Unsupervised Hyperspectral Image Denoising via Spectral Learning Preference of Neural Networks
Highlights
- An unsupervised hyperspectral image denoising framework is proposed that exploits the inherent spectral learning preference of deep neural networks.
- An adaptive early stopping strategy is designed to align with this learning behavior, enabling the model to fit only clean spectral signals, prevent overfitting to noise and significantly improving denoising performance.
- Without requiring clean reference data, the proposed approach provides a practical solution for real-world scenarios where noise-free hyperspectral observations are unavailable.
- By leveraging intrinsic network priors rather than explicit noise modeling, the method offers strong adaptability across different noise types. This suggests a promising direction for robust and label-free hyperspectral image restoration.
Abstract
1. Introduction
1.1. Related Work
1.2. Contributions
- Existing HSI denoising networks typically rely on large amounts of high-quality paired noisy–clean images, which are difficult to obtain in practice. To overcome this limitation, we propose an unsupervised denoising method that requires no clean images and optimizes network parameters to automatically learn spectral priors from a single noisy image, addressing the issue of insufficient training data.
- We observe that deep networks tend to first fit smooth spectral features before addressing the noise. Based on this observation, we introduce an adaptive early stopping strategy, which leverages the network’s prior preference to fit only clean spectral signals, preventing overfitting to noise and significantly improving denoising performance.
- Our work is addressing the limitations of traditional denoising networks in generalizing to complex noise types. By modeling the intrinsic structure of the data, our approach enhances the network’s adaptability to various noise types, such as Gaussian, stripe noise, impulse noise, and deadlines. This significantly improves the robustness and stability of the denoising process, making it more effective in real-world scenarios.
2. Methodology
2.1. Problem Formulation
2.2. Network Learning Preference for HSI Denoising
2.3. Why Deep Image Prior Works Better in the Spectral Domain
2.4. Adaptive Early Stopping Strategy
| Algorithm 1 HyDePre: Hyperspectral Image Denoising via Spectral Learning Preference |
| Require: Observation ; randomly initialized parameters ; iteration counter ; ; threshold ; and starting epoch |
| Ensure: Reconstruction |
| 1: while not stopped do |
| 2: Update via (3) to obtain . |
| 3: Reconstruct . |
| 4: Compute for via (12). |
| 5: Compute for via (13). |
| 6: if and then |
| 7: return . |
| 8: end if |
| 9: |
| 10: end while |
2.5. Comparative Analysis of Deep 1D Spectral Prior and DIP
3. Experiments on Simulated Images
3.1. Noise Simulation
3.2. Network Architecture and Training Configuration
3.3. Comparisons and Evaluation Metrics
3.4. Experimental Results
3.5. Effectiveness of the Proposed Early Stopping Strategy
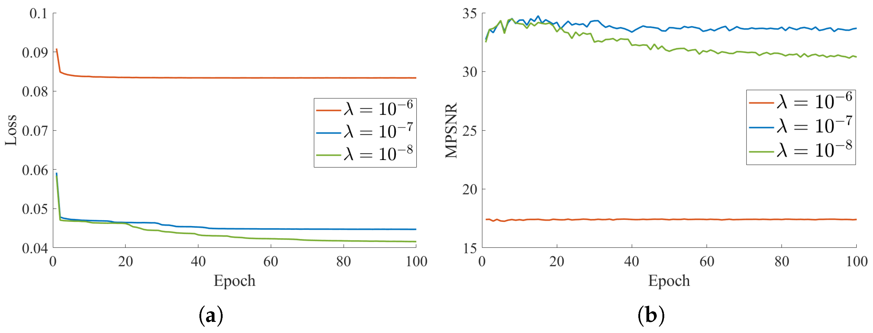
3.6. Sensitivity Analysis of the Regularization Coefficient
3.7. Ablation Experiments
4. Experiments on Real Images
4.1. Mars Image
4.2. Hyperion Cuprite Image
5. Discussion
Analysis of the Adaptive Early Stopping Strategy
6. Conclusions
Author Contributions
Funding
Data Availability Statement
Conflicts of Interest
References
- Li, J.; Pei, Y.; Zhao, S.; Xiao, R.; Sang, X.; Zhang, C. A review of remote sensing for environmental monitoring in China. Remote Sens. 2020, 12, 1130. [Google Scholar] [CrossRef]
- Peng, J.; Wang, H.; Cao, X.; Zhao, Q.; Yao, J.; Zhang, H.; Meng, D. Learnable representative coefficient image denoiser for hyperspectral image. IEEE Trans. Geosci. Remote Sens. 2024, 62, 5506516. [Google Scholar] [CrossRef]
- Dabov, K.; Foi, A.; Katkovnik, V.; Egiazarian, K. Image denoising by sparse 3-D transform-domain collaborative filtering. IEEE Trans. Image Process. 2007, 16, 2080–2095. [Google Scholar] [CrossRef]
- Zhang, H.; He, W.; Zhang, L.; Shen, H.; Yuan, Q. Hyperspectral image restoration using low-rank matrix recovery. IEEE Trans. Geosci. Remote Sens. 2013, 52, 4729–4743. [Google Scholar] [CrossRef]
- Sun, J.; Mao, C.; Yang, Y.; Wang, S.; Xu, S. Hyperspectral Image Denoising Based on Non-Convex Correlated Total Variation. Remote Sens. 2025, 17, 2024. [Google Scholar] [CrossRef]
- Peng, J.; Xie, Q.; Zhao, Q.; Wang, Y.; Yee, L.; Meng, D. Enhanced 3DTV regularization and its applications on HSI denoising and compressed sensing. IEEE Trans. Image Process. 2020, 29, 7889–7903. [Google Scholar] [CrossRef]
- He, W.; Zhang, H.; Zhang, L.; Shen, H. Total-variation-regularized low-rank matrix factorization for hyperspectral image restoration. IEEE Trans. Geosci. Remote Sens. 2015, 54, 178–188. [Google Scholar] [CrossRef]
- Peng, J.; Wang, Y.; Zhang, H.; Wang, J.; Meng, D. Exact decomposition of joint low rankness and local smoothness plus sparse matrices. IEEE Trans. Pattern Anal. Mach. Intell. 2022, 45, 5766–5781. [Google Scholar] [CrossRef]
- Peng, J.; Wang, H.; Cao, X.; Liu, X.; Rui, X.; Meng, D. Fast noise removal in hyperspectral images via representative coefficient total variation. IEEE Trans. Geosci. Remote Sens. 2022, 60, 5546017. [Google Scholar] [CrossRef]
- Wang, Y.; Peng, J.; Zhao, Q.; Leung, Y.; Zhao, X.L.; Meng, D. Hyperspectral image restoration via total variation regularized low-rank tensor decomposition. IEEE J. Sel. Top. Appl. Earth Obs. Remote Sens. 2017, 11, 1227–1243. [Google Scholar] [CrossRef]
- Zeng, H.; Huang, S.; Chen, Y.; Luong, H.; Philips, W. All of low-rank and sparse: A recast total variation approach to hyperspectral denoising. IEEE J. Sel. Top. Appl. Earth Obs. Remote Sens. 2023, 16, 7357–7373. [Google Scholar] [CrossRef]
- Maggioni, M.; Katkovnik, V.; Egiazarian, K.; Foi, A. Nonlocal transform-domain filter for volumetric data denoising and reconstruction. IEEE Trans. Image Process. 2012, 22, 119–133. [Google Scholar] [CrossRef]
- Maggioni, M.; Boracchi, G.; Foi, A.; Egiazarian, K. Video denoising, deblocking, and enhancement through separable 4-D nonlocal spatiotemporal transforms. IEEE Trans. Image Process. 2012, 21, 3952–3966. [Google Scholar] [CrossRef]
- Wang, S.; Zhang, L.; Liang, Y. Nonlocal spectral prior model for low-level vision. In Asian Conference on Computer Vision (ACCV 2012); Springer: Berlin/Heidelberg, Germany, 2012; pp. 231–244. [Google Scholar] [CrossRef]
- Zhuang, L.; Fu, X.; Ng, M.K.; Bioucas-Dias, J.M. Hyperspectral image denoising based on global and nonlocal low-rank factorizations. IEEE Trans. Geosci. Remote Sens. 2021, 59, 10438–10454. [Google Scholar] [CrossRef]
- Zheng, Y.B.; Huang, T.Z.; Zhao, X.L.; Chen, Y.; He, W. Double-factor-regularized low-rank tensor factorization for mixed noise removal in hyperspectral image. IEEE Trans. Geosci. Remote Sens. 2020, 58, 8450–8464. [Google Scholar] [CrossRef]
- Zhuang, L.; Bioucas-Dias, J.M. Fast hyperspectral image denoising and inpainting based on low-rank and sparse representations. IEEE J. Sel. Top. Appl. Earth Obs. Remote Sens. 2018, 11, 730–742. [Google Scholar] [CrossRef]
- Xie, T.; Li, S.; Sun, B. Hyperspectral images denoising via nonconvex regularized low-rank and sparse matrix decomposition. IEEE Trans. Image Process. 2019, 29, 44–56. [Google Scholar] [CrossRef] [PubMed]
- Xie, Q.; Zhao, Q.; Meng, D.; Xu, Z. Kronecker-basis-representation based tensor sparsity and its applications to tensor recovery. IEEE Trans. Pattern Anal. Mach. Intell. 2017, 40, 1888–1902. [Google Scholar] [CrossRef]
- Yuan, Q.; Zhang, Q.; Li, J.; Shen, H.; Zhang, L. Hyperspectral image denoising employing a spatial–spectral deep residual convolutional neural network. IEEE Trans. Geosci. Remote Sens. 2018, 57, 1205–1218. [Google Scholar] [CrossRef]
- Zhang, Q.; Yuan, Q.; Li, J.; Liu, X.; Shen, H.; Zhang, L. Hybrid Noise Removal in Hyperspectral Imagery With a Spatial–Spectral Gradient Network. IEEE Trans. Geosci. Remote Sens. 2019, 57, 7317–7329. [Google Scholar] [CrossRef]
- Chang, Y.; Yan, L.; Fang, H.; Zhong, S.; Liao, W. HSI-DeNet: Hyperspectral Image Restoration via Convolutional Neural Network. IEEE Trans. Geosci. Remote Sens. 2019, 57, 667–682. [Google Scholar] [CrossRef]
- Liu, W.; Lee, J. A 3-D atrous convolution neural network for hyperspectral image denoising. IEEE Trans. Geosci. Remote Sens. 2019, 57, 5701–5715. [Google Scholar] [CrossRef]
- Wei, K.; Fu, Y.; Huang, H. 3-D quasi-recurrent neural network for hyperspectral image denoising. IEEE Trans. Neural Netw. Learn. Syst. 2020, 32, 363–375. [Google Scholar] [CrossRef]
- Xiong, F.; Zhou, J.; Zhao, Q.; Lu, J.; Qian, Y. MAC-Net: Model-aided nonlocal neural network for hyperspectral image denoising. IEEE Trans. Geosci. Remote Sens. 2021, 60, 5519414. [Google Scholar] [CrossRef]
- Bodrito, T.; Zouaoui, A.; Chanussot, J.; Mairal, J. A trainable spectral-spatial sparse coding model for hyperspectral image restoration. Adv. Neural Inf. Process. Syst. 2021, 34, 5430–5442. [Google Scholar]
- Chen, H.; Yang, G.; Zhang, H. Hider: A hyperspectral image denoising transformer with spatial–spectral constraints for hybrid noise removal. IEEE Trans. Neural Netw. Learn. Syst. 2022, 35, 8797–8811. [Google Scholar] [CrossRef]
- Pang, L.; Gu, W.; Cao, X. TRQ3DNet: A 3D quasi-recurrent and transformer based network for hyperspectral image denoising. Remote Sens. 2022, 14, 4598. [Google Scholar] [CrossRef]
- Li, M.; Fu, Y.; Zhang, Y. Spatial-spectral transformer for hyperspectral image denoising. In Proceedings of the AAAI Conference on Artificial Intelligence (AAAI 2023), Washington, DC, USA, 7–14 February 2023; Volume 37, pp. 1368–1376. [Google Scholar] [CrossRef]
- Lai, Z.; Yan, C.; Fu, Y. Hybrid spectral denoising transformer with guided attention. In Proceedings of the IEEE/CVF International Conference on Computer Vision (ICCV 2023), Paris, France, 1–6 October 2023; pp. 13065–13075. [Google Scholar] [CrossRef]
- Li, M.; Liu, J.; Fu, Y.; Zhang, Y.; Dou, D. Spectral enhanced rectangle transformer for hyperspectral image denoising. In Proceedings of the IEEE/CVF Conference on Computer Vision and Pattern Recognition (CVPR 2023), Vancouver, BC, Canada, 18–22 June 2023; pp. 5805–5814. [Google Scholar] [CrossRef]
- Fu, G.; Xiong, F.; Lu, J.; Zhou, J. SSUMamba: Spatial-spectral selective state space model for hyperspectral image denoising. IEEE Trans. Geosci. Remote Sens. 2024, 62, 5527714. [Google Scholar] [CrossRef]
- Wu, Y.; Liu, D.; Zhang, J. SS3L: Self-Supervised Spectral–Spatial Subspace Learning for Hyperspectral Image Denoising. Remote Sens. 2025, 17, 3348. [Google Scholar] [CrossRef]
- Sidorov, O.; Yngve Hardeberg, J. Deep hyperspectral prior: Single-image denoising, inpainting, super-resolution. In Proceedings of the IEEE/CVF International Conference on Computer Vision Workshops (ICCVW 2019), Seoul, Republic of Korea, 27 October–2 November 2019; pp. 3844–3851. [Google Scholar] [CrossRef]
- Zhu, H.; Ye, M.; Qiu, Y.; Qian, Y. Self-supervised learning hyperspectral image denoiser with separated spectral-spatial feature extraction. In Proceedings of the IGARSS 2022-2022 IEEE International Geoscience and Remote Sensing Symposium, Kuala Lumpur, Malaysia, 17–22 July 2022; IEEE: New York, NY, USA, 2022; pp. 1748–1751. [Google Scholar] [CrossRef]
- Zhuang, L.; Ng, M.K.; Gao, L.; Michalski, J.; Wang, Z. Eigenimage2Eigenimage (E2E): A self-supervised deep learning network for hyperspectral image denoising. IEEE Trans. Neural Netw. Learn. Syst. 2024, 35, 16262–16276. [Google Scholar] [CrossRef] [PubMed]
- Luo, Y.; Zhao, X.; Meng, D.; Jiang, T. HLRTF: Hierarchical Low-Rank Tensor Factorization for Inverse Problems in Multi-Dimensional Imaging. In Proceedings of the 2022 IEEE/CVF Conference on Computer Vision and Pattern Recognition (CVPR 2022), New Orleans, LA, USA, 19–24 June 2022; pp. 19281–19290. [Google Scholar] [CrossRef]
- Miao, Y.; Zhang, L.; Zhang, L.; Tao, D. Dds2m: Self-supervised denoising diffusion spatio-spectral model for hyperspectral image restoration. In Proceedings of the IEEE/CVF International Conference on Computer Vision (ICCV 2023), Paris, France, 1–6 October 2023; pp. 12086–12096. [Google Scholar] [CrossRef]
- Luo, Y.; Zhao, X.; Li, Z.; Ng, M.K.; Meng, D. Low-Rank Tensor Function Representation for Multi-Dimensional Data Recovery. IEEE Trans. Pattern Anal. Mach. Intell. 2024, 46, 3351–3369. [Google Scholar] [CrossRef]
- Pang, L.; Rui, X.; Cui, L.; Wang, H.; Meng, D.; Cao, X. HIR-Diff: Unsupervised hyperspectral image restoration via improved diffusion models. In Proceedings of the IEEE/CVF Conference on Computer Vision and Pattern Recognition (CVPR 2024), Seattle, WA, USA, 17–21 June 2024; pp. 3005–3014. [Google Scholar] [CrossRef]
- Saragadam, V.; Balestriero, R.; Veeraraghavan, A.; Baraniuk, R.G. DeepTensor: Low-rank tensor decomposition with deep network priors. IEEE Trans. Pattern Anal. Mach. Intell. 2024, 46, 10337–10348. [Google Scholar] [CrossRef]
- Zhuang, L.; Ng, M.K.; Gao, L.; Wang, Z. Eigen-CNN: Eigenimages plus eigennoise level maps guided network for hyperspectral image denoising. IEEE Trans. Geosci. Remote Sens. 2024, 62, 5512018. [Google Scholar] [CrossRef]
- Gao, L.; Wang, D.; Zhuang, L.; Sun, X.; Huang, M.; Plaza, A. BS3LNet: A new blind-spot self-supervised learning network for hyperspectral anomaly detection. IEEE Trans. Geosci. Remote Sens. 2023, 61, 5504218. [Google Scholar] [CrossRef]
- Ulyanov, D.; Vedaldi, A.; Lempitsky, V. Deep image prior. In Proceedings of the IEEE Conference on Computer Vision and Pattern Recognition (CVPR 2018), Salt Lake City, UT, USA, 18–22 June 2018; pp. 9446–9454. [Google Scholar]
- Lehtinen, J.; Munkberg, J.; Hasselgren, J.; Laine, S.; Karras, T.; Aittala, M.; Aila, T. Noise2Noise: Learning Image Restoration without Clean Data. In Proceedings of the 35th International Conference on Machine Learning (PMLR 2018), Stockholm, Sweden, 10–15 July 2018; Dy, J., Krause, A., Eds.; Stockholmsmässan: Stockholm, Sweden, 2018; Volume 80, pp. 2965–2974. [Google Scholar]
- Wang, D.; Zhuang, L.; Gao, L.; Sun, X.; Huang, M.; Plaza, A. BockNet: Blind-Block Reconstruction Network With a Guard Window for Hyperspectral Anomaly Detection. IEEE Trans. Geosci. Remote Sens. 2023, 61, 5531916. [Google Scholar] [CrossRef]
- Miao, Y.C.; Zhao, X.L.; Fu, X.; Wang, J.L.; Zheng, Y.B. Hyperspectral Denoising Using Unsupervised Disentangled Spatiospectral Deep Priors. IEEE Trans. Geosci. Remote Sens. 2022, 60, 5513916. [Google Scholar] [CrossRef]
- Chakrabarty, P.; Maji, S. The spectral bias of the deep image prior. arXiv 2019, arXiv:1912.08905. [Google Scholar] [CrossRef]
- Rahaman, N.; Baratin, A.; Arpit, D.; Draxler, F.; Lin, M.; Hamprecht, F.; Bengio, Y.; Courville, A. On the Spectral Bias of Neural Networks. In Proceedings of the 36th International Conference on Machine Learning (PMLR 2019), Long Beach, CA, USA, 9–15 June 2019; Chaudhuri, K., Salakhutdinov, R., Eds.; Voluem 97, pp. 5301–5310. [Google Scholar]
- John Xu, Z.Q.; Zhang, Y.; Luo, T.; Xiao, Y.; Ma, Z. Frequency Principle: Fourier Analysis Sheds Light on Deep Neural Networks. Commun. Comput. Phys. 2020, 28, 1746–1767. [Google Scholar] [CrossRef]
- Shi, Z.; Mettes, P.; Maji, S.; Snoek, C.G. On measuring and controlling the spectral bias of the deep image prior. Int. J. Comput. Vis. 2022, 130, 885–908. [Google Scholar] [CrossRef]
- Fridovich-Keil, S.; Gontijo Lopes, R.; Roelofs, R. Spectral bias in practice: The role of function frequency in generalization. Adv. Neural Inform. Process. Syst. 2022, 35, 7368–7382. [Google Scholar]
- Zhuang, L.; Ng, M.K. FastHyMix: Fast and parameter-free hyperspectral image mixed noise removal. IEEE Trans. Neural Netw. Learn. Syst. 2021, 34, 4702–4716. [Google Scholar] [CrossRef] [PubMed]
- Hochreiter, S.; Schmidhuber, J. Long Short-term Memory. Neural Comput. 1997, 9, 1735–1780. [Google Scholar] [CrossRef] [PubMed]
- Heckel, R.; Soltanolkotabi, M. Denoising and regularization via exploiting the structural bias of convolutional generators. arXiv 2019, arXiv:1910.14634. [Google Scholar]
- Chen, Y.; Zeng, J.; He, W.; Zhao, X.L.; Jiang, T.X.; Huang, Q. Fast large-scale hyperspectral image denoising via non-iterative low-rank subspace representation. IEEE Trans. Geosci. Remote Sens. 2024, 62, 5530714. [Google Scholar] [CrossRef]
- Wang, Z.; Bovik, A.C.; Sheikh, H.R.; Simoncelli, E.P. Image quality assessment: From error visibility to structural similarity. IEEE Trans. Image Process. 2004, 13, 600–612. [Google Scholar] [CrossRef]
- Zhang, L.; Zhang, L.; Mou, X.; Zhang, D. FSIM: A feature similarity index for image quality assessment. IEEE Trans. Image Process. 2011, 20, 2378–2386. [Google Scholar] [CrossRef]
- Wang, Z.; Zhuang, L.; Michalski, J.R.; Ng, M.K. EGD-Net: Eigenimage Guided Diffusion Network for Hyperspectral Mixed Noise Removal. IEEE J. Sel. Top. Appl. Earth Obs. Remote Sens. 2025, 18, 17197–17213. [Google Scholar] [CrossRef]










| d | p | Optimizer | Learning Rate | Batch Size | |
|---|---|---|---|---|---|
| 128 | 8 | Adam | 0.001 | 64 |
| Case | Metric | Noisy | FastHyMix (TNNLS, 2021) [53] | KBR (TPAMI, 2017) [19] | FallHyDe (TGRS, 2024) [56] | NonRLRS (TIP, 2019) [18] | DDS2M (ICCV, 2023) [38] | HLRTF (CVPR, 2022) [37] | LRTFR (TPAMI, 2024) [39] | EGD-Net (JSTARS, 2025) [59] | HyDePre* (Proposed) | HyDePre (Proposed) |
|---|---|---|---|---|---|---|---|---|---|---|---|---|
| Case 1 | MPSNR | 20.10 | 32.72 | 33.70 | 30.63 | 32.08 | 32.06 | 34.03 | 31.78 | 33.55 | 34.74 | 34.74 |
| MSSIM | 0.5673 | 0.9377 | 0.9600 | 0.8915 | 0.9529 | 0.8670 | 0.9642 | 0.8493 | 0.9572 | 0.9737 | 0.9737 | |
| MFSIM | 0.7913 | 0.9645 | 0.9791 | 0.9535 | 0.9750 | 0.9277 | 0.9836 | 0.9212 | 0.9753 | 0.9865 | 0.9865 | |
| Time | - | 5 | 63 | 0.2 | 202 | 1194 | 21 | 64 | 7 | 89 | 89 | |
| Case 2 | MPSNR | 16.38 | 30.56 | 29.56 | 25.53 | 28.58 | 29.27 | 29.03 | 30.26 | 30.65 | 30.39 | 30.39 |
| MSSIM | 0.3705 | 0.9280 | 0.9103 | 0.7448 | 0.8980 | 0.7687 | 0.9152 | 0.8064 | 0.9258 | 0.9343 | 0.9343 | |
| MFSIM | 0.6846 | 0.9667 | 0.9557 | 0.8893 | 0.9525 | 0.8730 | 0.9613 | 0.9006 | 0.9663 | 0.9702 | 0.9702 | |
| Time | - | 3 | 47 | 0.2 | 97 | 2507 | 22 | 60 | 7 | 183 | 183 | |
| Case 3 | MPSNR | 17.68 | 31.83 | 31.72 | 27.33 | 29.86 | 29.81 | 32.22 | 30.59 | 31.69 | 32.53 | 32.44 |
| MSSIM | 0.4637 | 0.9182 | 0.9403 | 0.8237 | 0.9290 | 0.7842 | 0.9482 | 0.8026 | 0.9497 | 0.9583 | 0.9601 | |
| MFSIM | 0.7395 | 0.9585 | 0.9701 | 0.9255 | 0.9638 | 0.8823 | 0.9763 | 0.8960 | 0.9774 | 0.9803 | 0.9801 | |
| Time | - | 3 | 76 | 0.2 | 52 | 1202 | 20 | 61 | 7 | 68 | 51 | |
| Case 4 | MPSNR | 17.28 | 28.04 | 30.36 | 26.74 | 29.62 | 28.56 | 30.13 | 30.11 | 28.13 | 30.93 | 30.62 |
| MSSIM | 0.4420 | 0.8795 | 0.9299 | 0.8075 | 0.9253 | 0.7992 | 0.9421 | 0.8185 | 0.8771 | 0.9509 | 0.9488 | |
| MFSIM | 0.7106 | 0.9380 | 0.9696 | 0.9196 | 0.9647 | 0.8961 | 0.9762 | 0.9058 | 0.9388 | 0.9782 | 0.9776 | |
| Time | - | 3 | 90 | 0.1 | 90 | 2389 | 20 | 61 | 7 | 198 | 214 | |
| Case 5 | MPSNR | 17.25 | 29.29 | 32.08 | 27.58 | 31.12 | 29.13 | 31.57 | 31.29 | 28.66 | 32.53 | 32.53 |
| MSSIM | 0.4538 | 0.9164 | 0.9500 | 0.8625 | 0.9447 | 0.8074 | 0.9539 | 0.8380 | 0.9106 | 0.9615 | 0.9615 | |
| MFSIM | 0.7219 | 0.9577 | 0.9754 | 0.9438 | 0.9725 | 0.9000 | 0.9805 | 0.9157 | 0.9548 | 0.9808 | 0.9808 | |
| Time | - | 3 | 87 | 0.2 | 45 | 1203 | 37 | 60 | 7 | 59 | 59 | |
| Mean | MPSNR | 17.74 | 30.49 | 31.48 | 27.56 | 30.25 | 29.77 | 31.40 | 30.81 | 30.54 | 32.22 | 32.14 |
| MSSIM | 0.4595 | 0.9160 | 0.9381 | 0.8260 | 0.9300 | 0.8053 | 0.9447 | 0.8230 | 0.9241 | 0.9557 | 0.9557 | |
| MFSIM | 0.7296 | 0.9571 | 0.9700 | 0.9257 | 0.9657 | 0.8958 | 0.9756 | 0.9079 | 0.9625 | 0.9792 | 0.9790 | |
| Time | - | 3 | 73 | 0.2 | 97 | 1699 | 24 | 61 | 7 | 119 | 119 |
| Case | Metric | Noisy | FastHyMix (TNNLS, 2021) [53] | KBR (TPAMI, 2017) [19] | FallHyDe (TGRS, 2024) [56] | NonRLRS (TIP, 2019) [18] | DDS2M (ICCV, 2023) [38] | HLRTF (CVPR, 2022) [37] | LRTFR (TPAMI, 2024) [39] | EGD-Net (JSTARS, 2025) [59] | HyDePre* (Proposed) | HyDePre (Proposed) |
|---|---|---|---|---|---|---|---|---|---|---|---|---|
| Case 1 | MPSNR | 24.30 | 34.93 | 35.70 | 27.14 | 34.09 | 30.85 | 33.64 | 30.38 | 35.37 | 35.56 | 35.44 |
| MSSIM | 0.4448 | 0.9291 | 0.9327 | 0.6432 | 0.9302 | 0.8345 | 0.9158 | 0.8270 | 0.9411 | 0.9357 | 0.9358 | |
| MFSIM | 0.7357 | 0.9617 | 0.9716 | 0.8043 | 0.9680 | 0.8846 | 0.9617 | 0.8914 | 0.9686 | 0.9735 | 0.9736 | |
| Time | - | 7 | 161 | 0.3 | 56 | 2009 | 55 | 161 | 8 | 349 | 334 | |
| Case 2 | MPSNR | 22.95 | 34.16 | 33.86 | 24.41 | 33.32 | 28.23 | 32.15 | 29.97 | 33.96 | 33.98 | 33.95 |
| MSSIM | 0.3992 | 0.9091 | 0.9166 | 0.5417 | 0.9005 | 0.7692 | 0.9048 | 0.8150 | 0.9018 | 0.9219 | 0.9220 | |
| MFSIM | 0.6963 | 0.9673 | 0.9672 | 0.7445 | 0.9580 | 0.8596 | 0.9592 | 0.8841 | 0.9655 | 0.9729 | 0.9730 | |
| Time | - | 7 | 162 | 0.4 | 74 | 2117 | 55 | 158 | 8 | 374 | 358 | |
| Case 3 | MPSNR | 26.44 | 40.81 | 35.78 | 28.88 | 36.37 | 29.56 | 37.28 | 31.55 | 37.19 | 39.02 | 38.99 |
| MSSIM | 0.6031 | 0.9786 | 0.9330 | 0.6735 | 0.9520 | 0.7907 | 0.9564 | 0.8621 | 0.9504 | 0.9680 | 0.9678 | |
| MFSIM | 0.8281 | 0.9895 | 0.9673 | 0.8357 | 0.9756 | 0.8687 | 0.9799 | 0.9097 | 0.9788 | 0.9883 | 0.9881 | |
| Time | - | 10 | 163 | 0.3 | 76 | 2027 | 55 | 157 | 8 | 646 | 661 | |
| Case 4 | MPSNR | 21.43 | 29.40 | 30.54 | 23.33 | 30.13 | 26.74 | 29.00 | 27.62 | 29.69 | 30.94 | 30.78 |
| MSSIM | 0.3752 | 0.8195 | 0.8154 | 0.4999 | 0.8294 | 0.7460 | 0.7687 | 0.7481 | 0.8185 | 0.8716 | 0.8753 | |
| MFSIM | 0.6549 | 0.9298 | 0.9169 | 0.7142 | 0.9260 | 0.8695 | 0.8827 | 0.8525 | 0.9295 | 0.9480 | 0.9560 | |
| Time | - | 7 | 158 | 0.5 | 71 | 2037 | 55 | 156 | 8 | 219 | 168 | |
| Case 5 | MPSNR | 22.14 | 32.53 | 36.50 | 29.22 | 35.85 | 28.20 | 35.27 | 31.02 | 31.32 | 36.76 | 36.76 |
| MSSIM | 0.4428 | 0.8888 | 0.9581 | 0.7984 | 0.9535 | 0.8061 | 0.9501 | 0.8485 | 0.8910 | 0.9534 | 0.9534 | |
| MFSIM | 0.7037 | 0.9606 | 0.9833 | 0.9243 | 0.9790 | 0.9054 | 0.9802 | 0.9031 | 0.9652 | 0.9837 | 0.9837 | |
| Time | - | 21 | 245 | 0.4 | 63 | 2056 | 55 | 157 | 8 | 486 | 486 | |
| Mean | MPSNR | 23.45 | 34.37 | 34.48 | 26.60 | 33.95 | 28.72 | 33.47 | 30.11 | 33.51 | 35.25 | 35.18 |
| MSSIM | 0.4530 | 0.9050 | 0.9112 | 0.6313 | 0.9131 | 0.7893 | 0.8992 | 0.8201 | 0.9006 | 0.9301 | 0.9309 | |
| MFSIM | 0.7237 | 0.9618 | 0.9613 | 0.8046 | 0.9613 | 0.8776 | 0.9527 | 0.8882 | 0.9615 | 0.9733 | 0.9749 | |
| Time | - | 10 | 178 | 0.4 | 68 | 2049 | 55 | 158 | 8 | 415 | 401 |
| HyDePre* w/o Regularization | HyDePre* | |||||
|---|---|---|---|---|---|---|
| Washington DC Mall Dataset | ||||||
| MPSNR | MSSIM | MFSIM | MPSNR | MSSIM | MFSIM | |
| Case 1 | 34.58 | 0.9742 | 0.9860 | 34.74 | 0.9737 | 0.9865 |
| Case 2 | 30.07 | 0.9353 | 0.9708 | 30.39 | 0.9343 | 0.9702 |
| Case 3 | 32.30 | 0.9582 | 0.9797 | 32.53 | 0.9583 | 0.9803 |
| Case 4 | 30.78 | 0.9418 | 0.9728 | 30.93 | 0.9509 | 0.9782 |
| Case 5 | 32.21 | 0.9602 | 0.9807 | 32.53 | 0.9615 | 0.9808 |
| Mean | 31.99 | 0.9539 | 0.9780 | 32.22 | 0.9557 | 0.9792 |
| Pavia University dataset | ||||||
| Case 1 | 35.10 | 0.9182 | 0.9688 | 35.56 | 0.9357 | 0.9735 |
| Case 2 | 33.56 | 0.9188 | 0.9723 | 33.98 | 0.9219 | 0.9729 |
| Case 3 | 38.70 | 0.9672 | 0.9880 | 39.02 | 0.9680 | 0.9883 |
| Case 4 | 30.69 | 0.8739 | 0.9537 | 30.94 | 0.8716 | 0.9480 |
| Case 5 | 36.18 | 0.9501 | 0.9830 | 36.76 | 0.9534 | 0.9837 |
| Mean | 34.85 | 0.9256 | 0.9732 | 35.25 | 0.9301 | 0.9733 |
Disclaimer/Publisher’s Note: The statements, opinions and data contained in all publications are solely those of the individual author(s) and contributor(s) and not of MDPI and/or the editor(s). MDPI and/or the editor(s) disclaim responsibility for any injury to people or property resulting from any ideas, methods, instructions or products referred to in the content. |
© 2026 by the authors. Licensee MDPI, Basel, Switzerland. This article is an open access article distributed under the terms and conditions of the Creative Commons Attribution (CC BY) license.
Share and Cite
Zhang, R.; Ng, M.K.; Ljubenovic, M.; Zhuang, L. Unsupervised Hyperspectral Image Denoising via Spectral Learning Preference of Neural Networks. Remote Sens. 2026, 18, 742. https://doi.org/10.3390/rs18050742
Zhang R, Ng MK, Ljubenovic M, Zhuang L. Unsupervised Hyperspectral Image Denoising via Spectral Learning Preference of Neural Networks. Remote Sensing. 2026; 18(5):742. https://doi.org/10.3390/rs18050742
Chicago/Turabian StyleZhang, Ruobing, Michael K. Ng, Marina Ljubenovic, and Lina Zhuang. 2026. "Unsupervised Hyperspectral Image Denoising via Spectral Learning Preference of Neural Networks" Remote Sensing 18, no. 5: 742. https://doi.org/10.3390/rs18050742
APA StyleZhang, R., Ng, M. K., Ljubenovic, M., & Zhuang, L. (2026). Unsupervised Hyperspectral Image Denoising via Spectral Learning Preference of Neural Networks. Remote Sensing, 18(5), 742. https://doi.org/10.3390/rs18050742

