Next Article in Journal
Dependence of Simulations of Upper Atmospheric Microwave Sounding Channels on Magnetic Field Parameters and Zeeman Splitting Absorption Coefficients
Previous Article in Journal
Quantifying Vegetation Responses to Rainfall Extremes in Sub-Saharan Africa Using CHIRPS Precipitation and MODIS NDVI
Previous Article in Special Issue
CCAI-YOLO: A High-Precision Synthetic Aperture Radar Ship Detection Model Based on YOLOv8n Algorithm
 
 
Font Type:
Arial Georgia Verdana
Font Size:
Aa Aa Aa
Line Spacing:
Column Width:
Background:
Article

A PMBM Filter for Tracking Coexisting Point and Group Targets with Target Spawning and Generalized Measurement Models

by
Jichuan Zhang
1,
Qi Jiang
1,
Longxiang Jiao
1,
Weidong Li
1,* and
Cheng Hu
1,2
1
Radar Technology Research Institute, School of Information and Electronics, Beijing Institute of Technology, Beijing 100081, China
2
Advanced Technology Research Institute, Beijing Institute of Technology, Jinan 250300, China
*
Author to whom correspondence should be addressed.
Remote Sens. 2026, 18(5), 769; https://doi.org/10.3390/rs18050769
Submission received: 19 January 2026 / Revised: 20 February 2026 / Accepted: 2 March 2026 / Published: 3 March 2026
(This article belongs to the Special Issue Radar Data Processing and Analysis)

Highlights

What are the main findings?
  • A modified PMBM prediction framework is developed by incorporating a group-dependent target spawning model, enabling unified tracking of coexisting point and group targets in complex group-dynamic scenarios.
  • A generalized PMBM update strategy is proposed to support point-target density updates with arbitrary measurement cardinality, thereby overcoming the limitations of the standard point-target measurement assumption.
What are the implications of the main findings?
  • The proposed prediction model enables timely detection of newly spawned targets in dynamic group scenarios, such as drone swarms with member separation.
  • The generalized update mechanism improves state estimation accuracy and target-type inference under non-ideal measurement conditions, where a single point target may generate multiple measurements within one scan.

Abstract

Accurate multi-target filtering is crucial for low-altitude surveillance, where point and group targets often coexist. Poisson multi-Bernoulli mixture (PMBM) filters provide a unified Bayesian framework for the joint filtering of point and group targets under the assumptions of independent target dynamics and standard measurement models. However, in practical scenarios, group targets may generate new targets through member separation, while point targets may produce multiple measurements due to multi-beam sensing and micro-Doppler signatures. These phenomena violate the assumptions of existing PMBM filters and lead to degraded state estimation and target-type inference. To address these challenges, this paper proposes a modified PMBM filter with group target spawning and generalized measurement models for coexisting point and group targets. Specifically, a group-dependent spawning model is incorporated into the prediction step to enable timely detection of newly spawned targets. In addition, a generalized update function is developed to support point-target density updates with measurement sets of arbitrary cardinality, and a measurement-rate-based correction factor is introduced to improve target-type estimation under nonstandard measurement conditions. Furthermore, an efficient Poisson multi-Bernoulli approximation is derived to reduce computational complexity. The effectiveness of the proposed filter is verified through simulation and experimental results.

1. Introduction

Multi-target filtering aims to sequentially infer both target number and states from noisy sensor measurements, which is fundamental to radar remote sensing tasks such as low-altitude monitoring [1] and ecological (biological-target) assessment [2], as well as distributed sensing resource configuration and swarm-intelligence-based system optimization [3,4]. It can be formulated as a Bayesian recursive estimation problem, where the posterior distribution of the multi-target state is updated given current measurements. However, the Bayesian recursion involves high-dimensional integrals, making exact analytical solutions intractable. To reduce computational complexity, traditional approaches, such as the joint probabilistic data association (JPDA) filter [5], multiple hypothesis tracking (MHT) [6], and probabilistic MHT (PMHT) [7], decompose the problem into multiple independent single-target filtering processes. However, measurement-to-target association remains the primary challenge.
To avoid explicit measurement-to-target association, alternative random finite set (RFS)-based filtering approaches have been developed and have attracted considerable attention. RFS theory [8] provides a rigorous Bayesian framework for multi-target filtering, in which target birth, survival, dynamics, and measurement processes are probabilistically modeled. Within this framework, the number and states of multiple targets can be jointly estimated. A variety of effective RFS-based filtering algorithms have been developed, including the probability hypothesis density (PHD) filter [9,10], the cardinality PHD (CPHD) filter [11,12], the multi-Bernoulli (MB) filter [13], the labeled MB (LMB) filter [14], and the generalized labeled MB (GLMB) filter [15].
Unlike the above filters, the Poisson MB mixture (PMBM) filter [16] models the multi-target posterior as the convolution of a Poisson density and an MB mixture density, which constitutes a conjugate prior. This conjugacy allows the multi-target posterior to be updated in closed form through single-target prediction and update steps, thereby significantly reducing computational complexity. Benefiting from this property, the PMBM filter has been widely applied to multi-target tracking under different target representations. By adopting measurement models tailored to specific target types and their corresponding conjugate single-target densities, various PMBM implementations can be derived [17,18,19,20,21]. For example, under the standard point-target measurement model, a Gaussian PMBM filter is obtained [22]. For extended targets that occupy multiple sensor resolution cells and generate multiple measurements per scan, the Gaussian–gamma–inverse Wishart (GGIW) PMBM filter enables the joint estimation of target kinematic states and spatial extents [23].
However, the above methods are designed for specific target types and thus neglect the more common practical scenario in which multiple target types coexist within the same surveillance region. To address this issue, PMBM filters based on hybrid density representations have been investigated. In [24], a PMBM filter was proposed to jointly propagate Gaussian and GGIW densities, enabling the simultaneous tracking of point and extended targets within a unified framework; however, target-type transitions were not considered. To handle point-extended target conversions, a seamless tracking approach based on Gaussian processes and PMHT was presented in [25], but the reliance on PMHT makes robust clutter handling challenging. More recently, a Gaussian–GGIW mixture-based PMBM filter that explicitly models density transitions was proposed [26], enabling interconversion between point and extended targets within a unified filtering framework. Related mixed-density modeling ideas have also been explored beyond the above PMBM formulations. For instance, an adaptive multi-Bernoulli filter augments the state with a Beta-distributed detection-probability variable and adopts a Beta–Gaussian/Beta–GGIW hybrid representation to jointly track coexisting point and extended targets under unknown detection probability [27]. From a trajectory-RFS perspective, a general trajectory PHD filter and an unknown-detection-probability trajectory PMBM filter were further developed for coexisting point and extended targets using Gaussian–GGIW-type hybrid densities [28,29], which strengthens the evidence that mixed-density representations are promising for heterogeneous target tracking under non-ideal sensing.
However, with the continued improvement in sensor resolution, practical low-altitude surveillance scenarios increasingly involve targets with more complex and diverse representations, posing new challenges to the aforementioned studies. On the one hand, group targets, such as bird flocks or drone swarms, comprise multiple interacting individuals that move in a coordinated manner governed by collective intelligence. Although group targets can be viewed as extended targets composed of multiple scatterers, their internal interactions give rise to distinctive dynamics [30,31], most notably member separation that generates new point targets. Such group-dependent spawning behavior is not explicitly modeled in existing PMBM prediction frameworks, which generally assume independent target evolution, and may consequently result in delayed detection of newly emerged targets. On the other hand, in practical sensing conditions, a single point target may produce multiple measurements within one scan due to high-resolution sensing, multi-beam operation, or target micro-Doppler signatures [32]. This phenomenon departs from the conventional point-target measurement assumption and can lead to erroneous target-type inference and reduced state estimation accuracy during the update step.
To address these challenges, this paper proposes a modified PMBM filter with group target spawning and nonstandard measurement models for coexisting point and group targets. The main contributions are summarized as follows.
First, a novel PMBM prediction step with group-dependent spawning is proposed. Different from conventional PMBM filters that assume independent target dynamics, the proposed approach models potential spawned targets using a Poisson point process (PPP) by transferring separated members from detected group Bernoulli components (BCs) into the PPP. This mechanism enables timely detection of newly spawned targets while preserving the conjugacy of the PMBM filter.
Second, a modified PMBM update step with the generalized measurement model is developed. Unlike existing mixture-density-based PMBM filters that assume at most one measurement per point target, the proposed approach supports point-target updates with arbitrary measurement subset cardinality through a generalized update function. Moreover, a measurement-rate-based correction factor is incorporated into the point-target probability update, leading to improved target-type inference and state estimation accuracy.
Third, based on the proposed prediction and update modifications, an efficient Poisson multi-Bernoulli (PMB) approximation is developed to reduce computational complexity while preserving the key structural properties of the PMBM posterior.
The performance of the proposed method is validated using both simulation and experimental data, demonstrating superior performance in detection timeliness, state estimation accuracy, and target-type inference compared with existing PMBM-based approaches.
The rest of this article is organized as follows. Section 2 reviews the traditional PMBM filter for coexisting point and group targets. Section 3 introduces the proposed PMBM filter with group target spawning and nonstandard measurement models, and presents an efficient PMB approximation. Section 4 validates the proposed method using simulation and real radar data. Finally, Section 5 concludes the paper.

2. PMBM Filtering for Coexisting Point and Group Targets

In this section, we provide a brief overview of the mixture-density-based PMBM filter for tracking coexisting point and group targets. The PMBM multi-target posterior is first introduced, followed by a description of the mixture-density formulation and a brief review of the corresponding prediction and update steps.

2.1. PMBM Posterior Density

The multi-target state at time step k, denoted by the random finite set X k , conditioned on the measurement sequence { Z 1 , , Z k } with k { k 1 , k } , is described by a PMBM density f k | k pmbm X k . The PMBM posterior provides a unified representation of both undetected targets X u and detected targets X d , with the following expression
f k | k pmbm X k = X u X d = X k f k | k p X u f k | k mbm X d ,
where f k | k p and f k | k mbm denote Poisson and MBM densities, respectively. The symbol ⊎ denotes disjoint union. The summation is taken over all mutually disjoint (possibly empty) subsets X u and X d whose union equals X k .
The Poisson density models targets that have not yet been detected with an intensity function λ k | k ( · ) ,
f k | k p X u = e λ k | k x d x x X u λ k | k x .
The MBM density represents the potential targets that have been detected at least once by time step k and is given by
f k | k mbm X d = h H k | k w k | k h i = 1 n k | k X i = X d i = 1 n k | k f k | k i , h i X i ,
where n k | k denotes the total number of BCs. For each BC, there exist H k k i possible local hypotheses. By selecting one local hypothesis h i { 1 , , H k k i } for each BC, a global hypothesis h = ( h 1 , , h n k k ) is formed. H k k and w k k h denote the set of global hypotheses and the corresponding global hypothesis weight, respectively.
Conditioned on a given global hypothesis, the MBM posterior reduces to a multi-Bernoulli density. The global weight w k | k h is proportional to the product of the weights w k | k i , h i of the associated local hypotheses. The Bernoulli density of the i-th BC under local hypothesis h i is defined as
f k | k i , h i X i = 1 r k | k i , h i , X i = r k | k i , h i f k | k i , h i x , X i = { x } 0 , otherwise
where r k | k i , h i denotes the existence probability and f k | k i , h i x represents the single target density.
For each BC, its local hypotheses correspond to alternative measurement association events of a single target. Each multi-Bernoulli component, interpreted as a global hypothesis, therefore provides a coherent explanation of the measurement-to-target association history. The association history for all global hypotheses can be represented as
H k | k = h 1 , , h n k | k : h i 1 , , H k | k i i i = 1 n k | k M k i , h i = M k , M k i , h i M k j , h j = , i j ,
where M k i , h i denotes the set of measurements associated with the local hypothesis h i of the i-th BC, and M k denotes the set of all measurements up to and including time step k . In other words, every measurement must be assigned to exactly one local hypothesis, and no measurement can be shared by multiple local hypotheses. Consequently, each global hypothesis corresponds to a unique partition of the measurement set M k .

2.2. Single-Target Mixture Density

Since the target type is not known a priori, the single-target state is defined over a hybrid space X , given by X = X p X g . The point-target state space is defined as X p = R n x , whereas the extended-target state space is given by X g = R + × R n x × S + d . Here, the operator ⊎ denotes a disjoint union and n x denotes the dimension of the kinematic state. The sets R + , R n x , and S + d represent the positive real numbers, the kinematic state space, and the space of d-dimensional symmetric positive-definite matrices, respectively.
If x X p , the target is a point target, and x denotes its Gaussian kinematic state. The density for point target with parameters ζ k | k p = μ k | k , Σ k | k is defined as
P p x ; ζ k | k p = N x ; μ k | k , Σ k | k , x X p 0 , x X g
where N · ; μ k | k , Σ k | k being the Gaussian density with mean μ k | k and covariance Σ k | k . If x X g , the target is a group target modeled by a GGIW density, with state x = ( γ , x c , X ) . Here, γ denotes the measurement rate, x c is the kinematic state of the group centroid, and X is a symmetric positive-definite matrix describing the elliptical extent of the group target. The density for group target with parameters ζ k | k g = α k | k , β k | k , m k | k , P k | k , v k | k , V k | k is defined as
P g x ; ζ k | k g = G γ ; α k | k , β k | k N x c ; m k | k , P k | k I W X ; v k | k , V k | k , x X g 0 , x X p
where G · ; α k | k , β k | k denotes the Gamma density with the shape parameter α k | k and the inverse scale parameter β k | k , and I W · ; v k | k , V k | k denotes the inverse Wishart density with the degree of freedom parameter v k | k and the scale matrix V k | k . m k | k and P k | k denote the Gaussian mean and covariance of the kinematic state of the group centroid.
To enable a PMBM filter that accommodates the coexistence of point and group targets, the intensity function λ k | k ( · ) is modeled as a mixture
λ k | k x = q = 1 n k | k p w k | k p , q P p x ; ζ k | k p , q + q = 1 n k | k g w k | k g , q P g x ; ζ k | k g , q ,
where n k | k p and n k | k g denote the numbers of undetected point and group targets, respectively. Each component is characterized by its weight and density parameters. The sums of mixture weights represent the expected numbers of undetected point and group targets.
The single-target density of the i-th BC under local hypothesis h i is given by
f k | k i , h i ( x ) = ε k | k i , h i P p x ; ζ k | k p , i , h i + 1 ε k | k i , h i P g x ; ζ k | k g , i , h i
where ε k k i , h i [ 0 , 1 ] denotes the probability that the target is a point target. Based on these mixture representations, the PMBM density is fully parameterized by the Poisson intensity parameters w k | k p , q , ζ k | k p , q q = 1 n k | k p and w k | k g , q , ζ k | k g , q q = 1 n k | k g , together with the MBM parameters ε k | k i , h i , ζ k | k p , i , h i , ζ k | k g , i , h i for i = 1 , , n k | k and h i = 1 , , H k | k i .

2.3. Prediction

Given a PMBM posterior density, the prior density at the next time step remains a PMBM [16], characterized by a predicted Poisson intensity and MBM parameters. The predicted Poisson intensity is obtained via the standard PHD prediction equation,
λ k | k 1 x = λ k b x + g x y p s y λ k 1 | k 1 y d y ,
which follows the conventional dynamic assumptions in the RFS-based multi-target filtering framework. Specifically, each target evolves according to a Markov process, survives with probability p s ( · ) , and transitions according to the density g ( · ) , while newly born targets are modeled as a Poisson RFS with intensity λ k b ( · ) .
In addition, the MBM component of the predicted density is obtained using the standard multi-target multi-Bernoulli filter prediction equations,
w k | k 1 i , h i = w k 1 | k 1 i , h i , r k | k 1 i , h i = r k 1 | k 1 i , h i p s ( y ) f k | k i , h i ( y ) d y , f k | k 1 i , h i ( x ) g x y p s ( y ) f k 1 | k 1 i , h i ( y ) d y .

2.4. Update

The measurement likelihood model describes how sensor observations are generated from the target state. To accommodate the hybrid state space, a target-type-dependent likelihood formulation is adopted. Specifically, for a point target x X p , the standard point-target measurement model is used,
L k Z x = 1 p 1 D ( x ) , Z = p 1 D ( x ) l z x , Z = { z } 0 , Z > 1
where p 1 D ( x ) denotes the probability of detection for point targets. For a group target x X g , the measurement model is given by
L k Z x = 1 p 2 D ( x ) + p 2 D ( x ) e γ , Z = p 2 D ( x ) γ | Z | ( x ) e γ z Z l z x , Z > 1
where p 2 D ( x ) denotes the probability of detection for group targets. The single-measurement likelihood, denoted by l z x , also depends on the target type and is defined as
l ( z | x ) = N z ; H 1 x , R , x X p N z ; H 2 x , X , x X g
where H 1 and H 2 denote the observation matrix for point target state and group target state, respectively. The matrix R denotes the measurement noise covariance.
Given a PMBM prior density of the form (1), the multi-target posterior density conditioned on the current measurement set Z k = { z k 1 , , z k m k } is also proved to be a PMBM density by using the Bayes’ rule [16],
f k | k pmbm X k = L k Z k X k f k | k 1 pmbm X k L k Z k X k f k | k 1 pmbm X k δ X
where the denominator involves a set integral with respect to the multi-target RFS state. Complete mathematical derivation of the update equations and their theoretical justification can be found in [22].

3. Modified PMBM Filter with Group Target Spawning and Generalized Measurement Models

In the previous section, we introduced the PMBM filtering framework for coexisting point and group targets. Although this filter supports joint prediction and update of both target types, practical scenarios expose several limitations. Group targets may generate new targets through member separation. Since such spawning behavior is not explicitly modeled in the standard PMBM prediction step, the resulting point targets may be detected with delay. In addition, a single point target can generate multiple measurements due to multi-beam sensing or micro-Doppler signatures. This violates the assumptions underlying the conventional PMBM likelihood model and may lead to incorrect target-type estimation.
To overcome these limitations, we develop a modified PMBM filtering framework in this section. The schematic diagram of the proposed algorithm is illustrated in Figure 1. First, a prediction model incorporating group-target spawning is introduced. Then, a modified update step with point-target-type probability correction is proposed. Based on these developments, an efficient PMB filter tailored to scenarios with coexisting point and group targets is derived.

3.1. Modified PMBM Prediction Step with Group Target Spawning Model

In practical tracking scenarios, group targets often exhibit complex dynamics. Individual members may leave the formation and give rise to new targets. Such behaviors are not captured by standard PMBM prediction models, which assume independent target evolution without target-dependent spawning. To overcome this limitation, we propose a modified PMBM prediction step that explicitly incorporates group spawning. First, a dynamic model with group spawning is introduced. The corresponding prediction equations are then presented in detail.

3.1.1. Dynamic Model with Group Spawning

Some basic assumptions for modeling the spawning process are first introduced as follows:
  • A1 The Poisson point process (PPP), which represents previously undetected targets, does not undergo spawning. Spawning is allowed only for detected targets represented by Bernoulli components in the MBM.
  • A2 Spawning is treated as a prediction-stage event. Consequently, all spawned targets are regarded as undetected at the current time step and are incorporated into the PPP.
  • A3 Since the type of a spawned target is unknown a priori, the spawning process contributes both point-target and group-target components to the PPP. Specifically, spawning increases the number of Gaussian components corresponding to undetected point targets and the number of GGIW components corresponding to undetected group targets.
These assumptions are introduced to achieve a tractable yet expressive prediction model. By excluding spawning from the PPP, unobserved targets are prevented from generating further structural complexity. Modeling spawned targets as undetected preserves the standard PMBM recursion and avoids introducing dependencies among Bernoulli components during prediction. Moreover, allowing spawning to contribute to both point-target and group-target PPP components provides a flexible representation that is consistent with the existing PPP structure and the subsequent update mechanism.
Let x denote a single-target state, and let X k 1 denote the prior multi-target state. The dynamic model with group spawning is defined as follows. At each time step, the following apply:
  • Survival of existing targets: Each target x X k 1 survives independently with probability p S ( x ) = p S and transitions according to the state transition density g ( · x ) .
  • Spawning from detected targets: Each BC corresponding to a detected group target may generate spawned targets with probability p s p ( x ) = p s p . The spawned targets are conditionally independent given the parent target and follow a spawning transition density g s p ( · x ) . All spawned targets are added to the PPP as undetected targets.
  • Birth of new targets: Spontaneous target births are modeled by an independent PPP with intensity λ b ( · ) .

3.1.2. PMBM Prediction with Spawning

Based on the proposed dynamic model, the predicted PPP intensity is given by
λ k | k 1 ( x ) = λ k | k 1 S ( x ) + λ k | k 1 s p ( x ) + λ k b ( x ) ,
where λ k | k 1 S ( x ) denotes the intensity of survived undetected targets, λ k | k 1 s p ( x ) represents the intensity of spawned targets, and λ k b ( x ) is the birth intensity. The survived component can be derived using the standard PHD filter and is given by
λ k | k 1 S ( x ) = q = 1 n k | k 1 p w k | k 1 p , q P p x ; ζ k | k 1 p , q + q = 1 n k | k 1 g w k | k 1 g , q P g x ; ζ k | k 1 g , q ,
where n k | k 1 g = n k 1 | k 1 g and n k | k 1 p = n k 1 | k 1 p . Scalars w k | k 1 p , q = p S w k 1 | k 1 p , q and w k | k 1 g , q = p S w k 1 | k 1 g , q are the predicted weights for undetected point targets and group targets, respectively. The dynamics of point targets are modeled as linear Gaussian, leading to the following prediction equations
ζ k | k 1 p , q = μ k | k 1 q = F p μ k 1 | k 1 q , Σ k | k 1 q = F p Σ k 1 | k 1 q F p T + Q p ,
where F p and Q p denote the transition matrix and process noise covariance matrix for point targets, respectively.
For survived undetected group target, the prediction equations are given as [23]
ζ k | k 1 g , q = α k | k 1 q = ρ α k 1 | k 1 q , β k | k 1 q = ρ β k 1 | k 1 q , m k | k 1 q = F g m k 1 | k 1 q , P k | k 1 q = F g P k 1 | k 1 q F g T + Q g , v k | k 1 q = 2 d + 2 + e T s / τ ( v k 1 | k 1 q 2 d 2 ) , V k | k 1 q = e T s / τ M V k 1 | k 1 q M T ,
where ρ is the forgetting factor for measurement rate. The matrices F g and Q g denote the transition matrix and process noise covariance matrix for group targets, respectively. The parameters T s and τ represent the sampling time and maneuvering correlation constant, respectively, and M is a transformation matrix. A larger τ implies slower/smoother shape evolution, whereas a smaller τ allows more rapid changes. The matrix M models the rotation of the extent between scans. For more details see [23].
The spontaneous birth of new targets is modeled as an independent PPP. The birth PPP follows the same form as the survived component, comprising Gaussian components for point targets and GGIW components for group targets. The corresponding birth Poisson intensity is given by
λ k b ( x ) = q = 1 n k b , p w k b , p , q P p x ; ζ k b , p , q + q = 1 n k b , g w k b , g , q P g x ; ζ k b , g , q ,
where n k b , p and n k b , g denote the numbers of point-target and group-target birth components, respectively. The weights w k b , p , q and w k b , g , q , together with the corresponding parameters ζ k b , p , q and ζ k b , g , q , are predefined according to the assumed birth model. Additional details regarding the parameter settings are provided in the simulation section.
The spawning contribution to the predicted Poisson intensity arises exclusively from the BCs of the prior PMBM density. For each BC, only the local hypothesis with the largest weight, denoted by h ˜ i , is selected for spawning. Restricting spawning to the dominant local hypothesis avoids additional hypothesis coupling during the prediction step while preserving the principal spawning behavior of detected group targets. Under this strategy, each selected BC generates two undetected targets in the PPP: one point-target component and one group-target component. Consequently, the spawning PPP shares the same form as the survived PPP. The resulting spawning intensity is given by
λ k | k 1 s p ( x ) = i = 1 n k 1 | k 1 w k | k 1 s p , p , i P p x ; ζ k | k 1 s p , p , i + w k | k 1 s p , g , i P g x ; ζ k | k 1 s p , g , i ,
where n k 1 | k 1 denotes the total number of BCs in the prior PMBM density.
The spawned point-target density is modeled by a Gaussian component, whose parameters are obtained by propagating the kinematic state of the parent group target through a spawning transition model. Specifically,
ζ k | k 1 s p , p , i = μ k | k 1 s p , i = F p s p m k 1 | k 1 i , h ˜ i , Σ k | k 1 s p , i = F p s p P k 1 | k 1 i , h ˜ i F p s p T + Q p s p ,
where m k 1 | k 1 i , h ˜ i and P k 1 | k 1 i , h ˜ i denote the mean and covariance of the selected group-target density in the q-th BC. The matrices F p s p and Q p s p represent the spawning transition matrix and process noise covariance for point targets, respectively. The corresponding spawning weight is computed as
w k | k 1 s p , p , i = p s p r k 1 | k 1 i , h ˜ i ε k 1 | k 1 i , h ˜ i ,
where r k 1 | k 1 i , h ˜ i is the existence probability of the BC, p sp denotes the spawning probability, and ε k 1 | k 1 i , h ˜ i is the point-target probability associated with the selected local hypothesis.
Similarly, the spawned group-target density is represented by a GGIW component. Its parameters are obtained by applying a group-target spawning transition to the parent density, yielding
ζ k | k 1 s p , g , i = α k | k 1 s p , i = ρ s p α k 1 | k 1 i , h ˜ i , β k | k 1 s p , i = ρ s p β k 1 | k 1 i , h ˜ i , m k | k 1 s p , i = F g s p m k 1 | k 1 i , h ˜ i , P k | k 1 s p , i = F g s p P k 1 | k 1 i , h ˜ i ( F g s p ) T + Q g s p , v k | k 1 s p , i = v k 1 | k 1 i , h ˜ i , V k | k 1 s p , i = V k 1 | k 1 i , h ˜ i ,
where ρ s p denotes the measurement-rate forgetting factor for spawned group targets. The matrices F g s p and Q g s p correspond to the group-target spawning transition matrix and process noise covariance, respectively. The corresponding spawning weight is defined as
w k | k 1 s p , g , i = p s p r k 1 | k 1 i , h ˜ i 1 ε k 1 | k 1 i , h ˜ i ,
which reflects the probability that the spawned target remains a group target.
Note that the spawning contribution of a BC is transferred exclusively to the PPP and does not modify the MBM part itself. Consequently, each existing BC in the MBM density is predicted using the standard PMBM survival model. Given a prior Bernoulli density of the form (4) and (9), the predicted density retains the same form. The single-target density parameters are propagated using the same prediction equations as those employed for the survived PPP components, cf. (18) and (19), and are thus not repeated here. Besides, the weight of each local hypothesis remains unchanged, and the point-target probability is preserved. The existence probability of the BC is scaled by the survival probability, yielding
r k | k 1 i , h i = p S r k 1 | k 1 i , h i .

3.2. Modified PMBM Update Step with Generalized Measurement Model

The standard PMBM update becomes unreliable when a single point target generates multiple measurements. This violates the conventional point-target measurement model and degrades target-type inference. To address this issue, a modified PMBM update based on a generalized measurement model is proposed. A corresponding generalized update function is derived to enable density updates for both point and group targets under arbitrary measurement subset cardinality. The resulting update equations incorporate a measurement-rate-dependent correction factor to improve target-type probability estimation. Implementation details of the modified update are subsequently presented.

3.2.1. Generalized Update Function for Single Target Density

In this subsection, a generalized update function for point-target densities is proposed to handle practical cases where a point target may generate more than one measurement within a single scan. The Gaussian parameters of the point-target mixture density are updated using a nonempty measurement subset Z k j through a unified update operator,
ζ k | k p , l k | k p = UpdP ζ k | k 1 p , Z k j ,
where UpdP ( · ) denotes the point-target update operator and l k | k p is the marginal likelihood.
To accommodate the nonstandard point-target measurement conditions, the operator UpdP ( · ) is defined according to the cardinality of the measurement subset Z k j . Two cases are considered. When the measurement subset contains a single measurement, i.e., | Z k j | = 1 and Z k j = { z k j } , the update reduces to the standard Kalman filter update,
ζ k | k p = μ k | k = μ k | k 1 + K k Δ k , Σ k | k = Σ k | k 1 K k H 1 Σ k | k 1 ,
with
Δ k = z k j H 1 μ k | k 1 , S k = H 1 Σ k | k 1 H 1 T + R , K k = Σ k | k 1 H 1 T S k 1 .
The corresponding marginal likelihood is given by
l k | k p = N z k j ; H 1 μ k | k 1 , R .
When the measurement subset contains multiple measurements, i.e., | Z k j | > 1 , a pseudo-measurement is constructed to update the point-target density. This design is motivated by the observation that, in practical radar systems, multiple measurements associated with a single point target often arise from multi-beam detection or micro-Doppler signatures. As analyzed in [12,32], each target-dependent false measurement can be reasonably modeled by a Gaussian distribution centered at the true target location. Following this modeling insight, the pseudo-measurement is defined as the arithmetic mean of the measurements in Z k j ,
z k = 1 | Z k j | z Z k j z .
The update operator UpdP ( · ) then applies the same Kalman update procedure using z k .
The arithmetic mean is adopted as a simple and robust default fusion rule, since it is parameter-free and does not rely on additional measurement-quality information (e.g., SNR-dependent weights), thereby improving reproducibility and avoiding extra tuning. It is worth noting that the proposed generalized-measurement framework is not restricted to this choice: other fusion rules, such as weighted averaging, can be readily incorporated by replacing the pseudo-measurement construction step when reliable auxiliary information is available. While more sophisticated fusion schemes may further improve accuracy, they typically require additional information.
The GGIW parameters of the mixture density can be updated with the associated measurement subset Z k j in the following way:
ζ k | k g , l k | k g = UpdG ζ k | k 1 g , Z k j ,
where UpdG ( · ) denotes the GGIW update operator and l k | k g is the associated marginal likelihood. The detailed update equations are provided as follows: If Z k j ,
ζ k | k g = α k | k = α k | k 1 + Z k j , β k | k = β k | k 1 + 1 , m k | k = m k | k 1 + K k Δ k , P k | k = P k | k 1 K k H 2 P k | k 1 , v k | k = v k | k 1 + Z k j , V k | k = V k | k 1 + N k + W k ,
where
z ¯ k = 1 Z k j z k j Z k j z k j , W k = z k j Z k j z k j z ¯ k z k j z ¯ k T , Δ k = z ¯ k H 2 m k | k 1 , X ¯ k | k 1 = V k | k 1 v k | k 1 2 d 2 1 , S k = H 2 P k | k 1 H 2 T + X ¯ k | k 1 Z k j , K k = P k | k 1 H 2 T S k 1 , N k = X ¯ k | k 1 1 / 2 S k 1 / 2 Δ k Δ k T S k 1 / 2 T X ¯ k | k 1 1 / 2 T ,
If Z k j = ,
ζ k | k g = α k | k 1 , β k | k 1 + 1 , m k | k 1 , P k | k 1 , v k | k 1 , V k | k 1 .
The marginal likelihood for a group target can be calculated as
l k | k g = π Z k j Z k j d / 2 V k | k 1 v k | k 1 d 1 2 Γ d V k | k d 1 2 X ¯ k | k 1 1 / 2 Γ α k | k β k | k 1 α k | k 1 V k | k v k | k d 1 2 Γ d V k | k 1 d 1 2 S k 1 / 2 Γ α k | k 1 β k | k α k | k , Z k j β k | k 1 α k | k 1 β k | k 1 + 1 α k | k 1 , Z k j =
where Γ d · and Γ · denote the multivariate gamma function and gamma function, respectively.

3.2.2. PMBM Update with Target Type Correction

Given the prior PMBM density and a collection of measurement subsets, the Bayesian update yields a posterior density that preserves the PMBM form. The measurement subsets are assumed to be mutually independent and may include the empty set. The PMBM density consists of a Poisson point process (PPP) component and a multi-Bernoulli mixture (MBM) component. Accordingly, the update can be decomposed into four cases based on how measurement subsets are allocated to the mixture components:
  • PPP component allocated to the empty measurement subset: All PPP components are allocated to the empty set, yielding an updated PPP intensity. This case represents undetected targets that are missed at the current time step.
  • PPP component allocated to a nonempty measurement subset: Each nonempty measurement subset is allocated to the PPP, resulting in the initialization of a new BC. These components model targets that are detected for the first time or clutter- generated hypotheses.
  • Local hypothesis of an existing BC allocated to the empty measurement subset: For each existing BC, every local hypothesis can be allocated to the empty set, giving rise to a new local hypothesis that represents a missed detection of a previously detected target.
  • Local hypothesis of an existing BC allocated to a nonempty measurement subset: Each local hypothesis of an existing BC can also be allocated to a nonempty measurement subset, producing a new local hypothesis that corresponds to the continued detection of the target.
In summary, let the measurement set at time k be Z k = { z k 1 , , z k m k } , which contains m k measurements. In addition to the empty set, there exist 2 m k 1 distinct nonempty measurement subsets. Consequently, the update generates 2 m k 1 newly initialized BCs from the PPP. For each existing BC, all possible allocations to the empty set or to any nonempty measurement subset are considered. As a result, the number of local hypotheses for each BC increases by a factor of 2 m k , i.e., H k k i = 2 m k H k k 1 i . The detailed update equations are given below.
(1) PPP component allocated to the empty measurement subset: The updated PPP component is given as
λ k | k x = q = 1 n k | k p w k | k p , q P p x ; ζ k | k p , q + q = 1 n k | k g w k | k g , q P g x ; ζ k | k g , q ,
where n k | k p = n k | k 1 p and n k | k g = 2 n k | k 1 g . The updated Poisson intensity parameters for undetected point targets are given as
w k | k p , q = 1 p 1 D w k | k 1 p , q , ζ k | k p , q = μ k | k q = μ k | k 1 q Σ k | k q = Σ k | k 1 q .
For undetected group targets that are associated with an empty measurement subset, two mutually exclusive explanations are considered. The first corresponds to a missed detection by the sensor. The second assumes that the target is detected but generates zero measurements. The two cases are weighted by the probabilities 1 p 2 D and p 2 D e γ ( x ) , respectively. For the missed-detection case, the updated parameters are given as
ζ k | k g , q = ζ k | k 1 g , q , w k | k g , q = 1 p 2 D w k | k 1 g , q ,
where q < n k | k 1 g . For the zero-measurement generation case, the updated parameters are given as
ζ k | k g , q , l k | k g , q = UpdG ζ k | k 1 g , q ˜ , , w k | k g , q = p 2 D l k | k g , q w k | k 1 g , q ˜ ,
where q > n k | k 1 g and q ˜ = q n k | k 1 g .
(2) PPP component allocated to a nonempty measurement subset: For each newly generated BC, two local hypotheses are considered, i.e., H k | k i = 2 . The first hypothesis assumes that the potential new track is consistent with an existing trajectory and therefore does not require the initiation of a new track. Under this hypothesis, the corresponding BC is assigned a unit weight w k | k i , 1 = 1 and a zero existence probability r k | k i , 1 = 0 . The second hypothesis represents the case where the measurement subset corresponds to a previously undetected target or to clutter. Assuming a PPP clutter model with intensity λ c ( · ) , the weight of the newly initialized BC under the second hypothesis is computed as
w k | k i , 2 = δ 1 Z k j z Z k j λ C ( z ) + L k | k Z k j ,
where δ 1 · denotes a Kronecker delta function at 1 and L k | k Z k j denotes the likelihood. The single-target density of the newly initialized BC is expressed as
f k | k i , 2 ( x ) = ε k | k i , 2 q = 1 n k | k 1 p w p q P p x ; ζ ˜ k | k p , i , 2 , q + 1 ε k | k i , 2 q = 1 n k | k 1 g w g q P g x ; ζ ˜ k | k g , i , 2 , q ,
which consists of a weighted mixture of point-target and extended-target densities. The corresponding density parameters and marginal likelihoods are obtained through the following update operations:
ζ ˜ k | k p , i , 2 , q , l k | k p , i , 2 , q = UpdP ζ k | k 1 p , q , Z k j , ζ ˜ k | k g , i , 2 , q , l k | k g , i , 2 , q = UpdG ζ k | k 1 g , q , Z k j .
Both the point-target and group-target densities are represented in mixture form. The corresponding mixture weights are computed by normalizing the product of the prior weights and the associated marginal likelihoods:
w p q = w k | k 1 p , q l k | k p , i , 2 , q q = 1 n k | k 1 p w k | k 1 p , q l k | k p , i , 2 , q , w g q = w k | k 1 g , q l k | k g , i , 2 , q q = 1 n k | k 1 g w k | k 1 g , q l k | k g , i , 2 , q .
The resulting weighted mixture densities can be approximated using the Kullback–Leibler average (KLA) approach. Specifically, a weighted Gaussian mixture can be approximated by a single Gaussian density, and a weighted mixture of GGIW densities can be approximated by a single GGIW density. The approximated density is given as
f k | k i , 2 ( x ) = ε k | k i , 2 P p x ; ζ k | k p , i , 2 + 1 ε k | k i , 2 P g x ; ζ k | k g , i , 2 .
The detailed KLA-based fusion equations for Gaussian, Gamma, and inverse Wishart distributions are provided in [33,34].
The Bernoulli weight can be calculated using (41) with the likelihood given as
L k | k Z k j = L k | k p , Z k j + L k | k g , Z k j , L k | k p , Z k j = p 1 D q = 1 n k | k 1 p w k | k 1 p , q l k | k p , i , 2 , q , L k | k g , Z k j = p 2 D q = 1 n k | k 1 g w k | k 1 g , q l k | k g , i , 2 , q ,
where L k | k p , Z k j and L k | k g , Z k j denote the point and group likelihood, respectively. The probability of existence is initialized as
r k | k i , 2 = L k | k Z k j w k | k i , 2 .
In mixture-density-based PMBM filters, the target-type probability is determined by the relative contribution of the point-target and group-target marginal likelihoods in the update step. To improve target-type discrimination under ambiguous measurement conditions, we introduce a correction factor that explicitly adjusts the relative weights of these marginal likelihoods. The resulting update of the target-type probability is given by
ε k | k i , 2 = τ k i , 2 L k | k p , Z k j τ k i , 2 L k | k p , Z k j + 1 τ k i , 2 L k | k g , Z k j .
The correction factor τ k i , 2 is introduced to account for differences in measurement-generation characteristics between point and group targets. Since group targets typically consist of multiple individual members, they tend to produce higher measurement rates than point targets. This distinction is captured by defining
τ k i , 2 = 0 T γ G γ ; α k | k i , 2 , β k | k i , 2 d γ ,
where the integral quantifies the probability that a target generates at most T γ measurements, thereby extracting type-related information from the measurement-rate state beyond kinematics. For point targets, the posterior mean of γ is typically smaller, so more probability mass concentrates in the low-rate region and the integral tends to be larger; for group targets, the opposite holds. Consequently, T γ controls the strength of the correction: an overly large value may cause small groups to be misclassified as point targets, whereas a too-small value may weaken the correction for true point targets. In this work, we set T γ = 2 as an empirical choice consistent with the employed wide-area scanning radar, where a point target may be detected by adjacent beams and thus commonly yields around two measurements per scan. Setting τ k i , 2 = 1 / 2 recovers the standard target-type probability update. For τ k i , 2 > 1 / 2 , the point-target marginal likelihood is upweighted, increasing the point-target probability. For τ k i , 2 < 1 / 2 , it is downweighted, yielding the opposite effect.
For newly initialized BCs, a generalized point-target update function is used to initialize the point-target density. Unlike mixture-based PMBM filters that neglect point-target updates for multi-measurement subsets, the proposed filter explicitly handles this case. The point-target density is obtained by updating the PPP of previously undetected point targets regardless of subset cardinality, with target-type probabilities corrected by a measurement-rate-dependent factor. This modification is confined to the single-target update and preserves PMBM conjugacy.
(3) Local hypothesis of an existing BC allocated to the empty measurement subset: For each existing BC, every local hypothesis can be assigned to the empty measurement subset, resulting in a new local hypothesis that represents a missed detection of a previously detected target. In this case, the single-target density is updated in the following form:
f k | k i , h i ( x ) = ε k | k i , h i P p x ; ζ k | k p , i , h i + 1 ε k | k i , h i ω P g x ; ζ k | k g , i , h i , 1 + ( 1 ω ) P g x ; ζ k | k g , i , h i , 2 .
Since no measurement information is available, the point-target Gaussian density remains unchanged ζ k | k p , i , h i = ζ k | k 1 p , i , h i . For the group-target state, two mutually exclusive explanations are considered. The first corresponds to a missed detection, under which the GGIW parameters remain unchanged, e.g., ζ k | k g , i , h i , 1 = ζ k | k 1 g , i , h i . The second corresponds to the case where the target is detected but generates zero measurements. The remaining parameters of the updated Bernoulli density are given as
ζ k | k g , i , h i , 2 , l k | k g , i , h i , 2 = UpdG ζ k | k 1 g , i , h i , , L k | k i , h i , = ε k | k 1 i , h i 1 p 1 D + 1 ε k | k 1 i , h i 1 p 2 D + p 2 D l k | k g , i , h i , 2 , w k | k i , h i = w k | k 1 i , h i 1 r k | k 1 i , h i + r k | k 1 i , h i L k | k i , h i , , r k | k i , h i = r k | k 1 i , h i L k | k i , h i , 1 r k | k 1 i , h i + r k | k 1 i , h i L k | k i , h i , , ε k | k i , h i = 1 p 1 D ε k | k 1 i , h i L k | k i , h i , , ω = 1 p 2 D 1 p 2 D + p 2 D l k | k g , i , h i , 2 .
(4) Local hypothesis of an existing BC allocated to a nonempty measurement subset: Allocating a nonempty measurement subset Z k j to a previous Bernoulli with a local hypothesis gives rise to a detection hypothesis. Similar to the second case, to accommodate practical scenarios where a single point target may give rise to multiple measurements, the generalized point-target update and the proposed target-type correction factor are applied to update the point-target density parameters and probability in the single-target density of the resulting local hypothesis. For the detection hypothesis associated with the h k | k i -th local hypothesis of the i-th BC, we have r k | k i , h i = 1 . The remaining updated parameters are given by
ζ k | k g , i , h i , l k | k g , i , h i = UpdG ζ k | k 1 g , i , h i , Z k j , ζ k | k p , i , h i , l k | k p , i , h i = UpdP ζ k | k 1 p , i , h i , Z k j , L k | k i , h i , Z k j = L k | k p , i , h i , Z k j + L k | k g , i , h i , Z k j , L k | k p , i , h i , Z k j = ε k | k 1 i , h i p 1 D l k | k p , i , h i , L k | k g , i , h i , Z k j = 1 ε k | k 1 i , h i p 2 D l k | k g , i , h i , w k | k i , h i = w k | k 1 i , h i r k | k 1 i , h i L k | k i , h i , Z k j , ε k | k i , h i = τ k i , h i L k | k p , i , h i , Z k j τ k i , h i L k | k p , i , h i , Z k j + 1 τ k i , h i L k | k g , i , h i , Z k j , τ k i , h i = 0 T γ G γ ; α k | k i , h i , β k | k i , h i d γ .

3.2.3. Implementation Details

As in standard PMBM-based multi-target filters, the number of global and local hypotheses grows rapidly over time, which necessitates approximation strategies for practical implementation. To control computational complexity, global hypotheses with negligible weights are pruned, and the BCs with low existence probabilities are removed. In addition, the BCs with similar state estimates are merged to reduce redundancy, while preserving the PMBM structure.
Before the update step, the measurement set Z k = j = 1 J Z k j is processed using the DBSCAN clustering algorithm [35] to generate candidate measurement partitions. The clustering is performed repeatedly with distance thresholds ranging from T D B m i n to T D B m a x , with a step size of δ T . This procedure yields multiple feasible measurement partitions. Duplicate partitions are removed, and the remaining distinct subsets are used as candidate measurement groupings in the subsequent update step, where the modified PMBM update equations proposed in this work are applied.
After the update, target state estimation is carried out based on the posterior PMBM density. The global hypothesis with the highest weight is selected, and the BCs with existence probabilities exceeding a predefined threshold are retained. For each retained BC, the target type is determined according to the estimated target-type probability. Point targets are estimated using the mean of the associated Gaussian density, while group targets are estimated using the mean parameters of the corresponding GGIW density [23].

3.3. Efficient PMB Approximation

To reduce computational complexity, a Poisson multi-Bernoulli (PMB) approximation of the proposed PMBM posterior is considered. The approximation is applied after each update step, resulting in a PMB filter that retains the Poisson component for undetected targets while replacing the multi-Bernoulli mixture (MBM) with a single multi-Bernoulli (MB) density.
Given the updated PMBM density at time k, the PMB approximation is expressed as
f k | k pmb X k = X u X d = X k f k | k p X u f k | k mb X d ,
where f k | k p ( · ) denotes the PPP density of undetected targets, which remains unchanged, and f k | k mb ( · ) is a multi-Bernoulli density of the form
f k | k mb ( X k ) = i = 1 n k | k X i = X k i = 1 n k | k f k | k i ( X i ) .
Each f k | k i ( · ) is obtained by merging all local hypotheses associated with the i-th BC. The resulting existence probability and the single-target density are given by
r k | k i = h i = 1 H i w ˜ k | k i , h i r k | k i , h i , f k | k i ( x ) = 1 r k | k i h i = 1 H i w ˜ k | k i , h i r k | k i , h i f k | k i , h i ( x ) ,
where the marginal association weight w ˜ k | k i , h i is obtained by summing the weights of all global hypotheses consistent with the local hypothesis a i , i.e.,
w ˜ k | k i , h i = j H k | k : j i = h i w k | k j .
In the proposed framework, each local single-target density f k | k i , h i ( x ) is represented as a mixture of point-target and group-target components. Consequently, the PMB approximation yields a single-target density of the same form,
f k | k i ( x ) = ε k | k i P p x ; ζ k | k p , i + 1 ε k | k i P g x ; ζ k | k g , i ,
where the point-target probability is obtained by
ε k | k i = h i = 1 H i w ˜ k | k i , h i r k | k i , h i ε k | k i , h i r k | k i .
The Gaussian and GGIW parameters are computed via Kullback–Leibler divergence minimization. Specifically, the parameters of the mixture density are obtained by moment matching over the local hypotheses, which is denoted by
ζ k | k p , i = C N ζ k | k p , i , h i , ϖ k p , i , h i h i 1 , , H k | k i , ζ k | k g , i = C G G I W ζ k | k g , i , h i , ϖ k g , i , a i h i 1 , , H k | k i ,
where C N · and C GGIW · denote the fusion functions for Gaussian and GGIW densities, respectively. The detailed equations can be obtained in [33,34]. ϖ k p , i , h i and ϖ k g , i , h i denote the fusion weights
ϖ k p , i , h i w ˜ k | k i , h i r k | k i , h i ε k | k i , h i , ϖ k g , i , a i w ˜ k | k i , h i r k | k i , h i 1 ε k | k i , h i .

3.4. Computational Complexity Analysis

To provide a quantitative characterization of the update complexity, let the measurement set at time k be Z k = { z k 1 , , z k m k } with cardinality m k . The collection of all (possibly empty) measurement subsets has size 2 m k , i.e., one empty subset and 2 m k 1 nonempty subsets. Let the PPP intensity contain N u = n k | k 1 p + n k | k 1 g mixture components, and let the MBM contain n k | k 1 Bernoulli components with a total of N H = i H k | k 1 i local hypotheses across all tracks.
Under the standard PMBM recursion, the update consists of four operations: (i) PPP misdetection update, with complexity O ( N u ) ; (ii) PPP association with nonempty subsets to initialize new Bernoulli components, with complexity O N u ( 2 m k 1 ) ; (iii) misdetection update for all Bernoulli local hypotheses, with complexity O ( N H ) ; and (iv) association-based update of Bernoulli local hypotheses with nonempty subsets, with complexity O N H ( 2 m k 1 ) . Therefore, the dominant update complexity scales with the hypothesis term and the number of nonempty subsets, i.e., O ( N u + N H ) 2 m k .
Compared with the standard PMBM, the proposed spawning-enabled prediction augments the PPP by introducing additional Poisson components: only the maximum-weight local hypothesis of each Bernoulli component triggers spawning, producing one point-target and one group-target PPP component. This results in approximately 2 n k 1 | k 1 additional PPP components and increases the subsequent update cost mainly through the PPP-related terms. Finally, the PMB approximation replaces the MBM by an MB, which effectively reduces the number of maintained local hypotheses per Bernoulli component and thus substantially lowers the hypothesis-related complexity in practice.

4. Simulation and Field Experiment Results

In this section, the proposed modified PMBM filter is evaluated using both simulated and real radar data. The improvements introduced in the previous section, including group-target spawning in prediction and point-target correction in update, are assessed in terms of tracking accuracy and robustness. Simulation results and field experiment results are presented to demonstrate the effectiveness of the proposed method in complex tracking scenarios.

4.1. Simulation Results

A simulation scenario with coexisting point and group targets is constructed, in which group targets are allowed to generate new targets through spawning. This scenario is used to evaluate the proposed PGS-PMBM filter and its efficient implementation, PGS-PMB. For comparison, two mixture-density-based PMBM-type filters in [24], namely PG-PMBM and PG-PMB, are also considered.

4.1.1. Simulation Setups

The simulation is conducted in a two-dimensional space. Both point and group targets follow a nearly constant velocity (CV) motion model given by
F = I 2 1 T s 0 1 , Q = q I 2 T s 3 / 3 T s 2 / 2 T s 2 / 2 T s ,
where T s = 1 s is the sampling interval, q = 0.01 is the process noise intensity, ⊗ denotes the Kronecker product, and I 2 is the 2 × 2 identity matrix. The simulation length is 100 time steps. For group targets, the measurement-rate forgetting factor is set to ρ = 0.99 , the maneuvering correlation constant is τ = 10 , and M = I 2 .
The spawning model parameters are set to F p sp = F g sp = I 4 , Q p sp = Q g sp = 3 Q , and ρ sp = 0.5 . The survival probabilities of point and group targets are P 1 S = P 2 S = 0.99 , and the group spawning probability is P sp = 0.2 . For newborn point targets, the birth parameters are n k b , p = 1 , w k b , p , 1 = 0.05 , and
ζ k b , p , 1 = [ 0 , 0 , 0 , 0 ] T , diag ( 200 2 , 4 2 , 200 2 , 4 2 ) .
For newborn group targets, the birth parameters are n k b , g = 1 , w k b , g , 1 = 0.05 , and
ζ k b , g , 1 = 12 , 1.5 , ζ k b , p , 1 , 10 , 100 I 2 .
The detection probabilities are set to P 1 D = P 2 D = 0.95 . The measurement model is defined by
H 1 = H 2 = 1 0 0 0 0 0 1 0 ,
with measurement noise covariance R = I 2 . Clutter is uniformly distributed over the region [ 500 , 500 ] × [ 500 , 500 ] , with an average rate of λ C = 5 per scan. The DBSCAN distance threshold varies from T D B min = 0.1 m to T D B max = 12 m with a step size of δ T = 0.1 m . The minimum number of points to form a cluster, which is a parameter of the DBSCAN algorithm, is set to 1 to capture point-target measurements. The target-type decision threshold is set to 0.5 , such that a target is classified as a point target when ε > 0.5 . For the point-target probability correction, the upper limit of the integral in τ k i , h i is set to T γ = 2 . All PMBM-based filters share the same parameter settings: the maximum number of global hypotheses is limited to 20, and the pruning thresholds are set to 10 5 for PPP components, 10 3 for BCs, and 10 3 for global hypotheses.
The scenario contains four targets. A group target appears first and spawns one point target during its motion, while two additional point targets are born at different time steps. The detailed information for each target is summarized in Table 1. The true trajectories of targets are illustrated in Figure 2.
A total of 200 Monte Carlo (MC) runs are conducted, each with independent realizations of observation errors. Tracking performance is evaluated using the generalized optimal subpattern assignment (GOSPA) metric [36]. Let { x ¯ k i , X ¯ k i } and { x ^ k j , X ^ k j } denote the true and estimated target sets at time k, respectively. The GOSPA metric is defined as
d p ( c , 2 ) = min θ Θ ( | x ¯ | , | x ^ | ) ( i , j ) θ d GW ( c ) x ¯ k i , X ¯ k i , x ^ k j , X ^ k j p + c p 2 | X ¯ k i | | θ | + | X ^ k j | | θ | 1 / p ,
where Θ ( | x ¯ | , | x ^ | ) is the set of all possible 2-D assignment sets and d GW ( c ) ( · ) = min ( c , d GW 2 ( · ) ) . The Gaussian Wasserstein distance between two targets is given by [37]
d GW 2 = x ¯ k i x ^ k j 2 2 + tr X ¯ k i + X ^ k j 2 X ¯ k i X ^ k j X ¯ k i .
Point targets are treated as extended targets with zero extent. In this work, the parameters are set to c = 10 and p = 2 . The GOSPA metric can be decomposed into localization error and penalties for missed and false targets [36].

4.1.2. Simulation Performance Analysis

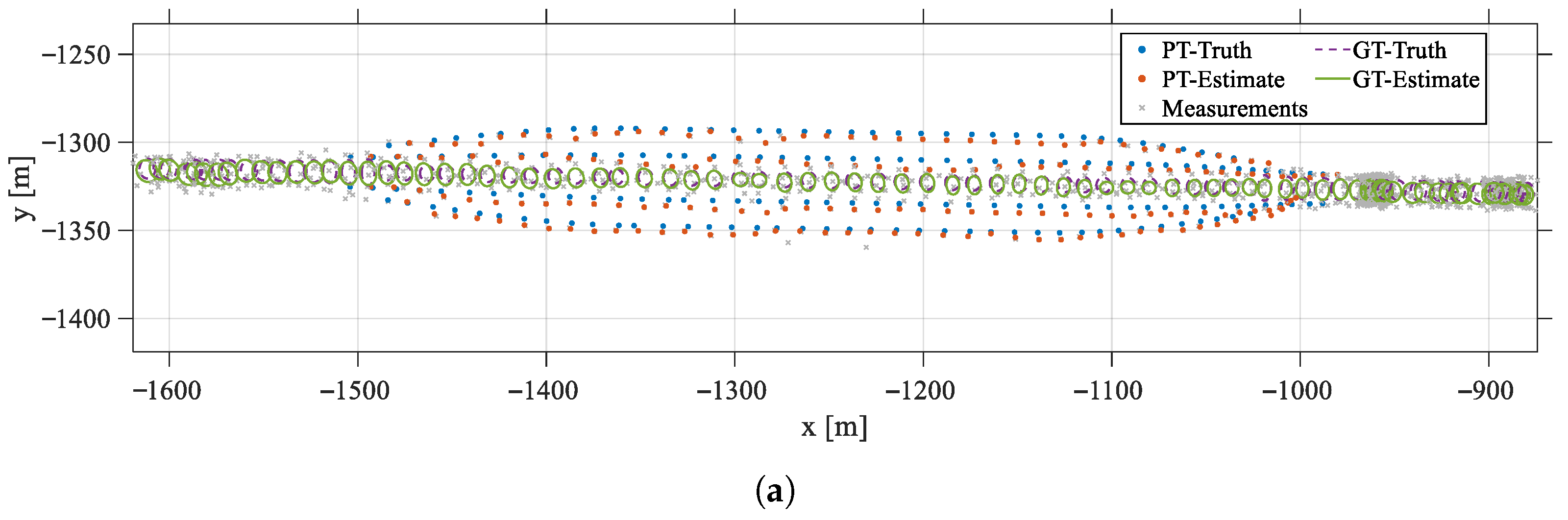
The overall estimation results of the PGS-PMBM and PG-PMBM filters for a selected MC run are shown in Figure 3. In addition, the estimated target cardinalities averaged over 200 MC runs are presented in Figure 4. As illustrated in Figure 3b,e, the proposed method achieves earlier detection of the spawned target. This improvement stems from the fact that conventional PMBM filters treat spawned targets as spontaneous births and rely solely on a uniform PPP birth model, whereas the proposed approach incorporates a group-dependent spawning PPP. Consequently, measurements associated with spawned targets are assigned higher likelihoods, enabling faster confirmation and more reliable cardinality estimation.
Furthermore, the PG-PMBM filter, which adopts the standard point-target measurement model, fails to correctly infer the target type when a point target generates multiple measurements, as shown in Figure 3f. In contrast, the proposed PGS-PMBM filter achieves accurate state and target-type estimation under such nonstandard measurement conditions by employing a generalized update function together with a target-type probability correction factor (see Figure 3c).
The root-mean-square GOSPA (RMS-GOSPA) averaged over 200 MC runs and its decompositions are shown in Figure 5. Overall, the PGS-PMB filter achieves performance comparable to that of the PGS-PMBM filter, indicating that the proposed efficient implementation introduces negligible performance degradation. Both proposed filters consistently outperform the PG-PMBM and PG-PMB filters, demonstrating enhanced robustness in complex scenarios involving group target spawning and nonstandard measurements of point targets.
A spawning event occurs at t = 28 s , where a point target emerges in close proximity to a group target. Since conventional methods do not explicitly model spawning, the spawned target is treated as a uniformly distributed birth and cannot exploit prior information from the parent group. As a result, the newly initialized BC requires several update steps before its weight exceeds the extraction threshold, leading to missed and delayed detections. This behavior is reflected by increased missed-target errors in Figure 5a,d during the interval 28– 40 s .
Moreover, shortly after spawning, the point target remains close to the parent group, causing its measurements to be clustered with those of the group target. Under the standard point-target measurement model, conventional filters tend to misclassify the spawned point target as a group target, resulting in missed point targets and false group detections, as observed in Figure 5c,d during 60– 80 s . Since no point-target correction mechanism is applied in the PG-PMBM and PG-PMB filters, this misclassification persists even after the spawned target separates from the group, leading to increased missed-target, false-alarm, and localization errors (see Figure 5b). In contrast, by explicitly modeling group-dependent spawning and incorporating point-target correction, the proposed filters detect spawned targets earlier and estimate their states and target types more accurately.
Table 2 summarizes the average runtime per MC run over 100 prediction and update steps, along with the RMS-GOSPA errors and the GOSPA decomposition aggregated across all time steps. All methods are evaluated on a standard CPU (Intel Core i9-13900K) without runtime optimization. Bold entries indicate the best performance among the compared algorithms. As shown in Table 2, the PMB-based implementations deliver substantial speedups over their PMBM counterparts with no noticeable degradation in tracking accuracy.

4.1.3. Sensitivity Analysis

The effectiveness of the proposed PMBM filter and its efficient PMB implementation, as well as the corresponding runtime performance, has been thoroughly validated in the previous subsection. To further investigate the robustness of the proposed filter under different scenarios and key parameter settings, this subsection conducts a sensitivity analysis. In particular, we evaluate the impact of the threshold T γ , the group size, and the sensing conditions characterized by the detection probability and clutter rate.
(1) Sensitivity to group size: Following the simulation setup in Section 4.1.1, we vary only the number of individual members within the group target (4, 8, and 12), while keeping all other parameters identical to those in Table 1. The averaged GOSPA score and its decomposition over 200 MC runs are reported in Table 3. The results show that tracking accuracy improves as the group becomes denser, plausibly because a higher measurement rate strengthens the survival/existence support of the corresponding BC and better aligns with spawning scenarios.
(2) Sensitivity to detection probability and clutter rate: Degraded sensing conditions are reflected by a reduced detection probability and an increased clutter rate. Accordingly, we evaluate the proposed filter under four representative settings ( p D , λ c ) , with p D { 0.95 , 0.75 } and λ c { 5 , 10 } , while keeping all other configurations identical to Section 4.1.1. The averaged GOSPA metrics over 200 MC runs are reported in Table 4. As expected, tracking performance deteriorates as p D decreases and/or λ c increases due to reduced measurement quality and greater association ambiguity.
(3) Sensitivity to T γ : Using the same simulation scenario and filter settings as in Section 4.1.1, we vary the threshold T γ { 2 , 3 , 4 } and conduct 200 MC runs for each value. The averaged GOSPA score and its decomposition are summarized in Table 5. Increasing T γ yields a slight improvement in tracking accuracy, since group targets generate substantially more measurements than point targets in this scenario; thus, moderate increases in T γ do not materially affect the group-target weighting, while better accommodating point targets that produce multiple measurements under non-ideal sensing.

4.2. Field Experiment Results

In this subsection, we further evaluate the proposed method using real radar data from a drone swarm experiment. The experimental setup is first described, followed by an analysis of the processing results and a comparison with baseline filters.

4.2.1. Experimental Setup

A drone formation observation experiment was conducted on 5 July 2025. Experimental data were collected using a Ku-band high-resolution phased-array radar, shown in Figure 6a, which works in a track-while-scan (TWS) mode to provide wide-area surveillance. High range resolution is achieved by synthesizing multiple stepped chirp pulses, resulting in an effective bandwidth of approximately 1 GHz and a synthesized beamwidth of about 0 . 6 in elevation and 0 . 5 in azimuth.
In the signal processing chain, static clutter is suppressed prior to target detection. Targets are then detected directly on the high-resolution range profiles (HRRPs) using a CFAR-based detector [38] tailored for dense target scenarios. Specifically, the CFAR detector is applied to the HRRP, with the number of guard cells set to 100 and the number of reference cells set to 200, and the desired false-alarm probability configured as 10 6 . These parameters are optimized for dense-target detection, which helps ensure that individual targets within a group are completely detected. More details of the detector can be found in [39]. Detections from multiple beam positions within each scan are aggregated to form consolidated measurements, which serve as inputs to the proposed tracking filters.
The experiment involved 12 quadrotor drones and lasted approximately 10 min , including takeoff and landing. After ascending to an altitude of 200 m , the drones formed a 3 × 4 rectangular formation with an individual spacing of 5 m and flew northward at a constant speed of 4 m / s . During the flight, the four corner drones gradually moved away from the main formation, creating a temporary expanded configuration, and subsequently returned to their original positions via a symmetric reverse maneuver. After the formation was reestablished, the swarm continued straight-line flight before returning and landing. The field experimental setup and a schematic illustration of the drone formation and flight pattern are shown in Figure 7 and Figure 8, respectively.

4.2.2. Experimental Performance Analysis

Each drone is equipped with a real-time kinematic (RTK) positioning system, which records high-precision target position information. The resulting RTK records are used as ground truth and are plotted together with the measurements obtained by the phased-array radar in Figure 9a. As illustrated in the figure, for the dense rectangular formation, occlusion effects result in missed detections and non-ideal measurements (see Figure 9b). Such non-ideal measurements make it difficult to obtain stable individual tracks. Therefore, the rectangular drone formation is treated as a single group target, and its centroid and extent are tracked. After the four corner drones separate from the formation, they can be detected reliably and are modeled as four point targets. However, due to the multi-beam scanning strategy of the radar system, measurements originating from the same point target may not be fully aggregated, leading to the appearance of multiple measurements corresponding to a single point target, as shown in Figure 9c.
For real-data processing, the surveillance region is defined as [ 1750 , 750 ] × [ 1820 , 820 ] . The average clutter rate per scan is set to λ C = 1 , and new targets are initialized at the scene center. All other filter parameters follow those used in the simulation study.
The estimation results of the proposed filter are shown in Figure 10. By explicitly incorporating a group spawning model, the proposed filter detects the spawned target at an early stage of the spawning event, as illustrated in Figure 10b. Moreover, the use of a generalized point-density update with a measurement-rate-dependent target-type correction enables robust handling of scenarios in which a point target generates multiple measurements. As a result, accurate target-type estimation is maintained even under such conditions, as shown in Figure 10c. In contrast, the conventional methods suffer from delayed detection of spawned targets and frequent target-type misclassification when multiple measurements originate from a single point target, as demonstrated in Figure 11.
Quantitative results are provided to further support these observations. The cardinality estimates for different target types are shown in Figure 12. The results indicate that the proposed method detects spawned targets earlier and yields more accurate target-type estimates throughout the experiment. In addition, Figure 13 presents the GOSPA-based performance metrics of the compared algorithms. These results demonstrate that the proposed method consistently achieves lower overall estimation error, as well as reduced missed-target and false-alarm errors, compared with the conventional approaches.

5. Conclusions

This paper proposes a modified PMBM filter for scenarios with coexisting point and group targets, in which group spawning and point-target correction are explicitly modeled. A group-dependent spawning prediction and a corrected update scheme are derived to improve target detection and type estimation in practical sensing conditions. The effectiveness of the proposed method is validated through both simulation studies and real radar experiments with drone swarm data. Performance comparisons based on target cardinality and GOSPA metrics demonstrate that the proposed filter achieves earlier detection of spawned targets and more accurate state and type estimation than conventional PMBM-based methods. Meanwhile, the simulation results also indicate that the filtering performance may degrade under heavy clutter and low detection probability. Future work will integrate adaptive false-alarm rate and detection-probability estimation into the proposed PMBM framework to enhance robustness in such challenging scenarios.

Author Contributions

Conceptualization, J.Z. and W.L.; methodology, J.Z., Q.J. and W.L.; software, J.Z.; validation, J.Z. and L.J.; experiment, J.Z., Q.J. and L.J.; writing—original draft preparation, J.Z.; writing—review and editing, Q.J., L.J., W.L. and C.H.; funding acquisition, Q.J. and W.L. All authors have read and agreed to the published version of the manuscript.

Funding

This work was funded in part by the National Science and Technology Major Project under Grant 2025ZD1301600, and in part by the National Natural Science Foundation of China under Grants 62501054 and 62427808, and in part by the China Postdoctoral Science Foundation under Grant 2025M784246.

Data Availability Statement

The data that support the results of this work cannot be made publicly accessible because they form part of continuing studies funded by the projects listed above.

Conflicts of Interest

The authors declare no conflicts of interest.

Abbreviations

The following abbreviations are used in this manuscript:
PMBMPoisson multi-Bernoulli mixture
MBMMulti-Bernoulli mixture
PMBPoisson multi-Bernoulli
BCBernoulli component
PPPPoisson point process
GGIWGaussian–gamma–inverse Wishart
KLAKullback–Leibler average
GOSPAGeneralized optimal subpattern assignment
MCMonte Carlo

References

  1. Wang, R.; Zhang, T.; Cui, K.; Yu, T.; Jiang, Q.; Zhang, R.; Li, J.; Hu, C. High-resolution and low blind range waveform for migratory insects’ taking-off and landing behavior observation. Remote Sens. 2022, 14, 3034. [Google Scholar] [CrossRef]
  2. Washburn, B.E.; Maher, D.; Beckerman, S.F.; Majumdar, S.; Pullins, C.K.; Guerrant, T.L. Monitoring raptor movements with satellite telemetry and avian radar systems: An evaluation for synchronicity. Remote Sens. 2022, 14, 2658. [Google Scholar] [CrossRef]
  3. Zhang, Z.; Zhang, T.; Xu, X.; Wang, Z.; Kong, L.; Shi, K.; Pedrycz, W. A complementary heterogeneity-driven adaptive balance search method for cognitive-only particle swarm optimization family. Swarm Evol. Comput. 2026, 100, 102237. [Google Scholar] [CrossRef]
  4. Zhang, Z.; Li, X.; Li, Y.; Zhang, T.; Xia, X.G. Joint Optimization of Node Positions and Transmit States for Distributed MIMO Surveillance in Electronic Countermeasure Environments. IEEE Trans. Aerosp. Electron. Syst. 2026, 1–15. [Google Scholar] [CrossRef]
  5. Bar-Shalom, Y.; Daum, F.; Huang, J. The probabilistic data association filter. IEEE Control Syst. Mag. 2009, 29, 82–100. [Google Scholar]
  6. Blackman, S.S. Multiple hypothesis tracking for multiple target tracking. IEEE Aerosp. Electron. Syst. Mag. 2004, 19, 5–18. [Google Scholar] [CrossRef]
  7. Davey, S.; Gray, D.; Streit, R. Tracking, association, and classification: A combined PMHT approach. Digit. Signal Process. 2002, 12, 372–382. [Google Scholar] [CrossRef]
  8. Mahler, R. Statistical Multisource-Multitarget Information Fusion; Artech House: Norwell, MA, USA, 2007. [Google Scholar]
  9. Mahler, R.P. Multitarget Bayes filtering via first-order multitarget moments. IEEE Trans. Aerosp. Electron. Syst. 2004, 39, 1152–1178. [Google Scholar] [CrossRef]
  10. Zhang, C.; Li, Z.; Zhu, Y.; Luo, Z.; Qin, T. Improved GM-PHD filter with birth intensity and spawned intensity estimation based on trajectory situation feedback control. Remote Sens. 2022, 14, 1683. [Google Scholar] [CrossRef]
  11. Mahler, R. PHD filters of higher order in target number. IEEE Trans. Aerosp. Electron. Syst. 2008, 43, 1523–1543. [Google Scholar] [CrossRef]
  12. Jiang, Q.; Wang, R.; Dou, L.; Jiao, L.; Hu, C. A Gaussian mixture CPHD filter for multi-target tracking in target-dependent false alarms. Remote Sens. 2024, 16, 251. [Google Scholar] [CrossRef]
  13. Vo, B.T.; Vo, B.N.; Cantoni, A. The cardinality balanced multi-target multi-Bernoulli filter and its implementations. IEEE Trans. Signal Process. 2008, 57, 409–423. [Google Scholar]
  14. Reuter, S.; Vo, B.T.; Vo, B.N.; Dietmayer, K. The labeled multi-Bernoulli filter. IEEE Trans. Signal Process. 2014, 62, 3246–3260. [Google Scholar] [CrossRef]
  15. Vo, B.T.; Vo, B.N. Labeled random finite sets and multi-object conjugate priors. IEEE Trans. Signal Process. 2013, 61, 3460–3475. [Google Scholar] [CrossRef]
  16. Williams, J.L. Marginal multi-Bernoulli filters: RFS derivation of MHT, JIPDA, and association-based MeMBer. IEEE Trans. Aerosp. Electron. Syst. 2015, 51, 1664–1687. [Google Scholar] [CrossRef]
  17. Li, G.; Kong, L.; Yi, W.; Li, X. Robust Poisson multi-Bernoulli mixture filter with unknown detection probability. IEEE Trans. Veh. Technol. 2020, 70, 886–899. [Google Scholar] [CrossRef]
  18. Li, G.; Kong, L.; Yi, W.; Li, X. Multiple model Poisson multi-Bernoulli mixture filter for maneuvering targets. IEEE Sens. J. 2020, 21, 3143–3154. [Google Scholar] [CrossRef]
  19. Xie, X.; Wang, Y.; Guo, J.; Zhou, R. The multiple model Poisson multi-Bernoulli mixture filter for extended target tracking. IEEE Sens. J. 2023, 23, 14304–14314. [Google Scholar] [CrossRef]
  20. Li, G.; Li, G.; He, Y. PMBM-based unresolved-group object tracking. IEEE Trans. Aerosp. Electron. Syst. 2024, 60, 4229–4240. [Google Scholar] [CrossRef]
  21. García-Fernández, Á.F.; Svensson, L. Tracking multiple spawning targets using Poisson multi-Bernoulli mixtures on sets of tree trajectories. IEEE Trans. Signal Process. 2022, 70, 1987–1999. [Google Scholar] [CrossRef]
  22. García-Fernández, Á.F.; Williams, J.L.; Granström, K.; Svensson, L. Poisson multi-Bernoulli mixture filter: Direct derivation and implementation. IEEE Trans. Aerosp. Electron. Syst. 2018, 54, 1883–1901. [Google Scholar] [CrossRef]
  23. Granström, K.; Fatemi, M.; Svensson, L. Poisson multi-Bernoulli mixture conjugate prior for multiple extended target filtering. IEEE Trans. Aerosp. Electron. Syst. 2019, 56, 208–225. [Google Scholar] [CrossRef]
  24. García-Fernández, Á.F.; Williams, J.L.; Svensson, L.; Xia, Y. A Poisson multi-Bernoulli mixture filter for coexisting point and extended targets. IEEE Trans. Signal Process. 2021, 69, 2600–2610. [Google Scholar] [CrossRef]
  25. Tang, X.; Li, M.; Tharmarasa, R.; Kirubarajan, T. Seamless tracking of apparent point and extended targets using Gaussian process PMHT. IEEE Trans. Signal Process. 2019, 67, 4825–4838. [Google Scholar] [CrossRef]
  26. Xue, X.; Wei, D.; Huang, S. PETC-EM-PMBM Filter for Tracking Point and Extended Targets with Type Conversion. IEEE Trans. Aerosp. Electron. Syst. 2025, 61, 2235–2249. [Google Scholar] [CrossRef]
  27. Li, Y.; Cui, L.; Ma, J.; Luo, Z. An adaptive multi-Bernoulli filter for coexisting point target and extended target tracking with unknown detection probability. IEEE Access 2025, 13, 84593–84606. [Google Scholar] [CrossRef]
  28. Wei, S.; García-Fernández, Á.F.; Yi, W. The trajectory PHD filter for coexisting point and extended target tracking. IEEE Trans. Aerosp. Electron. Syst. 2025, 61, 5669–5685. [Google Scholar] [CrossRef]
  29. Jia, L.; Wu, S.; Xue, Q.; Zou, H.; Wang, W.; Xu, J.; Liu, J. TPMBM filtering algorithm with adaptive unknown detection probability for joint point and extended target tracking. Digit. Signal Process. 2025, 169, 105698. [Google Scholar] [CrossRef]
  30. Zhang, J.; Hu, C.; Wang, R.; Jiang, Q.; Shi, M.; Xu, L.; Tian, W. An Adaptive Multivariate Approach to Dynamic Group Target Tracking Using Variational Inference. IEEE Trans. Aerosp. Electron. Syst. 2025, 61, 17584–17606. [Google Scholar] [CrossRef]
  31. Zhang, J.; Hu, C.; Wang, R.; Cai, J.; Jiang, Q.; Tian, W. Multiple-Model Tracking of Dynamic Formations Using Group Structure Maneuver Models with Subobject Splitting and Merging. IEEE Trans. Aerosp. Electron. Syst. 2025, 61, 17546–17566. [Google Scholar] [CrossRef]
  32. Jiang, Q.; Wang, R.; Ni, N.; Dou, L.; Hu, C. A Gaussian mixture PHD filter for multitarget tracking in target-dependent false alarms. IEEE Trans. Aerosp. Electron. Syst. 2024, 60, 4808–4824. [Google Scholar] [CrossRef]
  33. Granström, K.; Orguner, U. Estimation and maintenance of measurement rates for multiple extended target tracking. In Proceedings of the 15th International Conference on Information Fusion, Singapore, 9–12 July 2012; pp. 2170–2176. [Google Scholar]
  34. Granström, K.; Orguner, U. On the reduction of Gaussian inverse Wishart mixtures. In Proceedings of the 15th International Conference on Information Fusion; IEEE: New York, NY, USA, 2012; pp. 2162–2169. [Google Scholar]
  35. Gholizadeh, N.; Saadatfar, H.; Hanafi, N. K-DBSCAN: An improved DBSCAN algorithm for big data. J. Supercomput. 2021, 77, 6214–6235. [Google Scholar] [CrossRef]
  36. Rahmathullah, A.S.; García-Fernández, Á.F.; Svensson, L. Generalized optimal sub-pattern assignment metric. In Proceedings of the 20th International Conference on Information Fusion (Fusion), Xi’an, China, 10–13 July 2017; pp. 1–8. [Google Scholar]
  37. Yang, S.; Baum, M.; Granström, K. Metrics for performance evaluation of elliptic extended object tracking methods. In Proceedings of the 2016 IEEE International Conference on Multisensor Fusion and Integration for Intelligent Systems (MFI), Baden-Baden, Germany, 19–21 September 2016; pp. 523–528. [Google Scholar]
  38. Wang, R.; Cai, J.; Hu, C.; Zhou, C.; Zhang, T. A Novel Radar Detection Method for Sensing Tiny and Maneuvering Insect Migrants. Remote Sens. 2020, 12, 3238. [Google Scholar] [CrossRef]
  39. Hu, C.; Yan, Y.; Wang, R.; Jiang, Q.; Cai, J.; Li, W. High-resolution, multi-frequency and full-polarization radar database of small and group targets in clutter environment. Sci. China Inf. Sci. 2023, 66, 227301. [Google Scholar] [CrossRef]
Figure 1. Schematic diagram of the proposed algorithm.
Figure 1. Schematic diagram of the proposed algorithm.
Remotesensing 18 00769 g001
Figure 2. Simulated trajectories in a mixed point–group target scenario. Different targets are shown using distinct colors. Group centroids and point-target positions are plotted every 5 s to enhance visual clarity. Group extents are represented by ellipses scaled to six times the ground truth and displayed at the same interval. The lifespan of each target is annotated at the start of its trajectory. Target 4 is spawned from Target 1 at 28 s.
Figure 2. Simulated trajectories in a mixed point–group target scenario. Different targets are shown using distinct colors. Group centroids and point-target positions are plotted every 5 s to enhance visual clarity. Group extents are represented by ellipses scaled to six times the ground truth and displayed at the same interval. The lifespan of each target is annotated at the start of its trajectory. Target 4 is spawned from Target 1 at 28 s.
Remotesensing 18 00769 g002
Figure 3. Multi-target filtering results in a single MC run. (a) PGS-PMBM: Overall view. (b) PGS-PMBM: Local region I. (c) PGS-PMBM: Local region II. (d) PG-PMBM: Overall view. (e) PG-PMBM: Local region I. (f) PG-PMBM: Local region II.
Figure 3. Multi-target filtering results in a single MC run. (a) PGS-PMBM: Overall view. (b) PGS-PMBM: Local region I. (c) PGS-PMBM: Local region II. (d) PG-PMBM: Overall view. (e) PG-PMBM: Local region I. (f) PG-PMBM: Local region II.
Remotesensing 18 00769 g003
Figure 4. Cardinality estimates obtained from 200 MC runs. Curves with different colors denote the mean cardinality estimates, while the corresponding shaded regions indicate one standard deviation. (a) PGS-PMBM vs. PG-PMBM. (b) PGS-PMB vs. PG-PMB.
Figure 4. Cardinality estimates obtained from 200 MC runs. Curves with different colors denote the mean cardinality estimates, while the corresponding shaded regions indicate one standard deviation. (a) PGS-PMBM vs. PG-PMBM. (b) PGS-PMB vs. PG-PMB.
Remotesensing 18 00769 g004
Figure 5. RMS-GOSPA error (m) averaged over 200 MC runs and its decomposition. (a) Total RMS-GOSPA error. (b) Localization error. (c) Missed-target error. (d) False-alarm error.
Figure 5. RMS-GOSPA error (m) averaged over 200 MC runs and its decomposition. (a) Total RMS-GOSPA error. (b) Localization error. (c) Missed-target error. (d) False-alarm error.
Remotesensing 18 00769 g005
Figure 6. Experimental equipment used in the field experiment. (a) Phased-array radar with radome. (b) Photoelectric pod.
Figure 6. Experimental equipment used in the field experiment. (a) Phased-array radar with radome. (b) Photoelectric pod.
Remotesensing 18 00769 g006
Figure 7. Field experiment site. (a) Twelve drones before taking off. (b) Optical Image of a rectangular drone formation captured by a photoelectric pod.
Figure 7. Field experiment site. (a) Twelve drones before taking off. (b) Optical Image of a rectangular drone formation captured by a photoelectric pod.
Remotesensing 18 00769 g007
Figure 8. Illustration of different drone formation configurations in the field experiment.
Figure 8. Illustration of different drone formation configurations in the field experiment.
Remotesensing 18 00769 g008
Figure 9. Illustration of drone measurements observed by the radar. (a) Overall measurements and ground truth. (b) Detection results of the 6th scan. (c) Detection results of the 49th scan.
Figure 9. Illustration of drone measurements observed by the radar. (a) Overall measurements and ground truth. (b) Detection results of the 6th scan. (c) Detection results of the 49th scan.
Remotesensing 18 00769 g009
Figure 10. Estimation results of real radar data using the proposed PGS-PMBM filter. (a) PGS-PMBM: Overall estimation results. (b) PGS-PMBM: Estimation results of 15–20 scans. (c) PGS-PMBM: Estimation results of 48–50 scans.
Figure 10. Estimation results of real radar data using the proposed PGS-PMBM filter. (a) PGS-PMBM: Overall estimation results. (b) PGS-PMBM: Estimation results of 15–20 scans. (c) PGS-PMBM: Estimation results of 48–50 scans.
Remotesensing 18 00769 g010aRemotesensing 18 00769 g010b
Figure 11. Estimation results of real radar data using the traditional PG-PMBM filter. (a) PG-PMBM: Overall estimation results. (b) PG-PMBM: Estimation results of 15–20 scans. (c) PG-PMBM: Estimation results of 48–50 scans.
Figure 11. Estimation results of real radar data using the traditional PG-PMBM filter. (a) PG-PMBM: Overall estimation results. (b) PG-PMBM: Estimation results of 15–20 scans. (c) PG-PMBM: Estimation results of 48–50 scans.
Remotesensing 18 00769 g011
Figure 12. Cardinality estimates of the real data.
Figure 12. Cardinality estimates of the real data.
Remotesensing 18 00769 g012
Figure 13. GOSPA error (m) of the real data and its decomposition. (a) Total GOSPA error. (b) Localization error. (c) Missed-target error. (d) False-alarm error.
Figure 13. GOSPA error (m) of the real data and its decomposition. (a) Total GOSPA error. (b) Localization error. (c) Missed-target error. (d) False-alarm error.
Remotesensing 18 00769 g013
Table 1. Target states for simulation scenario.
Table 1. Target states for simulation scenario.
TargetTypeBirth TimeDeath TimeInitial State
1GT1 s100 s γ ¯ = 8 , x ¯ c = 400 , 8 , 400 , 8 T , X ¯ = 12.5 3.5 3.5 12.5
2PT14 s56 s x ¯ = 200 , 9.5 , 100 , 11.9 T
3PT42 s84 s x ¯ = 400 , 16.7 , 0 , 9.5 T
4PT*28 s70 s x ¯ = 176 , 192 , 8.6 , 7.2 T
PT* denotes point targets spawned from a group target, while PT denotes spontaneously born point targets. The symbol x ¯ represents the ground truth of the random variable x.
Table 2. Performance comparison in terms of GOSPA decomposition and runtime.
Table 2. Performance comparison in terms of GOSPA decomposition and runtime.
AlgorithmTol.Loc.Fal.Mis.Time
PGS-PMBM3.61681.86861.63482.63012.0269
PGS-PMB3.58281.85181.55962.64101.5864
PG-PMBM3.87011.87501.62402.97071.9462
PG-PMB3.84291.87881.58752.95251.5143
Tot., Loc., Fal. and Mis. refer to total GOSPA, localisation, false target and missed target costs, respectively. Time denotes the average runtime (in seconds) for a single Monte Carlo run with 100 time steps.
Table 3. Performance comparison under different group sizes.
Table 3. Performance comparison under different group sizes.
SizePGS-PMBMPGS-PMBPG-PMBMPG-PMB
Tot. Loc. Fal. Mis. Time Tot. Loc. Fal. Mis. Time Tot. Loc. Fal. Mis. Time Tot. Loc. Fal. Mis. Time
44.112.142.042.851.813.972.091.952.761.234.312.121.973.191.504.252.141.913.141.14
83.621.871.632.632.033.581.851.562.641.593.871.881.622.971.953.841.881.592.951.51
123.441.681.502.592.533.411.671.472.582.023.911.791.733.012.483.831.781.662.971.91
Tot., Loc., Fal. and Mis. refer to total GOSPA, localisation, false-target and missed-target costs, respectively. Time denotes the average runtime (in seconds) for a single MC run with 100 time steps. Size denotes the number of individual members within the group target.
Table 4. Performance comparison under different detection rates and false-alarm rates.
Table 4. Performance comparison under different detection rates and false-alarm rates.
p D λ c PGS-PMBMPGS-PMBPG-PMBMPG-PMB
Tot. Loc. Fal. Mis. Time Tot. Loc. Fal. Mis. Time Tot. Loc. Fal. Mis. Time Tot. Loc. Fal. Mis. Time
0.9553.621.871.632.632.033.581.851.562.641.593.871.881.622.971.953.841.881.592.951.51
0.7554.532.032.373.292.144.452.002.313.241.544.702.032.353.532.064.602.032.323.421.47
0.95104.251.891.693.412.494.171.871.643.341.894.842.062.063.872.434.702.051.983.741.78
0.75105.272.022.424.222.725.082.002.414.011.895.572.042.614.482.685.322.052.514.221.77
p D and λ c denote the detection probability and the clutter (false-alarm) rate, respectively. Tot., Loc., Fal. and Mis. refer to total GOSPA, localisation, false-target and missed-target costs, respectively. Time denotes the average runtime (in seconds) for a single MC run with 100 time steps.
Table 5. Performance comparison under different T γ settings.
Table 5. Performance comparison under different T γ settings.
T γ PGS-PMBMPGS-PMB
Tot. Loc. Fal. Mis. Time Tot. Loc. Fal. Mis. Time
23.621.871.632.632.033.581.851.562.641.59
33.571.841.562.632.073.551.841.542.621.62
43.571.841.552.632.073.551.841.542.621.62
Tot., Loc., Fal. and Mis. refer to total GOSPA, localisation, false-target and missed-target costs, respectively. Time denotes the average runtime (in seconds) for a single MC run with 100 time steps.
Disclaimer/Publisher’s Note: The statements, opinions and data contained in all publications are solely those of the individual author(s) and contributor(s) and not of MDPI and/or the editor(s). MDPI and/or the editor(s) disclaim responsibility for any injury to people or property resulting from any ideas, methods, instructions or products referred to in the content.

Share and Cite

MDPI and ACS Style

Zhang, J.; Jiang, Q.; Jiao, L.; Li, W.; Hu, C. A PMBM Filter for Tracking Coexisting Point and Group Targets with Target Spawning and Generalized Measurement Models. Remote Sens. 2026, 18, 769. https://doi.org/10.3390/rs18050769

AMA Style

Zhang J, Jiang Q, Jiao L, Li W, Hu C. A PMBM Filter for Tracking Coexisting Point and Group Targets with Target Spawning and Generalized Measurement Models. Remote Sensing. 2026; 18(5):769. https://doi.org/10.3390/rs18050769

Chicago/Turabian Style

Zhang, Jichuan, Qi Jiang, Longxiang Jiao, Weidong Li, and Cheng Hu. 2026. "A PMBM Filter for Tracking Coexisting Point and Group Targets with Target Spawning and Generalized Measurement Models" Remote Sensing 18, no. 5: 769. https://doi.org/10.3390/rs18050769

APA Style

Zhang, J., Jiang, Q., Jiao, L., Li, W., & Hu, C. (2026). A PMBM Filter for Tracking Coexisting Point and Group Targets with Target Spawning and Generalized Measurement Models. Remote Sensing, 18(5), 769. https://doi.org/10.3390/rs18050769

Note that from the first issue of 2016, this journal uses article numbers instead of page numbers. See further details here.

Article Metrics

Back to TopTop