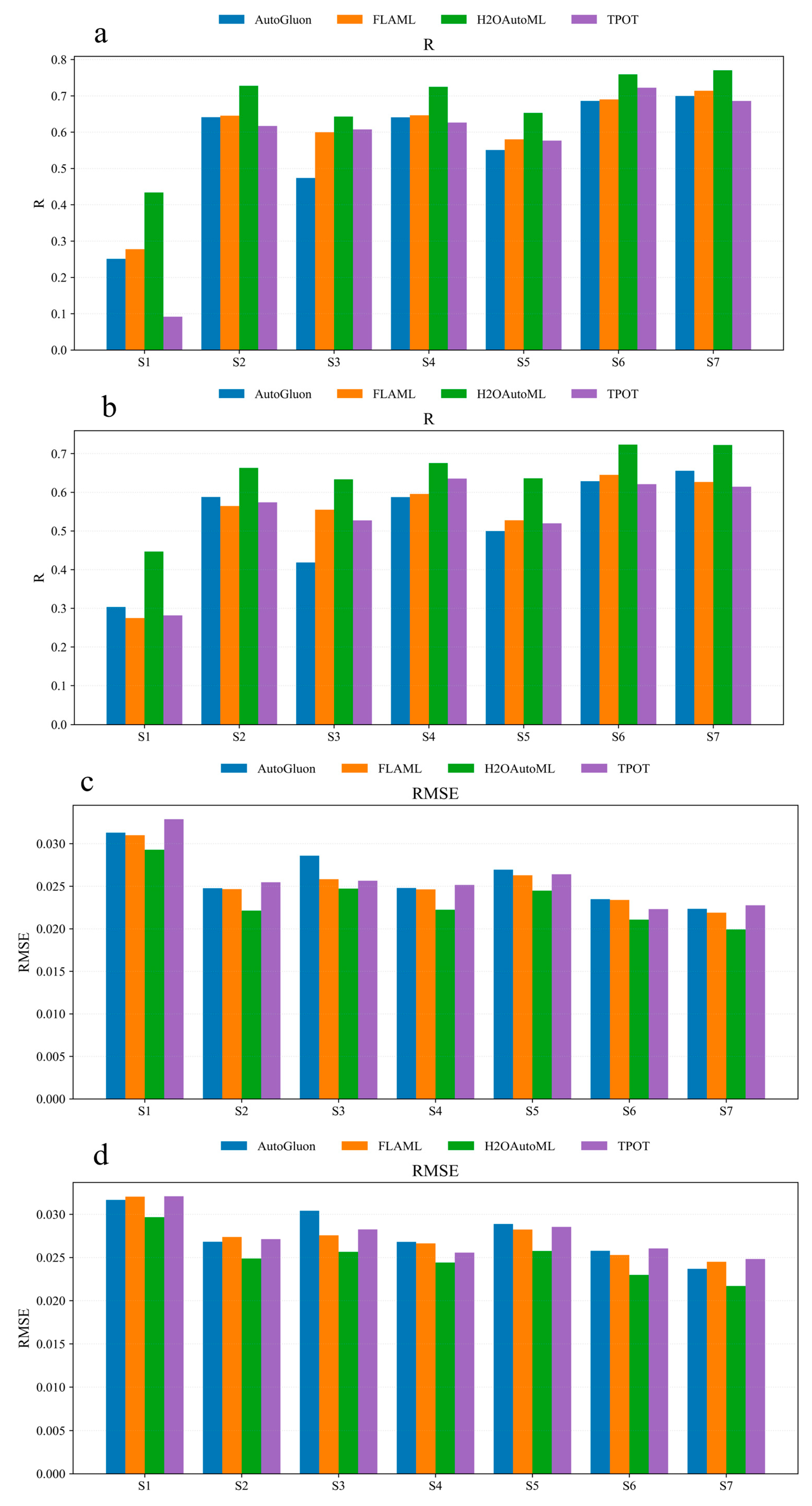
- The H2O AutoML model demonstrated the highest accuracy in estimating SMC at different depths, followed by FLAML and AutoGluon. The performance metrics were as follows: R values ranged from 0.43–0.72, 0.27–0.63, and 0.25–0.66; RMSE ranges were 1.99–2.96%, 2.18–3.20%, and 2.23–3.16%; and rRMSE ranges were 13.6–23.2%, 15.1–25.1%, and 15.4–24.8%, respectively.
- Among different sensor combinations, the HS + TIR + RGB combination achieved the highest predictive accuracy, followed by HS + TIR. Their R value ranges were 0.61–0.77 and 0.62–0.76; RMSE ranges were 1.99–2.48% and 2.10–2.52%; and rRMSE ranges were 13.6–19.2% and 15.3–20.2%, respectively.
Author Contributions
Funding
Data Availability Statement
Conflicts of Interest
References
- Baumann, F.; He, J.-S.; Schmidt, K.; Kühn, P.; Scholten, T. Pedogenesis, Permafrost, and Soil Moisture as Controlling Factors for Soil Nitrogen and Carbon Contents across the Tibetan Plateau. Glob. Change Biol. 2009, 15, 3001–3017. [Google Scholar] [CrossRef]
- Cheng, M.; Jiao, X.; Liu, Y.; Shao, M.; Yu, X.; Bai, Y.; Wang, Z.; Wang, S.; Tuohuti, N.; Liu, S.; et al. Estimation of Soil Moisture Content under High Maize Canopy Coverage from UAV Multimodal Data and Machine Learning. Agric. Water Manag. 2022, 264, 107530. [Google Scholar] [CrossRef]
- Zhang, Y.; Han, W.; Zhang, H.; Niu, X.; Shao, G. Evaluating Soil Moisture Content under Maize Coverage Using UAV Multimodal Data by Machine Learning Algorithms. J. Hydrol. 2023, 617, 129086. [Google Scholar] [CrossRef]
- Abdulraheem, M.I.; Zhang, W.; Li, S.; Moshayedi, A.J.; Farooque, A.A.; Hu, J. Advancement of Remote Sensing for Soil Measurements and Applications: A Comprehensive Review. Sustainability 2023, 15, 15444. [Google Scholar] [CrossRef]
- Shahabul Alam, M.; Elshorbagy, A. Quantification of the Climate Change-Induced Variations in Intensity–Duration–Frequency Curves in the Canadian Prairies. J. Hydrol. 2015, 527, 990–1005. [Google Scholar] [CrossRef]
- Ge, X.; Ding, J.; Jin, X.; Wang, J.; Chen, X.; Li, X.; Liu, J.; Xie, B. Estimating Agricultural Soil Moisture Content through UAV-Based Hyperspectral Images in the Arid Region. Remote Sens. 2021, 13, 1562. [Google Scholar] [CrossRef]
- Yang, C.; Mao, K.; Guo, Z.; Shi, J.; Bateni, S.M.; Yuan, Z. Review of GNSS-R Technology for Soil Moisture Inversion. Remote Sens. 2024, 16, 1193. [Google Scholar] [CrossRef]
- CYGNSS Level 3 Soil Moisture Version 3.2|PO.DAAC/JPL/NASA. Available online: https://doi.org/10.5067/CYGNU-L3S32 (accessed on 26 March 2026).
- Jin, X.; Kumar, L.; Li, Z.; Feng, H.; Xu, X.; Yang, G.; Wang, J. A Review of Data Assimilation of Remote Sensing and Crop Models. Eur. J. Agron. 2018, 92, 141–152. [Google Scholar] [CrossRef]
- Lambertini, A.; Mandanici, E.; Tini, M.A.; Vittuari, L. Technical Challenges for Multi-Temporal and Multi-Sensor Image Processing Surveyed by UAV for Mapping and Monitoring in Precision Agriculture. Remote Sens. 2022, 14, 4954. [Google Scholar] [CrossRef]
- Li, X.; Cheng, G.; Liu, S.; Xiao, Q.; Ma, M.; Jin, R.; Che, T.; Liu, Q.; Wang, W.; Qi, Y.; et al. Heihe Watershed Allied Telemetry Experimental Research (HiWATER): Scientific Objectives and Experimental Design. Bull. Am. Meteorol. Soc. 2013, 94, 1145–1160. [Google Scholar] [CrossRef]
- Yuan, L.; Li, L.; Zhang, T.; Chen, L.; Zhao, J.; Liu, W.; Cheng, L.; Hu, S.; Yang, L.; Wen, M. Improving Soil Moisture Estimation by Identification of NDVI Thresholds Optimization: An Application to the Chinese Loess Plateau. Remote Sens. 2021, 13, 589. [Google Scholar] [CrossRef]
- Babaeian, E.; Paheding, S.; Siddique, N.; Devabhaktuni, V.K.; Tuller, M. Estimation of Root Zone Soil Moisture from Ground and Remotely Sensed Soil Information with Multisensor Data Fusion and Automated Machine Learning. Remote Sens. Environ. 2021, 260, 112434. [Google Scholar] [CrossRef]
- Li, W.; Liu, C.; Yang, Y.; Awais, M.; Li, W.; Ying, P.; Ru, W.; Cheema, M.J.M. A UAV-Aided Prediction System of Soil Moisture Content Relying on Thermal Infrared Remote Sensing. Int. J. Environ. Sci. Technol. 2022, 19, 9587–9600. [Google Scholar] [CrossRef]
- Wu, Z.; Cui, N.; Zhang, W.; Yang, Y.; Gong, D.; Liu, Q.; Zhao, L.; Xing, L.; He, Q.; Zhu, S.; et al. Estimation of Soil Moisture in Drip-Irrigated Citrus Orchards Using Multi-Modal UAV Remote Sensing. Agric. Water Manag. 2024, 302, 108972. [Google Scholar] [CrossRef]
- Ge, X.; Wang, J.; Ding, J.; Cao, X.; Zhang, Z.; Liu, J.; Li, X. Combining UAV-Based Hyperspectral Imagery and Machine Learning Algorithms for Soil Moisture Content Monitoring. PeerJ 2019, 7, e6926. [Google Scholar] [CrossRef]
- Blatchford, M.L.; Mannaerts, C.M.; Zeng, Y.; Nouri, H.; Karimi, P. Status of Accuracy in Remotely Sensed and In-Situ Agricultural Water Productivity Estimates: A Review. Remote Sens. Environ. 2019, 234, 111413. [Google Scholar] [CrossRef]
- Sahoo, R.N.; Ray, S.S.; Manjunath, K.R. Hyperspectral Remote Sensing of Agriculture. Curr. Sci. 2015, 108, 848–859. [Google Scholar]
- Sohrabinia, M.; Rack, W.; Zawar-Reza, P. Soil Moisture Derived Using Two Apparent Thermal Inertia Functions over Canterbury, New Zealand. J. Appl. Remote Sens. 2014, 8, 083624. [Google Scholar] [CrossRef][Green Version]
- Hassan-Esfahani, L.; Torres-Rua, A.; Jensen, A.; McKee, M. Assessment of Surface Soil Moisture Using High-Resolution Multi-Spectral Imagery and Artificial Neural Networks. Remote Sens. 2015, 7, 2627–2646. [Google Scholar] [CrossRef]
- Lu, F.; Sun, Y.; Hou, F. Using UAV Visible Images to Estimate the Soil Moisture of Steppe. Water 2020, 12, 2334. [Google Scholar] [CrossRef]
- Wu, Z.; Cui, N.; Zhang, W.; Gong, D.; Liu, C.; Liu, Q.; Zheng, S.; Wang, Z.; Zhao, L.; Yang, Y. Inversion of Large-Scale Citrus Soil Moisture Using Multi-Temporal Sentinel-1 and Landsat-8 Data. Agric. Water Manag. 2024, 294, 108718. [Google Scholar] [CrossRef]
- Haralick, R.M.; Shanmugam, K.; Dinstein, I. Textural Features for Image Classification. IEEE Trans. Syst. Man Cybern. 1973, SMC-3, 610–621. [Google Scholar] [CrossRef]
- Rallo, G.; Minacapilli, M.; Ciraolo, G.; Provenzano, G. Detecting Crop Water Status in Mature Olive Groves Using Vegetation Spectral Measurements. Biosyst. Eng. 2014, 128, 52–68. [Google Scholar] [CrossRef]
- Nocita, M.; Stevens, A.; Noon, C.; Van Wesemael, B. Prediction of Soil Organic Carbon for Different Levels of Soil Moisture Using Vis-NIR Spectroscopy. Geoderma 2013, 199, 37–42. [Google Scholar] [CrossRef]
- Damm, A.; Paul-Limoges, E.; Haghighi, E.; Simmer, C.; Morsdorf, F.; Schneider, F.D.; Van Der Tol, C.; Migliavacca, M.; Rascher, U. Remote Sensing of Plant-Water Relations: An Overview and Future Perspectives. J. Plant Physiol. 2018, 227, 3–19. [Google Scholar] [CrossRef]
- Mwinuka, P.R.; Mourice, S.K.; Mbungu, W.B.; Mbilinyi, B.P.; Tumbo, S.D.; Schmitter, P. UAV-Based Multispectral Vegetation Indices for Assessing the Interactive Effects of Water and Nitrogen in Irrigated Horticultural Crops Production under Tropical Sub-Humid Conditions: A Case of African Eggplant. Agric. Water Manag. 2022, 266, 107516. [Google Scholar] [CrossRef]
- Ndlovu, M.; Clulow, A.D.; Savage, M.J.; Nhamo, L.; Magidi, J.; Mabhaudhi, T. An Assessment of the Impacts of Climate Variability and Change in KwaZulu-Natal Province, South Africa. Atmosphere 2021, 12, 427. [Google Scholar] [CrossRef]
- Zhang, X.; Zhang, F.; Qi, Y.; Deng, L.; Wang, X.; Yang, S. New Research Methods for Vegetation Information Extraction Based on Visible Light Remote Sensing Images from an Unmanned Aerial Vehicle (UAV). Int. J. Appl. Earth Obs. Geoinf. 2019, 78, 215–226. [Google Scholar] [CrossRef]
- Wang, J.; Ding, J.; Yu, D.; Ma, X.; Zhang, Z.; Ge, X.; Teng, D.; Li, X.; Liang, J.; Lizaga, I.; et al. Capability of Sentinel-2 MSI Data for Monitoring and Mapping of Soil Salinity in Dry and Wet Seasons in the Ebinur Lake Region, Xinjiang, China. Geoderma 2019, 353, 172–187. [Google Scholar] [CrossRef]
- Sandholt, I.; Rasmussen, K.; Andersen, J. A Simple Interpretation of the Surface Temperature/Vegetation Index Space for Assessment of Surface Moisture Status. Remote Sens. Environ. 2002, 79, 213–224. [Google Scholar] [CrossRef]
- Bai, J.; Yu, Y.; Di, L. Comparison between TVDI and CWSI for Drought Monitoring in the Guanzhong Plain, China. J. Integr. Agric. 2017, 16, 389–397. [Google Scholar] [CrossRef]
- Du, L.; Song, N.; Liu, K.; Hou, J.; Hu, Y.; Zhu, Y.; Wang, X.; Wang, L.; Guo, Y. Comparison of Two Simulation Methods of the Temperature Vegetation Dryness Index (TVDI) for Drought Monitoring in Semi-Arid Regions of China. Remote Sens. 2017, 9, 177. [Google Scholar] [CrossRef]
- Liu, Z.; Shi, X.; Warner, E.; Ge, Y.; Yu, D.; Ni, S.; Wang, H. Relationship between Oriental Migratory Locust Plague and Soil Moisture Extracted from MODIS Data. Int. J. Appl. Earth Obs. Geoinf. 2008, 10, 84–91. [Google Scholar] [CrossRef]
- Olson, R.S.; Moore, J.H. TPOT: A Tree-Based Pipeline Optimization Tool for Automating Machine Learning. In Proceedings of the Workshop on Automatic Machine Learning; PMLR: New York, NY, USA, 2016; pp. 66–74. [Google Scholar]
- Erickson, N.; Mueller, J.; Shirkov, A.; Zhang, H.; Larroy, P.; Li, M.; Smola, A. AutoGluon-Tabular: Robust and Accurate AutoML for Structured Data. arXiv 2020, arXiv:2003.06505. [Google Scholar]
- LeDell, E.; Poirier, S. H2O AutoML: Scalable Automatic Machine Learning. In Proceedings of the AutoML Workshop at ICML, Virtual, 18 July 2020. [Google Scholar]
- Wang, C.; Wu, Q.; Weimer, M.; Zhu, E. FLAML: A Fast and Lightweight AutoML Library. Proc. Mach. Learn. Syst. 2021, 3, 434–447. [Google Scholar]
- Jin, X.; Li, Z.; Feng, H.; Ren, Z.; Li, S. Deep Neural Network Algorithm for Estimating Maize Biomass Based on Simulated Sentinel 2A Vegetation Indices and Leaf Area Index. Crop J. 2020, 8, 87–97. [Google Scholar] [CrossRef]
- Rischbeck, P.; Elsayed, S.; Mistele, B.; Barmeier, G.; Heil, K.; Schmidhalter, U. Data Fusion of Spectral, Thermal and Canopy Height Parameters for Improved Yield Prediction of Drought Stressed Spring Barley. Eur. J. Agron. 2016, 78, 44–59. [Google Scholar] [CrossRef]
- Zhang, L.; Liu, Y.; Ren, L.; Teuling, A.J.; Zhang, X.; Jiang, S.; Yang, X.; Wei, L.; Zhong, F.; Zheng, L. Reconstruction of ESA CCI Satellite-Derived Soil Moisture Using an Artificial Neural Network Technology. Sci. Total Environ. 2021, 782, 146602. [Google Scholar] [CrossRef]
- Yu, X.; Yin, Q.; Qian, L.; Zhang, C.; Shao, L.; Ran, D.; Wang, W.; Zhang, B.; Hu, X. Cross-Scale Soil Moisture Content Monitoring of Winter Wheat by Integrating UAV and Sentinel-1/2 Data. Agric. Water Manag. 2025, 320, 109831. [Google Scholar] [CrossRef]
- Vahidi, M.; Shafian, S.; Frame, W.H. Multi-Modal Sensing for Soil Moisture Mapping: Integrating Drone-Based Ground Penetrating Radar and RGB-Thermal Imaging with Deep Learning. Comput. Electron. Agric. 2025, 236, 110423. [Google Scholar] [CrossRef]
- Chu, C.; Ma, Z.; Li, Z.; Hu, Y.; Li, T.; Zhao, J.; Li, J.; Li, X.; Wang, Z.; Wu, W. Enhancing Multi-Stage and Multi-Depth Soil Moisture Estimation in Winter Wheat Fields with UAV Remote Sensing Fusion and Ensemble Learning Strategy. Ecol. Indic. 2026, 183, 114651. [Google Scholar] [CrossRef]
- Zhang, L.; Niu, Y.; Zhang, H.; Han, W.; Li, G.; Tang, J.; Peng, X. Maize Canopy Temperature Extracted From UAV Thermal and RGB Imagery and Its Application in Water Stress Monitoring. Front. Plant Sci. 2019, 10, 1270. [Google Scholar] [CrossRef]
- Kullberg, E.G.; DeJonge, K.C.; Chávez, J.L. Evaluation of Thermal Remote Sensing Indices to Estimate Crop Evapotranspiration Coefficients. Agric. Water Manag. 2017, 179, 64–73. [Google Scholar] [CrossRef]
- Salehin, I.; Islam, M.S.; Saha, P.; Noman, S.M.; Tuni, A.; Hasan, M.M.; Baten, M.A. AutoML: A Systematic Review on Automated Machine Learning with Neural Architecture Search. J. Inf. Intell. 2024, 2, 52–81. [Google Scholar] [CrossRef]
- Baratchi, M.; Wang, C.; Limmer, S.; van Rijn, J.N.; Hoos, H.; Bäck, T.; Olhofer, M. Automated Machine Learning: Past, Present and Future. Artif. Intell. Rev. 2024, 57, 122. [Google Scholar] [CrossRef]
- Shi, J.; Wang, J.; Hsu, A.Y.; O’Neill, P.E.; Engman, E.T. Estimation of Bare Surface Soil Moisture and Surface Roughness Parameter Using L-Band SAR Image Data. IEEE Trans. Geosci. Remote Sens. 1997, 35, 1254–1266. [Google Scholar] [CrossRef]
- Thenkabail, P.S.; Smith, R.B.; De Pauw, E. Hyperspectral Vegetation Indices and Their Relationships with Agricultural Crop Characteristics. Remote Sens. Environ. 2000, 71, 158–182. [Google Scholar] [CrossRef]
- Kim, N.; Lee, S.-J.; Sohn, E.; Kim, M.; Seong, S.; Kim, S.H.; Lee, Y. An Automated Machine Learning Approach to the Retrieval of Daily Soil Moisture in South Korea Using Satellite Images, Meteorological Data, and Digital Elevation Model. Water 2024, 16, 2661. [Google Scholar] [CrossRef]
- Manzoni, S.; Vico, G.; Porporato, A.; Katul, G. Biological Constraints on Water Transport in the Soil–Plant–Atmosphere System. Adv. Water Resour. 2013, 51, 292–304. [Google Scholar] [CrossRef]
- Wang, S.; Li, R.; Wu, Y.; Wang, W. Estimation of Surface Soil Moisture by Combining a Structural Equation Model and an Artificial Neural Network (SEM-ANN). Sci. Total Environ. 2023, 876, 162558. [Google Scholar] [CrossRef] [PubMed]
- Reichstein, M.; Camps-Valls, G.; Stevens, B.; Jung, M.; Denzler, J.; Carvalhais, N. Prabhat Deep Learning and Process Understanding for Data-Driven Earth System Science. Nature 2019, 566, 195–204. [Google Scholar] [CrossRef] [PubMed]
- Wang, J.; Huang, H.; Ariyasena, H.H.S.; Zhao, J.; Zhang, X.; Gao, X.; Zhao, X.; Zhao, Y. A UAV-Based Method for Root Zone Soil Moisture Modeling of Different Farmland Scale with Grain and Economic Crops. Agric. Water Manag. 2025, 321, 109932. [Google Scholar] [CrossRef]
- Mohanty, B.P.; Cosh, M.H.; Lakshmi, V.; Montzka, C. Soil Moisture Remote Sensing: State-of-the-Science. Vadose Zone J. 2017, 16, vzj2016.10.0105. [Google Scholar] [CrossRef]

















| Sensor Name | Sensor Type | Spectral Range | Spectral Resolution | Resolution | Focal Length |
|---|---|---|---|---|---|
| Zenmuse XT2 | RGB | 400–700 nm | N/A | 4000 × 3000 pixels (12 MP) | 8 mm |
| TIR | 7.5–13.5 um | N/A | 640 × 512 pixels | 19 mm | |
| Pika L | HS | 400–1000 nm | 2.7 nm | 900 spatial pixels | 17 mm |
| Scenario | Input Parameter | Features |
|---|---|---|
| S1 | RGB | ME, VA, HO, CO, DS, EN, SM, COR |
| S2 | HS | DI, RI, NDI, PI, M1~M6 |
| S3 | TIR | TVDI |
| S4 | RGB + HS | ME, VA, HO, CO, DS, EN, SM, COR, M1~M6 |
| S5 | RGB + TIR | ME, VA, HO, CO, DS, EN, SM, COR, TVDI |
| S6 | HS + TIR | DI, RI, NDI, PI, M1~M6, TVDI |
| S7 | RGB + HS + TIR | ME, VA, HO, CO, DS, EN, SM, COR, DI, RI, NDI, PI, M1~M6, TVDI |
| Index | Depth | Spectral Index | |R| |
|---|---|---|---|
| DI | 0–20 cm | B554 − B706 | 0.602 |
| RI | B587/B688 | 0.613 | |
| NDI | (B578 − B688)/(B578 + B688) | 0.616 | |
| PI | B706 − 0.2703 × B554 − | 0.591 | |
| DI | 20–40 cm | B554 − B706 | 0.562 |
| RI | B578/B688 | 0.560 | |
| NDI | (B578 − B688)/(B578 + B688) | 0.569 | |
| PI | B706 − 0.2703 × B554 − | 0.559 |
| Index | Depth | Spectral Index | |R| |
|---|---|---|---|
| M1 | 0–20 cm | B546/(B689 × B731) | 0.605 |
| M2 | B484/(B496 + B680) | 0.629 | |
| M3 | (B496 + B688)/B484 | 0.623 | |
| M4 | (B566 − B591)/((B566 − B591) − (B566 − B706)) | 0.620 | |
| M5 | (B431 − B484) − (B431 − B693) | 0.617 | |
| M6 | (B4062 + B4102 + B7052) | 0.562 | |
| M1 | 20–40 cm | B566/(B667 × B727) | 0.580 |
| M2 | B546/(B693 + B706) | 0.590 | |
| M3 | (B545 + B616)/B706 | 0.577 | |
| M4 | (B566 − B616)/((B566 − B616) − (B566 − B701)) | 0.588 | |
| M5 | (B423 − B467) − (B423 − B608) | 0.586 | |
| M6 | (B4062 + B4102 + B7052) | 0.540 |
| Sensor Type | Metrics | AutoGluon | FLAML | H2O AutoML | TPOT | ||||
|---|---|---|---|---|---|---|---|---|---|
| 20 cm | 40 cm | 20 cm | 40 cm | 20 cm | 40 cm | 20 cm | 40 cm | ||
| S1 | R | 0.25 | 0.30 | 0.28 | 0.27 | 0.43 | 0.45 | 0.09 | 0.28 |
| RMSE (%) | 3.12 | 3.16 | 3.09 | 3.20 | 2.92 | 2.96 | 3.28 | 3.20 | |
| rRMSE (%) | 21.5 | 24.8 | 21.3 | 25.1 | 20.0 | 23.2 | 22.6 | 25.1 | |
| S2 | R | 0.64 | 0.59 | 0.65 | 0.56 | 0.72 | 0.66 | 0.62 | 0.57 |
| RMSE (%) | 2.47 | 2.68 | 2.46 | 2.73 | 2.21 | 2.48 | 2.54 | 2.71 | |
| rRMSE (%) | 17.0 | 21.0 | 16.9 | 21.4 | 15.1 | 19.5 | 17.5 | 21.2 | |
| S3 | R | 0.47 | 0.42 | 0.60 | 0.55 | 0.64 | 0.64 | 0.61 | 0.53 |
| RMSE (%) | 2.85 | 3.04 | 2.58 | 2.75 | 2.47 | 2.56 | 2.56 | 2.82 | |
| rRMSE (%) | 19.6 | 23.8 | 17.7 | 21.6 | 16.9 | 20.1 | 17.6 | 22.1 | |
| S4 | R | 0.64 | 0.59 | 0.65 | 0.60 | 0.72 | 0.68 | 0.63 | 0.64 |
| RMSE (%) | 2.47 | 2.68 | 2.46 | 2.66 | 2.22 | 2.44 | 2.51 | 2.55 | |
| rRMSE (%) | 17.0 | 20.9 | 16.9 | 20.8 | 15.2 | 19.1 | 17.3 | 20.0 | |
| S5 | R | 0.55 | 0.50 | 0.58 | 0.53 | 0.65 | 0.64 | 0.58 | 0.52 |
| RMSE (%) | 2.69 | 2.88 | 2.62 | 2.82 | 2.44 | 2.57 | 2.64 | 2.85 | |
| rRMSE (%) | 18.5 | 22.6 | 18.0 | 22.1 | 16.8 | 20.2 | 18.1 | 22.3 | |
| S6 | R | 0.69 | 0.63 | 0.69 | 0.65 | 0.76 | 0.72 | 0.72 | 0.62 |
| RMSE (%) | 2.34 | 2.57 | 2.33 | 2.52 | 2.10 | 2.29 | 2.23 | 2.60 | |
| rRMSE (%) | 16.1 | 20.2 | 16.0 | 19.8 | 14.5 | 17.9 | 15.3 | 20.4 | |
| S7 | R | 0.70 | 0.66 | 0.71 | 0.63 | 0.77 | 0.72 | 0.69 | 0.61 |
| RMSE (%) | 2.23 | 2.36 | 2.18 | 2.45 | 1.99 | 2.17 | 2.27 | 2.48 | |
| rRMSE (%) | 15.4 | 18.3 | 15.1 | 18.9 | 13.6 | 16.7 | 15.7 | 19.2 |
| Depth | Model | R | RMSE | rRMSE (%) |
|---|---|---|---|---|
| 0–20 cm | H2O AutoML | 0.682 | 0.024 | 16.19 |
| RF | 0.618 | 0.026 | 17.64 | |
| SVR | 0.621 | 0.026 | 17.54 | |
| XGBoost | 0.584 | 0.027 | 18.47 | |
| 20–40 cm | H2O AutoML | 0.629 | 0.026 | 20.13 |
| RF | 0.595 | 0.027 | 20.97 | |
| SVR | 0.570 | 0.027 | 21.48 | |
| XGBoost | 0.570 | 0.028 | 21.79 |
Disclaimer/Publisher’s Note: The statements, opinions and data contained in all publications are solely those of the individual author(s) and contributor(s) and not of MDPI and/or the editor(s). MDPI and/or the editor(s) disclaim responsibility for any injury to people or property resulting from any ideas, methods, instructions or products referred to in the content. |
© 2026 by the authors. Licensee MDPI, Basel, Switzerland. This article is an open access article distributed under the terms and conditions of the Creative Commons Attribution (CC BY) license.
Share and Cite
Zhong, D.; Li, C.; Li, S.; Kanneh, J.E.; Zhu, P.; Liu, H.; Song, N.; Ning, H.; Sun, C. A Framework for Winter Wheat Soil Moisture Retrieval Based on UAV Remote Sensing and AutoML. Remote Sens. 2026, 18, 1147. https://doi.org/10.3390/rs18081147
Zhong D, Li C, Li S, Kanneh JE, Zhu P, Liu H, Song N, Ning H, Sun C. A Framework for Winter Wheat Soil Moisture Retrieval Based on UAV Remote Sensing and AutoML. Remote Sensing. 2026; 18(8):1147. https://doi.org/10.3390/rs18081147
Chicago/Turabian StyleZhong, Daokuan, Caixia Li, Shenglin Li, James E. Kanneh, Pengyuan Zhu, Hao Liu, Ni Song, Huifeng Ning, and Chitao Sun. 2026. "A Framework for Winter Wheat Soil Moisture Retrieval Based on UAV Remote Sensing and AutoML" Remote Sensing 18, no. 8: 1147. https://doi.org/10.3390/rs18081147
APA StyleZhong, D., Li, C., Li, S., Kanneh, J. E., Zhu, P., Liu, H., Song, N., Ning, H., & Sun, C. (2026). A Framework for Winter Wheat Soil Moisture Retrieval Based on UAV Remote Sensing and AutoML. Remote Sensing, 18(8), 1147. https://doi.org/10.3390/rs18081147

