Next Article in Journal
A Hapke Physics-Guided Deep Autoencoder for Lunar Hyperspectral Unmixing
Previous Article in Journal
High-Resolution Mapping of Thermal Effluents in Inland Streams and Coastal Seas Using UAV-Based Thermal Infrared Imagery
 
 
Font Type:
Arial Georgia Verdana
Font Size:
Aa Aa Aa
Line Spacing:
Column Width:
Background:
Article

Comprehensive Evaluation of Multi-Version Global Satellite Mapping of Precipitation (GSMaP) Products over the Qinghai–Tibetan Plateau

1
Institute for Disaster Management and Reconstruction, Sichuan University-Hong Kong Polytechnic University, Chengdu 610065, China
2
Xizang Autonomous Region Meteorological Information and Network Centre, Tibet 851000, China
3
Xigazê National Climatological Observatory, China Meteorological Administration, Shigatse 857000, China
4
State Key Laboratory of Hydraulics and Mountain River Engineering, College of Water Resource & Hydropower, Sichuan University, Chengdu 610065, China
5
Sichuan Hydrological and Water Resources Survey Center, Chengdu 610036, China
6
Tianfu Yongxing Laboratory, Chengdu 610213, China
7
Sichuan Energy Internet Research Institute, Tsinghua University, Chengdu 610213, China
*
Author to whom correspondence should be addressed.
Remote Sens. 2026, 18(8), 1122; https://doi.org/10.3390/rs18081122
Submission received: 17 March 2026 / Revised: 3 April 2026 / Accepted: 7 April 2026 / Published: 10 April 2026

Highlights

What are the main findings?
  • Newer GSMaP versions (v05–v08) generally exhibit improved precipitation estimation over the Qinghai–Tibetan Plateau, though these enhancements are uneven across different product types and evaluation metrics.
  • Performance disparities among GSMaP products are highly sensitive to environmental factors, becoming significantly more pronounced across different elevation zones, seasonal conditions and precipitation intensities.
What is the implication of the main finding?
  • The study reveals that algorithm updates do not universally translate to better performance, highlighting the critical need for context-specific product selection in high-altitude regions.
  • These insights provide practical guidance for hydrological and climate studies in complex terrains, advising that product choice should be driven by local topography and seasonal variability rather than relying solely on the newest version.

Abstract

The terrain and climate of the Qinghai–Tibetan Plateau make it hard to assess satellite precipitation. GSMaP (Global Satellite Mapping of Precipitation) is a widely used rainfall dataset, but direct comparisons of its versions and products over the Plateau are still limited. In this study, we evaluate four GSMaP products—Gauge, GNRT, MVK and NRT—across four versions (v05–v08) using daily station precipitation data from 2001 to 2022 as the reference. We assess both precipitation amount and precipitation event detection. The analysis is carried out at the station scale and then examined by month, season, year, rainfall intensity and space. We also compare regional patterns across the Plateau. The results show that GSMaP performance generally improves in later versions. Among them, v08 is usually more stable and more consistent, especially for gauge-corrected products. This improvement appears not only in better agreement with station data but also in smaller differences among stations for some products. Still, the size of the improvement is not the same for all products, seasons, rainfall classes and regions. The improvement is more clear in wetter areas and in warm seasons. By contrast, uncertainty is still relatively large in cold seasons, under strong rainfall and in the high-elevation interior of the Plateau. Non-gauge products also show wider variation than the Gauge product, which suggests that gauge correction still plays an important role in improving consistency. In general, version updates help improve GSMaP performance under some conditions, but the gains are not the same across different climate settings, rainfall intensities, or elevation zones. This study provides a systematic evaluation of GSMaP over the Qinghai–Tibetan Plateau for 2001–2022 and offers practical support for choosing and using GSMaP products in complex terrain.

1. Introduction

The Qinghai–Tibetan Plateau (QTP) is often referred to as the “Asian Water Tower” and the “Third Pole of the Earth” [1]. As the source region of several major Asian rivers, including the Yangtze, Yellow, Lancang and Yarlung Zangbo Rivers, it plays a vital role in regional and transboundary water security [2,3]. Precipitation is a key component of the Plateau’s hydrological cycle and directly influences glacier and snow melt, permafrost stability, ecosystem dynamics and downstream runoff and flood risk [4,5,6]. Because precipitation is closely linked to cryospheric processes, changes in its amount and timing can lead to amplified environmental and hydrological impacts over the Plateau. This makes the QTP particularly sensitive to climate change [7,8,9,10].
Among currently available satellite precipitation datasets, the Global Satellite Mapping of Precipitation (GSMaP), developed by the Japan Aerospace Exploration Agency (JAXA) under the Global Precipitation Measurement (GPM) program, has been widely used in plateau and mountain regions because of its relatively high spatial and temporal resolution and its continuously updated retrieval algorithms [11,12,13]. GSMaP integrates observations from multiple passive microwave and infrared sensors and applies time-based propagation and smoothing techniques to generate continuous precipitation fields. It has been released in several versions (v05–v08) and includes multiple product types, such as GSMaP Near-Real-Time (NRT), GSMaP Moving Vector with Kalman filter (MVK), GSMaP gauge-adjusted Near-Real-Time (GNRT) and GSMaP gauge-adjusted product (Gauge), for real-time monitoring, climate analysis and hydrological applications [14,15,16]. Since 2018, GSMaP has been increasingly applied to investigate the spatial and temporal patterns of precipitation over the Qinghai–Tibetan Plateau, support hydrological simulations and analyze extreme precipitation events. Accordingly, its performance in this region has attracted growing attention (the detailed list of abbreviations and their full names is provided in Table S1) [17,18,19].
Previous studies suggest that GSMaP can reasonably describe the large-scale spatial pattern and seasonal variation of precipitation over the QTP. In particular, it is able to capture the general decrease in precipitation from the southeast to the northwest and shows relatively good continuity during the summer monsoon season. For example, Lei et al. reported that GSMaP performs better for warm-season precipitation in the eastern and southeastern Plateau, whereas errors are larger in high-elevation and arid regions [20]. Li et al. found that GSMaP can generally identify the timing of daily precipitation events, but it still shows clear bias in precipitation amounts [21]. Other comparison studies have further shown that GSMaP tends to overestimate light precipitation (0 ≤ p ≤ 1 mm/day), while underestimating moderate precipitation (1 < p ≤ 5 mm/day), heavy precipitation (5 < p ≤ 10 mm/day) and extreme precipitation (p > 10 mm/day) events, with these problems becoming more pronounced in high-elevation areas and snow-covered regions [22].
These performance limitations are closely related to the environmental conditions of the Plateau. Precipitation processes in high-altitude regions are often influenced by complex terrain and low-temperature conditions, and their microphysical characteristics differ from those at lower elevations. Across much of the high-elevation Qinghai–Tibetan Plateau, precipitation often occurs in solid or mixed-phase form, especially during winter and transitional seasons. Compared with warm-rain processes, snowfall formation involves ice-phase microphysical processes, which can affect the radiative signals received by satellite sensors. In addition, lower temperatures and limited moisture at high elevations often lead to shallower cloud systems and weaker precipitation, increasing the uncertainty of passive microwave and infrared retrievals. As a result, satellite precipitation products in high-altitude regions are more likely to overestimate light precipitation while underestimating heavier rainfall [23,24].
At the same time, clear differences have also been reported among GSMaP products and versions over the Qinghai–Tibetan Plateau. Several studies indicate that the gauge-corrected GSMaP Gauge product generally shows smaller systematic bias in most regions, and its precipitation amount and spatial pattern are closer to rain gauge observations. In contrast, near-real-time products without gauge correction still show relatively large uncertainty in the interior Plateau and other data-sparse areas [25,26]. With continued algorithm updates, some studies suggest that newer GSMaP versions show better consistency and temporal stability than earlier versions [20]. However, improvements in estimating heavy precipitation and cold-region precipitation remain limited. Overall, existing studies indicate that GSMaP has considerable potential for application over the Qinghai–Tibetan Plateau, but its performance still depends strongly on region, season and precipitation type [27].
Despite these efforts, several important gaps remain in the current literature. First, most previous studies have focused on a single GSMaP version or a relatively short study period, which limits comprehensive inter-version comparison [25], limits the understanding of how GSMaP performance evolves over time, and makes it difficult to compare different versions clearly under the Plateau’s complex terrain and climatic conditions. As a result, the long-term differences among GSMaP versions are still not fully understood [28]. Although the temporal coverage of different GSMaP versions is not fully consistent and the available periods of the gauge observations and satellite data are also not entirely the same, including v05–v08 together within the data range available for this study still helps reveal the overall trajectory of GSMaP version evolution over the QTP. In particular, v05 provides background information on the earlier stage of product performance, while v07 helps connect the transitional changes between v06 and v08. Second, many evaluations mainly focus on total precipitation and overall statistical agreement with rain gauge observations, while less attention has been given to precipitation event structure, intensity classes and the ability of GSMaP to detect different types of events, especially heavy rainfall and extreme precipitation [29]. These aspects are important for practical applications, because even when long-term precipitation totals appear reasonable, errors in event structure and intensity can still strongly affect hydrological simulations, flood analysis and climate impact assessments [30]. Third, previous studies often differ in reference samples, study periods and evaluation settings, which makes their results difficult to compare directly. Without a unified evaluation framework, it is also difficult to determine whether performance differences arise from algorithm updates, product type, regional conditions, or study design. This, in turn, limits a clearer understanding of the reliability of GSMaP over the Qinghai–Tibetan Plateau [26].
Based on these considerations, we hypothesize that the performance of GSMaP over the Qinghai–Tibetan Plateau is influenced not only by algorithm updates but also by precipitation regime and high-altitude environmental conditions. As a result, its performance may vary across versions, product types and temporal scales. To test this hypothesis, this study conducts a long-term and systematic comparison of multiple GSMaP versions (v05–v08) and products over the Qinghai–Tibetan Plateau within a unified evaluation framework. Compared with previous studies that often focused on a single version, a limited number of products, or a relatively short study period, this study emphasizes a more consistent inter-version comparison and a more integrated assessment of product differences across multiple dimensions. Using long-term daily rain gauge observations as a reference, the precipitation estimates from GSMaP v05–v08 are evaluated in terms of both quantitative agreement and precipitation event characteristics. The analysis further incorporates multiple perspectives, including temporal aggregation, seasonal variation, spatial differences, elevation effects, precipitation intensity and extreme precipitation, in order to examine whether version-related improvements are consistent under different environmental conditions. In this way, the study not only compares whether newer versions perform better but also clarifies the conditional dependence and non-uniformity of GSMaP performance evolution over the Plateau. This framework is expected to provide a clearer basis for product selection in different applications and may also offer useful insights for improving satellite precipitation retrieval algorithms in high-altitude and complex-terrain regions.

2. Study Area and Data

2.1. Study Area

Figure 1 shows the location of the Qinghai–Tibetan Plateau (QTP) in central Asia, extending approximately from 26° to 40°N and from 70° to 105°E. With an average elevation of more than 4000 m, it is the highest and most extensive plateau on Earth [31]. Its precipitation patterns display marked spatial heterogeneity and temporal variability, resulting from highly complex terrain and the interplay of multi-scale atmospheric circulation systems [32,33]. Generally, precipitation decreases from the southeast to the northwest: the eastern and southern edges receive relatively abundant rainfall, while the central and western interior is far drier, with precipitation often occurring as localized, intermittent events [34,35].
Dynamically, precipitation over the QTP results from the interplay of the South Asian monsoon, mid-latitude westerlies and the strong thermal forcing generated by the Plateau itself. During summer, moisture transport is dominated by monsoon circulation, often producing short-duration, intense convective rainfall [36]. In winter, westerly systems prevail and moisture transport over the QTP is weaker than during the summer monsoon period, resulting in lower precipitation frequency. At the same time, winter precipitation occurs more often in solid form, which further increases the uncertainty in precipitation detection and estimation. The region’s pronounced topographic relief further amplifies these regional contrasts, increasing the uncertainty associated with both precipitation observation and modeling across the Plateau [37].
Due to harsh environmental conditions and logistical challenges, ground-based meteorological stations on the QTP are sparse and largely concentrated in the more accessible eastern and southern areas (See Figure 1) [38]. This uneven distribution limits the ability of conventional gauge observations to capture regional precipitation characteristics fully. Consequently, satellite-derived precipitation products play an increasingly vital complementary role in hydrological, climatological and hazard-related studies over the region [39]. At the same time, the high-elevation environment, complex land-surface conditions and distinctive precipitation processes pose significant challenges to the applicability and robustness of satellite retrieval algorithms.

2.2. Observed Precipitation Data

This study employs daily precipitation observations from ground-based rain gauges provided by the China Meteorological Administration as the reference dataset (hereafter referred to as Gauge data). To ensure the reliability and robustness of the evaluation, all station observations underwent a unified quality-control procedure before analysis. This procedure included the removal of obvious outliers, records with consecutive missing values and observations that violated basic physical plausibility. In total, 83 anomalous records were excluded and were not used in the subsequent calculations. After quality control, the station data were used as the reference dataset for the quantitative evaluation and comparative analysis of satellite precipitation products. After quality control, a total of 86 meteorological stations with long-term and continuous operation were retained within the study area. These stations provided daily precipitation observations from 1 January 2001 to 31 December 2022, and each station retained a complete daily record for the study period. The stations are relatively evenly distributed across the major regions of the Qinghai–Tibetan Plateau and provide coverage of the main spatial patterns of precipitation over the study area.

2.3. GSMaP Data

This study evaluates satellite precipitation estimates over the QTP using several versions and products from the Global Satellite Mapping of Precipitation (GSMaP) dataset. GSMaP is developed by the Japan Aerospace Exploration Agency (JAXA) and provides global precipitation data at high spatial (0.1°) and temporal (hourly) resolution. The dataset combines passive microwave and infrared satellite observations [40].
GSMaP provides several products with different latency and processing methods. This study focuses on four products. GSMaP_Gauge applies gauge correction and is mainly used for climate studies. GSMaP_MVK focuses on time continuity. GSMaP_GNRT balances accuracy and near-real-time use. GSMaP_NRT provides faster data but usually has larger bias. GSMaP algorithms have been updated from v05 to v08. Since v06, several improvements have been added, such as using data from the GPM core satellite and improving quality control. Based on these changes, this study compares four versions (v05–v08) over complex terrain [16,41]. The detailed information for each version is shown in Table 1 [42].
All GSMaP versions provide daily precipitation data, but their time coverage is not the same. To reduce the effect of different record lengths, two analyses are used. One uses the full available period of each version. The other uses a common time period shared by several versions. This approach helps make version comparisons more reliable.

3. Methodology

3.1. Comparison Framework

A comparison framework is developed to evaluate the performance of different GSMaP versions and products in estimating precipitation over the QTP. The framework considers three perspectives: version differences, product types and temporal scales [43,44].
First, differences among GSMaP versions are examined by analyzing four major releases (v05, v06, v07 and v08). Because these versions were released at different times and follow different update strategies, their periods of data availability are not fully consistent. Accordingly, version comparisons are conducted using either the common overlapping period or the full available period of each version, depending on the specific analysis objective. The temporal coverage of each version and product is summarized in Figure 2.
Spatial variability in product performance is then investigated across the QTP. Station-based evaluation results are used to characterize regional differences, with particular attention given to contrasts between the eastern and western Plateau and between low- and high-elevation areas. In addition, stations are grouped by elevation to describe general performance trends along altitude gradients and to assess the influence of complex terrain and climate conditions on product stability.
Product-related differences are further explored by comparing four representative GSMaP products—Gauge, GNRT, MVK and NRT—which differ mainly in gauge correction and data latency. By comparing these products within the same version and period, the effects of gauge adjustment and near-real-time processing on precipitation estimation performance are evaluated [45].
Finally, the analysis considers multiple temporal scales. The evaluation is based on daily paired station–satellite precipitation data and is further aggregated to seasonal and interannual scales. For the station–pixel matching, precipitation values from the satellite grid cell corresponding to each rain gauge location are extracted according to the geographic co-ordinates of the meteorological stations. Each station is matched to the nearest GSMaP grid cell to minimize potential spatial mismatch between point observations and gridded satellite estimates. Given that the spatial resolution of GSMaP is 0.1° × 0.1°, each station is assigned to its corresponding satellite grid cell and the satellite estimates are paired with gauge observations at the same temporal scale for subsequent analysis. Daily analyses are used to examine product responses to individual precipitation events, while seasonal and interannual analyses provide insight into product stability under seasonal variability and long-term climate conditions. This multi-scale approach helps clarify product behavior under different application scenarios [46].
By integrating comparisons across versions, spatial domains, product types and temporal scales and by accounting for differences in data availability, this framework provides a structured basis for evaluating the applicability and uncertainty of GSMaP precipitation products over the QTP [47]. It also supports the interpretation of results and subsequent discussion.

3.2. Evaluation Framework and Analysis Workflow

This study evaluates the performance of different GSMaP versions and products in estimating precipitation over the Qinghai–Tibetan Plateau (QTP). Daily paired data from satellite precipitation estimates and ground rain gauge observations were used and multiple evaluation metrics were applied. The analysis focuses mainly on two aspects: the degree of agreement between estimated and observed precipitation amounts and the ability to detect precipitation events. Taken together, these metrics reflect the differences between satellite-based estimates and gauge observations. Since no single metric can fully characterize product performance, this study combines multiple indicators and examines the products from several perspectives in order to provide a more comprehensive assessment of their performance characteristics [48].
The study first compares GSMaP products across versions v05 to v08, with particular attention to differences in performance level, stability and product-specific behavior. This comparison is scientifically meaningful because the Qinghai–Tibetan Plateau is one of the most challenging regions for satellite precipitation retrieval, owing to its complex terrain, high elevation and mixed precipitation conditions. In such an environment, differences among versions reflect not only technical updates, but also, to some extent, the adaptability of retrieval algorithms to complex geographic and climatic conditions. Because the temporal coverage is not fully consistent across versions, v06, v07 and v08 are further compared over their common overlapping period of 2017–2022. Using the same time span helps reduce the influence of unequal record lengths and provides a fairer basis for examining whether algorithm updates lead to more robust improvements. To further examine long-term stability, v06 and v08 are also compared over their full common period from 2001 to 2022, so as to assess their reliability for longer-term applications.
After this comparison, further analyses are carried out from seasonal, spatial and rainfall intensity views. At the seasonal scale, metrics are calculated for spring, summer, autumn and winter. This shows how performance changes under different seasonal conditions. At the spatial scale, station-based results are examined across the QTP. This helps identify regional differences and shows whether version updates change existing spatial patterns. At the rainfall intensity scale, frequency by intensity class is combined with density-based scatter plots. This is used to check performance across different rainfall ranges. It also helps find common errors, such as too many light-rain events, changes in moderate rainfall and underestimation of heavy rainfall [49].
These analyses give a multi-level view of GSMaP performance over the QTP. They cover performance level, time comparability, long-term stability and changes with season, space and rainfall intensity. This framework helps explain the results and supports later discussion of product choice and application use.

3.3. Evaluation Metrics and Composite Performance Index

The evaluation system is built from two main aspects: the quantitative consistency of precipitation amounts and the ability to identify precipitation events. The calculation methods for all metrics are listed in Table 2. To evaluate quantitative consistency, the correlation coefficient (CC), root mean square error (RMSE), relative bias (RB) and modified Kling–Gupta efficiency (KGE′) are used [50,51]. These metrics describe satellite precipitation performance in terms of variation agreement, error size, systematic bias and overall error structure [52]. The CC shows how well satellite and gauge precipitation vary together. RMSE reflects the magnitude of the overall estimation errors. RB indicates whether satellite estimates systematically overestimate or underestimate precipitation over the study period. KGE′ combines information on correlation, bias and variability and gives a more complete measure of quantitative performance [53].
To evaluate precipitation event detection, the probability of detection (POD), false alarm ratio (FAR) and critical success index (CSI) are used [54]. These metrics describe how well satellite products detect daily precipitation events [49]. In this study, a threshold of 1 mm/day was used to define a precipitation event, following the criterion that daily precipitation exceeding 1 mm represents an effective wet day [55,56]. Accordingly, days with precipitation greater than 1 mm were classified as precipitation events, whereas days with precipitation of 1 mm or less were treated as non-precipitation events. The POD represents the ability to correctly detect precipitation events, FAR indicates the frequency of false detections, and the CSI provides an overall measure by combining hits, misses and false alarms.
The evaluation metrics differ in their units, value ranges and physical meanings and no single metric can fully characterize product performance. Therefore, this study adopts multiple metrics to provide an integrated assessment of both quantitative consistency and precipitation event detection capability. To improve comparability among the different evaluation metrics and to reflect product performance from multiple perspectives, the results are analyzed separately in terms of correlation, agreement, error characteristics and precipitation event detection.
Because different metrics capture different aspects of precipitation estimation performance, any single metric is limited in its ability to represent the overall behavior of a product. For this reason, the interpretation of the results in this study is based on a combined analysis of the individual metrics, so as to provide a more detailed view of the strengths and limitations of each product. All metrics are first calculated separately at each station and then summarized across all stations. These station-based results also provide support for the subsequent analyses of seasonal performance, spatial patterns and interannual variability.

4. Results

4.1. Inter-Comparison of GSMaP v05–v08

To provide an overall comparison of the precipitation estimation performance of different GSMaP versions and products, this study conducts an integrated analysis based on multiple evaluation metrics, so as to enable a consistent comparison across versions and product types. It should be noted that this part of the analysis is based on the full available period of each version, and the specific temporal coverage is shown in Figure 2. The distributions of the results for different versions and products are presented in Figure 3.
From the perspective of version changes, the overall performance of GSMaP products appears to show a general tendency toward improvement with successive version updates. Whether grouped by product or by version, the newer releases generally exhibit better overall results than the earlier ones. In v07 and v08, the result distributions of most products shift toward higher values, while the spread becomes somewhat smaller, suggesting that the later versions may have improved both average performance and consistency across stations. Figure 3 further shows that low-value cases are more common in the earlier versions but become less frequent in the later ones, which may indicate that the updated versions have achieved some improvement at stations where performance was previously weaker.
From the product perspective, the Gauge product shows the best overall performance and the highest stability. Across different versions, its results remain at a relatively high level and are more concentrated in distribution, indicating closer agreement with ground observations and comparatively lower uncertainty. In contrast, the overall performance of NRT, GNRT and MVK is relatively weaker and their result distributions are more dispersed, suggesting that these products are more sensitive to regional differences, precipitation type and temporal variability. Among them, NRT generally shows the largest dispersion.
The multiple metrics shown in Figure 3 further indicate that the Gauge product generally performs better in terms of correlation and precipitation event detection, with typically higher values of the CC, POD and CSI, as well as relatively lower values of RMSE and RB. These characteristics together support its stronger overall performance. By comparison, the non-gauge products in the earlier versions are more likely to show lower correlation, higher false alarm rates and more pronounced biases, which may, to some extent, constrain their overall performance.
Within individual versions, the advantage of the Gauge product over the other products is more evident in v06 and v07, whereas the differences among NRT, GNRT and MVK are relatively small. By v08, all products show improvement to varying degrees, with MVK and Gauge exhibiting the more noticeable gains, while the gap among products also becomes smaller. This suggests that continued improvements in retrieval algorithms, spatiotemporal processing schemes and input data may also have enhanced the stability and reliability of the non-gauge products, although a certain gap still remains compared with the Gauge product.
The Taylor diagram in Figure 4 further illustrates the differences among GSMaP products and versions in terms of correlation, variability representation and centered error [57]. Overall, the Gauge product is consistently located closer to the reference point across versions, with correlation coefficients generally close to or above 0.9, standard deviation ratios near 1 and relatively small centered root mean square differences. This suggests that the gauge-adjusted product has stronger agreement with observations and shows more stable performance in representing precipitation variability and controlling random error. In contrast, the NRT, GNRT and MVK products generally show correlation coefficients in the range of 0.6–0.8, together with larger departures of the standard deviation ratio from 1 and relatively higher centered root mean square differences. This indicates that these products still involve some uncertainty in reproducing the magnitude of precipitation variability and in controlling estimation errors, particularly in regions where gauge correction is unavailable or limited.
Based on the above analysis, from the perspective of version evolution, most products show a gradual improvement in correlation, variability reproduction capability and error control from v05 to v08. This suggests that, with the continuous advancement of retrieval algorithms and data processing methods, the overall ability of satellite precipitation estimation has been enhanced. However, compared to the Gauge product, other products still show some gap, indicating that gauge adjustment plays a crucial role in improving the consistency of precipitation estimates.
Furthermore, due to the differences in the time periods covered by different versions, the results of the correlation analysis may be influenced by inconsistencies in the temporal coverage. To eliminate this effect, the subsequent analyses will be conducted within a unified time frame, allowing for the exclusion of any time-related discrepancies and further verifying whether the version evolution has led to actual improvements in performance over the Qinghai–Tibetan Plateau.

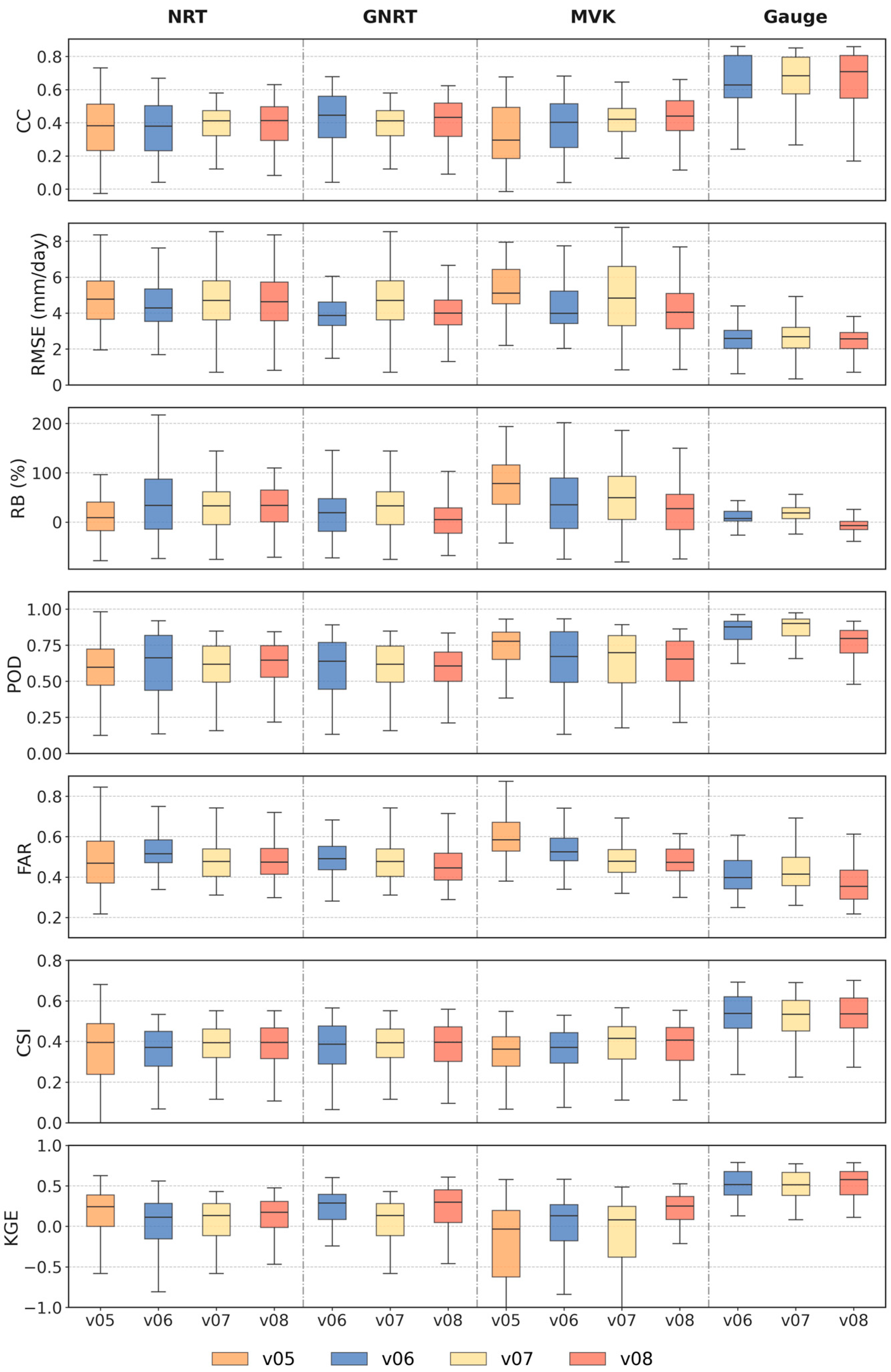
4.2. Inter-Comparison Within the Common Period of GSMaP v06, v07, and v08 (2017–2022)

To reduce the influence of inconsistent temporal coverage among GSMaP versions, this section compares v06, v07 and v08 over the common period (2017–2022) under consistent temporal conditions. Four products are examined: Gauge, GNRT, NRT and MVK. Version differences are evaluated from two main aspects: the consistency of precipitation amounts with ground observations and the ability to detect precipitation events. All metrics were first transformed into dimensionless form, and their directions were unified so that higher values consistently indicate better performance. Radar plots were then constructed using the station-scale median values for each version and product, as shown in Figure 5.
Figure 5 shows some performance differences among GSMaP versions and products. Overall, the Gauge product generally has the largest radar extent and maintains a relative advantage for most metrics, indicating better overall performance. Its POD remains high, while its CC and KGE are also generally higher. At the same time, the direction-adjusted RMSE and RB also perform well, suggesting that Gauge is comparatively stable in terms of precipitation consistency, error control and event detection. By contrast, GNRT, NRT and MVK show smaller overall radar extents and are generally weaker than Gauge, especially in metrics such as the CC, CSI and KGE, indicating that non-gauge-adjusted products still lag behind to some extent.
In terms of version changes, v08 shows a larger radar area for most products, although this improvement is not uniform across all metrics and varies by product. For GNRT and MVK, the increases in KGE and the CC are more evident in v08 and the normalized RB and RMSE values are also generally improved, which may indicate better consistency and reduced error at the station scale in the newer version. NRT also shows some improvement from v06 to v08, mainly in KGE, the CC and RMSE, although the magnitude of change remains relatively limited. In contrast, the POD and CSI do not increase consistently across all products, and for some non-gauge products, the differences between v07 and v08 are small, with a few metrics in v07 remaining comparable to, or slightly better than, those in v08. These version-related differences may be associated with algorithm refinements and updates in data processing, but their effects are clearly product-dependent.
The station-scale boxplots show broadly similar patterns (Figure S1). For consistency-related metrics, median KGE values in v08 are generally higher than those in v06 and v07 for most products, while the CC is mostly stable or shows a slight increase, with relatively clearer improvement for MVK and Gauge. For error-related metrics, the median RMSE in v08 is generally lower than, or close to, that in the earlier versions, suggesting some reduction in error levels. RB values in v08 are also more concentrated overall, and extreme biases appear less pronounced. This may indicate more stable bias behavior at the station scale, although it does not necessarily imply uniform improvement under all rainfall conditions.
For precipitation event detection, the Gauge product maintains the highest POD and relatively high CSI across all three versions, indicating the strongest overall ability to identify precipitation events. However, the figure also shows that the POD for Gauge decreases slightly in v08 compared with the previous two versions, whereas the CSI increases and the FAR decreases noticeably. This suggests that the v08 improvement is not simply reflected in a higher hit rate but more likely in a better balance between missed events and false alarms. For GNRT, NRT and MVK, the FAR generally shifts in a more favorable direction in v08, but the POD does not increase consistently. Their improvements therefore appear to be more related to false alarm control and overall metric balance than to simultaneous enhancement in all detection measures.
Overall, under the same analysis period, GSMaP shows a general tendency toward improved performance from v06 to v08, particularly in terms of consistency, error control and overall stability, with v08 often performing better. However, this improvement should not be interpreted as a uniform enhancement in all aspects of rainfall representation. Rather, it is better understood as a structured improvement that varies by product and metric. Gauge remains the best-performing product overall. Although the non-gauge products become somewhat more stable in v08 and show improved error-related behavior, they still remain clearly behind Gauge.

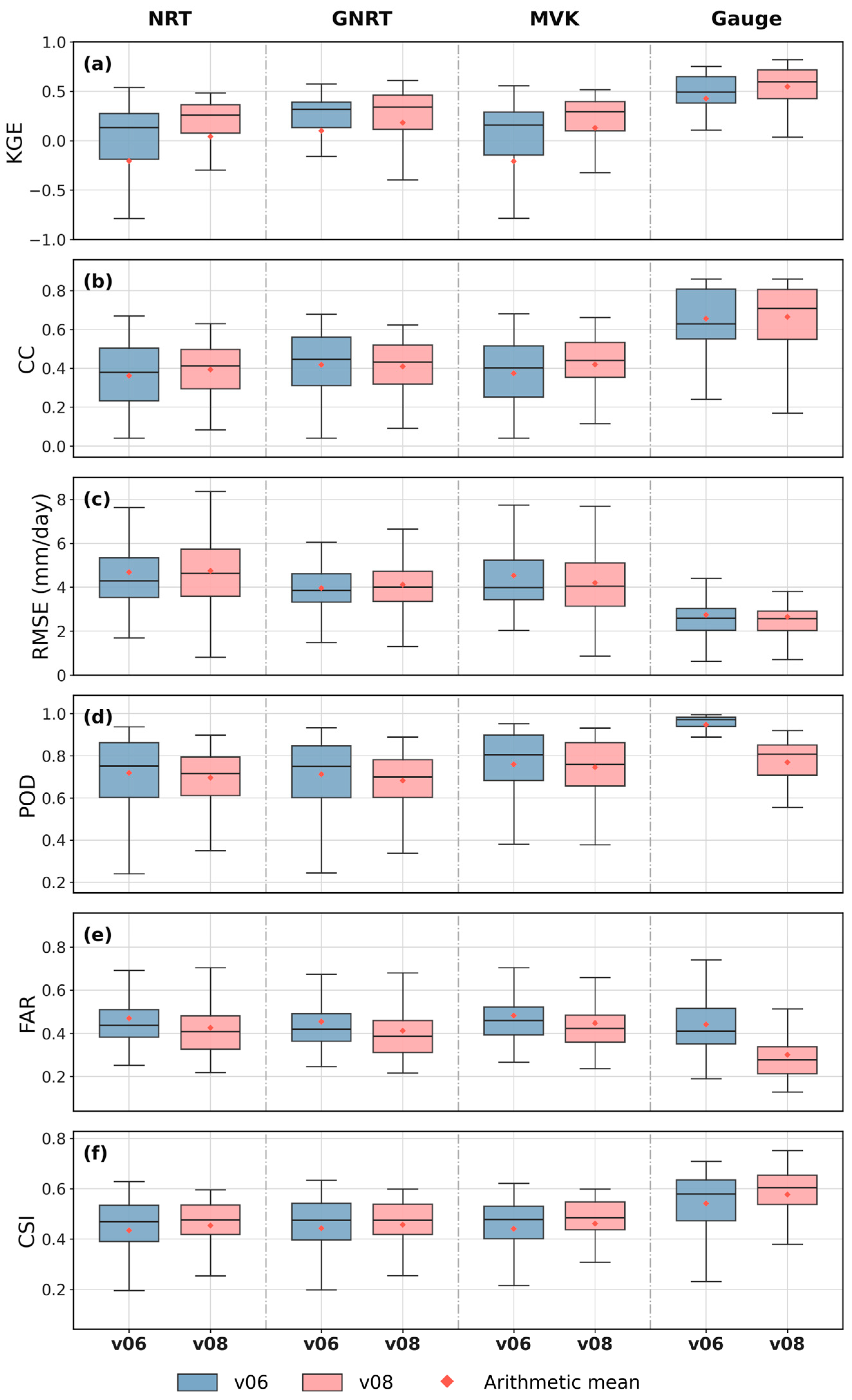
4.3. Long-Term Comparison Between GSMaP v06 and v08 over the Full Period (2001–2022)

Figure 6 compares the differences in several station-based evaluation metrics among the four GSMaP products in v06 and v08. Overall, the changes associated with the version update are not entirely consistent across products, but most metrics suggest that v08 shows improvement over v06 in several respects. Among the four products, Gauge still exhibits the best overall performance in both versions, maintaining relatively high levels in correlation, consistency and event detection. In v08, its KGE, CC and CSI increase further, while the FAR decreases markedly, suggesting that its overall performance and stability have both improved. MVK also shows relatively clear improvement, especially in KGE and the CSI, where the gains are more evident. By contrast, the changes in GNRT and NRT are more limited. Some metrics show only slight improvement, and their overall gains are smaller than those of Gauge and MVK.
Looking at the individual metrics, the consistency-related indicators show relatively clear version differences. KGE is higher in v08 than in v06 for all four products, with the improvement being more evident for Gauge and MVK, suggesting that the newer version may have enhanced overall consistency. In contrast, the changes in the CC are relatively small. Most products show only a slight increase or remain broadly stable, indicating that the improvement in correlation in v08 is relatively limited.
For the error metric, RMSE does not show a consistent decrease across all products. RMSE is slightly lower for Gauge in v08 and MVK also shows some improvement, whereas the changes in NRT and GNRT are relatively small and in some cases even slightly higher. This suggests that the improvement in error control in v08 is not uniform across products but instead shows clear product-dependent differences.
For precipitation event detection, the CSI generally increases across all four products, while the FAR shows an overall downward tendency, with the most pronounced reduction found for Gauge. This suggests that v08 may have some advantage in reducing false alarms and improving overall event detection performance. However, the POD does not show a consistent increase, and for some products it is even slightly lower in v08. Combined with the Wilcoxon test results shown in Table 3, v06 appears to perform better overall in terms of the POD, whereas v08 performs better in the FAR and CSI. This indicates that the improvement in event detection in v08 is more closely related to better false alarm control and a more balanced overall detection capability rather than simply to a higher hit rate.
Figure 7 shows the interannual variation in annual mean precipitation and its spread for different GSMaP products during 2001–2022 [58]. Overall, clear differences can be observed among the products in both interannual variation patterns and the degree of deviation from the observations, and the long-term behavior of v06 and v08 is not fully consistent.
For the Gauge product, both versions follow the observed interannual variation relatively well. Annual mean precipitation is mostly within 1.1–1.6 mm/day. Compared with OBS, v06 is slightly higher in most years, whereas v08 is generally closer to the observations and has a narrower uncertainty range, indicating better long-term consistency. Version differences are more evident for GNRT. Compared with v06, v08 generally follows the observed interannual pattern more closely, suggesting improved temporal consistency. However, noticeable overestimation still appears in some later years, indicating that the improvement is more evident in temporal tracking than in magnitude control. MVK also shows clear version differences. In v06, some years show stronger fluctuations and higher peaks, with values clearly above the observations. By contrast, v08 is smoother, with weaker peaks and values closer to the long-term observed mean, suggesting improved long-term stability. Even so, MVK remains generally higher than the observations in both versions. NRT shows the strongest interannual fluctuation and the widest spread among the four products, indicating the weakest long-term stability. In both v06 and v08, its annual mean precipitation is generally higher than the observations and its variability is clearly larger than that of the other products.
Overall, the response to version updates differs among products from v06 to v08. Gauge shows the most stable improvement, while GNRT and MVK also improve to some extent. In contrast, NRT still shows strong fluctuations and persistent positive bias, suggesting limited long-term stability.
Figure 8 also supports the results above. In general, compared with v06, some v08 products have point clouds that are more concentrated and closer to the 1:1 line under low-to-medium monthly precipitation, mainly below about 100–150 mm/month. This is more clear for Gauge and MVK. It shows better agreement with gauge observations under common monthly precipitation conditions. For NRT, the change from v06 to v08 is small. GNRT shows different changes for different metrics.
From the fitted lines, some v08 products have slopes closer to 1. But the amount of improvement is different among products. Gauge is still the best product in both versions. It has the most concentrated point cloud, the highest correlation and the lowest RMSE. MVK also shows a clearer drop in bias and spread in v08. In contrast, NRT changes only a little and GNRT does not improve in the same way for all statistics.
At higher monthly precipitation, especially above about 200 mm/month, the scatter is still wide for all products and the distance from the 1:1 line is still clear. Gauge mainly shows underestimation in the high-value range. GNRT, MVK and NRT show both underestimation and local overestimation. This shows that the version update works better under low-to-medium monthly precipitation, while estimates at high monthly precipitation are still more uncertain.
The supplementary comparison (Figure S2) further shows that, with version progression, the point clouds of GNRT and MVK become more compact and move closer to the 1:1 line. Gauge maintains the most stable scatter structure across versions, whereas NRT shows the largest dispersion in all versions, especially under high precipitation conditions.
Overall, at both the common-period and long-term levels, GSMaP shows some performance improvement from v06 to v08, although this improvement differs clearly among products and metrics and is not uniform across all aspects. Among them, Gauge consistently remains at the highest level, while GNRT and MVK also show relatively clear improvement. NRT also improves, but its overall performance remains comparatively weaker. The metric-level results further show that the main advantages of v08 are reflected in the KGE, CSI and FAR, suggesting better overall consistency, false alarm control and event detection balance. By contrast, the POD is consistently higher in v06 for all products, indicating that the improvement in v08 does not come from a simple increase in hit rate but rather from a more balanced event detection performance. The long-term interannual analysis and the monthly scatterplots also show that Gauge remains closest to the observations and most stable in both versions. GNRT and MVK are generally closer to the observations in v08, especially under typical precipitation conditions, whereas NRT still shows stronger fluctuations, wider dispersion and persistent positive bias. Overall, compared with v06, v08 is generally better in terms of consistency, error control and overall stability, but this improvement is better understood as a structured optimization rather than a uniform enhancement across all products, metrics and precipitation conditions.

4.4. Seasonal Characteristics of GSMaP v06 and v08

To evaluate the seasonal performance of GSMaP over the Qinghai–Tibetan Plateau, this study compares four products (Gauge, GNRT, NRT and MVK) from versions v06 and v08 across the four standard meteorological seasons: spring (March–May), summer (June–August), autumn (September–November) and winter (December–February). At the seasonal scale, the Distance between Indices of Simulation and Observation (DISO) is used as a composite error metric to rank the overall performance of different versions and products in each season (Figure 9). This method integrates correlation, bias and error magnitude into a unified framework and uses a single value to represent the distance from the ideal state; a smaller DISO value indicates better agreement with observations and better overall performance [57,59].
According to Figure 9 and Table S3, GSMaP precipitation estimates over the Qinghai–Tibetan Plateau show clear seasonal differences. Overall performance is best in summer, followed by autumn, while spring shows larger variability and winter performs worst. This suggests that seasonal conditions exert a strong influence on product performance. One important reason is that precipitation type, cloud structure and surface background change markedly across seasons. In the warm season, precipitation is more often liquid and associated with stronger convective activity, which usually produces clearer microwave and infrared signals and helps improve consistency and event detection. In the cold season, by contrast, solid or mixed-phase precipitation, lower temperatures, snow cover and more complex land-surface conditions tend to increase retrieval uncertainty, resulting in larger errors, higher false alarms and weaker detection skill.
More specifically, spring precipitation is generally weak and unevenly distributed, so consistency remains relatively low for all products. The CC is mostly in the range of 0.1–0.4, while the POD and CSI are often below 0.4 and the FAR remains comparatively high. Gauge still performs best overall, with the CC reaching about 0.7, but the differences between versions are small, suggesting that version updates provide only limited improvement under light-precipitation conditions. Summer is the best-performing season. The POD is usually above 0.6 and the CSI increases to about 0.4–0.6, indicating that warm-season precipitation is more effectively detected by satellite and shows the strongest agreement with observations. Gauge remains the most stable product in terms of correlation and event detection and GNRT and MVK also show some improvement in v08. However, RMSE and RB remain relatively high in summer, with RMSE commonly in the range of 30–60 mm/day, suggesting that magnitude errors during heavy rainfall are still not fully resolved. Autumn is a transition season, and its performance generally lies between summer and winter. Some non-gauge-adjusted products show increases of about 0.05–0.10 in the CC and CSI in v08, but RB does not decrease accordingly, and bias still exceeds 20% for some products. Winter shows the weakest overall performance. For most products, the CC falls below 0.2, the CSI and ETS approach 0, and the FAR and RB increase markedly; RB can even exceed 100% for some unadjusted products. Overall, Gauge remains the most stable product across all seasons, GNRT and MVK show some improvement in the warm season, and NRT still exhibits relatively large uncertainty in winter and overall. More detailed seasonal metric values are provided in Table S3.
In terms of product type, Gauge shows the strongest and most stable performance in all seasons, highlighting the importance of gauge correction for improving the consistency and stability of precipitation estimates over the Qinghai–Tibetan Plateau. GNRT and MVK show intermediate performance and more evident improvement in the warm season, whereas NRT has the greatest uncertainty overall, especially in winter. In terms of version differences, v08 outperforms v06 in some seasons, mainly through improved consistency and better false alarm control in spring and autumn, while the improvement in winter is limited and the difference in summer is relatively small.
Overall, GSMaP performance over the Qinghai–Tibetan Plateau shows strong seasonal dependence. Products generally perform better in the warm season, when liquid precipitation dominates and precipitation signals are clearer, whereas errors increase substantially in the cold season because of solid precipitation and complex surface conditions. Although version updates help improve stability and consistency in some seasons, they are still not sufficient to overcome fully the limitations imposed by winter conditions and the complex high-elevation environment. Therefore, when applying satellite precipitation products over the Qinghai–Tibetan Plateau, product type and seasonal context should be considered first, rather than relying only on the latest version.

4.5. Spatial Variability of GSMaP v06 v07 and v08

Two diagnostic approaches are used to examine GSMaP performance over the complex terrain of the Qinghai–Tibetan Plateau: station-based spatial pattern analysis (Figure 10) and elevation-stratified statistical analysis (Figure 11). First, station-level evaluation metrics are mapped to reveal long-term mean performance and spatial heterogeneity across the Plateau. Second, stations are divided into three elevation classes: low elevation (<2500 m, 24 stations), middle elevation (2500–3500 m, 37 stations) and high elevation (>3500 m, 25 stations). This allows an analysis of how performance metrics vary with elevation and helps identify the systematic influence of topography on precipitation retrieval. In addition, elevation-stratified boxplots of precipitation amounts are used to compare how satellite products and ground observations represent rainfall magnitude under different elevation conditions. Together, these approaches examine the spatial characteristics of GSMaP performance from multiple perspectives, including geographic location, elevation gradient and precipitation structure, and help identify terrain-related factors affecting precipitation estimates [61,62].
To more clearly reveal the spatial performance of different GSMaP products and versions over the Qinghai–Tibetan Plateau, this study first constructed a Composite Performance Index (CPI) based on multiple station-derived evaluation metrics and used it for the spatial display in Figure 10. The CPI integrates information from several aspects, including correlation, error, consistency and precipitation event detection, and can therefore be used to summarize the overall performance level at different stations. Compared with any single metric, the CPI is more helpful for identifying, from an overall perspective, the relative areas of stronger and weaker performance among different products and versions. At the same time, to further examine the spatial characteristics associated with version updates, Figure 11 presents the spatial distribution of the differences in the individual metrics between v08 and v06, so as to illustrate the relative improvement or decline of different products at the station scale and to provide additional explanation for the overall spatial pattern reflected in Figure 10. The specific calculation procedure of the CPI is shown in Table 2.
According to Figure 10, GSMaP shows fairly clear spatial differences over the Qinghai–Tibetan Plateau, especially in the contrast between the eastern and southeastern regions and the high-elevation central and western areas. Overall, stations in the eastern Plateau and along the southeastern margins generally have higher CPI values, suggesting relatively better overall estimation performance in these regions. In contrast, CPI values are generally lower in the high-elevation interior of the central and western Plateau, indicating that these areas remain the main zones of relatively weak GSMaP performance. This spatial pattern is broadly consistent across products and versions, suggesting that terrain conditions, elevation differences and the regional precipitation background may jointly influence the spatial behavior of satellite precipitation retrievals. Compared with v06, v08 shows slightly higher CPI values in some areas, especially in the east and parts of the central Plateau, but these improvements are expressed mainly as local optimization and do not substantially alter the overall spatial pattern.
Figure 11 further reveals how these version-related differences appear in the individual metrics. Overall, the improvements from v06 to v08 show clear spatial heterogeneity, and both the direction and magnitude of change vary across products and metrics. For the CC, KGE′ and the CSI, many stations in the eastern and parts of the central Plateau show positive changes, suggesting some improvement in correlation, overall consistency and integrated event detection performance in these regions. In contrast, improvements are relatively limited in the high-elevation central–western interior, and some stations still show negative changes. The differences in the POD indicate that v08 does not show improvement in all regions; at many stations, the POD is actually lower than in v06, suggesting that improvements in the hit rate are not spatially consistent in the newer version.
Consistent with this pattern, the differences in the FAR are negative over much of the Plateau, with more evident improvement at some eastern and southeastern stations, suggesting that v08 has some advantage in reducing false alarms. By contrast, the differences in RMSE show a more complex spatial pattern. In some relatively wet regions, RMSE in v08 does not decrease clearly and even increases slightly at some stations, indicating that the benefits of the version update for absolute error control are not uniform. The differences in RB also show marked regional variation, and the direction of change is not consistent across products or regions, implying that errors in precipitation magnitude estimation are still influenced by the combined effects of regional precipitation background and terrain conditions.
From the product perspective, Gauge shows a relatively favorable overall spatial pattern in both versions. However, the metric-difference maps in Figure 11 do not indicate a widespread and consistent improvement of v08 over v06. Several factors may help explain this result. First, the Gauge product is already adjusted using gauge information and appears to have had a relatively high baseline performance in v06, leaving more limited room for further improvement. Second, algorithmic updates introduced in a new version may not translate into comparable gains across all performance dimensions. This may be especially true for gauge-adjusted products, in which differences associated with upstream retrieval improvements could be partly smoothed by the subsequent correction process. Third, the complex terrain of the Qinghai–Tibetan Plateau, regional differences in precipitation processes and the sparse station distribution in high-elevation areas may also constrain how consistently the benefits of version updates are expressed in space. Therefore, in this study, Gauge may be more appropriately interpreted as showing relatively strong cross-version stability, rather than a marked version-related improvement across most metrics.
Overall, GSMaP shows a relatively clear and broadly stable spatial performance pattern over the Qinghai–Tibetan Plateau, with generally better performance in the eastern region and along the southeastern margins, while the high-elevation central and western interior remains a relatively weak-performance zone. Compared with the other products, Gauge shows relatively better overall spatial stability and integrated performance in both versions. However, this apparent advantage should be interpreted with caution, because Gauge is a gauge-corrected product and its better agreement with station observations may partly reflect the influence of gauge-based correction rather than fully independent skill alone. At the same time, the improvements associated with the version update are not spatially uniform, nor are they expressed as consistent enhancement across all regions and all metrics. This is particularly evident in the high-elevation interior, where positive changes related to the version update remain relatively limited, suggesting that achieving more substantial performance gains under complex terrain and sparse-station conditions may still be challenging [61,63].
The elevation-based analysis further supports the patterns described above. Figure 12 and Figure S4 show that, with increasing elevation, the performance of most GSMaP products generally tends to weaken, although the magnitude of change is not fully consistent across products or metrics. Therefore, these elevation-related differences should be interpreted with caution, as they may be associated not only with elevation itself but also with the combined effects of station distribution, regional precipitation background and complex terrain conditions [64].
Among the three elevation classes, the <2500 m group performs relatively well overall. In this group, most products generally show higher CC, POD, CSI and KGE′ values, together with a relatively lower FAR and RMSE, suggesting that consistency, error control and event detection are generally better in low-elevation areas. However, some dispersion is still evident in the boxplots of all products, indicating that inter-station differences remain noticeable. The product differences become clearer in the 2500–3500 m group. In this elevation band, the CC, POD, CSI and KGE′ for most products decrease relative to the low-elevation group, while the RB and RMSE show a wider range of variation, suggesting that retrieval performance is relatively less stable in this elevation range. In the >3500 m group, the performance of some products weakens further. This is particularly evident for the products without gauge correction, which generally show weaker correlation, consistency and event detection, as well as more dispersed result distributions, reflecting greater uncertainty [65].
The difference between Gauge and the other products is especially evident. Figure 12 shows that, across all three elevation classes, Gauge generally has higher CC, POD, CSI and KGE′ values, along with a relatively lower FAR and RMSE, and its boxplots are overall more compact. This indicates closer agreement with ground observations and relatively higher stability. This advantage remains evident in the middle- and high-elevation zones, suggesting that gauge correction may, to some extent, help reduce the adverse effects associated with complex terrain and enhanced precipitation variability. By contrast, NRT, GNRT and MVK tend to show wider result distributions and greater uncertainty at higher elevations, with NRT and MVK displaying more pronounced dispersion in some metrics.
From the perspective of version comparison, v08 shows some improvement over v06 in certain elevation bands and for some metrics, with the clearest gains appearing in the Gauge product. For example, Gauge in v08 generally shows higher KGE′, CC and CSI values, together with a lower FAR, across several elevation classes. Some improvement is also found in the other products, but these changes do not appear consistently across all elevation bands and all metrics, suggesting that the gains associated with the version update are somewhat condition-dependent.
Overall, GSMaP over the Qinghai–Tibetan Plateau shows a relatively stable elevation-related performance pattern: low-elevation areas generally perform better, whereas higher-elevation areas, especially those under complex terrain conditions, remain regions of relatively weaker performance. Compared with the other products, Gauge consistently performs better across different elevation bands, further highlighting the importance of gauge correction. By contrast, the improvements associated with version updates alone appear to be relatively limited and are not always very clear at high elevations.

4.6. Precipitation Intensity Analysis

To compare how different GSMaP versions and products describe rainfall intensity over the QTP, this section uses daily station precipitation data from 2001 to 2022 and focuses on the distribution of rainfall intensity classes. Since precipitation in this region is often light and intermittent, the distribution of rainfall intensity provides a direct way to examine how satellite products detect and quantify precipitation. The 1 mm/day threshold defined earlier is used only for the event detection metrics. By contrast, the intensity analysis in this section uses descriptive daily precipitation intervals, where p denotes daily precipitation amounts of 0 ≤ p ≤ 1 mm/day, 1 < p ≤ 5 mm/day, 5 < p ≤ 10 mm/day and p > 10 mm/day to compare the rainfall intensity structure. Figure 13 compares the proportions of these four intervals for GSMaP versions (v06 and v08) and products (MVK, Gauge, NRT and GNRT) against ground observations [66]. Overall, the 0 ≤ p ≤ 1 mm/day interval accounts for the largest proportion over the QTP, followed by the 1 < p ≤ 5 mm/day interval, whereas the 5 < p ≤ 10 mm/day and p > 10 mm/day intervals contribute much less. All GSMaP products reproduce this broad intensity structure, suggesting that they capture the main pattern of regional rainfall intensity distribution.
However, clear differences among versions and products remain across the intensity intervals. Most GSMaP products underestimate the 0 ≤ p ≤ 1 mm/day interval and overestimate the 1 < p ≤ 5 mm/day and 5 < p ≤ 10 mm/day intervals, suggesting a shift in the rainfall contribution structure from weaker to moderate intensities. This pattern is more evident in v06 and v07. By contrast, v08 shows a larger proportion in the 0 ≤ p ≤ 1 mm/day interval and a distribution that is generally closer to the observations, suggesting some improvement in the representation of weaker precipitation.
Among the products, Gauge and GNRT generally show intensity distributions that are closer to the observations, whereas MVK and NRT tend to assign a larger proportion to the 1 < p ≤ 5 mm/day and 5 < p ≤ 10 mm/day intervals. For the p > 10 mm/day interval, all GSMaP products tend to underestimate its contribution, and the differences between versions remain relatively small. This indicates that representing the highest daily precipitation interval remains difficult under the complex terrain conditions of the QTP.
As shown in Figure 14, the contribution–bias patterns across rainfall intensity intervals are broadly similar among the different GSMaP products, although the bias magnitude and its response to version changes still differ by product [60]. Overall, the 0 ≤ p ≤ 1 mm/day and 1 < p ≤ 5 mm/day intervals both show positive bias, indicating that their contributions are generally overestimated. The positive bias is about 10–18% for the 0 ≤ p ≤ 1 mm/day interval and about 8–10% for the 1 < p ≤ 5 mm/day interval. By contrast, the 5 < p ≤ 10 mm/day and >10 mm/day intervals both show negative bias, indicating underestimation of the contribution from higher-intensity precipitation. The negative bias is relatively small for the 5 < p ≤ 10 mm/day interval, usually around 3–7%, whereas the underestimation is strongest for the p > 10 mm/day interval, with negative bias of about 15–20%. This suggests an overall shift in rainfall contribution from higher-intensity intervals toward lower-intensity intervals.
From a version perspective, the bias values in v08 are generally smaller than those in v06 for most intervals. For the 0 ≤ p ≤ 1 mm/day and 1 < p ≤ 5 mm/day intervals, the positive bias in v08 is overall lower than in v06, typically by about 1–3%. For the 5 < p ≤ 10 mm/day and p > 10 mm/day intervals, the negative bias in v08 is also reduced, with the clearest improvement seen in the p > 10 mm/day interval, although the underestimation there remains evident overall. Even so, the general bias structure remains similar in both versions.
Differences among products are also apparent. Gauge and GNRT show relatively smaller biases across all intervals, suggesting that their rainfall intensity structures are closer to the observations. By contrast, MVK and NRT show larger positive bias in the 0 ≤ p ≤ 1 mm/day interval and stronger negative bias in the p > 10 mm/day interval, suggesting that these two products are more likely to overestimate the contribution of weaker precipitation while underestimating the contribution of the highest-intensity precipitation.
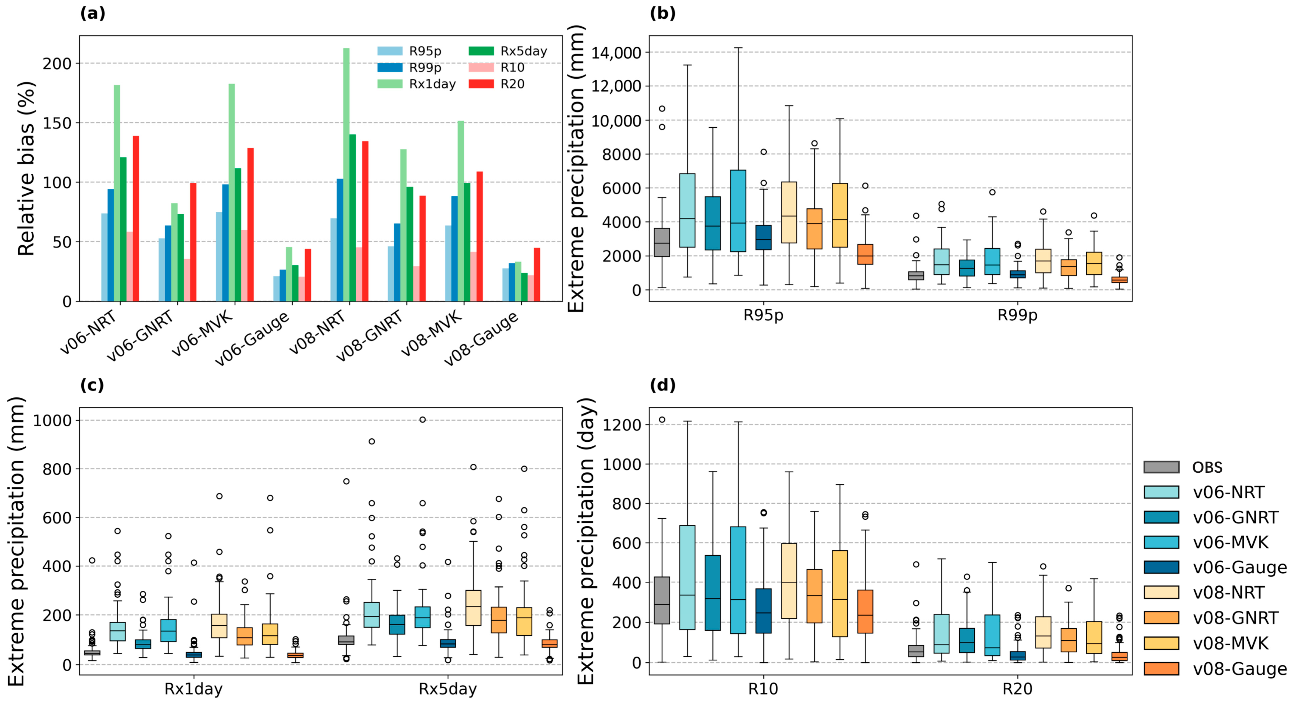
Figure 15 compares the station-scale estimates of extreme precipitation indices from different GSMaP products in v06 and v08. The gray boxplots represent ground observations (OBS) and are used as a reference [67]. The indices include relative bias and several extreme precipitation metrics based on percentiles, intensity and frequency. The results show clear differences among products and the error pattern changes with index type.
Figure 15 compares several station-scale extreme precipitation indices, including high-percentile precipitation amounts (R95p and R99p), maximum 1-day and 5-day precipitation amounts (Rx1day and Rx5day) and the annual number of heavy precipitation days exceeding 10 mm and 20 mm (R10 and R20). Here, R95p and R99p denote the accumulated precipitation from days exceeding the station-specific 95th and 99th percentile thresholds of wet-day precipitation, respectively.
Panel (a) shows that, compared with OBS, most satellite products display positive bias in extreme precipitation indices, meaning that extremes are often overestimated. The bias is generally larger for intensity-based indices (Rx1day and Rx5day), commonly reaching 50–150%, while frequency-based indices (R10 and R20) usually fall within 20–80%. This indicates that satellite products tend to amplify rainfall intensity rather than increase the number of events. The Gauge product shows the smallest bias, with most indices within 30%, and is closer to OBS, reflecting the effect of gauge adjustment. Compared with v06, v08 shows reduced bias for most indices, with typical decreases of 10–30% for GNRT and MVK, indicating clearer improvement.
Panel (b) presents the station distributions of R95p and R99p, which represent the contributions of heavy and very heavy precipitation to total rainfall. Relative to OBS, NRT and MVK show higher medians, with R95p often exceeding observations by 500–1500 mm and wider spreads, suggesting enhanced high-percentile contributions. GNRT and Gauge show more compact distributions and medians closer to observations. R99p values are lower than R95p, but their boxes and whiskers are longer, indicating that more extreme events are more sensitive to retrieval error. Compared with v06, v08 shows narrower ranges and fewer outliers, suggesting improved stability.
Panel (c) shows the station distributions of Rx1day and Rx5day. For all products, Rx5day has higher medians and larger spread than Rx1day, with median values often 2–3 times larger, indicating stronger spatial variability for persistent heavy rainfall. Most satellite products overestimate both indices relative to OBS and show many high-value outliers, while GNRT and Gauge have tighter boxes. Compared with v06, v08 shows slightly lower medians and smaller interquartile ranges, but uncertainty for persistent heavy rainfall remains relatively high.
Panel (d) indicates that differences among products are smaller for frequency-based indices than for intensity-based ones. Compared with OBS, most satellite products still tend to overestimate the number of heavy rainfall days, with R10 often higher by 20–40 days. When the threshold increases to R20, product differences become clearer and GNRT and Gauge show more concentrated and stable distributions. Compared with v06, median values in v08 are generally lower for both indices, suggesting some reduction in overestimated frequency.
In general, GSMaP products can represent the main statistical features of station-scale extreme precipitation. However, large uncertainty remains for intensity-based and high-percentile indices. Compared with non-adjusted products, the Gauge product is closer to OBS and shows better stability and consistency. In addition, v08 performs better than v06 for many extreme indices. However, for very intense or long-lasting precipitation events, accurate representation is still limited, and version updates bring only modest improvement.

5. Discussion

5.1. Interpretation of GSMaP Version Performance over the QTP

Results from spatial patterns, terrain groups, rainfall intensity and different time scales show that GSMaP performance over the Qinghai–Tibetan Plateau varies across regions. From v06 to v08, most products show some improvement in correlation, error control and time stability [43]. However, this improvement does not appear evenly across the Plateau. It should be noted that these classification schemes were mainly retained to remain consistent with the thresholds and grouping framework used in the earlier analyses, so that the results from different parts of the study can be compared more directly.
At the spatial scale, clearer improvement is mainly found in the eastern Plateau and the southeastern margins. In these areas, rainfall is more continuous and mostly liquid. Rain gauges are also more dense [68]. Under these conditions, algorithm updates, such as improved microwave retrievals, multi-sensor merging, infrared cloud tracking and gauge correction, help improve consistency and stability at both station and regional scales. In contrast, performance remains lower in the high-elevation interior and western Plateau. Differences between versions are also small there. This suggests that complex terrain, mixed precipitation types and limited ground observations still restrict improvements in satellite precipitation estimates [64]. Therefore, the improvements from version updates are more evident in warm and wet regions than in cold, high-elevation areas, mainly because precipitation processes and retrieval difficulty differ under different environmental conditions. In warm and wet regions, precipitation is usually dominated by liquid rainfall, the rainfall process is more continuous, and the cloud structure and microwave/infrared signals are relatively clearer. Under these conditions, algorithm updates are more likely to lead to better consistency and lower errors. In contrast, in cold and high-elevation areas, solid or mixed-phase precipitation is more common, the land surface is more complex, and cloud systems are often shallow with weak precipitation intensity. These factors increase the uncertainty of satellite retrievals and weaken the improvements brought by version updates. These results may also provide some further understanding of algorithm evolution. At the current stage, it is still difficult to isolate which single algorithmic modification matters most, because the differences among GSMaP versions likely reflect the combined effects of multiple updates. However, the fact that improvements are more evident in warm and relatively wet regions suggests that updates related to precipitation detection, multi-sensor merging, error control and the treatment of liquid precipitation processes may play a relatively important role. By contrast, the still limited gains in cold, high-elevation and complex terrain areas imply that uncertainties related to solid precipitation, mixed-phase precipitation and complex surface backgrounds remain less fully resolved.
More broadly, the results suggest that algorithm evolution should not be understood simply as a uniform increase in accuracy from one version to the next. Instead, version-related changes appear to be conditional, with improvements depending on environmental setting, precipitation regime and performance dimension. In this sense, the value of multi-version comparison lies not only in identifying whether a newer version performs better but also in showing where current algorithm development appears more effective and where important limitations still remain.
These performance limitations are also related to the physical characteristics of precipitation processes in high-altitude regions. Over much of the Qinghai–Tibetan Plateau, precipitation is frequently dominated by solid or mixed-phase precipitation, particularly during winter and transitional seasons. Ice-phase microphysical processes, such as ice crystal growth and aggregation, can modify the particle size distribution and phase structure of precipitation, which affects the radiative signals detected by satellite sensors. In addition, lower temperatures and limited atmospheric moisture often lead to relatively shallow cloud systems and weaker precipitation intensity. These conditions increase the uncertainty of passive microwave and infrared retrievals and may partly explain the tendency of satellite products to overestimate light precipitation and underestimate heavier rainfall in high-elevation areas.
At the time-scale level, long-term analysis shows that v06 and v08 are comparable over multiple years; v08 shows better interannual stability and long-term consistency than v06. Seasonal results show that GSMaP performs better in warm seasons (spring, summer and autumn) than in winter [69]. Version updates lead to clearer improvements in warm seasons, especially for consistency and error control. In winter, performance differences between versions are smaller. This is likely linked to solid precipitation and complex surface conditions. Monthly analysis further shows that v08 agrees better with observations for low-to-moderate rainfall. For months with high rainfall, systematic underestimation still appears [45].
From the rainfall intensity view, all versions describe light rainfall in a relatively stable way. Bias remains for moderate rainfall. Strong and long-lasting rainfall is often underestimated. Product type plays an important role here. Products with gauge correction are more stable across intensity ranges and closer to observations. This shows that ground data help control rainfall magnitude and reduce systematic bias [38]. This also shows that different products do not benefit from version updates in the same way. In general, gauge-corrected products often show more obvious improvement after version updates. This suggests that when algorithm updates work together with external gauge constraints, they are more helpful for improving consistency, error control and overall stability. In contrast, products that mainly rely on satellite retrievals or near-real-time processing are more sensitive to complex terrain, changes in precipitation phase and sparse observations. As a result, their improvements are usually more limited and less stable.
Near-real-time (NRT) products are more sensitive. Their results respond more strongly to algorithm changes and local rainfall conditions. As a result, their performance varies more across regions, rainfall intensities and time scales. This study also includes GSMaP v05 and v07, but their use differs; v05 products are less complete, and some products cannot be directly compared with later versions. For this reason, v05 is not used for deeper multi-scale analysis. Due to limits in gauge data coverage, v07 is only compared with v06 and v08 over their common time period. It is used to examine short-term algorithm changes, not long-term performance.
Overall, version updates are associated with some improvement in GSMaP performance over the Qinghai–Tibetan Plateau [65], but the extent of this improvement is clearly influenced by terrain conditions, precipitation characteristics, time scale and product design. These limitations remain relatively pronounced under strong rainfall conditions, during localized events and at finer scales. These results may provide a useful reference for hydrological modeling and climate research over the Qinghai–Tibetan Plateau. Differences among products in estimating precipitation amount, maintaining consistency and detecting precipitation events may, to some extent, affect watershed runoff simulations, flood risk assessments and long-term hydro-climatic analyses. Therefore, in practical applications, the selection of satellite precipitation products should take into account the characteristics of the study region, precipitation regime and specific research objectives, rather than relying only on version updates. At the same time, this study also helps improve understanding of the uncertainties associated with satellite precipitation estimates in high-altitude regions and may provide useful reference for future improvement of precipitation retrieval algorithms under complex terrain and high-elevation conditions.

5.2. Implications for the Application of GSMaP

This study builds a simple scoring matrix from the quantitative evaluation results to compare the overall performance of different GSMaP versions and products across several application scenarios. For each evaluation dimension, including precipitation intensity classes, extreme precipitation, seasonal changes, elevation zones and application-related factors, the performance of each product is summarized using key metrics and converted to a unified 0–1 scale, where higher scores indicate better performance. The scores are organized into a matrix and shown as a heatmap with a continuous color scale. This design makes the performance differences between products and versions easy to see across all evaluation dimensions.
The scoring results are shown in Figure 16. Clear differences appear among GSMaP versions and products across the evaluated dimensions. This result shows that no single product performs best under all conditions. Gauge-adjusted products perform well in most categories, especially for extreme precipitation, seasonal scales and different elevation ranges. This indicates improved quantitative agreement and enhanced stability. Among the products, v08-Gauge attains the highest scores and shows the strongest performance in general evaluation, extreme precipitation detection and across different environmental conditions.
The NRT product shows the highest score for near-real-time use, which reflects its value for operational monitoring and real-time applications. At the same time, its lower scores for precipitation intensity structure and quantitative accuracy suggest that it should be used carefully in detailed analyses and hydrological applications. The GNRT and MVK products show performance between NRT and gauge-adjusted products [70]. They perform well under some intensity ranges and seasonal conditions, but their overall stability and scores are lower.
The scoring matrix also shows clear effects of season and terrain. Performance in warm seasons (spring, summer and autumn) is generally better than in winter. Scores at low and middle elevations are usually higher than those at high elevations. Uncertainty remains high in high-elevation plateau areas. These performance differences may be partly related to the physical processes of precipitation formation in high-altitude environments. In many high-elevation areas of the Qinghai–Tibetan Plateau, precipitation is often dominated by solid or mixed-phase precipitation, where ice-phase microphysical processes—such as ice crystal growth and aggregation—play an important role. These processes can change the size and phase structure of precipitation particles, which affects the radiative signals detected by satellite sensors. In addition, lower temperatures and limited moisture at high elevations often lead to shallow clouds and weaker precipitation, increasing the uncertainty of passive microwave and infrared retrievals. For this reason, GSMaP products should be chosen and interpreted based on the study area, season and research purpose.

5.3. Uncertainties and Limitations

This study still has some limitations. First, due to natural and observational constraints, rain gauge stations over the Qinghai–Tibetan Plateau are very unevenly distributed. Most stations are located in the eastern and southeastern low-elevation areas, while observations in the interior and high-elevation regions are relatively scarce. As a result, the evaluation results tend to represent areas with denser observations better, and the uncertainties of satellite precipitation estimates in data-sparse regions may not be fully captured. In addition, although the available stations provide valuable long-term observations across the Plateau, the limited number of gauges and their uneven spatial distribution may affect the overall spatial representativeness of station-based evaluations. This means that some regional characteristics, particularly in remote high-elevation areas, may not be fully reflected in the current assessment.
Second, different GSMaP versions have different time coverage and starting years, which makes direct cross-version comparisons more difficult. Although a common study period was selected to reduce the influence of time-scale differences, variations in record length and associated climate background may still affect the comparability of the results. In particular, the data coverage of v05 and v07 is relatively limited. Therefore, they are more suitable for supplementing the background of version evolution and showing transitional changes between versions, rather than for long-term comparisons at the same depth as v06 and v08.
Third, the analysis of precipitation intensity mainly relies on long-term statistics and focuses on overall distributions and mean characteristics. As a result, the spatiotemporal evolution of individual extreme precipitation events during their onset, development and decay is not fully represented, limiting the assessment of dynamic satellite errors at the event scale. In addition, the composite evaluation indices used in this study depend on the selection and normalization of multiple individual metrics. Since these metrics differ in physical meaning and sensitivity, the composite results should be interpreted together with individual indicators and relevant physical processes.
Moreover, the analysis is primarily based on daily precipitation data and does not further distinguish precipitation phase, leading to limited assessment of solid precipitation such as snowfall and mixed rain–snow events. Over high-elevation areas of the Qinghai–Tibetan Plateau, solid precipitation contributes substantially to annual precipitation and regional hydrological processes. However, satellite retrievals still show considerable uncertainty in identifying snowfall and mixed-phase precipitation. Because passive microwave and infrared remote sensing have limited capability under low precipitation rates and ice-phase conditions, the results of this study mainly reflect the overall performance of precipitation estimates. A more detailed assessment of solid precipitation processes would require additional information on precipitation phase as well as data with higher temporal resolution.
At the same time, it should be noted that the Gauge and GNRT products used in this study are both gauge-corrected products. Based on the currently available public information, we cannot fully confirm whether the gauge data used in their correction overlap directly or indirectly with the CMA station network used in this study. Therefore, the comparison between these two products and ground observations cannot be treated as a fully independent external validation in a strict sense. In other words, the better performance of the gauge-type products may be partly related to the gauge-correction process itself. Accordingly, the results for Gauge and GNRT should be interpreted with additional caution. Their relatively better agreement with station observations may reflect not only product skill but also, to some extent, the influence of gauge-based correction. In this sense, the present comparison is more appropriate for evaluating their practical performance under gauge-constrained conditions, rather than for drawing a strictly independent conclusion about the intrinsic superiority of these products over non-gauge-corrected estimates.
In high-elevation regions of the Qinghai–Tibetan Plateau, solid precipitation contributes substantially to annual precipitation and hydrological processes, while satellite retrievals still show large uncertainties in identifying such precipitation types. Therefore, the results mainly reflect overall precipitation estimation performance, and their applicability to solid precipitation processes requires further investigation.
At the same time, this study does not separate precipitation characteristics under different climate regimes or large-scale circulation conditions. Precipitation over the Plateau is jointly influenced by the Indian monsoon, the westerlies and local thermal processes, with dominant climate drivers varying across seasons and years. These changes in climate background may influence satellite retrieval performance and associated error patterns. Accordingly, the results mainly represent long-term average behavior, and their applicability under specific climate anomalies or particular circulation conditions remains to be tested [71].

6. Conclusions

This study focuses on the Qinghai–Tibetan Plateau and evaluates the precipitation estimation performance of several GSMaP versions (v05–v08) and products (Gauge, GNRT, MVK and NRT) at the station scale. By matching satellite estimates with ground-based daily observations, we built an evaluation framework that includes quantitative consistency metrics and a precipitation event detection indicator. We also analyzed precipitation intensity classes and their structure. This allows the comparison of GSMaP products from several aspects, including overall performance, spatial and seasonal variation and rainfall intensity features. The main findings are summarized below.
(1) GSMaP performance generally improves in later versions, but the level of improvement depends on region and product type.
From v06 to v08, GSMaP products show some improvement in correlation, composite performance and temporal stability. Statistical significance tests further indicate that these improvements are evident for some metrics but not consistently significant across all indicators and products. These improvements are more visible along the eastern and southeastern parts of the Plateau. In the interior and high-elevation areas, performance remains relatively low for all versions, and gains from algorithm updates are limited. This suggests that complex terrain, varied land-surface conditions and a climate with frequent light precipitation still affect the accuracy of satellite rainfall estimates.
(2) Product type has a clear influence on performance, and gauge-adjusted products tend to be more stable.
Across most metrics and time scales, the Gauge product shows higher correlation, smaller errors and more reliable event detection. This shows the role of gauge adjustment in improving GSMaP performance over the Qinghai–Tibetan Plateau. In contrast, NRT, GNRT and MVK products respond more strongly to regional conditions and version changes and they show larger variation, especially in areas with light precipitation and complex terrain. The statistical results also support that some of these product differences are significant, although the significance level varies depending on the metric considered.
(3) GSMaP performance changes with season, with better results in warm seasons than in cold seasons.
In summer and autumn, when precipitation is stronger and more continuous, all products show better event detection, higher POD and CSI values and clearer differences between versions. In winter, light and solid precipitation occur more often. During this time, correlation decreases and false alarms increase, which lowers detection performance. Version updates do not show clear or consistent improvement in winter.
(4) GSMaP products show a similar pattern of spatial differences across the Plateau.
Spatial analysis shows that performance is generally better in the eastern and southeastern Plateau than in the central and western interior. Performance is also better in wetter areas than in drier ones. This pattern appears in all versions, which suggests that terrain complexity, moisture conditions and precipitation type play an important role in shaping GSMaP accuracy over time.
(5) Rainfall intensity analysis suggests that version updates are associated with some improvement in rainfall intensity representation, but underestimation remains evident in the higher-intensity intervals. In general, GSMaP versions reproduce the lower-intensity intervals (0–1 mm/day and 1–5 mm/day) relatively well, whereas the 5–10 mm/day and >10 mm/day intervals are still generally underestimated. Compared with v06, v07 and v08 are generally closer to gauge observations in some intensity intervals, indicating partial improvement in rainfall intensity representation. However, density scatterplots, fitted slopes below 1 under higher precipitation conditions and the large spread at high intensities all suggest that underestimation and instability remain evident for stronger rainfall. This limitation is particularly pronounced over the Qinghai–Tibetan Plateau.
In summary, GSMaP precipitation estimates over the Qinghai–Tibetan Plateau show some improvement across versions, but this improvement is not uniform. Terrain and climatic conditions still constrain overall performance. Statistical significance analysis further indicates that the differences between versions are metric-dependent rather than uniformly significant across all indicators. The gains in newer versions are mainly reflected in overall consistency, false alarm control and integrated performance balance, rather than in a universal improvement across all products, metrics and rainfall conditions. In practical applications, the choice of GSMaP version and product should depend on the research objective, time scale and regional setting.

Supplementary Materials

The following supporting information can be downloaded at: https://www.mdpi.com/article/10.3390/rs18081122/s1.

Author Contributions

Conceptualization: H.L. and L.Z.; methodology: H.L. and L.Z.; data curation: C.Z., Y.C. and Y.G.; formal analysis: H.L., C.Y. and C.F.; visualization: H.L., C.Y. and L.W.; validation: Y.G., Y.C. and C.F.; funding acquisition: L.Z.; supervision: L.Z. and C.Z.; writing—original draft: H.L.; writing—review and editing: L.Z. and C.Z. All authors have read and agreed to the published version of the manuscript.

Funding

We gratefully acknowledge the Science and Technology Projects (XZ202501ZY0145) from the Science and Technology Department of the Xizang Autonomous Region.

Data Availability Statement

The data used in this study were derived from publicly available sources. Daily precipitation observations from 78 ground-based rain gauges covering the period 2001–2022 were obtained from the National Meteorological Information Center of the Chinese Meteorological Administration (CMA) (http://data.cma.cn/ (accessed on 15 December 2025)). Satellite precipitation data from the Global Satellite Mapping of Precipitation (GSMaP) project are publicly available through the Japan Aerospace Exploration Agency (JAXA) Earth Observation Data portal (https://earth.jaxa.jp/en/data/index.html (accessed on 15 December 2025)).

Conflicts of Interest

The authors declare no competing interests.

References

  1. Wang, Q.; Cao, W.; Huang, L. Evolution Characteristics of Ecosystem Functional Stability and Ecosystem Functional Zoning on the Qinghai-Tibet Plateau. J. Geogr. Sci. 2023, 33, 2193–2210. [Google Scholar] [CrossRef]
  2. Wang, L.; Li, X.; Lutz, A.; Nepal, S.; Chen, D.; Yao, T.; Su, F.; Cuo, L.; Yao, Z.; Zhang, Y.; et al. Acceleration of Diverging Runoff Trends on the Third Pole. Commun. Earth Environ. 2025, 6, 907. [Google Scholar] [CrossRef]
  3. Jia, X.; Liu, F.; Dong, W.; Chen, X.; Qian, Q. Amplified Summer Extreme Precipitation over the Tibetan Plateau in the Early 21st Century. npj Clim. Atmos. Sci. 2025, 8, 390. [Google Scholar] [CrossRef]
  4. Wang, W. Analysis of the Characteristics of Heavy Precipitation Changes in the Qinghai-Tibet Plateau. OJNS 2024, 12, 965–980. [Google Scholar] [CrossRef]
  5. Wang, M.; Yao, X.; Wang, J.; Liu, B.; Zhu, Z.; Zhou, S.; Yuan, J. Spatial Heterogeneity of Summer Rainfall Trends over the Tibetan Plateau Contributed by Different Rainfall Intensities. Remote Sens. 2023, 15, 5587. [Google Scholar] [CrossRef]
  6. Ding, Z.; Ha, Y.; Zhong, Z. Summer Extreme Precipitation Patterns and Synoptic-Scale Circulation Precursors over the Tibetan Plateau. Sci. China Earth Sci. 2024, 67, 1625–1638. [Google Scholar] [CrossRef]
  7. Palazzi, E.; Mortarini, L.; Terzago, S.; Von Hardenberg, J. Elevation-Dependent Warming in Global Climate Model Simulations at High Spatial Resolution. Clim. Dyn. 2019, 52, 2685–2702. [Google Scholar] [CrossRef]
  8. Tang, G.; Ma, Y.; Long, D.; Zhong, L.; Hong, Y. Evaluation of GPM Day-1 IMERG and TMPA Version-7 Legacy Products over Mainland China at Multiple Spatiotemporal Scales. J. Hydrol. 2016, 533, 152–167. [Google Scholar] [CrossRef]
  9. Lai, H.-W.; Chen, H.W.; Kukulies, J.; Ou, T.; Chen, D. Regionalization of Seasonal Precipitation over the Tibetan Plateau and Associated Large-Scale Atmospheric Systems. J. Clim. 2021, 34, 2635–2651. [Google Scholar] [CrossRef]
  10. Guo, S.-H.; Li, Y.-P.; Chen, R.-S.; Han, C.-T. The Distinctive Characteristics of Glacier Surface Melt under the Combined Control of Westerlies and Monsoon in the Northeastern Tibetan Plateau. Adv. Clim. Change Res. 2025, 16, 1150–1161. [Google Scholar] [CrossRef]
  11. Yazdandoost, F.; Moradian, S.; Izadi, A.; Bavani, A.M. A Framework for Developing a Spatial High-Resolution Daily Precipitation Dataset over a Data-Sparse Region. Heliyon 2020, 6, e05091. [Google Scholar] [CrossRef]
  12. Ushio, T.; Sasashige, K.; Kubota, T.; Shige, S.; Okamoto, K.; Aonashi, K.; Inoue, T.; Takahashi, N.; Iguchi, T.; Kachi, M.; et al. A Kalman Filter Approach to the Global Satellite Mapping of Precipitation (GSMaP) from Combined Passive Microwave and Infrared Radiometric Data. J. Meteorol. Soc. Jpn. 2009, 87A, 137–151. [Google Scholar] [CrossRef]
  13. Kubota, T.; Shige, S.; Hashizume, H.; Aonashi, K.; Takahashi, N.; Seto, S.; Hirose, M.; Takayabu, Y.N.; Ushio, T.; Nakagawa, K.; et al. Global Precipitation Map Using Satellite-Borne Microwave Radiometers by the GSMaP Project: Production and Validation. IEEE Trans. Geosci. Remote Sens. 2007, 45, 2259–2275. [Google Scholar] [CrossRef]
  14. Fu, Q.; Ruan, R.; Liu, Y. Accuracy Assessment of Global Satellite Mapping of Precipitation (GSMaP) Product over Poyang Lake Basin, China. Procedia Environ. Sci. 2011, 10, 2265–2271. [Google Scholar] [CrossRef]
  15. Zhao, H.; Yang, B.; Yang, S.; Huang, Y.; Dong, G.; Bai, J.; Wang, Z. Systematical Estimation of GPM-Based Global Satellite Mapping of Precipitation Products over China. Atmos. Res. 2018, 201, 206–217. [Google Scholar] [CrossRef]
  16. Mega, T.; Ushio, T.; Takahiro, M.; Kubota, T.; Kachi, M.; Oki, R. Gauge-Adjusted Global Satellite Mapping of Precipitation. IEEE Trans. Geosci. Remote Sens. 2019, 57, 1928–1935. [Google Scholar] [CrossRef]
  17. Yu, L.; Leng, G.; Python, A.; Peng, J. A Comprehensive Evaluation of Latest GPM IMERG V06 Early, Late and Final Precipitation Products across China. Remote Sens. 2021, 13, 1208. [Google Scholar] [CrossRef]
  18. Pellicone, G.; Caloiero, T.; Coscarelli, R.; Chiaravalloti, F. Assessment of Multiple Satellite Precipitation Products over Italy. Remote Sens. 2025, 17, 3772. [Google Scholar] [CrossRef]
  19. Yoshida, N.; Kubota, T.; Yamamoto, M.K. Accuracy of Satellite-Born Precipitation Products Around Japan; Its Dependence On Passive Microwave Sensors. In Proceedings of the IGARSS 2025—2025 IEEE International Geoscience and Remote Sensing Symposium, Brisbane, Australia, 3 August 2025; pp. 4625–4628. [Google Scholar]
  20. Lei, H.; Li, H.; Zhao, H.; Ao, T.; Li, X. Comprehensive Evaluation of Satellite and Reanalysis Precipitation Products over the Eastern Tibetan Plateau Characterized by a High Diversity of Topographies. Atmos. Res. 2021, 259, 105661. [Google Scholar] [CrossRef]
  21. Li, Z.; Liang, H.; Chen, S.; Li, X.; Li, Y.; Wei, C. Performance Assessment of Satellite-Based Precipitation Products in the 2023 Summer Extreme Precipitation Events over North China. Atmosphere 2024, 15, 1315. [Google Scholar] [CrossRef]
  22. Chen, H.; Yong, B.; Qi, W.; Wu, H.; Ren, L.; Hong, Y. Investigating the Evaluation Uncertainty for Satellite Precipitation Estimates Based on Two Different Ground Precipitation Observation Products. J. Hydrometeorol. 2020, 21, 2595–2606. [Google Scholar] [CrossRef]
  23. Huang, J.; Zhou, X.; Wu, G.; Xu, X.; Zhao, Q.; Liu, Y.; Duan, A.; Xie, Y.; Ma, Y.; Zhao, P.; et al. Global Climate Impacts of Land-Surface and Atmospheric Processes Over the Tibetan Plateau. Rev. Geophys. 2023, 61, e2022RG000771. [Google Scholar] [CrossRef]
  24. Wang, Y.; Wang, N.; Li, X. How Precipitation Phase Affects the Accuracy of IMERG Satellite Precipitation Products in Mainland China? Atmos. Res. 2026, 336, 108902. [Google Scholar] [CrossRef]
  25. Sharma, S.; Chen, Y.; Zhou, X.; Yang, K.; Li, X.; Niu, X.; Hu, X.; Khadka, N. Evaluation of GPM-Era Satellite Precipitation Products on the Southern Slopes of the Central Himalayas Against Rain Gauge Data. Remote Sens. 2020, 12, 1836. [Google Scholar] [CrossRef]
  26. Lu, D.; Yong, B. Evaluation and Hydrological Utility of the Latest GPM IMERG V5 and GSMaP V7 Precipitation Products over the Tibetan Plateau. Remote Sens. 2018, 10, 2022. [Google Scholar] [CrossRef]
  27. Wu, L.; Ren, Y.; Huang, P.; Yuan, S.; Zhou, C.; Gu, Z.; Guo, Y.; Zhou, L. Evaluation of GSMaP and MSWEP Precipitation Products for Runoff Simulation in the Lhasa River Basin. PLoS ONE 2026, 21, e0342995. [Google Scholar] [CrossRef]
  28. Sun, G.; Wei, Y.; Wang, G.; Shi, R.; Chen, H.; Mo, C. Downscaling Correction and Hydrological Applicability of the Three Latest High-Resolution Satellite Precipitation Products (GPM, GSMAP and MSWEP) in the Pingtang Catchment, China. Adv. Meteorol. 2022, 2022, 1–23. [Google Scholar] [CrossRef]
  29. Zhu, H.; Chen, S.; Li, Z.; Gao, L.; Li, X. Comparison of Satellite Precipitation Products: IMERG and GSMaP with Rain Gauge Observations in Northern China. Remote Sens. 2022, 14, 4748. [Google Scholar] [CrossRef]
  30. Zhu, S.; Li, Z.; Chen, M.; Wen, Y.; Gao, S.; Zhang, J.; Wang, J.; Nan, Y.; Ferraro, S.C.; Tsoodle, T.E.; et al. How Has the Latest IMERG V07 Improved the Precipitation Estimates and Hydrologic Utility over CONUS against IMERG V06? J. Hydrol. 2024, 645, 132257. [Google Scholar] [CrossRef]
  31. Yang, H.; Shen, X.; Yao, J.; Wen, Q. Portraying the Impact of the Tibetan Plateau on Global Climate. J. Clim. 2020, 33, 3565–3583. [Google Scholar] [CrossRef]
  32. Wang, Y.; Shi, S.; Liu, T.; Duan, L.; Ji, J.; Zhang, S. Multi-Scale Spatiotemporal Pattern and Its Causes of Meteorological Drought over a Typical Steppe in the Inner Mongolia Plateau. J. Hydrol. Reg. Stud. 2025, 60, 102550. [Google Scholar] [CrossRef]
  33. Sun, Q.; Miao, C.; Duan, Q. Changes in the Spatial Heterogeneity and Annual Distribution of Observed Precipitation across China. J. Clim. 2017, 30, 9399–9416. [Google Scholar] [CrossRef]
  34. Jia, X.; Chen, X.; Dong, W.; Ma, H.; Ge, J.; Qian, Q. Impact of Tibetan Plateau Warming Amplification on the Interannual Variations in East Asia Summer Precipitation. npj Clim. Atmos. Sci. 2025, 8, 29. [Google Scholar] [CrossRef]
  35. Kang, S.; Xu, Y.; You, Q.; Flügel, W.-A.; Pepin, N.; Yao, T. Review of Climate and Cryospheric Change in the Tibetan Plateau. Environ. Res. Lett. 2010, 5, 015101. [Google Scholar] [CrossRef]
  36. Seok, S.-H.; Seo, K.-H. Sensitivity of East Asian Summer Monsoon Precipitation to the Location of the Tibetan Plateau. J. Clim. 2021, 34, 8829–8840. [Google Scholar] [CrossRef]
  37. Botsyun, S.; Mutz, S.G.; Ehlers, T.A.; Koptev, A.; Wang, X.; Schmidt, B.; Appel, E.; Scherer, D.E. Influence of Large-Scale Atmospheric Dynamics on Precipitation Seasonality of the Tibetan Plateau and Central Asia in Cold and Warm Climates During the Late Cenozoic. JGR Atmos. 2022, 127, e2021JD035810. [Google Scholar] [CrossRef]
  38. Zhao, K.; Zhong, S. Evaluation and Error Analysis of Multi-Source Precipitation Datasets during Summer over the Tibetan Plateau. Atmosphere 2024, 15, 165. [Google Scholar] [CrossRef]
  39. Zhang, W.; Di, Z.; Liu, J.; Zhang, S.; Liu, Z.; Wang, X.; Sun, H. Evaluation of Five Satellite-Based Precipitation Products for Extreme Rainfall Estimations over the Qinghai-Tibet Plateau. Remote Sens. 2023, 15, 5379. [Google Scholar] [CrossRef]
  40. Tian, Y.; Peters-Lidard, C.D.; Adler, R.F.; Kubota, T.; Ushio, T. Evaluation of GSMaP Precipitation Estimates over the Contiguous United States. J. Hydrometeorol. 2010, 11, 566–574. [Google Scholar] [CrossRef]
  41. Tan, A.; Li, M.; Liu, H.; Chen, L.; Wang, T.; Wang, W.; Shi, Y. Comparative Assessment of Eight Satellite Precipitation Products over the Complex Terrain of the Lower Yarlung Zangpo Basin: Performance Evaluation and Topographic Influence Analysis. Remote Sens. 2025, 18, 63. [Google Scholar] [CrossRef]
  42. Levizzani, V.; Kidd, C.; Kirschbaum, D.B.; Kummerow, C.D.; Nakamura, K.; Turk, F.J. (Eds.) Satellite Precipitation Measurement: Volume 1; Advances in Global Change Research; Springer International Publishing: Cham, Switzerland, 2020; Volume 67. [Google Scholar]
  43. Li, D.; Min, X.; Xu, J.; Xue, J.; Shi, Z. Assessment of Three Gridded Satellite-Based Precipitation Products and Their Performance Variabilities during Typhoons over Zhejiang, Southeastern China. J. Hydrol. 2022, 610, 127985. [Google Scholar] [CrossRef]
  44. Wang, J.; Chen, J.; Shen, P.; Guan, X.; Liu, X.; Massari, C.; Wang, Z.; Feng, M.; Wang, Q.; Lu, Y.; et al. Regional-Scale Intelligent Optimization and Topography Impact in Restoring Global Precipitation Data Gaps. Commun. Earth Environ. 2025, 6, 671. [Google Scholar] [CrossRef]
  45. Zhou, C.; Zhou, L.; Du, J.; Yue, J.; Ao, T. Accuracy Evaluation and Comparison of GSMaP Series for Retrieving Precipitation on the Eastern Edge of the Qinghai-Tibet Plateau. J. Hydrol. Reg. Stud. 2024, 56, 102017. [Google Scholar] [CrossRef]
  46. Huang, W.-R.; Liu, P.-Y.; Hsu, J.; Li, X.; Deng, L. Assessment of Near-Real-Time Satellite Precipitation Products from GSMaP in Monitoring Rainfall Variations over Taiwan. Remote Sens. 2021, 13, 202. [Google Scholar] [CrossRef]
  47. Kardhana, H.; Rohmat, F.I.W.; Adiprayoga, M.F.; Nurhami, A.; Solehudin; Wijayasari, W.; Kurniawati, S.; Mutiawati, R.H. Integrating Ground-Based and Satellite Rainfall Data for Hydrological Modeling: A SWAT+ Application with Sensitivity Analysis in the Saguling Watershed, Citarum River Basin. Results Eng. 2025, 27, 106370. [Google Scholar] [CrossRef]
  48. Liu, Z. Accuracy of Satellite Precipitation Products in Data-Scarce Inner Tibetan Plateau Comprehensively Evaluated Using a Novel Ground Observation Network. J. Hydrol. Reg. Stud. 2023, 47, 101405. [Google Scholar] [CrossRef]
  49. Zambrano-Bigiarini, M.; Nauditt, A.; Birkel, C.; Verbist, K.; Ribbe, L. Temporal and Spatial Evaluation of Satellite-Based Rainfall Estimates across the Complex Topographical and Climatic Gradients of Chile. Hydrol. Earth Syst. Sci. 2017, 21, 1295–1320. [Google Scholar] [CrossRef]
  50. Camici, S.; Massari, C.; Ciabatta, L.; Marchesini, I.; Brocca, L. Which Rainfall Score Is More Informative about the Performance in River Discharge Simulation? A Comprehensive Assessment on 1318 Basins over Europe. Hydrol. Earth Syst. Sci. 2020, 24, 4869–4885. [Google Scholar] [CrossRef]
  51. Mathevet, T.; Le Moine, N.; Andréassian, V.; Gupta, H.; Oudin, L. Multi-Objective Assessment of Hydrological Model Performances Using Nash–Sutcliffe and Kling–Gupta Efficiencies on a Worldwide Large Sample of Watersheds. Comptes Rendus. Géosci. 2024, 355, 117–141. [Google Scholar] [CrossRef]
  52. Feng, J.; Chen, G.; Duan, X.; Tang, B.; Liu, Z.; Huang, Y.; Deng, Y. Multi-Scale Accuracy Assessment of Meteorological Satellite Precipitation Products in the Dry-Hot Valley of Jinsha River. J. Hydrol. Reg. Stud. 2025, 60, 102535. [Google Scholar] [CrossRef]
  53. Liu, X.; Yong, Z.; Liu, L.; Chen, T.; Zhou, L.; Li, J. Improving Hydrological Simulation Accuracy through a Three-Step Bias Correction Method for Satellite Precipitation Products with Limited Gauge Data. Water 2023, 15, 3615. [Google Scholar] [CrossRef]
  54. Dehaghani, A.M.; Gohari, A.; Zareian, M.J.; Torabi Haghighi, A. A Comprehensive Evaluation of the Satellite Precipitation Products across Iran. J. Hydrol. Reg. Stud. 2023, 46, 101360. [Google Scholar] [CrossRef]
  55. Zhang, Q.; Zhou, Y.; Singh, V.P.; Li, J. Scaling and Clustering Effects of Extreme Precipitation Distributions. J. Hydrol. 2012, 454–455, 187–194. [Google Scholar] [CrossRef]
  56. Zolina, O.; Simmer, C.; Gulev, S.K.; Kollet, S. Changing Structure of European Precipitation: Longer Wet Periods Leading to More Abundant Rainfalls. Geophys. Res. Lett. 2010, 37, 2010GL042468. [Google Scholar] [CrossRef]
  57. Taylor, K.E. Summarizing Multiple Aspects of Model Performance in a Single Diagram. J. Geophys. Res. 2001, 106, 7183–7192. [Google Scholar] [CrossRef]
  58. Batista, F.F.; Rodrigues, D.T.; Santos E Silva, C.M.; Andrade, L.D.M.B.; Mutti, P.R.; Potes, M.; Costa, M.J. Performance Assessment of IMERG V07 Versus V06 for Precipitation Estimation in the Parnaíba River Basin. Remote Sens. 2025, 17, 3613. [Google Scholar] [CrossRef]
  59. Zhao, P.; He, Z.; Ma, D.; Wang, W. Evaluation of ERA5-Land Reanalysis Datasets for Extreme Temperatures in the Qilian Mountains of China. Front. Ecol. Evol. 2023, 11, 1135895. [Google Scholar] [CrossRef]
  60. Zhou, Q.; Chen, D.; Hu, Z.; Chen, X. Decompositions of Taylor Diagram and DISO Performance Criteria. Int. J. Climatol. 2021, 41, 5726–5732. [Google Scholar] [CrossRef]
  61. Tang, S.; Li, R.; He, J.; Fan, X.; Wang, H.; Yao, S. Seasonal Error Component Analysis of the GPM IMERG Version 05 Precipitation Estimations Over Sichuan Basin of China. Earth Space Sci. 2021, 8, e2020EA001259. [Google Scholar] [CrossRef]
  62. Koch, J.; Demirel, M.C.; Stisen, S. The SPAtial EFficiency Metric (SPAEF): Multiple-Component Evaluation of Spatial Patterns for Optimization of Hydrological Models. Geosci. Model Dev. 2018, 11, 1873–1886. [Google Scholar] [CrossRef]
  63. Tan, M.L.; Santo, H. Comparison of GPM IMERG, TMPA 3B42 and PERSIANN-CDR Satellite Precipitation Products over Malaysia. Atmos. Res. 2018, 202, 63–76. [Google Scholar] [CrossRef]
  64. Zhou, Z.; Guo, B.; Xing, W.; Zhou, J.; Xu, F.; Xu, Y. Comprehensive Evaluation of Latest GPM Era IMERG and GSMaP Precipitation Products over Mainland China. Atmos. Res. 2020, 246, 105132. [Google Scholar] [CrossRef]
  65. Lv, X.; Guo, H.; Tian, Y.; Meng, X.; Bao, A.; De Maeyer, P. Evaluation of GSMaP Version 8 Precipitation Products on an Hourly Timescale over Mainland China. Remote Sens. 2024, 16, 210. [Google Scholar] [CrossRef]
  66. Du, J.; Yu, X.; Zhou, L.; Ren, Y.; Ao, T. Precipitation Characteristics across the Three River Headwaters Region of the Tibetan Plateau: A Comparison between Multiple Datasets. Remote Sens. 2023, 15, 2352. [Google Scholar] [CrossRef]
  67. Ding, Y.; Wang, F.; Lu, Z.; Sun, P.; Wei, R.; Zhou, L.; Ao, T. Assessments of Various Precipitation Product Performances and Disaster Monitoring Utilities over the Tibetan Plateau. Sci. Rep. 2024, 14, 19740. [Google Scholar] [CrossRef]
  68. Awasthi, N.; Tripathi, J.N.; Petropoulos, G.P.; Gupta, D.K.; Singh, A.K.; Kathwas, A.K. Performance Assessment of Global-EO-Based Precipitation Products against Gridded Rainfall from the Indian Meteorological Department. Remote Sens. 2023, 15, 3443. [Google Scholar] [CrossRef]
  69. Gao, R.; Li, L.; Wang, Y.; Li, W.; Yun, Z.; Gai, Y. Improvements and Limitations of the Latest Version 8 of GSMaP Compared with Its Former Version 7 and IMERG V06 at Multiple Spatio-Temporal Scales in Mainland China. Atmos. Res. 2024, 308, 107517. [Google Scholar] [CrossRef]
  70. Bai, L.; Wen, Y.; Shi, C.; Yang, Y.; Zhang, F.; Wu, J.; Gu, J.; Pan, Y.; Sun, S.; Meng, J. Which Precipitation Product Works Best in the Qinghai-Tibet Plateau, Multi-Source Blended Data, Global/Regional Reanalysis Data, or Satellite Retrieved Precipitation Data? Remote Sens. 2020, 12, 683. [Google Scholar] [CrossRef]
  71. You, Q.; Fraedrich, K.; Ren, G.; Ye, B.; Meng, X.; Kang, S. Inconsistencies of Precipitation in the Eastern and Central Tibetan Plateau between Surface Adjusted Data and Reanalysis. Theor. Appl. Clim. 2012, 109, 485–496. [Google Scholar] [CrossRef]
Figure 1. Topographic characteristics of the Qinghai–Tibetan Plateau (QTP) and distribution of ground-based precipitation stations.
Figure 1. Topographic characteristics of the Qinghai–Tibetan Plateau (QTP) and distribution of ground-based precipitation stations.
Remotesensing 18 01122 g001
Figure 2. Temporal coverage of GSMaP versions, products and gauge observations used in this study (2001–2022).
Figure 2. Temporal coverage of GSMaP versions, products and gauge observations used in this study (2001–2022).
Remotesensing 18 01122 g002
Figure 3. Station-based distributions of multiple performance metrics for GSMaP (Global Satellite Mapping of Precipitation) products across versions v05–v08 over the Qinghai–Tibetan Plateau. Gauge is the gauge-adjusted product, GNRT is the gauge-adjusted near-real-time product, NRT is the near-real-time product and MVK is the moving vector with Kalman filter product. CC, correlation coefficient; RMSE, root mean square error; RB, relative bias; POD, probability of detection; FAR, false alarm ratio; CSI, critical success index; KGE, Kling–Gupta efficiency.
Figure 3. Station-based distributions of multiple performance metrics for GSMaP (Global Satellite Mapping of Precipitation) products across versions v05–v08 over the Qinghai–Tibetan Plateau. Gauge is the gauge-adjusted product, GNRT is the gauge-adjusted near-real-time product, NRT is the near-real-time product and MVK is the moving vector with Kalman filter product. CC, correlation coefficient; RMSE, root mean square error; RB, relative bias; POD, probability of detection; FAR, false alarm ratio; CSI, critical success index; KGE, Kling–Gupta efficiency.
Remotesensing 18 01122 g003
Figure 4. Taylor diagram comparing GSMaP (Global Satellite Mapping of Precipitation) versions v05–v08 and product types against gauge observations over the Qinghai–Tibetan Plateau. CC denotes the correlation coefficient, the radial distance represents the normalized standard deviation ratio σ / σ o b s and the dashed arcs indicate centred root mean square difference (centred RMSD). NRT is the near-real-time product, GNRT is the gauge-adjusted near-real-time product, MVK is the moving vector with Kalman filter product and Gauge is the gauge-adjusted product.
Figure 4. Taylor diagram comparing GSMaP (Global Satellite Mapping of Precipitation) versions v05–v08 and product types against gauge observations over the Qinghai–Tibetan Plateau. CC denotes the correlation coefficient, the radial distance represents the normalized standard deviation ratio σ / σ o b s and the dashed arcs indicate centred root mean square difference (centred RMSD). NRT is the near-real-time product, GNRT is the gauge-adjusted near-real-time product, MVK is the moving vector with Kalman filter product and Gauge is the gauge-adjusted product.
Remotesensing 18 01122 g004
Figure 5. Radar comparison of multiple performance metrics for GSMaP (Global Satellite Mapping of Precipitation) products across versions v06–v08 over the Qinghai–Tibetan Plateau. Gauge is the gauge-adjusted product, GNRT is the gauge-adjusted near-real-time product, NRT is the near-real-time product and MVK is the moving vector with Kalman filter product. POD, probability of detection; CC, correlation coefficient; RMSE, root mean square error; RB, relative bias; KGE, Kling–Gupta efficiency; CSI, critical success index; FAR, false alarm ratio.
Figure 5. Radar comparison of multiple performance metrics for GSMaP (Global Satellite Mapping of Precipitation) products across versions v06–v08 over the Qinghai–Tibetan Plateau. Gauge is the gauge-adjusted product, GNRT is the gauge-adjusted near-real-time product, NRT is the near-real-time product and MVK is the moving vector with Kalman filter product. POD, probability of detection; CC, correlation coefficient; RMSE, root mean square error; RB, relative bias; KGE, Kling–Gupta efficiency; CSI, critical success index; FAR, false alarm ratio.
Remotesensing 18 01122 g005
Figure 6. Station-based comparison of individual performance metrics between GSMaP (Global Satellite Mapping of Precipitation) v06 and v08 products over the Qinghai–Tibetan Plateau. Panels (af) show the KGE (Kling–Gupta efficiency), CC (correlation coefficient), RMSE (root mean square error), POD (probability of detection), FAR (false alarm ratio) and CSI (critical success index), respectively. Gauge is the gauge-adjusted product, GNRT is the gauge-adjusted near-real-time product, NRT is the near-real-time product and MVK is the moving vector with Kalman filter product. Red diamonds indicate the arithmetic mean.
Figure 6. Station-based comparison of individual performance metrics between GSMaP (Global Satellite Mapping of Precipitation) v06 and v08 products over the Qinghai–Tibetan Plateau. Panels (af) show the KGE (Kling–Gupta efficiency), CC (correlation coefficient), RMSE (root mean square error), POD (probability of detection), FAR (false alarm ratio) and CSI (critical success index), respectively. Gauge is the gauge-adjusted product, GNRT is the gauge-adjusted near-real-time product, NRT is the near-real-time product and MVK is the moving vector with Kalman filter product. Red diamonds indicate the arithmetic mean.
Remotesensing 18 01122 g006
Figure 7. Interannual variations in annual mean precipitation for GSMaP (Global Satellite Mapping of Precipitation) products from versions v06 and v08 over the Qinghai–Tibetan Plateau. Gauge is the gauge-adjusted product, GNRT is the gauge-adjusted near-real-time product, MVK is the moving vector with Kalman filter product and NRT is the near-real-time product. Solid lines represent the median annual mean precipitation across stations, OBS denotes gauge observations and shaded envelopes indicate the interquartile range (25th–75th percentiles) across stations.
Figure 7. Interannual variations in annual mean precipitation for GSMaP (Global Satellite Mapping of Precipitation) products from versions v06 and v08 over the Qinghai–Tibetan Plateau. Gauge is the gauge-adjusted product, GNRT is the gauge-adjusted near-real-time product, MVK is the moving vector with Kalman filter product and NRT is the near-real-time product. Solid lines represent the median annual mean precipitation across stations, OBS denotes gauge observations and shaded envelopes indicate the interquartile range (25th–75th percentiles) across stations.
Remotesensing 18 01122 g007
Figure 8. Density-colored scatterplots of monthly precipitation (mm) from GSMaP (Global Satellite Mapping of Precipitation) products for versions v06 and v08 against gauge observations over the Qinghai–Tibetan Plateau. NRT denotes the near-real-time product, GNRT denotes the gauge-adjusted near-real-time product, MVK denotes the moving vector with Kalman filter product and Gauge denotes the gauge-adjusted product. The dashed line represents the 1:1 reference line, the solid line represents the fitted regression line and color density indicates sample frequency. CC denotes the correlation coefficient, RB denotes relative bias and NRMSE denotes normalized root mean square error.
Figure 8. Density-colored scatterplots of monthly precipitation (mm) from GSMaP (Global Satellite Mapping of Precipitation) products for versions v06 and v08 against gauge observations over the Qinghai–Tibetan Plateau. NRT denotes the near-real-time product, GNRT denotes the gauge-adjusted near-real-time product, MVK denotes the moving vector with Kalman filter product and Gauge denotes the gauge-adjusted product. The dashed line represents the 1:1 reference line, the solid line represents the fitted regression line and color density indicates sample frequency. CC denotes the correlation coefficient, RB denotes relative bias and NRMSE denotes normalized root mean square error.
Remotesensing 18 01122 g008
Figure 9. Seasonal correlation analysis of overall performance for different GSMaP versions and products. In the DISO framework, correlation (CC), relative bias (RB) and normalized root mean square error (NRMSE) are used together to describe overall performance [60]. The ideal case is CC = 1, RB = 0 and NRMSE = 0, and the DISO value shows how far the result is from this ideal point. A smaller value means better agreement with observations. The calculation formula is given as follows: D I S O = ( 1 C C ) 2 + R B 2 + N R M S E 2 . Values are calculated for each product and version in each season and then ranked. To reduce seasonal effects, the ranking scores are normalized to a range from −1 to 1 before correlation analysis.
Figure 9. Seasonal correlation analysis of overall performance for different GSMaP versions and products. In the DISO framework, correlation (CC), relative bias (RB) and normalized root mean square error (NRMSE) are used together to describe overall performance [60]. The ideal case is CC = 1, RB = 0 and NRMSE = 0, and the DISO value shows how far the result is from this ideal point. A smaller value means better agreement with observations. The calculation formula is given as follows: D I S O = ( 1 C C ) 2 + R B 2 + N R M S E 2 . Values are calculated for each product and version in each season and then ranked. To reduce seasonal effects, the ranking scores are normalized to a range from −1 to 1 before correlation analysis.
Remotesensing 18 01122 g009
Figure 10. Spatial distribution of station-based performance for different GSMaP products and versions (v06 and v08) over the Qinghai–Tibetan Plateau.
Figure 10. Spatial distribution of station-based performance for different GSMaP products and versions (v06 and v08) over the Qinghai–Tibetan Plateau.
Remotesensing 18 01122 g010
Figure 11. Station-based spatial patterns of GSMaP (Global Satellite Mapping of Precipitation) performance metrics over the Qinghai–Tibetan Plateau. NRT denotes the near-real-time product, GNRT denotes the gauge-adjusted near-real-time product, MVK denotes the moving vector with Kalman filter product and Gauge denotes the gauge-adjusted product. CC denotes the correlation coefficient, RMSE denotes root mean square error, KGE denotes Kling–Gupta efficiency, POD denotes the probability of detection, FAR denotes the false alarm ratio, CSI denotes the critical success index and RB denotes relative bias.
Figure 11. Station-based spatial patterns of GSMaP (Global Satellite Mapping of Precipitation) performance metrics over the Qinghai–Tibetan Plateau. NRT denotes the near-real-time product, GNRT denotes the gauge-adjusted near-real-time product, MVK denotes the moving vector with Kalman filter product and Gauge denotes the gauge-adjusted product. CC denotes the correlation coefficient, RMSE denotes root mean square error, KGE denotes Kling–Gupta efficiency, POD denotes the probability of detection, FAR denotes the false alarm ratio, CSI denotes the critical success index and RB denotes relative bias.
Remotesensing 18 01122 g011
Figure 12. Elevation-dependent performance of GSMaP (Global Satellite Mapping of Precipitation) products over Qinghai–Tibetan Plateau. Products include NRT (near-real-time), GNRT (gauge-adjusted near-real-time), MVK (moving vector with Kalman filter) and Gauge (gauge-adjusted). Metrics include RB (relative bias), CC (correlation coefficient), POD (probability of detection), RMSE (root mean square error), CSI (critical success index), FAR (false alarm ratio) and KGE′ (modified Kling–Gupta efficiency). Different colors indicate different products and different fill styles indicate versions v06 and v08.
Figure 12. Elevation-dependent performance of GSMaP (Global Satellite Mapping of Precipitation) products over Qinghai–Tibetan Plateau. Products include NRT (near-real-time), GNRT (gauge-adjusted near-real-time), MVK (moving vector with Kalman filter) and Gauge (gauge-adjusted). Metrics include RB (relative bias), CC (correlation coefficient), POD (probability of detection), RMSE (root mean square error), CSI (critical success index), FAR (false alarm ratio) and KGE′ (modified Kling–Gupta efficiency). Different colors indicate different products and different fill styles indicate versions v06 and v08.
Remotesensing 18 01122 g012
Figure 13. Comparison of precipitation intensity class frequency distributions between GSMaP (Global Satellite Mapping of Precipitation) products from versions v06 and v08 and gauge observations over the Qinghai–Tibetan Plateau (QTP) during 2001–2022. OBS denotes gauge observations. NRT denotes the near-real-time product, GNRT denotes the gauge-adjusted near-real-time product, MVK denotes the moving vector with Kalman filter product and Gauge denotes the gauge-adjusted product. Precipitation intensity classes are defined as 0 ≤ p ≤ 1 mm/day, 1 < p ≤ 5 mm/day, 5 < p ≤ 10 mm/day and p > 10 mm/day.
Figure 13. Comparison of precipitation intensity class frequency distributions between GSMaP (Global Satellite Mapping of Precipitation) products from versions v06 and v08 and gauge observations over the Qinghai–Tibetan Plateau (QTP) during 2001–2022. OBS denotes gauge observations. NRT denotes the near-real-time product, GNRT denotes the gauge-adjusted near-real-time product, MVK denotes the moving vector with Kalman filter product and Gauge denotes the gauge-adjusted product. Precipitation intensity classes are defined as 0 ≤ p ≤ 1 mm/day, 1 < p ≤ 5 mm/day, 5 < p ≤ 10 mm/day and p > 10 mm/day.
Remotesensing 18 01122 g013
Figure 14. Intensity-dependent precipitation contribution bias: GSMaP v06 vs. v08.
Figure 14. Intensity-dependent precipitation contribution bias: GSMaP v06 vs. v08.
Remotesensing 18 01122 g014
Figure 15. Evaluation of extreme precipitation indices derived from GSMaP (Global Satellite Mapping of Precipitation) v06 and v08 products over the Qinghai–Tibetan Plateau. NRT denotes the near-real-time product, GNRT denotes the gauge-adjusted near-real-time product, MVK denotes the moving vector with Kalman filter product, Gauge denotes the gauge-adjusted product and OBS denotes gauge observations. R95p and R99p denote the annual total precipitation from days exceeding the 95th and 99th percentile thresholds, respectively; Rx1day and Rx5day denote the annual maximum 1-day and 5-day precipitation, respectively; R10 and R20 denote the annual counts of days with precipitation ≥10 mm/day and ≥20 mm/day, respectively. Panel (a) shows the relative bias of extreme precipitation indices. Panels (b,c) show the distributions of percentile-based and maximum precipitation indices, respectively. Panel (d) shows the distributions of heavy precipitation event frequencies.
Figure 15. Evaluation of extreme precipitation indices derived from GSMaP (Global Satellite Mapping of Precipitation) v06 and v08 products over the Qinghai–Tibetan Plateau. NRT denotes the near-real-time product, GNRT denotes the gauge-adjusted near-real-time product, MVK denotes the moving vector with Kalman filter product, Gauge denotes the gauge-adjusted product and OBS denotes gauge observations. R95p and R99p denote the annual total precipitation from days exceeding the 95th and 99th percentile thresholds, respectively; Rx1day and Rx5day denote the annual maximum 1-day and 5-day precipitation, respectively; R10 and R20 denote the annual counts of days with precipitation ≥10 mm/day and ≥20 mm/day, respectively. Panel (a) shows the relative bias of extreme precipitation indices. Panels (b,c) show the distributions of percentile-based and maximum precipitation indices, respectively. Panel (d) shows the distributions of heavy precipitation event frequencies.
Remotesensing 18 01122 g015
Figure 16. Summary product-selection matrix for GSMaP (Global Satellite Mapping of Precipitation) products under different seasonal, elevation, precipitation intensity and application-oriented evaluation dimensions. NRT denotes the near-real-time product, GNRT denotes the gauge-adjusted near-real-time product, MVK denotes the moving vector with Kalman filter product and Gauge denotes the gauge-adjusted product. Precipitation intensity classes include light precipitation (0 < p ≤ 1 mm d−1), moderate precipitation (1 < p ≤ 5 mm d−1), heavy precipitation (5 < p ≤ 10 mm d−1) and very heavy precipitation (p > 10 mm d−1). Extreme precipitation metrics refer to p95, p99, R20 and R30, where p95 and p99 represent percentile-based extreme precipitation indices and R20 and R30 denote the frequencies of days with precipitation ≥20 mm d−1 and ≥30 mm d−1, respectively. Seasonal dimensions include spring, summer, autumn and winter. Elevation dimensions include low-elevation areas (<1000 m), middle-elevation areas (1000–3000 m) and high-elevation areas (≥3000 m). “Annual conditions” refer to the overall year-round evaluation, “overall performance” refers to the integrated performance across multiple metrics, “quantitative consistency” refers to the agreement in precipitation magnitude, “precipitation event detection skill” refers to the ability to detect precipitation occurrence and “near-real-time applicability” refers to the practical usefulness of products for real-time or operational applications. Darker colors indicate better relative suitability within each row category. This figure is intended to support product selection under different application contexts rather than direct comparison of all row categories on a single analytical scale.
Figure 16. Summary product-selection matrix for GSMaP (Global Satellite Mapping of Precipitation) products under different seasonal, elevation, precipitation intensity and application-oriented evaluation dimensions. NRT denotes the near-real-time product, GNRT denotes the gauge-adjusted near-real-time product, MVK denotes the moving vector with Kalman filter product and Gauge denotes the gauge-adjusted product. Precipitation intensity classes include light precipitation (0 < p ≤ 1 mm d−1), moderate precipitation (1 < p ≤ 5 mm d−1), heavy precipitation (5 < p ≤ 10 mm d−1) and very heavy precipitation (p > 10 mm d−1). Extreme precipitation metrics refer to p95, p99, R20 and R30, where p95 and p99 represent percentile-based extreme precipitation indices and R20 and R30 denote the frequencies of days with precipitation ≥20 mm d−1 and ≥30 mm d−1, respectively. Seasonal dimensions include spring, summer, autumn and winter. Elevation dimensions include low-elevation areas (<1000 m), middle-elevation areas (1000–3000 m) and high-elevation areas (≥3000 m). “Annual conditions” refer to the overall year-round evaluation, “overall performance” refers to the integrated performance across multiple metrics, “quantitative consistency” refers to the agreement in precipitation magnitude, “precipitation event detection skill” refers to the ability to detect precipitation occurrence and “near-real-time applicability” refers to the practical usefulness of products for real-time or operational applications. Darker colors indicate better relative suitability within each row category. This figure is intended to support product selection under different application contexts rather than direct comparison of all row categories on a single analytical scale.
Remotesensing 18 01122 g016
Table 1. Overview of GSMaP products and their characteristics.
Table 1. Overview of GSMaP products and their characteristics.
Product TypeVariableLatencyUpdate Interval
Near-real-time productHourly precipitation rate (GSMaP_NRT)4 h1 h
Gauge-adjusted hourly precipitation rate (GSMaP_Gauge_NRT)4 h1 h
Standard productHourly precipitation rate (GSMaP_MVK)3 days1 h
Gauge-adjusted hourly precipitation rate (GSMaP_Gauge)3 days1 h
Table 2. Precipitation estimation performance metrics adopted in this study and their calculation methods.
Table 2. Precipitation estimation performance metrics adopted in this study and their calculation methods.
Evaluation IndexesEquationsPerfect Value
Pearson correlation coefficient (CC) C C = i = 1 n ( D i D - ) ( G i G - ) i = 1 n ( D i D - ) 2 i = 1 n ( G i G - ) 2 1
Root mean square error (RMSE) R M S E = 1 n i = 1 n ( D i G i ) 2 0
The Modified Kling–Gupta efficiency (KGE’) K G E = 1 ( C C 1 ) 2 + ( β 1 ) 2 + ( γ 1 ) 2 1
Probability of detection (POD) P O D = N N + M 1
False alarm ratio (FAR) F A R = F N + F 0
Critical success index (CSI) C S I = N N + F + M 1
Relative bias (RB) R B = i = 1 n ( D i G i ) i = 1 n G i 0
Composite Performance Index (CPI) C P I = 1 N i = 1 N M i *   M i * M i M i m i n M i m a x M i m i n h i g h e r i s b e t t e r   m e t r i c s M i m a x M i M i m a x M i m i n l o w e r i s b e t t e r   m e t r i c s 1
Note: D i and G i denote the satellite-estimated and gauge-observed precipitation values for the i -th sample, respectively; D - and G - are their mean values; n is the sample size; β and γ n K G E represent the bias ratio and variability ratio, respectively; N , M and F   denote hits, misses and false alarms, respectively.
Table 3. Summary of Wilcoxon signed-rank test results for performance differences between GSMaP (Global Satellite Mapping of Precipitation) v06 and v08 across products and metrics over the Qinghai–Tibetan Plateau.
Table 3. Summary of Wilcoxon signed-rank test results for performance differences between GSMaP (Global Satellite Mapping of Precipitation) v06 and v08 across products and metrics over the Qinghai–Tibetan Plateau.
MetricNRTGNRTMVKGauge
KGEv08v08v08v08
CCv08nsv08ns
RMSEnsnsv06ns
PODv06v06v06v06
FARv08v08v08v08
CSIv08v08v08v08
Note: In each cell, v06 or v08 indicates the better-performing version for the corresponding metric and product based on the Wilcoxon signed-rank test, whereas ns indicates that the difference between v06 and v08 is not statistically significant (detailed metric calculations and analysis are provided in Table S2).
Disclaimer/Publisher’s Note: The statements, opinions and data contained in all publications are solely those of the individual author(s) and contributor(s) and not of MDPI and/or the editor(s). MDPI and/or the editor(s) disclaim responsibility for any injury to people or property resulting from any ideas, methods, instructions or products referred to in the content.

Share and Cite

MDPI and ACS Style

Li, H.; Cao, Y.; Guo, Y.; Zhou, C.; Wu, L.; Fan, C.; Yan, C.; Zhou, L. Comprehensive Evaluation of Multi-Version Global Satellite Mapping of Precipitation (GSMaP) Products over the Qinghai–Tibetan Plateau. Remote Sens. 2026, 18, 1122. https://doi.org/10.3390/rs18081122

AMA Style

Li H, Cao Y, Guo Y, Zhou C, Wu L, Fan C, Yan C, Zhou L. Comprehensive Evaluation of Multi-Version Global Satellite Mapping of Precipitation (GSMaP) Products over the Qinghai–Tibetan Plateau. Remote Sensing. 2026; 18(8):1122. https://doi.org/10.3390/rs18081122

Chicago/Turabian Style

Li, Haowen, Yunde Cao, Yinan Guo, Chun Zhou, Lingling Wu, Congxiang Fan, Chuanjie Yan, and Li Zhou. 2026. "Comprehensive Evaluation of Multi-Version Global Satellite Mapping of Precipitation (GSMaP) Products over the Qinghai–Tibetan Plateau" Remote Sensing 18, no. 8: 1122. https://doi.org/10.3390/rs18081122

APA Style

Li, H., Cao, Y., Guo, Y., Zhou, C., Wu, L., Fan, C., Yan, C., & Zhou, L. (2026). Comprehensive Evaluation of Multi-Version Global Satellite Mapping of Precipitation (GSMaP) Products over the Qinghai–Tibetan Plateau. Remote Sensing, 18(8), 1122. https://doi.org/10.3390/rs18081122

Note that from the first issue of 2016, this journal uses article numbers instead of page numbers. See further details here.

Article Metrics

Article metric data becomes available approximately 24 hours after publication online.
Back to TopTop