Next Article in Journal
Filling the Gap: Elevation-Based Sentinel-1 Surface Soil Moisture Retrieval over the Austrian Alps
Previous Article in Journal
Advancing Forest Inventory and Fuel Monitoring with Multi-Sensor Hybrid Models: A Comparative Framework for Basal Area Estimation
Previous Article in Special Issue
High-Precision Crop Identification and Feature Contribution Mechanism in Plateau Mountainous Regions Based on Adaptive Geographic Partitioning and Local Modeling
 
 
Font Type:
Arial Georgia Verdana
Font Size:
Aa Aa Aa
Line Spacing:
Column Width:
Background:
Article

Predicting Tart Cherry Stem Water Potential Using UAV Multispectral Imagery and Environmental Data via Symbolic Regression

1
Division of Agricultural and Natural Resources, University of California, 9240 S. Riverbend Ave., Parlier, CA 93648, USA
2
Department of Civil and Environmental Engineering, Utah State University, 4110 Old Main Hill, Logan, UT 84322, USA
3
Department of Plants, Soils and Climate, Utah State University, 4820 Old Main Hill, Logan, UT 84322, USA
4
Department of Mathematics and Statistics, Utah State University, 3900 Old Main Hill, Logan, UT 84322, USA
*
Author to whom correspondence should be addressed.
Remote Sens. 2026, 18(6), 853; https://doi.org/10.3390/rs18060853
Submission received: 22 January 2026 / Revised: 3 March 2026 / Accepted: 5 March 2026 / Published: 10 March 2026

Highlights

What are the main findings?
  • Stem water potential (Ψstem) in tart cherry orchards can be accurately estimated using UAV-based multispectral imagery combined with meteorological and soil moisture data through symbolic regression, achieving R2 values up to 0.80 and RMSE as low as 0.08 MPa.
  • The Red Chromatic Coordinate (RCC) index, derived from RGB bands, was the most informative spectral predictor of, particularly during the pre-harvest period.
What are the implications of the main findings?
  • The proposed symbolic regression models provide interpretable, transferable equations that overcome the black-box limitations of common machine learning approaches for Ψstem estimation.
  • In this study, symbolic regression allowed for interpretable numerical expressions that responded to available sources of information, while still maximizing the pattern contribution of selected inputs (aerial, meteorological, soil moisture) for description of Ψstem.

Abstract

Tart cherry is an important fruit crop in Utah, where irrigation is essential due to arid conditions. Precision irrigation requires reliable indicators of plant water status, and stem water potential (Ψstem), is among the most sensitive though labor-intensive and spatially limited. This study develops Ψstem estimation models using high-resolution multispectral Unmanned Aerial Vehicle (UAV) imagery combined with meteorological and soil moisture data, applying Symbolic Regression (SR). Results show a stronger correlation between optical bands and Ψstem during the pre-harvest period. Among 85 vegetation indices, the Red Chromatic Coordinate (RCC) index performed best (R2 = 0.67). Six equations were generated for different data-availability scenarios and validated using a leave-one-tree-out (modified k-fold) approach, resulting in Ψstem estimates with R2 values ranging from 0.67 to 0.80 and root mean square errors (RMSE) ranging from 0.11 to 0.08 MPa. Notably, SR was able to produce interpretable equations that enhance model transparency and transferability. Model robustness was further confirmed using an independent dataset from a different location. To our knowledge, this is the first application of SR for Ψstem estimation, offering a scalable and interpretable tool to support irrigation management in tart cherry orchards.

1. Introduction

Tart cherries represent a significant specialty crop in Utah. In 2022, tart cherry farms covered an area of 1503 ha, of which 1230 ha were in bearing age, producing 10,200 Mg of fruit [1]. The Cherry Industry Administrative Board [2] reported a production of 19,800 Mg in 2024, accounting for 16.6% of national output. Most orchards are located in Utah County, a temperate semi-arid region where irrigation is essential for achieving successful yields. An increasing population and limited farmland require growers to adopt irrigation practices that ensure both environmental and economic sustainability. In this context, irrigators must make effective decisions regarding irrigation systems, strategies, and scheduling methods [3]. Growing pressures on water resources further highlight the need for precise and efficient irrigation scheduling in tart cherry production.
Irrigation management in the Western United States varies widely depending on crop type and irrigation method [4]. Most tart cherry orchards utilize micro-sprinklers installed on fixed lateral lines, many of which were designed decades ago. In Northern Utah, ref. [5] reported that small farms often apply excess irrigation that contributes to deep percolation losses, particularly early in the season. These inefficiencies are influenced by how irrigation water is allocated. Ref. [6] noted that irrigation scheduling in Utah County often relies on “in turn” water deliveries, where growers irrigate when water becomes available rather than according to crop water demand. While crop coefficients for sweet cherries east of the Cascades Mountains have been established [7], no equivalent estimates exist for tart cherries. In regions with low summer precipitation and high vapor pressure deficit (VPD), sweet cherry trees may require between 750 and 1000 mm of irrigation during the growing season [8], suggesting that tart cherry orchards in similar climates may have comparable demands.
Stem water potential (Ψstem) and leaf water potential (Ψleaf) are widely used to quantify plant water stress. Water potential (Ψp) reflects the energy state of water within the Soil–Plant-Atmosphere-Continuum (SPAC), and in field conditions, the standard method for measuring is the Scholander Pressure Chamber [9]. When a leaf is enclosed in reflective foil for approximately 30 min or more, transpiration is assumed to cease, and the leaf equilibrates with the stem xylem, providing an estimate of Ψstem [10]. Among plant-based indicators, midday Ψstem has consistently been shown to be a reliable and sensitive metric of water stress in fruit trees, outperforming soil, predawn, and midday Ψleaf [11]. As such, Ψstem is considered a robust plant-based measurement for guiding deficit irrigation strategies.
Despite its value, routine Ψstem measurement faces practical limitations. The pressure chamber method is labor-intensive, time-consuming, and requires skilled personnel, contributing to its lack of widespread adoption outside of research [12]. Furthermore, Ψstem provides point-based measurements that do not capture the substantial spatial heterogeneity within orchards. Variations in soil properties, irrigation uniformity, root distribution, and microclimatic conditions can produce heterogeneous patterns of tree water status that are not represented by sparse sampling. These constraints limit the operational use of Ψstem and highlight the need for scalable approaches capable of estimating Ψstem across space and time.
Measurements of soil moisture and weather parameters are also important for understanding SPAC dynamics. The relationship between Ψstem and VPD can vary by phenological stage [13] and species [14,15]. Soil Water Content (SWC) further dictates the amount of water available for transpiration. To schedule irrigation, both Ψstem and the SWC must be monitored to know when to trigger irrigation and how much water is needed [16]. In fruit trees, Ψstem has been estimated as a function of SWC and atmospheric conditions such as air temperature and VPD [17], and similar relationships have been demonstrated in sweet cherries using soil matric potential and VPD [18].
Remote sensing from satellites and UAVs has recently shown potential for estimating Ψstem in fruit crops [19,20,21,22]. Thermal imagery can be used to assess spatial patterns of water stress relative to well-watered controls [8], and individual spectral bands have demonstrated good agreement with Ψstem [23,24,25]. Vegetation indices (VIs) show varying performance depending on crop type, with moderate correlations reported [26,27]. For example, ref. [28] found that the Photochemical Reflectance Index (PRI) correlated strongly with Ψstem in peaches and almonds, while a different index was most effective in apricots.
Most studies predicting Ψstem using remote sensing have relied heavily on machine learning models such as Random Forest, Support Vector Regression, and Artificial Neural Networks [21,29,30,31,32,33,34,35]. Although effective, these models function as “black boxes,” offering limited interpretability and restricting transferability across datasets and production environments. Symbolic regression provides an alternative by deriving analytical equations directly from data using genetic programming. Unlike traditional black-box approaches, SR generates symbolic expressions that are interpretable and often reflect underlying physical relationships [36]. As ref. [37] note, the absence of explicit internal logic in how black-box models mathematically map input variables to predictions limits their utility for decision-support applications. No published studies have evaluated SR for Ψstem estimation, leaving an important gap, particularly for tart cherry, where opportunities for implementing regulated deficit irrigation depend on improved plant water status monitoring.
The present study investigates the spatio-temporal relationships among Ψstem, meteorological variables, soil moisture, and high-resolution thermal and multispectral UAV reflectance with the objective of developing non-complex, equation-based models for Ψstem prediction in tart cherry trees. A wide range of VIs was evaluated to identify the most informative predictors, and SR was applied to derive interpretable and transferable equations. Models were formulated for multiple data-availability scenarios (remote sensing only, remote sensing plus weather variables, and remote sensing plus weather and soil moisture data) and validated using a leave-one-tree-out approach and using an external independent dataset. To our knowledge, this is the first application of SR for Ψstem estimation using combined remote sensing, meteorological, and soil moisture data.

2. Materials and Methods

2.1. Location of the Experimental Site

The study was conducted in a 1.21 ha block of ‘Montmorency’ tart cherry (Prunus cerasus L.) at the Kaysville Research Farm, part of the Utah Agricultural Experiment Station (41.0202N, −111.9301W, 1314 m elevation). The orchard was established in 2010 with a 3.6 m × 6 m tree spacing. According to the USDA soil survey, the site is characterized by uniform Kidman soil with fine sandy loam texture, well-drained conditions, and moderately rapid permeability. The region has a semi-arid climate, with hot, dry summers and an average precipitation of 558.3 mm. From May through October, reference evapotranspiration (ET0) typically exceeds precipitation. Irrigation is applied via a micro-sprinkler system using Nelson R10 emitters (Nelson Irrigation Corporation, Walla Walla, WA, USA), spaced at 8 m × 6 m and delivering approximately 25.4 mm over 10 h irrigation periods. Meteorological variables, including hourly air temperature (Ta), relative humidity (RH), solar radiation, ET0, and precipitation, were recorded by a Utah Climate Center weather station located within 200 m of the orchard (https://climate.usu.edu/), accessed on 3 March 2026. Vapor pressure deficit (VPD) was computed from Ta and RH [38]. Soil water content was monitored using seven sensor nodes, each equipped with four Teros 12 sensors connected to ZL6 dataloggers (METER Group Inc., Pullman, WA, USA), installed at depths of 15, 45, 60, and 76 cm.
A second orchard located in Santaquin, UT (39.9841N, −111.8129W), was utilized for external validation of the proposed models (Appendix A). This commercial orchard covers approximately 12 ha and was planted in 2011 using the same scion-rootstock combination. Rows are oriented north–south with a tree spacing of 4.3 m within rows and 5.5 m between rows. According to the web soil survey four types of soil are present in this site: Lakewin gravelly fine sandy loam (LaC; 1% to 6% slopes), Lakewin gravelly fine sandy loam (LaD; 6% to 15% slopes), Welby silt loam (WeB; 1% to 3% slopes), and Welby silt loam (WeC; 3% to 5% slopes). The climate is also semi-arid, with average annual precipitation of 442.9 mm. Irrigation is applied using a micro-sprinkler system equipped with Nelson R10 emitters, spaced similarly to the experimental orchard. Meteorological variables were recorded by a weather station located within 1 km of the orchard. Soil water content was measured using five sensor nodes, each equipped with four TDR-315 N (Acclima, Meridian, ID, USA), installed at depths of 15, 45, 60, and 76 cm.

2.2. Ψstem Sampling and Measurement Protocols

Fourteen trees were selected for Ψstem sampling. The locations of the sampled trees, soil moisture sensors, and meteorological station at the Kaysville site are shown in Figure 1.
A Scholander pressure chamber (Model 1505D, PMS Instruments, Albany, OR, USA), equipped with a digital gauge, was used for the Ψstem measurements. Three shaded leaves inside the canopy, close to the trunk or a main scaffold branch, were selected on each sampled tree. The leaves were enclosed in laminated foil bags at least one hour before measurements. A clean cut was made at the petiole, and leaves were immediately inserted into the pressure chamber. Nitrogen gas was applied until the water was extruded by the xylem (endpoint), and the pressure was recorded. Measurements were taken close to solar noon (12:00 to 14:00) to capture peak water-stress conditions. A total of 24 Ψstem data collection campaigns were conducted. In 2023, six Ψstem measurement campaigns were conducted from 18 June to 9 September, aiming for three measurements pre- and post-harvest. In 2024, data collection campaigns increased to 19, running from 15 May (three days after leaf-out) to 24 September, to capture finer-scale Ψstem dynamics.

2.3. Soil Apparent Electric Conductivity Mapping

Soil apparent electrical conductivity (ECa) was measured to characterize within-orchard soil variability. Measurements were collected using an EM38 probe (Geonics, Mississauga, ON, Canada), which operates at 14.5 kHz with an effective sensing depth of approximately 1.5 m. The probe provides quad-phase (conductivity) and in-phase (magnetic susceptibility) readings in mS/m, with a conductivity noise level of 0.5 mS/m.
The EM38 probe was mounted on a wooden sled and towed across the field using an all-terrain vehicle (ATV) at 11–13 km/h. A Trimble Ag-114 GNSS receiver (Trimble Inc., Westminster, CO, USA), logged positional data at 1 s intervals [39]. The field setup is shown in Figure 2. ECa point measurements were interpolated using ordinary Kriging in ArcGIS Pro v.2.9.5, (Esri, Redlands, CA, USA) and semivariogram model parameters were optimized during fitting.

2.4. UAV Multispectral and Thermal Data Acquisition and Calibration

High-resolution multispectral and thermal imagery was collected using a DJI Matrice 300 RTK (DJI Technology, Shenzhen, China) equipped with an Altum-PT multispectral and thermal camera (AgEagle Aerial Systems, Wichita, KS, USA). A total of 25 flights were conducted. Flights followed a 2D grid-based automatic mission with 85% frontal and side overlaps at 6 m s−1 and 120 m altitude, resulting in a ground sampling distance of 2.5 cm. All flights were conducted within one hour of solar noon to minimize shadow effects.
The Altum-PT camera captures imagery in five multispectral bands: blue (475 nm, 32 nm bandwidth), green (560 nm, 27 nm), red (668 nm, 14 nm), red-edge (717 nm, 12 nm), and near-infrared (NIR) (842 nm, 57 nm). The 12.2 MP panchromatic sensor (634 nm, 463 nm) was used for pan-sharpening, improving spatial resolution to 2.5 cm per pixel. Thermal imagery was acquired through the integrated Long Wave Infrared (LWIR) sensor (11 μm, 6 μm) present in the Altum-PT camera, with a ground sampling distance of 30 cm. Figure 3 shows the UAV platform with the Altum-PT payload, Aeropoints ground control points (GCPs), and thermal calibration instruments.
Radiometric calibration was performed using a Micasense Calibrated Reflectance Panel (CRP2) placed flat on the ground and photographed before and after each flight. Geometric calibration used six Propeller Aeropoints ground control points (GCPs) positioned at the orchard corners and center. Post-processing resulted in a horizontal accuracy of 10 mm and a vertical accuracy of 20 mm.
Thermal calibration followed [40]. Three 3 m × 3 m tarps with different emissivity were placed on level ground, and their surface temperatures were measured using an Apogee SI-111 infrared radiometer (Apogee Instruments Inc., Logan, UT, USA) mounted 2 m above ground level at a 35° viewing angle. These measurements served as reference data for correcting the LWIR output of the Altum-PT. Temperature values were extracted from the thermal images using a 0.5 m × 0.5 m polygon, which resulted in a total of 400 pixels.

2.5. Orthomosaic Generation Processing

Orthomosaics were generated using Agisoft Metashape professional v.2.0.3 (Agisoft, LLC, St. Petersburg, Russia). Pan-sharpening and radiometric conversion were applied according to the manufacturer’s instructions. Reflectance (ρ) for each spectral band (λ) was computed using Equation (1):
ρ λ = ( D N λ ( D N 634 0.2 D N 475 + 0.2   D N 560 + 0.2 D N 668 + 0.2 D N 717 + 0.2 D N 942 ) ) / 32768 ,
where DNλ is the band-specific digital number, DN634 is the panchromatic DN, and 32,768 corresponds to the range of a 16-bit image.
Thermal digital numbers were converted to temperature using:
L W I R ° C = D N L W I R 100 273.15 ,
To correct the LWIR temperature estimates, the average pixel values from the center of each calibration tarp were plotted against IRT measurements. The resulting calibration equation was:
L W I R   c o r r e c t e d ° C = 0.5974 L W I R ° C + 9.9875 ,
The goodness of fit containing the slope and coefficient obtained from the linear regression between pixel and infrared radiometers values, using the data from all 25 flights, is shown in Figure 4.

2.6. Canopy Segmentation, Extraction of Spectral Information, and Calculation of VIs

A two-stage segmentation workflow was developed to isolate pure canopy pixels from each orthomosaic. A dense point cloud was generated and classified using Metashape’s automatic ground-point detection. Parameters included a cell size of 50 m, a maximum angle threshold of 20°, and a maximum distance threshold of 1 m. A Digital Surface Model (DSM) was produced from unclassified points, while a Digital Terrain Model (DTM) was generated from the ground-classified points. The Canopy Height Model (CHM) was then calculated as the difference between DMS and DTM. Pixels with CHM values ≥ 1 m were retained to generate the first binary mask.
Because tart cherry trees are trained in an open-vase structure with sparse central canopies, a second refinement step was applied to remove non-foliage and radiometrically extreme pixels within the canopy using a binary NDVI mask. Tree-level NDVI zonal statistics (minimum, mean, and maximum) were examined to characterize NDVI distributions. Mean NDVI values were tightly clustered around the dominant canopy reflectance range (~0.88), while lower and upper extremes were associated with artifacts (Appendix B). Based on the histogram of these tree-level statistics, NDVI values ≤ 0.78 and ≥0.92 were identified as distribution tails and used to define the bounds of the binary mask applied to each spectral band. Figure 5 shows the workflow and results of the canopy segmentation approach.
Mean reflectance values for each sampled tree were extracted using a rectangular grid. Histograms of pixel values within each polygon showed no meaningful differences between mean and median values (Appendix C), validating the use of the mean. A Python 3.12.7 script was used to automate the extraction for each flight date. Eighty-five vegetation indices were computed from the multispectral imagery following the “Awesome Spectral Indices” catalog (https://github.com/awesome-spectral-indices/awesome-spectral-indices; accessed on 2 June 2024). Indices were ranked by their coefficient of determination (R2) with Ψstem. The relationships were computed using the full dataset prior to model training. Although this approach may introduce a potential risk of information leakage, model performance was subsequently evaluated using an independent validation dataset collected from a different orchard.
A correlation matrix was computed for the top 20 indices, and indices that were highly correlated with each other (R2 > 0.95) were removed, and the top four independent indices were selected as model predictors. The canopy-air temperature difference (Tc − Ta) was computed using the corrected LWIR imagery.

2.7. Ψstem Model Formulation and Performance Evaluation

To estimate Ψstem, symbolic regression (SR) models were developed using the PySR library [41]. pySR applies genetic programming principles to identify simple, human-interpretable mathematical expressions through a Python interface to a Julia-based optimization engine. The algorithm initializes multiple populations of randomly generated candidate equations and iteratively evolves them through mutation and crossover operations. After each evolutionary cycle, candidate equations are evaluated using a loss function, and candidates are retained based on their loss and complexity. Additional implementation details on the PySR framework are available in the project repository (https://github.com/MilesCranmer/PySR; accessed on 4 September 2025). The statistical significance of coefficients in the final SR-derived equations was assessed using ordinary least regression (OLS) standard errors.
The algorithm was configured with eight populations, each containing 50 candidate equations. A total of 500 cycles were performed per iteration, with 40,000,000 evolutionary iterations. The operator set included addition, subtraction, multiplication, division, power, square root, and exponential functions.
Predictor variables were initially screened based on their R2 and statistical significance (p-value) in relation to Ψstem. The dataset was divided into pre-harvest (n = 141) and post-harvest (n = 141). Within each subset, observations were randomly split into a training set (75%) and a validation set (25%). The training set was used to identify symbolic regression model structures and estimate coefficients, while the validation set was used for internal performance assessment. Model complexity was quantified independently by assigning weighted points to the number of variables (2 points each), arithmetic operations (1 point), and exponentiation terms (2 points).
Because Ψstem observations were collected repeatedly from multiple trees across sampling dates, a Leave-One-Tree-Out (LOTO) cross-validation procedure was implemented to evaluate the robustness and generalizability of SR equations. In this process, which is a modified version of k-fold cross-validation, during each iteration, all observations from one tree were excluded. The functional form of each SR-derived equation remained fixed, and only the coefficients were re-fitted using data from the remaining trees. Predictions were then generated for the excluded tree. This procedure was repeated until each tree had served once as a validation unit. Differences in predictive performance between equations were evaluated using a paired t-test on LOTO RMSE values.
In addition to SR-derived equations, a Generalized Additive Model (GAM) was fitted as a flexible, non-parametric benchmark. The GAM included all predictors used across models and was implemented using the mgcv package in R. Smooth functions were estimated automatically for each predictor, allowing non-linear relationships to emerge without manual specification of interaction terms. A null model predicting the mean Ψstem from the training trees was also included as a baseline comparator.
To evaluate temporal robustness, SR-derived functional forms identified from the primary training dataset were kept fixed, and coefficients were re-fitted using data from 2024. The recalibrated models were then applied to predict Ψstem in 2023, providing an additional evaluation of interannual transferability.
Model generalization and transferability were further evaluated using an independent external orchard dataset (Santaquin) that was not used during feature selection, model structure identification, or coefficient calibration. The SR equations and their original coefficients, identified from the primary orchard dataset (Kaysville), were applied directly to the external dataset.
Model performance was assessed using the Root Mean Square Error (RMSE), Mean Absolute Error (MAE), Mean Absolute Percentage Error (MAPE), and R2, defined as follows:
R M S E = p i o i 2 n ,
M A E = o i p i n ,
M A P E = o i p i o i     100 n ,
R 2 = 1 o i p i 2 o i o ¯ 2 ,
where pi and oi represent the predicted and observed Ψstem values (MPa) for observation I, respectively; o ¯ is the mean observed Ψstem; and n is the total number of observations used in the evaluation.
Model parsimony was evaluated using the Akaike Information Criterion (AIC) and Bayesian Information Criterion (BIC), computed as follows:
A I C = n ln R S S n + 2 k ,
B I C = n ln R S S n + k ln n ,
where RSS is the residual sum of squares and k is the number of estimated parameters.

3. Results

3.1. Ψstem During 2023 and 2024 Growing Seasons

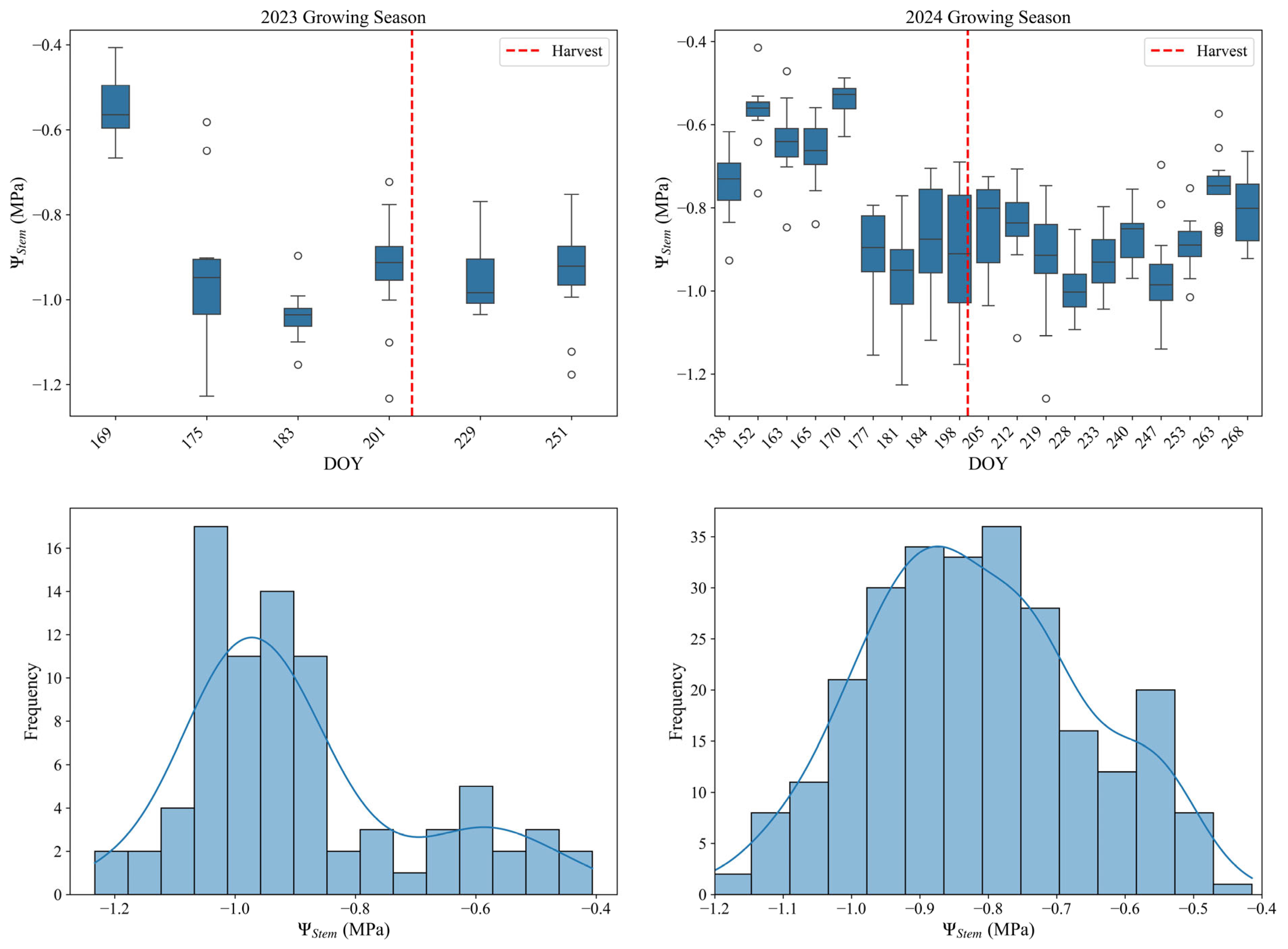
Figure 6 presents boxplots and histograms of Ψstem for 2023 and 2024. In 2023, Ψstem ranged from −0.40 to −1.23 MPa, with a seasonal mean of −0.89. In 2024, values ranged from −0.41 to −1.25 MPa, with a mean of −0.82 MPa. Across both growing seasons, Ψstem followed a consistent seasonal pattern characterized by less negative values early in the season and progressively more negative values as the canopy developed. More frequent measurements in 2024 confirmed the pattern observed in 2023, including a noticeable shift occurring near DOY 175. Harvest took place on DOY 206–208 in 2023 and DOY 199–201 in 2024. In 2024, post-harvest Ψstem measurements exhibited more short-term fluctuations compared to 2023.
Figure 7 compares Ψstem values for near-matched DOY pairs between 2023 and 2024. Ψstem was less negative early in the season (DOY 169–170) and became more negative during mid-season, corresponding to the onset and progression of pit hardening. Late-season measurements did not show a clear monotonic decline; instead, Ψstem values remained within a similar range or were slightly less negative than mid-season measurements. Although the general seasonal pattern was comparable across years, some DOY pairs showed greater variability among sampled trees and slightly lower medians in 2024.

3.2. Soil ECa and Soil Water Content Relationship with Ψstem

The soil apparent electrical conductivity (ECa) map generated using the data from the EM38 survey is shown in Figure 8. Spatial variation was limited across the orchard, with ECa values ranging from 14 to 28 mS/m. Within the subset of monitored trees, variability was even smaller (20–25 mS/m), indicating a relatively uniform soil profile in the area.
Figure 9 presents the daily SWC for all sensor depths during the measurement period. In 2023, SWC remained fairly uniform throughout the season. At 15 cm depth, values were stable near 0.20 m3/m3 before harvest, increasing to 0.25 m3 m−3 after harvest. At 45 cm, SWC fluctuated minimally between 0.21 and 0.22 m3 m−3 pre-harvest and increased to 0.25 m3 m−3 post-harvest. Deeper sensors showed similar patterns: SWC at 60 cm decreased slightly from 0.23 to 0.21 m3 m−3 before harvest and then increased to 0.23 m3 m−3, while at 75 cm, values declined from 0.25 to 0.22 m3 m−3 and later increased to 0.23 m3 m−3.
In contrast, 2024 exhibited greater SWC variability. At 15 cm, SWC declined from 0.23 to 0.19 m3 m−3 before stabilizing at 0.20 m3 m−3 post-harvest. At 45 cm, values fluctuated more widely (0.27 to 0.19 m3 m−3) during the pre-harvest period before stabilizing near 0.20 m3 m−3 post-harvest. SWC at 60 and 75 cm showed a progressive seasonal decline, from 0.26 to 0.19 m3 m−3, and from 0.27 to 0.20 m3 m−3, respectively.
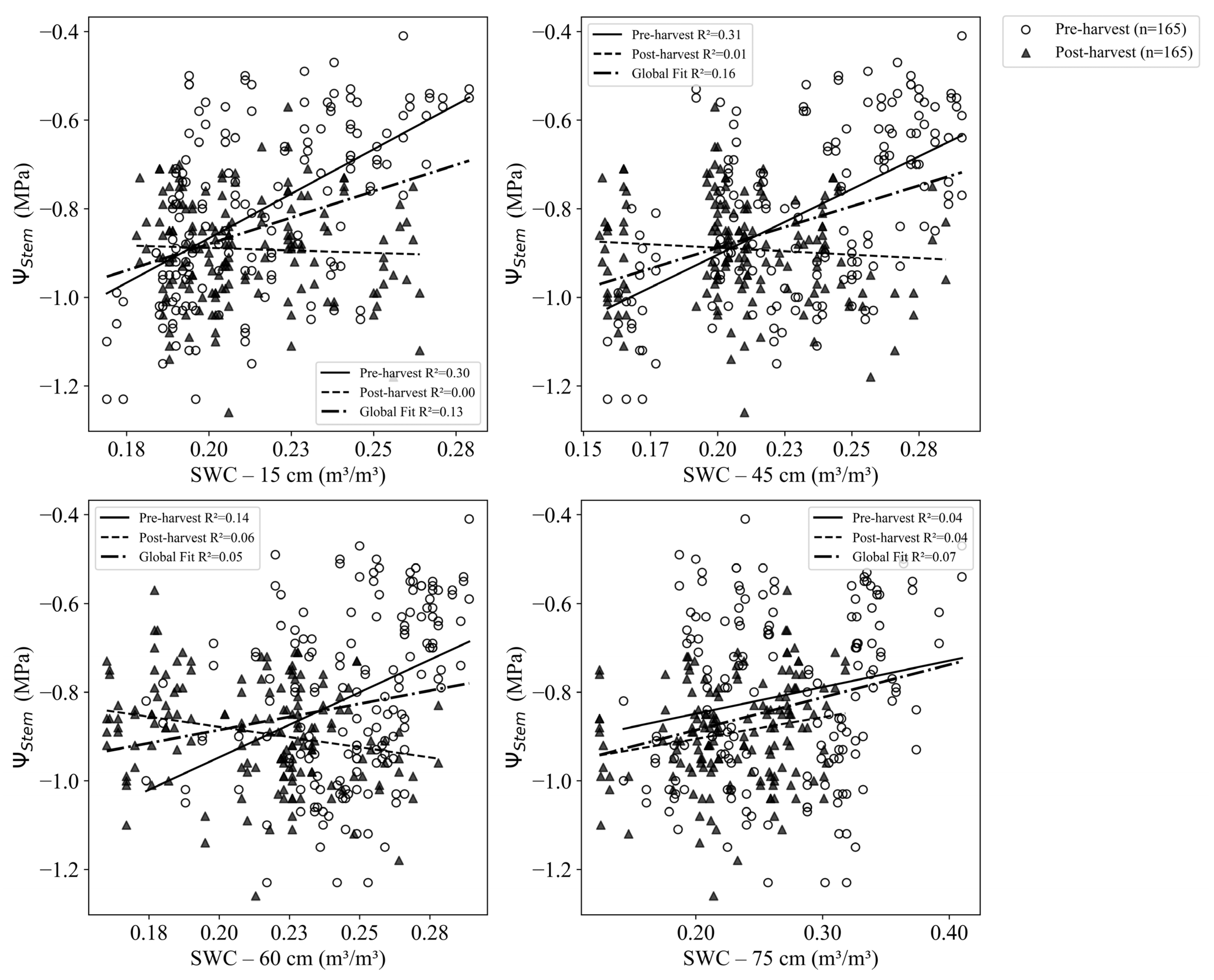
The relationship between SWC and Ψstem is shown in Figure 10 using all individual sensor measurements. Correlations were higher during the pre-harvest period, with R2 values of 0.30, 0.31, 0.14, and 0.03 at 15, 45, 60, and 75 cm depths, respectively. Averaging across depths yielded an R2 of 0.31.

3.3. Relationship Between Ψstem and Meteorological Variables

In 2023, cumulative precipitation totaled 107 mm, with August contributing the highest monthly amount (43 mm), while cumulative ET0 reached 777 mm, peaking in July at 196 mm. In 2024, cumulative precipitation was 177 mm, with the highest monthly value in May (57 mm). Total seasonal ET0 was 811 mm, with July again showing the maximum monthly ET0 (193 mm).
During 2023, Ta ranged from 4 °C (DOY 125) to 39 °C (DOY 203), and VPD ranged from 0.03 to 6.04 kPa, with the maximum also occurring in DOY 203. Solar radiation varied from 3.8 to 31 MJ m−2, and daily ET0 ranged from 0.8 to 7.9 mm. In 2024, Ta varied from −0.5 °C (DOY 123) to 39 °C (DOY 192), while VPD ranged from 0.02 to 6.0 kPa. Solar radiation ranged from 4.8 to 31.7 MJ m−2, and ET0 from 1.3 to 8.1 mm. Meteorological conditions during flight campaigns reflected a warm, arid environment, with an average Ta of 29 °C and an average VPD of 3.0 kPa. The highest values occurred during flight #18 (DOY 219, 2024) with Ta = 36 °C and VPD = 4.7 kPa, while the lowest Ta (22 °C) and VPD (1.7 kPa) were recorded during flight #24. Relative humidity averaged 27% and generally remained below 32%. Average meteorological conditions during each flight are shown in Appendix D.
The relationship between Ψstem and meteorological variables was examined using linear and quadratic regression models. Both instantaneous (flight-time) and daily meteorological values were evaluated for the pre-harvest period and for the entire growing season. Quadratic models were included because scatterplots for solar radiation and ET0 indicated non-linear patterns (Appendix E).
A regression analysis was conducted to evaluate the linear and quadratic relationships between the four meteorological parameters and Ψstem. Statistical significance was assessed, and the data were stratified by year, pre-harvest and post-harvest periods, as well as across the entire season. The full results are presented in Appendix F, while Table 1 summarizes the strongest relationships.
The strongest relationships between Ψstem and meteorological variables were observed during the pre-harvest period. Across both years, quadratic models using daily averages of solar radiation and ET0 provided the strongest relationships, which explained up to 33% of the variation in Ψstem. Ta and VPD showed comparable R2 values regardless of whether instantaneous or daily measurements were used, and differences between linear and quadratic models were minimal.

3.4. Relationship Between Ψstem, Multispectral Bands, and VIs

Figure 11 shows the temporal variability of reflectance in the blue, green, red, red-edge, NIR, and LWIR bands across both growing seasons for all 14 sampled trees. Reflectance values on the first flight date were unusually high in the optical bands and low in the LWIR band, likely due to overcast conditions, which were only observed on that particular day. Although onboard light sensors can partially compensate for diffuse illumination, reflectance values collected under fully overcast skies are unreliable for quantitative analysis [42]. Therefore, data from the first flight was excluded. Two trees, located at the edges of the orchard, consistently exhibited higher reflectances in the optical bands across both years. These trees were located 5 m from a gravel road, and their elevated reflectance was likely influenced by dust deposition. To avoid introducing bias into the analysis, data from those trees were removed from subsequent regression modeling.
In 2023, spectral variability between flight dates was generally low, with the exception of the red and NIR bands, which showed higher temporal fluctuation. In 2024, variability between flight dates was more evident in the optical bands. Across both years, the red and blue bands showed a decreasing trend over the season, while the green and red-edge bands exhibited a decline followed by an increase after DOY 232. A clear reduction in reflectance around DOY 230 was followed by a delayed recovery in several bands. Red-band reflectance increased after DOY 170 and peaked on DOY 198, immediately before harvest (DOY 199–201).
Canopy temperatures (Tc) derived from the LWIR band were generally consistent across trees, differing by less than 2 °C on most dates. Larger variability occurred on DOY 228 of 2023, when irrigation had been withheld for more than three weeks, and on DOY 170 of 2024, when irrigation was applied on the same day as the flight.
Across the complete dataset (n = 330), correlations between Ψstem and individual spectral bands were weak (Figure 12). The highest R2 values were obtained for the green band (0.20), Tc (0.20), NIR (0.19), and red band (0.14). When relationships were evaluated by flight date, the highest R2 values in the red and green bands occurred when flights were conducted approximately six days after irrigation.
Pre-harvest data showed substantially stronger relationships between Ψstem and reflectance. The red, green, and NIR bands yielded R2 values of 0.51, 0.33, and 0.29, respectively. Tc also improved (R2 = 0.23). Post-harvest Ψstem exhibited no meaningful relationship in any spectral band except LWIR (R2 = 0.12). Given the weak post-harvest relationships, regression modeling was conducted using only pre-harvest data (n = 141).
To assess whether early-season measurements disproportionately influenced the pre-harvest relationships due to the presence of higher (less negative) Ψstem values, R2 values were recomputed after restricting the pre-harvest Ψstem range to match the post-harvest period Ψstem range (−0.7 to −1.2 MPa). Results are presented in Table 2.
As expected, restricting the Ψstem range reduced R2 values for the pre-harvest period across all spectral bands. However, pre-harvest relationships remained consistently higher than post-harvest relationships for most bands, with the exception of the LWIR. These results demonstrate that although part of the stronger pre-harvest performance is attributable to the broader early-season Ψstem range, seasonal differences persist even within comparable Ψstem values.
Among the vegetation indices evaluated, the Red Chromatic Coordinate (RCC) showed the strongest relationship with Ψstem (R2 = 0.68. Three additional indices (GARI, MSR, and SR) performed similarly, each achieving R2 values around 0.66. The thermal metric Tc − Ta also improved model performance compared to Tc alone, reaching an R2 of 0.35. The selected VIs and thermal metrics considered the best candidates for estimating Ψstem are presented in Table 3.
Seasonal dynamics of commonly used vegetation indices and indices that emerged as potential estimators for Ψstem differed between years, as shown in Figure 13. In 2023, NDVI, GARI, and MSR showed a gradual increase towards late season, while RCC declined over time. NDRE remained relatively stable, with only minor fluctuations. In contrast, 2024 exhibited stronger intra-seasonal variability. NDVI and GARI declined sharply during mid-season (DOY 180–200) before partially recovering, while NDRE and RCC showed pronounced mid-season peaks.
The canopy and air temperature (Tc − Ta) difference also differed between years. In 2023, Tc − Ta displayed a clear mid-season minimum, while in 2023, values were more variable and characterized by short-term spikes. Overall, 2024 showed greater temporal variability across indices compared to 2023.

3.5. Performance of SR Models for Estimating Ψstem

The six equations for estimating Ψstem found using the SR approach are presented below:
Ψ s t e m = 0.2364 3.4979 R C C ,
Ψ s t e m = 0.7 3.2069 R C C 0.8164 E T 0 ,
Ψ s t e m = 0.0297 T c T a 2.96 R C C ,
Ψ s t e m = 0.0045 T c T a 2 2.8789 R C C ,
Ψ s t e m = S W C 15 c m + 0.228 M S R + 0.0047 T c 1.87 ,
Ψ s t e m = 11.9 T a + 0.0272 L W I R M S R S W C 15 c m 1.9
where RCC is the Red Chromatic Coordinate index; ET0 is the reference evapotranspiration; Tc is the canopy temperature; Ta is the air temperature; SWC15 is the soil volumetric water content at 15 cm; MSR is the modified simple ratio Modified Simple Ratio index; and LWIR is the long-wave infrared band.
To confirm that each predictor retained by symbolic regression contributed significantly to model performance, OLS regression was performed using the fixed functional forms of Equations (10)–(15). All retained coefficients were highly significant (p < 0.001), confirming that each variable provides statistically meaningful explanatory power for Ψstem prediction (Appendix G).
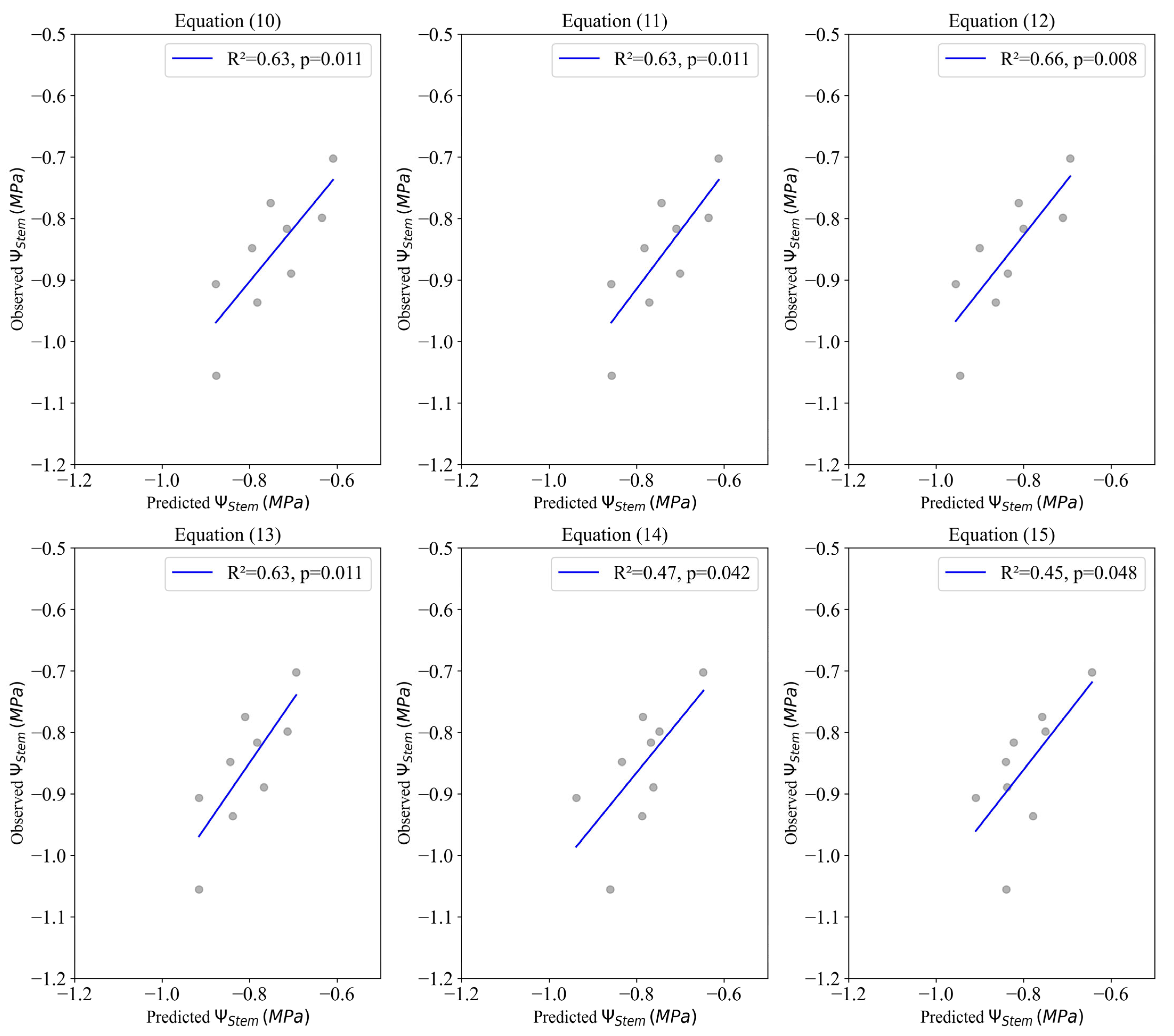
The evaluation metrics are presented in Table 4. Models were evaluated under different data availability scenarios, ranging from models using only RGB-derived indices to those incorporating multispectral, thermal, meteorological, and soil water content variables. Across all six models, R2 values ranged from 0.67 to 0.80, while RMSE varied only slightly from 0.11 to 0.08 MPa. MAE remained below 0.09 MPa, and MAPE values were all below 12%.
Model suitability varied by data availability. Equation (10), based solely on RCC, provided strong predictive performance when only RGB imagery was available. Equation (9) improved accuracy when meteorological data were included. Equations (12) and (13) further increased accuracy by incorporating thermal information, while Equations (14) and (15), which additionally used soil moisture, achieved the highest performance metrics. These models cover a range of data availability scenarios, from RGB-only inputs to combined spectral, thermal, meteorological, and soil moisture measurements. Equation (15) significantly reduced RMSE compared to Equation (10) (∆RMSE = 0.03 MPa; paired t-test p < 0.001). However, differences between Equation (15) and less complex models such as Equation (10) were not statistically significant (p > 0.05), indicating diminishing returns with increasing model complexity.
Based on information criteria, Equation (15) provided the best fit to the data, exhibiting the lowest AIC (−672.81) and BIC (−661.02) values among all candidate equations. However, Equation (13) also demonstrated good predictive performance (R2 = 0.77; RMSE = 0.09 MPa) and low AIC and BIC values, offering a favorable trade-off between model performance and complexity, achieving comparable predictive accuracy with fewer input variables.
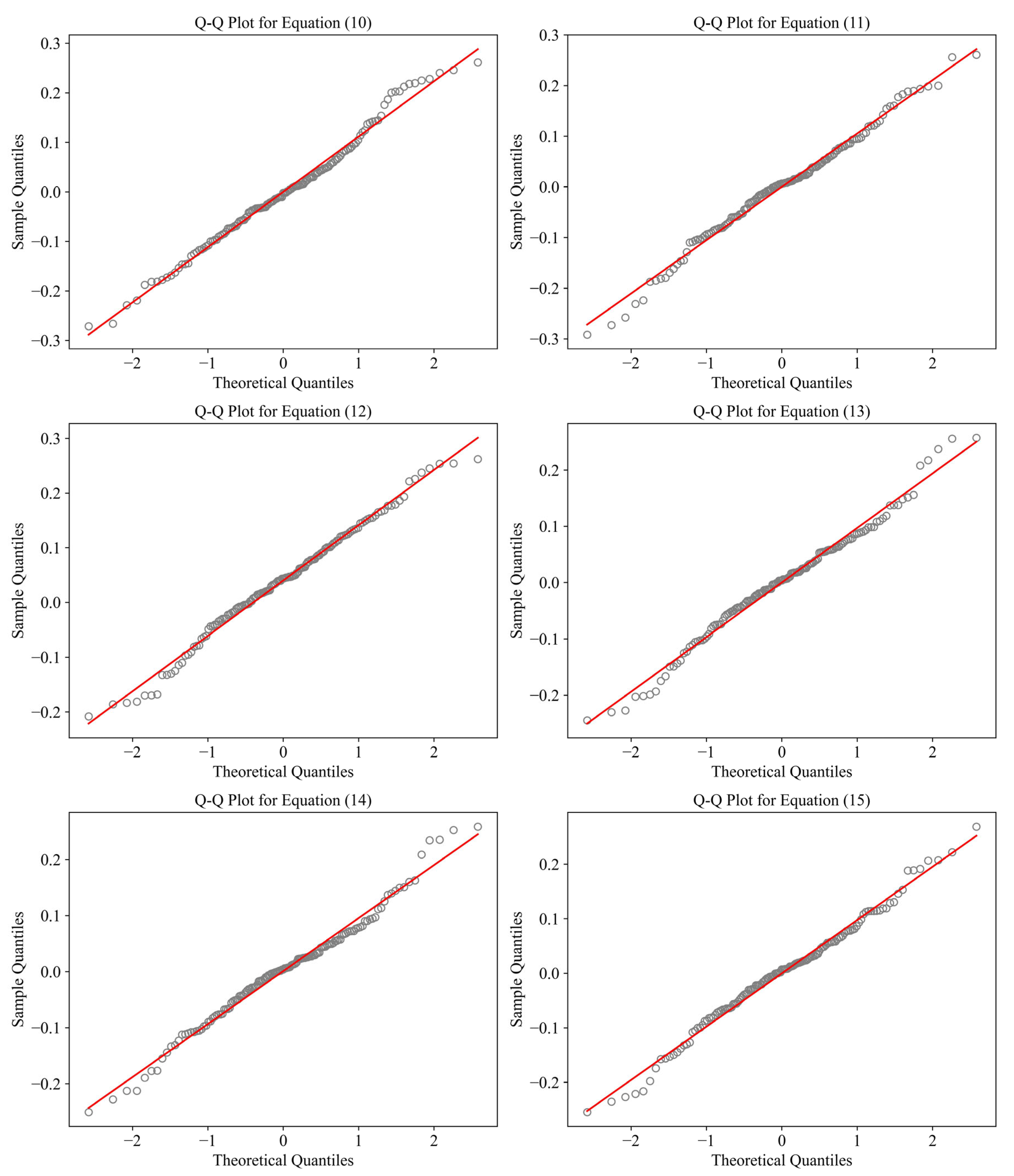
Figure 14 shows the agreement between observed and estimated Ψstem for the six proposed equations. All models produced a strong linear relationship between measured and estimated Ψstem, with residual scattering consistently distributed around the regression line. This pattern was confirmed by Q-Q plots of residuals (Appendix H).
Predictive ability was further confirmed using a leave-one-tree-out cross-validation procedure (Table 5). All equations performed well, with RMSE values between 0.11 and 0.09 MPa, MAE values between 0.08 and 0.06 MPa, and MAPE values below 12%, very similar to what was found in Table 3. The null model, which used the overall mean Ψstem as a prediction, performed substantially worse (RMSE = 0.19 MPa), demonstrating the value of incorporating physiological and environmental predictors. Among the candidate models, Equation (13) resulted in the lowest overall errors during cross-validation (RMSE = 0.09 MPa, MAPE = 8.2%), with performance similar to the generalized additive model (GAM).
When coefficients were recalibrated using the 2024 dataset and applied to 2023 observations, predictive performance remained within the same error range observed during cross-validation, demonstrating temporal stability of the SR-derived structures. Importantly, coefficient estimates retained both magnitude and sign consistency relative to the original formulations (Equations (10)–(15)), further supporting the temporal robustness of the identified mathematical structures. The recalibrated coefficients and validation performance are summarized in Table 6.
To assess model generalizability, the six SR-derived equations were externally validated using an independent dataset collected from an orchard in Santaquin, UT (Table 7). During Ψstem measurements, the hourly mean Ta, VPD, and ET0 were 27.2 °C, 2.74 kPa, and 0.65 mm h−1, respectively.
Despite differences in site conditions and the smaller sample size, most models maintained good predictive performance. Equation (12) exhibited the best overall performance, followed closely by Equation (13). In contrast, Equations (10) and (11) showed higher error levels (RMSE > 0.12 MPa). Overall, models incorporating RCC and Tc − Ta exhibited superior performance in the external orchard dataset.
The agreement between predicted and observed Ψstem values over the external validation dataset is illustrated in Figure 15. Equations (12) and (13) show a strong linear correspondence with limited dispersion around the regression line, with consistent predictive behavior across the evaluated range. In contrast, Equations (14) and (15) exhibit greater scatter and deviation from the 1:1 relationship. No systematic over- or under-prediction was observed for the models, supporting their robustness under independent site conditions.

3.6. Spatial Variability of Generated Ψstem Maps

Figure 16 presents the spatial distribution Ψstem across the Kaysville orchard 2 July 2023 (DOY 183), as estimated by the six SR-derived equations. Equations (10) and (11) produced more heterogeneous spatial patterns, with pronounced areas of more negative Ψstem values, particularly in the central and western portions of the orchard. In contrast, Equations (12) and (13) generated smoother spatial gradients, with fewer extreme negative and less negative values, exhibiting a moderate overall distribution and similar spatial distribution. Equation (14) tended to generate higher Ψstem values, resulting in extensive areas with higher Ψstem.
Figure 17 illustrates the Ψstem maps generated for 16 July 2024 (DOY 198). Equations (10)–(13) produced similar spatial patterns, consistently identifying zones of more negative Ψstem values in the western portion of the orchard and comparatively higher Ψstem values toward the eastern rows. In contrast, Equations (14) and (15) generated overall less negative Ψstem estimates, resulting in more uniform spatial distributions across the orchard. Across all models, the eastern section of the orchard exhibited higher Ψstem estimates than the western portion. Despite differences in magnitude among equations, the general spatial patterns were largely consistent.

4. Discussion

4.1. Environmental and Soil Factors Influencing Ψstem

The experimental site exhibited minimal spatial heterogeneity, which helped isolate physiological and spectral drivers of Ψstem. A linear relationship between clay content and soil ECa has been documented [42,43]. The range of soil ECa values was narrow across the study area, indicating uniform soil texture, consistent with the USDA soil survey classification of a single fine sandy loam soil type. Because ECa is strongly associated with clay content [48] and, consequently, water-holding capacity, its spatial uniformity supports the assumption that variation in Ψstem was not driven by soil-type differences.
Soil water content patterns are also aligned with expected root-zone dynamics. Tart cherry roots are concentrated between 10 and 50 cm [49], and the strongest relationships between SWC and Ψstem occurred at 15 and 45 cm, particularly during the pre-harvest period. Soil moisture affects root signals that regulate stomatal conductance (gs) [50], and gs is highly related to Ψstem [51]. In our study, SWC had a positive linear relationship with Ψstem. A similar relationship was observed in grapevines [13]. The relationship was stronger during the pre-harvest period.
Meteorological variables showed moderate relationships with Ψstem, with the strongest association observed between Ψstem and daily ET0 values during pre-harvest (R2 = 0.36). This suggests that Ψstem becomes more negative as ET0 increases until reaching a threshold, beyond which changes in Ψstem occur more gradually. Ref. [52] argues that in prune trees, under fully irrigated conditions, a maximum Ψstem can be expected under any given environmental condition. Negative linear relationships between Ψstem and instantaneous Ta have also been reported in young olive trees [53]. Together, these findings suggest that increasing atmospheric demand triggers stomatal regulation in tart cherry, consistent with responses observed in other woody perennial crops [54].

4.2. Seasonal Physiological Drivers Affecting Spectral and Environmental Responses

Seasonal patterns in Ψstem and temporal shifts in predictor relationships likely reflect underlying physiological changes. Harvest represents a major physiological event, substantially altering source-sink relationships. The removal of fruits, a dominant sink, typically decreases transpiration [55], as sink strength influences stomatal conductance [56]. In tart cherries, mechanical harvesting may further affect post-harvest water relations. Bark damage, which is common during mechanical harvest [57], can temporarily reduce the flow of water and nutrients before callus formation restores vascular flow [58]. These combined effects likely contributed to the weakening of relationships between Ψstem and spectral and environmental variables observed after harvest. In contrast, ref. [59] reported increased correlations between Ψstem and vegetation indices during post-harvest in sweet cherries. Sweet cherries are hand-harvested. Seasonal shifts in the relationship between Ψstem and reflectance have also been reported in other crops. In citrus, ref. [26] found no significant correlation during the fruit cellular division stage, while stronger relationships appeared during the rapid fruit growth stage. Additionally, tart cherry trees produce two types of leaves: early-season spur leaves and later-emerging shoot leaves. Leaf age strongly impacts spectral reflectance [60] and, if unaccounted for, can lead to misinterpretations in remote sensing analyses [61].

4.3. Spectral and Thermal Indicators of Ψstem

Among individual spectral bands, the red band exhibited the strongest relationship with Ψstem (R2 = 0.51). Reflectance in this region is closely associated with chlorophyll concentration [62]. Although plant stress has a tendency to reduce leaf chlorophyll, identifying the specific cause using remote sensing might be difficult due to the generality of the leaf optical response to stress [63]. Similar relationships between Ψstem and optical bands reflectance collected with UAVs have been reported in previous studies. In grapevines under deficit irrigation, ref. [23] found that the red and green bands showed stronger relationships with Ψstem than red-edge and NIR bands, with R2 values of 0.64 and 0.62, respectively, during the pre-harvest period. Likewise, ref. [64] reported that the red bands showed the strongest relationship with Ψstem in citrus, particularly during the fruit maturation stage. At a coarser spatial resolution, ref. [23] demonstrated that Sentinel 2 optical bands were more significant to explain the variability of Ψstem in grapevines, especially the red, red-edge, and NIR bands.
Among the evaluated vegetation indices, the RCC outperformed NIR-based indices in predicting Ψstem (R2 = 0.68) during the pre-harvest period. RCC has been previously associated with canopy photosynthesis [65] and phenological dynamics [66]. Because RCC is derived exclusively from visible bands and represents relative dominance of red reflectance within the RGB spectrum, it is particularly sensitive to shifts in chlorophyll concentration and canopy color dynamics that may precede structural degradation detectable in the NIR region. Additionally, during the pre-harvest period, the presence of red fruit likely contributes to increased red reflectance within the canopy. Because fruit development and pigmentation are linked to plant-water status [67,68], RCC may indirectly capture stress-related changes associated with fruit maturation. Together, these factors may explain the stronger relationship observed between RCC and Ψstem under the orchard conditions of this study.
Thermal imagery alone showed a weak relationship with Ψstem, consistent with findings in sweet cherries [35]. Although the Tc − Ta improved performance relative to Tc, the relationship remained modest. This limited sensitivity may reflect physiological behavior similar to that observed in mature sweet cherry trees, where water stress is regulated primarily through stomatal closure, reducing the sensitivity of Tc − Ta [69]. While the Crop Water Stress Index (CWSI) remains the standard thermal-based indicator [47], its implementation requires defining upper and lower canopy temperature baselines, and the methods to do so vary widely among studies [70,71,72,73], remaining operationally challenging.

4.4. Performance, Complexity, and Interpretability of Symbolic Regression Models

Symbolic regression produced accurate and interpretable equations for estimating Ψstem. Model performance (R2 = 0.67–0.80 and RMSE = 0.11–0.09 MPa) is comparable to previously published machine learning models for almonds [30], pistachios [29], vineyards [32], and sweet cherries [35]. However, as noted by [29], many ML models remain difficult to deploy due to limited interpretability and cannot be utilized by end-users. A key advantage of SR over conventional ML approaches is model transparency. The resulting equations explicitly describe underlying functional relationships among variables, such as the added explanatory power of Tc − Ta, when combined with spectral and environmental predictors. In this study, model complexity increased as additional inputs (thermal, meteorological, and SWC) were incorporated, but gains in accuracy beyond the multispectral + thermal combinations were marginal. These limited improvements in performance do not justify the added cost and operational burden of additional measurements. The interpretability and reproducibility of SR equations enhance their potential for validation, adoption, and trust among growers and irrigation managers.

4.5. Practical Implications for Irrigation Management

A major challenge in implementing regulated deficit irrigation in fruit trees is effectively monitoring plant water stress. Spatially explicit Ψstem maps offer valuable insights into within-orchard variability and can support site-specific irrigation decisions. UAV-based imagery can be acquired at flexible temporal resolutions, particularly in arid regions such as Utah, where cloud cover is minimal during summer months. Ψstem maps generated using the equations developed in this study could assist growers in optimizing irrigation by assessing water stress levels and making informed irrigation decisions.
Equation (10) is particularly attractive for operational applications where meteorological or soil moisture data are unavailable. Although Equations (12) and (13) achieved lower MAPE values on the external validation orchard (~6%) compared to Equation (10) (12.5%), the improvement in RMSE was relatively modest (0.06 MPa). This suggests that acceptable predictive performance can still be achieved using a substantially simpler model structure. Importantly, Equation (10) relies exclusively on RGB imagery, eliminating the need for thermal data acquisition. Thermal sensors can significantly increase system costs and require additional calibration procedures, introducing greater operational complexity. In contrast, radiometrically calibrated RGB imagery is more accessible, lower in cost, and easier to collect via standard aerial surveying protocols. For example, a combined RGB and radiometric thermal sensor camera can cost up to ~$20,000 USD, whereas individual bands of RGB sensors typically range from $2000 to $5000 USD.

4.6. Limitations

Several factors likely contributed to unexplained variability in the models. A limitation of the present study is that meaningful relationships between Ψstem and weather, SWC, thermal, and multispectral imagery were only detectable during the pre-harvest. Physiological decoupling appears to occur after harvest, limiting model applicability in the post-harvest phase. Future research should focus on characterizing post-harvest physiological processes and their influence on plant water relations. Nutritional variability within orchards can also alter leaf chlorophyll concentrations, affecting reflectance in ways unrelated to water status. High nitrogen levels typically result in greater chlorophyll content [74], leading to more absorption in visible reflectance [75].
The operational use of UAV-derived Ψstem maps for irrigation scheduling requires the definition of crop-specific water-stress thresholds for tart cherry. While thresholds have not yet been established for tart cherries, reference values have been proposed for sweet cherry cultivars, such as −1.3 MPa for ‘Prime Giant’ [18] and −1.5 MPa for ‘Summit’ [76]. Moderate water stress has been shown to have no significant impact on tart cherry [77] and sweet cherry [35] yields.
The predictive uncertainty of the proposed models should be considered when interpreting Ψstem values near water stress thresholds. For example, if an operational irrigation trigger were set at −1.3 MPa, the model error that corresponds to approximately 0.08 MPa represents roughly 6% of the threshold magnitude. In practice, this level of uncertainty is relatively small compared to the typical seasonal range of Ψstem (approximately −0.4 to −1.25 MPa in this study) and is unlikely to alter irrigation decisions except when predicted values fall very close to the selected threshold. In such cases, growers may incorporate safety margins or repeated measurements to reduce decision uncertainty.

5. Conclusions

This study demonstrates that Ψstem can be reliably estimated using high-resolution UAV multispectral imagery integrated with environmental data through symbolic regression. Strong relationships between Ψstem and optical reflectance were observed during the pre-harvest period. Among the evaluated spectral predictors, RCC was the most informative vegetation index, outperforming individual spectral bands and thermal metrics. Symbolic regression produced six equation-based models covering a range of data-availability scenarios, from RGB imagery alone to combinations including thermal, meteorological (Ta and ET0), and soil volumetric water content at 15 cm. Across all models, predictive performance was high (R2 = 0.67 to 0.80; RMSE 0.11 to 0.08 MPa), where small performance gains were achieved by increasing model complexity. External validation using an independent orchard dataset confirmed model robustness and transferability, particularly for equations combining thermal, multispectral, and weather information. A key contribution of this work is the demonstration that symbolic regression can achieve performance comparable to ‘black box’ machine learning models while retaining full mathematical interpretability. The derived equations explicitly reveal the functional relationships between spectral, thermal, and environmental variables with Ψstem, enabling transparence, reproducibility, and practical deployment. This interpretability is critical for the application of models to map Ψstem for irrigation decision support. The ability to generate orchard-scale Ψstem maps offers a promising alternative to labor-intensive measurements with the pressure chamber. Future studies should therefore investigate the combined effects of plant nutrition and Ψstem on canopy reflectance to better separate nutritional and water-stress signals. Finally, crop-specific water-stress threshold Ψstem values for tart cherries are needed to enable practical irrigation scheduling. Overall, this study establishes symbolic regression as a powerful and interpretable framework for plant-based water status estimation and supports its integration into precision irrigation management for specialty crops.

Author Contributions

Conceptualization, A.L.S.S. and A.T.-R.; methodology, A.L.S.S. and B.B. (Brennan Bean); software, A.L.S.S.; validation, A.L.S.S.; formal analysis, A.L.S.S.; investigation, A.L.S.S.; resources, B.B. (Brent Black); data curation, A.L.S.S.; writing—original draft preparation, A.L.S.S.; writing—review and editing, A.L.S.S., A.T.-R., B.B. (Brent Black), K.W., B.B. (Brennan Bean), B.B. (Burdette Barker) and M.Y.; visualization, A.L.S.S.; supervision, A.T.-R. and B.B. (Brent Black); project administration, A.L.S.S.; funding acquisition, B.B. (Brent Black). All authors have read and agreed to the published version of the manuscript.

Funding

This project was funded by the USDA National Institute of Food and Agriculture Specialty Crop Block Grant program (NIFA-SCRI) 2021-51181-35868. This project also utilized funds from the Utah State University Extension Water Initiative Grant EXT00162. This research was supported by the Utah Agricultural Experiment Station—Utah State University and approved as journal paper number 9882.

Data Availability Statement

Data will be made available upon reasonable request.

Acknowledgments

We would like to thank the employees at the Kaysville Research Farm, Utah State University, for their support throughout the experiment. We also express our gratitude to Southridge Farms for their support.

Conflicts of Interest

The authors declare no conflicts of interest.

Appendix A

Figure A1. Location of the external validation tart cherry orchard and layout of the study area. The area of interest (AOI) is delineated by red dashed lines, with sampled trees indicated by red rectangles. Blue points represent soil moisture sensor locations, and the meteorological station is indicated by the yellow star. The red dot in the locator map indicates the study site location in Utah.
Figure A1. Location of the external validation tart cherry orchard and layout of the study area. The area of interest (AOI) is delineated by red dashed lines, with sampled trees indicated by red rectangles. Blue points represent soil moisture sensor locations, and the meteorological station is indicated by the yellow star. The red dot in the locator map indicates the study site location in Utah.
Remotesensing 18 00853 g0a1

Appendix B

Figure A2. Histogram of tree-level NDVI zonal statistics (minimum, mean, and maximum) for 224 tart cherry trees. Dashed lines indicate the selected NDVI refinement thresholds (0.78 and 0.92), which exclude distribution extremes while retaining the central canopy reflectance range.
Figure A2. Histogram of tree-level NDVI zonal statistics (minimum, mean, and maximum) for 224 tart cherry trees. Dashed lines indicate the selected NDVI refinement thresholds (0.78 and 0.92), which exclude distribution extremes while retaining the central canopy reflectance range.
Remotesensing 18 00853 g0a2

Appendix C

Figure A3. Histogram of pixel values from a single tree, demonstrating the difference between mean and median pixel values across all multispectral bands over a single date.
Figure A3. Histogram of pixel values from a single tree, demonstrating the difference between mean and median pixel values across all multispectral bands over a single date.
Remotesensing 18 00853 g0a3

Appendix D

Table A1. Time of flight and average weather conditions.
Table A1. Time of flight and average weather conditions.
FlightYearDOYTimeTa (°C)RH (%)VPD (kPa)
1202316912:4423.841.11.8
2202317512:3924.725.12.6
3202318312:5131.220.14.0
4202320112:4328.041.82.3
5202322912:4233.031.93.5
6202325114:2329.721.43.4
7202413813:1023.627.02.2
8202415213:5522.026.22.0
9202416313:0528.825.53.0
10202416513:1032.817.34.2
11202417013:1016.030.71.3
12202417713:1532.125.93.6
13202418113:1532.422.83.8
14202418413:1023.826.02.3
15202419813:1531.129.73.2
16202420513:3534.121.04.3
17202421213:1529.318.83.4
18202421913:1535.621.94.7
19202422813:3132.721.53.6
20202423314:2533.426.03.8
21202424013:1726.625.12.7
22202424713:0629.630.72.9
23202425313:0330.124.13.3
24202426313:3221.936.41.7
25202426812:5323.331.92.0

Appendix E

Figure A4. Scatterplots showing linear and quadratic fit between Ψstem and (a) instantaneous ET0 and (b) daily ET0 during pre-harvest.
Figure A4. Scatterplots showing linear and quadratic fit between Ψstem and (a) instantaneous ET0 and (b) daily ET0 during pre-harvest.
Remotesensing 18 00853 g0a4

Appendix F

Table A2. Coefficients of determination (R2) describing the relationship between Ψstem and four meteorological variables: air temperature (Ta), vapor pressure deficit (VPD), solar radiation, and reference evapotranspiration (ET0). Results were obtained using linear and quadratic regression models. Analyses were conducted using both instantaneous measurements collected at flight time and daily average values, evaluated separately for the pre-harvest period and the entire growing season. Significance levels: p < 0.05 (*), p < 0.01 (**), p < 0.001 (***). Sample sizes: All 2023 (n = 69); Pre-harvest 2023 (n = 41); All 2024 (n = 261); Pre-harvest 2024 (n = 124).
Table A2. Coefficients of determination (R2) describing the relationship between Ψstem and four meteorological variables: air temperature (Ta), vapor pressure deficit (VPD), solar radiation, and reference evapotranspiration (ET0). Results were obtained using linear and quadratic regression models. Analyses were conducted using both instantaneous measurements collected at flight time and daily average values, evaluated separately for the pre-harvest period and the entire growing season. Significance levels: p < 0.05 (*), p < 0.01 (**), p < 0.001 (***). Sample sizes: All 2023 (n = 69); Pre-harvest 2023 (n = 41); All 2024 (n = 261); Pre-harvest 2024 (n = 124).
YearPeriodModelTaVPDSolar RadiationET0
InstDailyInstDailyInstDailyInstDaily
2023Pre-hLinear0.09 *0.050.14 *0.13 *0.000.080.14 *0.14 *
Pre-hQuadratic0.130.140.140.140.060.140.140.14
Post-hLinear0.000.030.000.07 *0.030.010.000.03
Post-hQuadratic0.100.070.120.100.070.030.000.11 *
AllLinear0.020.030.05 *0.07 *0.010.010.02 *0.03
AllQuadratic0.020.070.060.100.010.030.110.11 *
2024Pre-hLinear0.28 ***0.30 ***0.21 ***0.30 ***0.16 ***0.04 *0.24 ***0.17 ***
Pre-hQuadratic0.290.310.29 ***0.34 **0.170.19 ***0.250.31 ***
Post-hLinear0.17 ***0.14 ***0.13 ***0.08 ***0.03 *0.010.09 ***0.08 ***
Post-hQuadratic0.21 **0.20 **0.18 **0.18 ***0.07 *0.04 *0.25 ***0.14 **
AllLinear0.29 ***0.26 ***0.22 ***0.18 ***0.09 ***0.11 ***0.03 **0.00
AllQuadratic0.31 **0.29 ***0.27 ***0.22 ***0.25 ***0.17 ***0.030.00
BothPre-hLinear0.26 ***0.27 ***0.18 ***0.21 ***0.19 ***0.06 ***0.20 ***0.16 ***
Pre-hQuadratic0.28 *0.30 *0.28 ***0.30 ***0.190.30 ***0.23 *0.33 ***
Post-hLinear0.16 ***0.13 ***0.12 ***0.06 ***0.03 *0.000.07 ***0.05 **
Post-hQuadratic0.21 **0.21 ***0.19 ***0.19 ***0.08 **0.020.25 ***0.15 ***
AllLinear0.26 ***0.23 ***0.18 ***0.14 ***0.05 ***0.06 ***0.03 ***0.02
AllQuadratic0.30 ***0.29 ***0.26 ***0.21 ***0.20 ***0.12 ***00

Appendix G

Table A3. Parameter estimates and statistical significance for Equations (10)–(15).
Table A3. Parameter estimates and statistical significance for Equations (10)–(15).
EquationVariableEstimateSEtp-Value
(10)Constant0.23640.06303.75<0.001
(10)RCC−3.49790.2058−16.99<0.001
(11)Constant0.74000.10786.86<0.001
(11)RCC−3.20690.1946−16.50<0.001
(11)ET0−0.81640.1481−5.51<0.001
(12)Constant0.00040.06550.000.995
(12)Tc − Ta0.02970.00456.64<0.001
(12)RCC−2.96900.1966−15.10<0.001
(13)Constant0.04770.05940.800.423
(13)(Tc − Ta)20.00440.00067.36<0.001
(13)RCC−3.02660.1863−16.24<0.001
(14)Constant−1.68700.1448−11.65<0.001
(14)SWC15cm2.58480.73503.51<0.001
(14)MSR0.20700.02927.09<0.001
(14)Tc−0.01390.0027−5.12<0.001
(15)Constant−1.97370.0496−39.76<0.001
(15)11.9 * 1/Ta13.55290.779317.39<0.001
(15)LWIR * MSR * SWC0.02830.001518.45<0.001

Appendix H

Figure A5. Q–Q plots of residuals for Equations (10)–(15). Circles represent the sample quantiles of the residuals, while the red line indicates the theoretical quantiles under a normal distribution.
Figure A5. Q–Q plots of residuals for Equations (10)–(15). Circles represent the sample quantiles of the residuals, while the red line indicates the theoretical quantiles under a normal distribution.
Remotesensing 18 00853 g0a5

References

  1. National Agricultural Statistics Service (NASS). Utah Agricultural Statistics 2024; United States Department of Agriculture: Washington, DC, USA, 2024. Available online: https://www.nass.usda.gov/Statistics_by_State/Utah/Publications/Annual_Statistical_Bulletin/2024-Agricultural-Statistics.pdf (accessed on 13 March 2024).
  2. Cherry Industry Administrative Board (CIAB). Weekly Raw Product Report—Final—Crop Year 2024; Cherry Industry Administrative Board: Dewitt, MI, USA, 2024; Available online: https://www.cherryboard.org/weekly-reports (accessed on 13 March 2024).
  3. Fernández, J.E.; Alcon, F.; Diaz-Espejo, A.; Hernandez-Santana, V.; Cuevas, M.V. Water use indicators and economic analysis for on-farm irrigation decision: A case study of a super high density olive tree orchard. Agric. Water Manag. 2020, 237, 106074. [Google Scholar] [CrossRef]
  4. Ketchum, D.; Hoylman, Z.H.; Brinkerhoff, D.; Huntington, J.; Maneta, M.P.; Kimball, J.; Jencso, K. Irrigation response to drought in the Western United States, 1987–2021. J. Am. Water Resour. Assoc. 2024, 60, 603–619. [Google Scholar] [CrossRef]
  5. Pratt, T.; Allen, L.N.; Rosenberg, D.E.; Keller, A.A.; Kopp, K. Urban agriculture and small farm water use: Case studies and trends from Cache Valley, Utah. Agric. Water Manag. 2019, 213, 24–35. [Google Scholar] [CrossRef]
  6. Yost, M.; Schumacher, B.L.; Johnson, L.; Burchfield, E.; Barker, B. County-Level View of Irrigation Trends in Utah and the West. Utah State University Extension Fact Sheet; Utah State University: Logan, UT, USA, 2022; Available online: https://extension.usu.edu/crops/research/county-level-view-of-irrigation (accessed on 13 March 2024).
  7. Peters, R.T.; Nelson, L.; Karimi, T. Consumptive Use and Irrigation Water Requirements for Washington; Washington State University Extension: Pullman, WA, USA, 2014; Available online: http://irrigation.wsu.edu/Content/Fact-Sheets/IrrigationWaterRequirements4WA.pdf (accessed on 13 March 2024).
  8. Neilsen, G.H.; Neilsen, D.; Forge, T. Environmental limiting factors for cherry production. In Cherries: Botany, Production and Uses; Quero-Garcia, J., Iezzoni, A., Pulawska, J., Lang, G., Eds.; CABI: Wallingford, UK, 2017; pp. 189–222. [Google Scholar] [CrossRef]
  9. Scholander, P.F.; Hammel, H.T.; Hemmingsen, E.A.; Bradstreet, E.D. Hydrostatic pressure and osmotic potential in leaves of mangroves and some other plants. Proc. Natl. Acad. Sci. USA 1964, 52, 119–125. [Google Scholar] [CrossRef]
  10. Turner, N.C. Measurement of plant water status by the pressure chamber technique. Irrig. Sci. 1988, 9, 289–308. [Google Scholar] [CrossRef]
  11. Naor, A. Midday stem water potential as a plant water stress indicator for irrigation scheduling in fruit trees. In Proceedings of the III International Symposium on Irrigation of Horticultural Crops; ISHS: Leuven, Belgium, 1999; pp. 447–454. [Google Scholar] [CrossRef]
  12. Kisekka, I. Orchard water management. In Advanced Automation for Tree Fruit Orchards and Vineyards; Springer: Cham, Switzerland, 2023; pp. 59–74. [Google Scholar] [CrossRef]
  13. Olivo, N.; Girona, J.; Marsal, J. Seasonal sensitivity of stem water potential to vapour pressure deficit in grapevine. Irrig. Sci. 2009, 27, 175–182. [Google Scholar] [CrossRef]
  14. Marchin, R.M.; Broadhead, A.A.; Bostic, L.E.; Dunn, R.R.; Hoffmann, W.A. Stomatal acclimation to vapour pressure deficit doubles transpiration of small tree seedlings with warming. Plant Cell Environ. 2016, 39, 2221–2234. [Google Scholar] [CrossRef] [PubMed]
  15. Grossiord, C.; Buckley, T.N.; Cernusak, L.A.; Novick, K.A.; Poulter, B.; Siegwolf, R.T.W.; Sperry, J.S.; McDowell, N.G. Plant responses to rising vapor pressure deficit. New Phytol. 2020, 226, 1550–1566. [Google Scholar] [CrossRef]
  16. García-Tejera, O.; López-Bernal, Á.; Orgaz, F.; Testi, L.; Villalobos, F.J. The pitfalls of water potential for irrigation scheduling. Agric. Water Manag. 2021, 243, 106522. [Google Scholar] [CrossRef]
  17. Abrisqueta, I.; Conejero, W.; Valdés-Vela, M.; Vera, J.; Ortuño, M.F.; Ruiz-Sánchez, M.C. Stem water potential estimation of drip-irrigated early-maturing peach trees under Mediterranean conditions. Comput. Electron. Agric. 2015, 114, 7–13. [Google Scholar] [CrossRef]
  18. Blanco, V.; Domingo, R.; Pérez-Pastor, A.; Blaya-Ros, P.J.; Torres-Sánchez, R. Soil and plant water indicators for deficit irrigation management of field-grown sweet cherry trees. Agric. Water Manag. 2018, 208, 83–94. [Google Scholar] [CrossRef]
  19. Esteban-Sanchez, G.; Campillo, C.; Uriarte, D.; Moral, F.J. Technical feasibility analysis of advanced monitoring with a thermal camera on an unmanned aerial vehicle and pressure chamber for water status in vineyards. Horticulturae 2024, 10, 305. [Google Scholar] [CrossRef]
  20. Atencia-Payares, L.K.; Nowack, J.C.; Tarquis, A.M.; Gomez-del-Campo, M. Assessing plant water status and physiological behaviour using multispectral images from UAV in Merlot vineyards in central Spain. Remote Sens. 2025, 17, 2273. [Google Scholar] [CrossRef]
  21. Burchard-Levine, V.; Guerra, J.G.; Borra-Serrano, I.; Nieto, H.; Mesías-Ruiz, G.; Dorado, J.; Peña, J.M. Evaluating the utility of combining high-resolution thermal, multispectral, and 3D imagery from unmanned aerial vehicles to monitor water stress in vineyards. Precis. Agric. 2024, 25, 2447–2476. [Google Scholar] [CrossRef]
  22. Krause, S.; Sanders, T.G. Mapping tree water deficit with UAV thermal imaging and meteorological data. Remote Sens. Earth Syst. Sci. 2023, 6, 275–296. [Google Scholar] [CrossRef]
  23. Nowack, J.C.; Atencia-Payares, L.K.; Tarquis, A.M.; Gomez-del-Campo, M. Application of unmanned aerial vehicle (UAV) sensing for water status estimation in vineyards under different pruning strategies. Plants 2024, 13, 1350. [Google Scholar] [CrossRef]
  24. Laroche-Pinel, E.; Duthoit, S.; Albughdadi, M.; Costard, A.D.; Rousseau, J.; Chéret, V.; Clenet, H. Towards vine water status monitoring on a large scale using Sentinel-2 images. Remote Sens. 2021, 13, 1837. [Google Scholar] [CrossRef]
  25. Romero, M.; Luo, Y.; Su, B.; Fuentes, S. Vineyard water status estimation using multispectral imagery from a UAV platform and machine learning algorithms for irrigation scheduling management. Comput. Electron. Agric. 2018, 147, 109–117. [Google Scholar] [CrossRef]
  26. Longo-Minnolo, G.; Consoli, S.; Vanella, D.; Pappalardo, S.; Guarrera, S.; Manetto, G.; Cerruto, E. Delineating citrus management zones using spatial interpolation and UAV-based multispectral approaches. Comput. Electron. Agric. 2024, 222, 109098. [Google Scholar] [CrossRef]
  27. Lin, Y.; Zhu, Z.; Guo, W.; Sun, Y.; Yang, X.; Kovalskyy, V. Continuous monitoring of cotton stem water potential using Sentinel-2 imagery. Remote Sens. 2020, 12, 1176. [Google Scholar] [CrossRef]
  28. Ballester, C.; Zarco-Tejada, P.J.; Nicolás, E.; Alarcón, J.J.; Fereres, E.; Intrigliolo, D.S.; Gonzalez-Dugo, V.J.P.A. Evaluating the performance of xanthophyll, chlorophyll and structure-sensitive spectral indices to detect water stress in five fruit tree species. Precis. Agric. 2018, 19, 178–193. [Google Scholar] [CrossRef]
  29. Mortazavi, M.; Carpin, S.; Toudeshki, A.; Ehsani, R. A practical data-driven approach for precise stem water potential monitoring in pistachio and almond orchards using supervised machine learning algorithms. Comput. Electron. Agric. 2025, 231, 110004. [Google Scholar] [CrossRef]
  30. Savchik, P.; Nocco, M.; Kisekka, I. Mapping almond stem water potential using machine learning and multispectral imagery. Irrig. Sci. 2025, 43, 105–120. [Google Scholar] [CrossRef]
  31. Zambrano, F.; Herrera, A.; Olguín, M.; Miranda, M.; Garrido, J.; Almeida, A.M. Prediction of the daily spatial variation of stem water potential in cherry orchards using weather and Sentinel-2 data. Agric. Water Manag. 2025, 318, 109721. [Google Scholar] [CrossRef]
  32. Farbo, A.; Trombetta, N.G.; de Palma, L.; Borgogno-Mondino, E. Estimation of intercepted solar radiation and stem water potential in a table grape vineyard covered by plastic film using Sentinel-2 data: A comparison of OLS-, MLR-, and ML-based methods. Plants 2024, 13, 1203. [Google Scholar] [CrossRef]
  33. Garofalo, S.P.; Giannico, V.; Costanza, L.; Alhajj Ali, S.; Camposeo, S.; Lopriore, G.; Pedrero Salcedo, F.; Vivaldi, G.A. Prediction of stem water potential in olive orchards using high-resolution Planet satellite images and machine learning techniques. Agronomy 2024, 14, 1. [Google Scholar] [CrossRef]
  34. Tang, Z.; Jin, Y.; Alsina, M.M.; McElrone, A.J.; Bambach, N.; Kustas, W.P. Vine water status mapping with multispectral UAV imagery and machine learning. Irrig. Sci. 2022, 40, 715–730. [Google Scholar] [CrossRef]
  35. Carrasco-Benavides, M.; Viejo, C.G.; Tongson, E.; Baffico-Hernández, A.; Ávila-Sánchez, C.; Mora, M.; Fuentes, S. Water status estimation of cherry trees using infrared thermal imagery coupled with supervised machine learning modeling. Comput. Electron. Agric. 2022, 200, 107256. [Google Scholar] [CrossRef]
  36. Angelis, D.; Sofos, F.; Karakasidis, T.E. Artificial intelligence in physical sciences: Symbolic regression trends and perspectives. Arch. Comput. Methods Eng. 2023, 30, 3845–3865. [Google Scholar] [CrossRef]
  37. Makke, N.; Chawla, S. Symbolic regression: A pathway to interpretability towards automated scientific discovery. In Proceedings of the 30th ACM SIGKDD Conference on Knowledge Discovery and Data Mining; ACM: New York, NY, USA, 2024; pp. 6588–6596. [Google Scholar] [CrossRef]
  38. Abtew, W.; Melesse, A. (Eds.) Vapor pressure calculation methods. In Evaporation and Evapotranspiration: Measurements and Estimations; Springer: Dordrecht, The Netherlands, 2013; pp. 53–62. [Google Scholar] [CrossRef]
  39. Wedegaertner, K.; Black, B.; Safre, A.L.S.; Lilligren, C.; Cardon, G.; Torres-Rua, A. Assessing the relationship between soil variability, canopy density, and yield in Utah tart cherry orchards. Acta Hortic. 2024, 1395, 157–162. [Google Scholar] [CrossRef]
  40. Torres-Rua, A. Vicarious calibration of sUAS microbolometer temperature imagery for estimation of radiometric land surface temperature. Sensors 2017, 17, 1499. [Google Scholar] [CrossRef]
  41. Cranmer, M. Interpretable machine learning for science with PySR and SymbolicRegression. arXiv 2023, arXiv:2305.01582. [Google Scholar] [CrossRef]
  42. Fawcett, D.; Azlan, B.; Hill, T.C.; Kho, L.K.; Bennie, J.; Anderson, K. Unmanned aerial vehicle (UAV) derived structure-from-motion photogrammetry point clouds for oil palm (Elaeis guineensis) canopy segmentation and height estimation. Int. J. Remote Sens. 2019, 40, 7538–7560. [Google Scholar] [CrossRef]
  43. Gillespie, A.R.; Kahle, A.B.; Walker, R.E. Color enhancement of highly correlated images. II. Channel ratio and “chromaticity” transformation techniques. Remote Sens. Environ. 1987, 22, 343–365. [Google Scholar] [CrossRef]
  44. Gitelson, A.A.; Kaufman, Y.J.; Merzlyak, M.N. Use of a green channel in remote sensing of global vegetation from EOS-MODIS. Remote Sens. Environ. 1996, 58, 289–298. [Google Scholar] [CrossRef]
  45. Chen, J.M. Evaluation of vegetation indices and a modified simple ratio for boreal applications. Can. J. Remote Sens. 1996, 22, 229–242. [Google Scholar] [CrossRef]
  46. Jordan, C.F. Derivation of leaf-area index from quality of light on the forest floor. Ecology 1969, 50, 663–666. [Google Scholar] [CrossRef]
  47. Jackson, R.D.; Idso, S.B.; Reginato, R.J.; Pinter, P.J. Canopy temperature as a crop water stress indicator. Water Resour. Res. 1981, 17, 1133–1138. [Google Scholar] [CrossRef]
  48. Domsch, H.; Giebel, A. Estimation of soil textural features from soil electrical conductivity recorded using the EM38. Precis. Agric. 2004, 5, 389–409. [Google Scholar] [CrossRef]
  49. Black, B.L.; Drost, D.; Lindstrom, T.; Reeve, J.; Gunnell, J.; Reighard, G.L. A comparison of root distribution patterns among Prunus rootstocks. J. Am. Pomol. Soc. 2010, 64, 52–60. [Google Scholar] [CrossRef]
  50. Gowing, D.J.; Davies, W.J.; Jones, H.G. A positive root-sourced signal as an indicator of soil drying in apple (Malus × domestica Borkh.). J. Exp. Bot. 1990, 41, 1535–1540. [Google Scholar] [CrossRef]
  51. Ahumada-Orellana, L.; Ortega-Farías, S.; Poblete-Echeverría, C.; Searles, P.S. Estimation of stomatal conductance and stem water potential threshold values for water stress in olive trees (cv. Arbequina). Irrig. Sci. 2019, 37, 461–467. [Google Scholar] [CrossRef]
  52. McCutchan, H.; Shackel, K.A. Stem-water potential as a sensitive indicator of water stress in prune trees (Prunus domestica L. cv. French). J. Am. Soc. Hortic. Sci. 1992, 117, 607–611. [Google Scholar] [CrossRef]
  53. Iglesias, M.A.; Rousseaux, M.C.; Alcaras, L.M.; Hamze, L.; Searles, P.S. Influence of deficit irrigation and warming on plant water status during the late winter and spring in young olive trees. Agric. Water Manag. 2023, 275, 108030. [Google Scholar] [CrossRef]
  54. Massmann, A.; Gentine, P.; Lin, C. When does vapor pressure deficit drive or reduce evapotranspiration? J. Adv. Model. Earth Syst. 2019, 11, 3305–3320. [Google Scholar] [CrossRef] [PubMed]
  55. Luxmoore, R.J. A source–sink framework for coupling water, carbon, and nutrient dynamics of vegetation. Tree Physiol. 1991, 9, 267–280. [Google Scholar] [CrossRef]
  56. Blanke, M.M. Regulatory mechanisms in source–sink relationships in plants—A review. In Proceedings of the International Symposium on Source–Sink Relationships in Plants; ISHS: Leuven, Belgium, 2007; pp. 13–20. [Google Scholar] [CrossRef]
  57. Brown, G.K.; Frahm, J.R.; Segerlind, L.J.; Cargill, B.F. Bark strengths and shaker pads vs. cherry bark damage during harvesting. Trans. ASAE 1987, 30, 1266–1271. [Google Scholar] [CrossRef]
  58. Hansen, S.M. Pruning Strategies for High Density ‘Montmorency’ Tart Cherry. Master’s Thesis, Utah State University, Logan, UT, USA, 2017. [Google Scholar] [CrossRef]
  59. Blanco, V.; Blaya-Ros, P.J.; Castillo, C.; Soto-Vallés, F.; Torres-Sánchez, R.; Domingo, R. Potential of UAS-based remote sensing for estimating tree water status and yield in sweet cherry trees. Remote Sens. 2020, 12, 2359. [Google Scholar] [CrossRef]
  60. Stone, C.; Chisholm, L.; McDonald, S. Effects of leaf age and psyllid damage on the spectral reflectance properties of Eucalyptus saligna foliage. Aust. J. Bot. 2005, 53, 45–54. [Google Scholar] [CrossRef]
  61. Wu, Q.; Song, C.; Song, J.; Wang, J.; Chen, S.; Yu, B. Impacts of leaf age on canopy spectral signature variation in evergreen Chinese fir forests. Remote Sens. 2018, 10, 262. [Google Scholar] [CrossRef]
  62. Gitelson, A.A.; Gritz, Y.; Merzlyak, M.N. Relationships between leaf chlorophyll content and spectral reflectance and algorithms for non-destructive chlorophyll assessment in higher plant leaves. J. Plant Physiol. 2003, 160, 271–282. [Google Scholar] [CrossRef]
  63. Carter, G.A.; Knapp, A.K. Leaf optical properties in higher plants: Linking spectral characteristics to stress and chlorophyll concentration. Am. J. Bot. 2001, 88, 677–684. [Google Scholar] [CrossRef]
  64. Longo-Minnolo, G.; Consoli, S.; Vanella, D.; Guarrera, S.; Manetto, G.; Cerruto, E. Appraising the stem water potential of citrus orchards from UAV-based multispectral imagery. In 2023 IEEE International Workshop on Metrology for Agriculture and Forestry (MetroAgriFor); IEEE: New York, NY, USA, 2023; pp. 120–125. [Google Scholar]
  65. Liu, Y.; Wu, C.; Sonnentag, O.; Desai, A.R.; Wang, J. Using the red chromatic coordinate to characterize the phenology of forest canopy photosynthesis. Agric. For. Meteorol. 2020, 285, 107910. [Google Scholar] [CrossRef]
  66. Peltoniemi, M.; Aurela, M.; Böttcher, K.; Kolari, P.; Loehr, J.; Hokkanen, T.; Karhu, J.; Linkosalmi, M.; Tanis, C.M.; Metsämäki, S.; et al. Networked web-cameras monitor congruent seasonal development of birches with phenological field observations. Agric. For. Meteorol. 2018, 249, 335–347. [Google Scholar] [CrossRef]
  67. Espley, R.V.; Jaakola, L. The role of environmental stress in fruit pigmentation. Plant Cell Environ. 2023, 46, 3663–3679. [Google Scholar] [CrossRef] [PubMed]
  68. Bucchetti, B.; Matthews, M.A.; Falginella, L.; Peterlunger, E.; Castellarin, S.D. Effect of water deficit on Merlot grape tannins and anthocyanins across four seasons. Sci. Hortic. 2011, 128, 297–305. [Google Scholar] [CrossRef]
  69. Blaya-Ros, P.J.; Blanco, V.; Domingo, R.; Soto-Vallés, F.; Torres-Sánchez, R. Feasibility of low-cost thermal imaging for monitoring water stress in young and mature sweet cherry trees. Appl. Sci. 2020, 10, 5461. [Google Scholar] [CrossRef]
  70. Idso, S.B.; Jackson, R.D.; Pinter, P.J., Jr.; Reginato, R.J.; Hatfield, J.L. Normalizing the stress-degree-day parameter for environmental variability. Agric. Meteorol. 1981, 24, 45–55. [Google Scholar] [CrossRef]
  71. Jones, H.G. Use of infrared thermometry for estimation of stomatal conductance as a possible aid to irrigation scheduling. Agric. For. Meteorol. 1999, 95, 139–149. [Google Scholar] [CrossRef]
  72. Berni, J.A.; Zarco-Tejada, P.J.; Sepulcre-Cantó, G.; Fereres, E.; Villalobos, F. Mapping canopy conductance and CWSI in olive orchards using high resolution thermal remote sensing imagery. Remote Sens. Environ. 2009, 113, 2380–2388. [Google Scholar] [CrossRef]
  73. Dong, H.; Dong, J.; Sun, S.; Bai, T.; Zhao, D.; Yin, Y.; Shen, X.; Wang, Y.; Zhang, Z.; Wang, Y. Crop water stress detection based on UAV remote sensing systems. Agric. Water Manag. 2024, 303, 109059. [Google Scholar] [CrossRef]
  74. Schlemmer, M.; Gitelson, A.; Schepers, J.S.; Ferguson, R.; Peng, Y.; Shanahan, J.; Rundquist, D. Remote estimation of nitrogen and chlorophyll contents in maize at leaf and canopy levels. Int. J. Appl. Earth Obs. Geoinf. 2013, 25, 47–54. [Google Scholar] [CrossRef]
  75. Ye, X.; Abe, S.; Zhang, S. Estimation and mapping of nitrogen content in apple trees at leaf and canopy levels using hyperspectral imaging. Precis. Agric. 2020, 21, 198–225. [Google Scholar] [CrossRef]
  76. Marsal, J.; Lopez, G.; Del Campo, J.; Mata, M.; Arbones, A.; Girona, J. Postharvest regulated deficit irrigation in ‘Summit’ sweet cherry: Fruit yield and quality in the following season. Irrig. Sci. 2010, 28, 181–189. [Google Scholar] [CrossRef]
  77. Papenfuss, K.A.; Black, B.L. Regulated deficit irrigation of ‘Montmorency’ tart cherry. HortScience 2010, 45, 1437–1440. [Google Scholar] [CrossRef]
Figure 1. Location of the experimental tart cherry orchard and layout of the study area. The area of interest (AOI) is delineated by dashed lines, with sampled trees indicated by black rectangles. Blue points represent soil moisture sensor locations, and the meteorological station is indicated by the yellow star. The red dot in the locator map indicates the study site location in Utah.
Figure 1. Location of the experimental tart cherry orchard and layout of the study area. The area of interest (AOI) is delineated by dashed lines, with sampled trees indicated by black rectangles. Blue points represent soil moisture sensor locations, and the meteorological station is indicated by the yellow star. The red dot in the locator map indicates the study site location in Utah.
Remotesensing 18 00853 g001
Figure 2. Geonics EM38 probe mounted on a wooden sled with an attached GNSS receiver for soil ECa measurements.
Figure 2. Geonics EM38 probe mounted on a wooden sled with an attached GNSS receiver for soil ECa measurements.
Remotesensing 18 00853 g002
Figure 3. (A) DJI Matrice 300 aircraft and Altum-PT multispectral camera; (B) Aeropoints GCPs; (C) and instruments for thermal calibration.
Figure 3. (A) DJI Matrice 300 aircraft and Altum-PT multispectral camera; (B) Aeropoints GCPs; (C) and instruments for thermal calibration.
Remotesensing 18 00853 g003
Figure 4. Calibration of Altum-PT thermal imagery against ground-based infrared radiometer (IRT) measurements. Scatter points represent paired temperature observations, and the solid red line indicates the linear regression fit.
Figure 4. Calibration of Altum-PT thermal imagery against ground-based infrared radiometer (IRT) measurements. Scatter points represent paired temperature observations, and the solid red line indicates the linear regression fit.
Remotesensing 18 00853 g004
Figure 5. Top half: flowchart of the steps for acquiring the mean reflectance value from canopy pixels. Bottom half: results of the two-stage segmentation process.
Figure 5. Top half: flowchart of the steps for acquiring the mean reflectance value from canopy pixels. Bottom half: results of the two-stage segmentation process.
Remotesensing 18 00853 g005
Figure 6. Distribution of Ψstem measurements across the 2023 and 2024 growing seasons. Boxplots and histograms summarize the seasonal range and variability of Ψstem for all sampling dates. The approximate harvest date is indicated by a vertical red dashed line. Circles represent outliers.
Figure 6. Distribution of Ψstem measurements across the 2023 and 2024 growing seasons. Boxplots and histograms summarize the seasonal range and variability of Ψstem for all sampling dates. The approximate harvest date is indicated by a vertical red dashed line. Circles represent outliers.
Remotesensing 18 00853 g006
Figure 7. Boxplot of Ψstem measurements taken on similar days during the two growing seasons of the experiment. The x-axis represents the DOY from 2023 (on the left) and 2024 (on the right) on which the measurements were taken. Circles represent outliers.
Figure 7. Boxplot of Ψstem measurements taken on similar days during the two growing seasons of the experiment. The x-axis represents the DOY from 2023 (on the left) and 2024 (on the right) on which the measurements were taken. Circles represent outliers.
Remotesensing 18 00853 g007
Figure 8. Spatial distribution of soil apparent electrical conductivity (ECa) measured with the EM38 probe. Higher ECa values are observed in the eastern and northern regions of the orchard, though overall variability is low across the study area.
Figure 8. Spatial distribution of soil apparent electrical conductivity (ECa) measured with the EM38 probe. Higher ECa values are observed in the eastern and northern regions of the orchard, though overall variability is low across the study area.
Remotesensing 18 00853 g008
Figure 9. Daily soil water content (SWC) at four depths (15, 45, 60, and 75 cm) was measured by seven sensor nodes throughout the growing seasons. Gray vertical dashed lines indicate UAV image acquisition dates.
Figure 9. Daily soil water content (SWC) at four depths (15, 45, 60, and 75 cm) was measured by seven sensor nodes throughout the growing seasons. Gray vertical dashed lines indicate UAV image acquisition dates.
Remotesensing 18 00853 g009
Figure 10. Scatterplots showing the relationship between Ψstem and soil water content (SWC) at four depths (15, 45, 60, and 75 cm) across pre-harvest and post-harvest periods. Each point represents an individual sensor observation from the seven sensor nodes. Solid regression lines represent pre-harvest relationships, dashed lines represent post-harvest relationships, and dash-dot lines show the global fit using all data. Corresponding R2 values are shown within each panel.
Figure 10. Scatterplots showing the relationship between Ψstem and soil water content (SWC) at four depths (15, 45, 60, and 75 cm) across pre-harvest and post-harvest periods. Each point represents an individual sensor observation from the seven sensor nodes. Solid regression lines represent pre-harvest relationships, dashed lines represent post-harvest relationships, and dash-dot lines show the global fit using all data. Corresponding R2 values are shown within each panel.
Remotesensing 18 00853 g010
Figure 11. Time series of average reflectance from six spectral bands (blue, green, red, red-edge, NIR) and canopy temperature (LWIR) across all sampled trees during 2023 and 2024. The first row shows the average reflectance and standard deviation in the blue, green, and red bands for 2023; the second row presents the same bands for 2024. The third and fourth rows display red-edge, NIR, and LWIR measurements for 2023 and 2024, respectively. The bold black line represents the mean reflectance (or canopy temperature) across all 14 trees, and the shaded area represents the standard deviation. The vertical red dashed line denotes the approximate harvest date for each year.
Figure 11. Time series of average reflectance from six spectral bands (blue, green, red, red-edge, NIR) and canopy temperature (LWIR) across all sampled trees during 2023 and 2024. The first row shows the average reflectance and standard deviation in the blue, green, and red bands for 2023; the second row presents the same bands for 2024. The third and fourth rows display red-edge, NIR, and LWIR measurements for 2023 and 2024, respectively. The bold black line represents the mean reflectance (or canopy temperature) across all 14 trees, and the shaded area represents the standard deviation. The vertical red dashed line denotes the approximate harvest date for each year.
Remotesensing 18 00853 g011
Figure 12. Relationships between ΨStem and reflectance in six spectral bands (blue, green, red, red-edge, NIR, and LWIR) for pre-harvest and post-harvest periods. Green points represent pre-harvest measurements, and yellow points represent post-harvest measurements. Solid lines indicate linear regressions fitted to pre-harvest data (green), post-harvest data (yellow), and dotted lines show global fits using all observations. Corresponding R2 and p-values are shown within each panel.
Figure 12. Relationships between ΨStem and reflectance in six spectral bands (blue, green, red, red-edge, NIR, and LWIR) for pre-harvest and post-harvest periods. Green points represent pre-harvest measurements, and yellow points represent post-harvest measurements. Solid lines indicate linear regressions fitted to pre-harvest data (green), post-harvest data (yellow), and dotted lines show global fits using all observations. Corresponding R2 and p-values are shown within each panel.
Remotesensing 18 00853 g012
Figure 13. Time series of average values from six vegetation indices (NDVI, NDRE, RCC, GARI, MSR) and canopy and air temperature difference (Tc − Ta) across all sampled trees during 2023 and 2024. The first row shows average and standard deviation values in NDVI, NDRE, and RCC for 2023; the second row presents the same indices for 2024. The third and fourth rows display GARI, MSR, and Tc − Ta measurements for 2023 and 2024, respectively. The bold black line represents the mean value across all 14 trees, and the shaded area represents the standard deviation. The vertical red dashed line denotes the approximate harvest date for each year.
Figure 13. Time series of average values from six vegetation indices (NDVI, NDRE, RCC, GARI, MSR) and canopy and air temperature difference (Tc − Ta) across all sampled trees during 2023 and 2024. The first row shows average and standard deviation values in NDVI, NDRE, and RCC for 2023; the second row presents the same indices for 2024. The third and fourth rows display GARI, MSR, and Tc − Ta measurements for 2023 and 2024, respectively. The bold black line represents the mean value across all 14 trees, and the shaded area represents the standard deviation. The vertical red dashed line denotes the approximate harvest date for each year.
Remotesensing 18 00853 g013
Figure 14. Observed versus predicted Ψstem values for the six proposed estimation models (Equations (8)–(13)). Each panel shows the fitted regression line (blue) and corresponding R2 and p-values. All predictors are based on pre-harvest data (n = 141).
Figure 14. Observed versus predicted Ψstem values for the six proposed estimation models (Equations (8)–(13)). Each panel shows the fitted regression line (blue) and corresponding R2 and p-values. All predictors are based on pre-harvest data (n = 141).
Remotesensing 18 00853 g014
Figure 15. Observed versus predicted Ψstem values for the six proposed estimation models (Equations (10)–(15)) obtained on the external validation orchard. Each panel shows the fitted regression line (blue) and corresponding R2 and p-values. Gray dots represent individual observations from the external validation dataset.
Figure 15. Observed versus predicted Ψstem values for the six proposed estimation models (Equations (10)–(15)) obtained on the external validation orchard. Each panel shows the fitted regression line (blue) and corresponding R2 and p-values. Gray dots represent individual observations from the external validation dataset.
Remotesensing 18 00853 g015
Figure 16. Spatial maps of predicted Ψstem generated using six proposed estimation equations, based on multispectral imagery collected on 2 July 2023 (DOY 183) in Kaysville, UT, USA.
Figure 16. Spatial maps of predicted Ψstem generated using six proposed estimation equations, based on multispectral imagery collected on 2 July 2023 (DOY 183) in Kaysville, UT, USA.
Remotesensing 18 00853 g016
Figure 17. Spatial maps of predicted Ψstem generated using six proposed estimation equations, based on multispectral imagery collected on 16 July 2023 (DOY 198) in Kaysville, UT, USA.
Figure 17. Spatial maps of predicted Ψstem generated using six proposed estimation equations, based on multispectral imagery collected on 16 July 2023 (DOY 198) in Kaysville, UT, USA.
Remotesensing 18 00853 g017
Table 1. Best performing regression models describing the relationship between Ψstem and four meteorological variables: air temperature (Ta), vapor pressure deficit (VPD), solar radiation, and reference evapotranspiration (ET0). Values represent the highest coefficient of determination (R2) obtained across linear and quadratic models and across instantaneous and daily time scales for each driver. Results are shown for the year and period in which the strongest relationship was observed. Significance levels: T p < 0.001 (***). Full comparison is provided in Table A2.
Table 1. Best performing regression models describing the relationship between Ψstem and four meteorological variables: air temperature (Ta), vapor pressure deficit (VPD), solar radiation, and reference evapotranspiration (ET0). Values represent the highest coefficient of determination (R2) obtained across linear and quadratic models and across instantaneous and daily time scales for each driver. Results are shown for the year and period in which the strongest relationship was observed. Significance levels: T p < 0.001 (***). Full comparison is provided in Table A2.
YearPeriodDriverModelTime ScaleR2
2024Pre-hTaLinearDaily0.30 ***
2024Pre-hVPDLinearDaily0.30 ***
BothPre-hSolar radiationQuadraticDaily0.30 ***
BothPre-hET0QuadraticDaily0.33 ***
Table 2. Coefficient of determination (R2) between multispectral bands and Ψstem during the pre-harvest and post-harvest periods when restricting Ψstem values to their overlapping range (−0.7 to −1.2 MPa).
Table 2. Coefficient of determination (R2) between multispectral bands and Ψstem during the pre-harvest and post-harvest periods when restricting Ψstem values to their overlapping range (−0.7 to −1.2 MPa).
PeriodBlueGreenRedRed-EdgeNIRLWIR
Pre0.010.250.190.100.110.08
Post0.000.000.000.000.000.12
Table 3. Vegetation indices and thermal metrics showing the strongest relationships with Ψstem. The table includes index names, formulas, R2 values, and primary literature sources.
Table 3. Vegetation indices and thermal metrics showing the strongest relationships with Ψstem. The table includes index names, formulas, R2 values, and primary literature sources.
Vegetation
Index
Full NameFormulaR2Reference
RCCRed Chromatic CoordinateR/(R + G + B)0.68[43]
GARIGreen Atmospherically Resistant Vegetation Index(N − (G − (B − R)))/(N − (G + (B − R)))0.67[44]
MSRModified Simple Ratio(N/R − 1)/((N/R + 1)0.5)0.66[45]
SRSimple RatioN/R0.66[46]
Tc − TaCanopy Temperature and Air Temperature DifferenceLWIR − Ta0.35[47]
Table 4. Complexity and performance metrics for the six Ψstem estimation equations developed using symbolic regression.
Table 4. Complexity and performance metrics for the six Ψstem estimation equations developed using symbolic regression.
EquationComplexityR2RMSE (MPa)MAE (MPa)MAPE (%)AICBIC
(10)40.670.110.0811.4−615.19−606.34
(11)60.730.100.0811.7−620.36−608.56
(12)100.750.090.079.3−654.27−645.42
(13)120.770.090.078.9−661.27−652.42
(14)160.790.080.068.3−519.94−505.20
(15)130.800.080.067.6−672.81−661.02
Table 5. Leave-one-tree-out cross-validation performance of the six estimation models, compared with a generalized additive model (GAM) and a null model. Metrics include RMSE, MAE, and MAPE.
Table 5. Leave-one-tree-out cross-validation performance of the six estimation models, compared with a generalized additive model (GAM) and a null model. Metrics include RMSE, MAE, and MAPE.
EquationRMSE (MPa)MAE (MPa)MAPE (%)
(10)0.110.0811.5
(11)0.100.0810.3
(12)0.090.079.5
(13)0.090.079.0
(14)0.090.078.7
(15)0.090.068.2
GAM0.090.068.5
Null0.190.1722.7
Table 6. Coefficients re-calibrated using 2024 data and validation performance on 2023 observations for SR-derived equations.
Table 6. Coefficients re-calibrated using 2024 data and validation performance on 2023 observations for SR-derived equations.
EquationCoef_1Coef_2InterceptRMSEMAE
(10)3.2326--0.17300.110.08
(11)2.9069−0.96060.77180.110.09
(12)0.0287−2.9099--0.100.08
(13)0.0042−2.8160--0.100.07
(14)0.2530−0.0159−1.43340.110.08
(15)1.12010.02714−1.93370.090.07
Table 7. Performance metrics of the six Ψstem equations evaluated using an external validation dataset collected from an orchard in Santaquin, UT, USA.
Table 7. Performance metrics of the six Ψstem equations evaluated using an external validation dataset collected from an orchard in Santaquin, UT, USA.
EquationRMSE (MPa)MAE (MPa)MAPE (%)
(10)0.120.1012.5
(11)0.130.1113.4
(12)0.060.056.09
(13)0.070.056.61
(14)0.090.078.38
(15)0.090.066.85
Disclaimer/Publisher’s Note: The statements, opinions and data contained in all publications are solely those of the individual author(s) and contributor(s) and not of MDPI and/or the editor(s). MDPI and/or the editor(s) disclaim responsibility for any injury to people or property resulting from any ideas, methods, instructions or products referred to in the content.

Share and Cite

MDPI and ACS Style

Safre, A.L.S.; Torres-Rua, A.; Wedegaertner, K.; Black, B.; Bean, B.; Barker, B.; Yost, M. Predicting Tart Cherry Stem Water Potential Using UAV Multispectral Imagery and Environmental Data via Symbolic Regression. Remote Sens. 2026, 18, 853. https://doi.org/10.3390/rs18060853

AMA Style

Safre ALS, Torres-Rua A, Wedegaertner K, Black B, Bean B, Barker B, Yost M. Predicting Tart Cherry Stem Water Potential Using UAV Multispectral Imagery and Environmental Data via Symbolic Regression. Remote Sensing. 2026; 18(6):853. https://doi.org/10.3390/rs18060853

Chicago/Turabian Style

Safre, Anderson L. S., Alfonso Torres-Rua, Kurt Wedegaertner, Brent Black, Brennan Bean, Burdette Barker, and Matt Yost. 2026. "Predicting Tart Cherry Stem Water Potential Using UAV Multispectral Imagery and Environmental Data via Symbolic Regression" Remote Sensing 18, no. 6: 853. https://doi.org/10.3390/rs18060853

APA Style

Safre, A. L. S., Torres-Rua, A., Wedegaertner, K., Black, B., Bean, B., Barker, B., & Yost, M. (2026). Predicting Tart Cherry Stem Water Potential Using UAV Multispectral Imagery and Environmental Data via Symbolic Regression. Remote Sensing, 18(6), 853. https://doi.org/10.3390/rs18060853

Note that from the first issue of 2016, this journal uses article numbers instead of page numbers. See further details here.

Article Metrics

Back to TopTop