Impacts of Permafrost Degradation on the Water Conservation Function in the Three-River Source Region of the Qinghai–Tibet Plateau
Highlights
- Water conservation increased across the TRSR (1990–2020), showing a southeast–northwest gradient, dominated by precipitation and its interaction with ALT.
- Water conservation shows a nonlinear response to active layer thickening, with a threshold around 1.77 m and a delayed response of ~5–7 years, varying markedly across space.
- Incorporating permafrost dynamics is critical for accurately assessing and projecting water conservation in alpine permafrost regions.
- Identified ALT thresholds and lags inform permafrost-sensitive area identification and adaptive water resource and ecological engineering management.
Abstract
1. Introduction
2. Materials and Methods
2.1. Study Area and Methods
2.1.1. Study Area
2.1.2. Data Sources and Processing
2.2. Methods
2.2.1. Assessment of Water Conservation Capacity
2.2.2. Robustness Check for Permafrost Effects Under ALT Uncertainty
2.2.3. Trend in Permafrost Degradation
2.2.4. Analysis of Factors Influencing Water Conservation Capacity
2.2.5. Identification of Critical Points and Lag Effects
2.2.6. SEM for Environmental Effects on the Water Conservation Function
2.2.7. InVEST Model Calibration and Performance Evaluation
3. Results
3.1. Parameter Selection
3.2. Spatiotemporal Patterns of Water Conservation
3.2.1. Spatial Distribution of Water Conservation
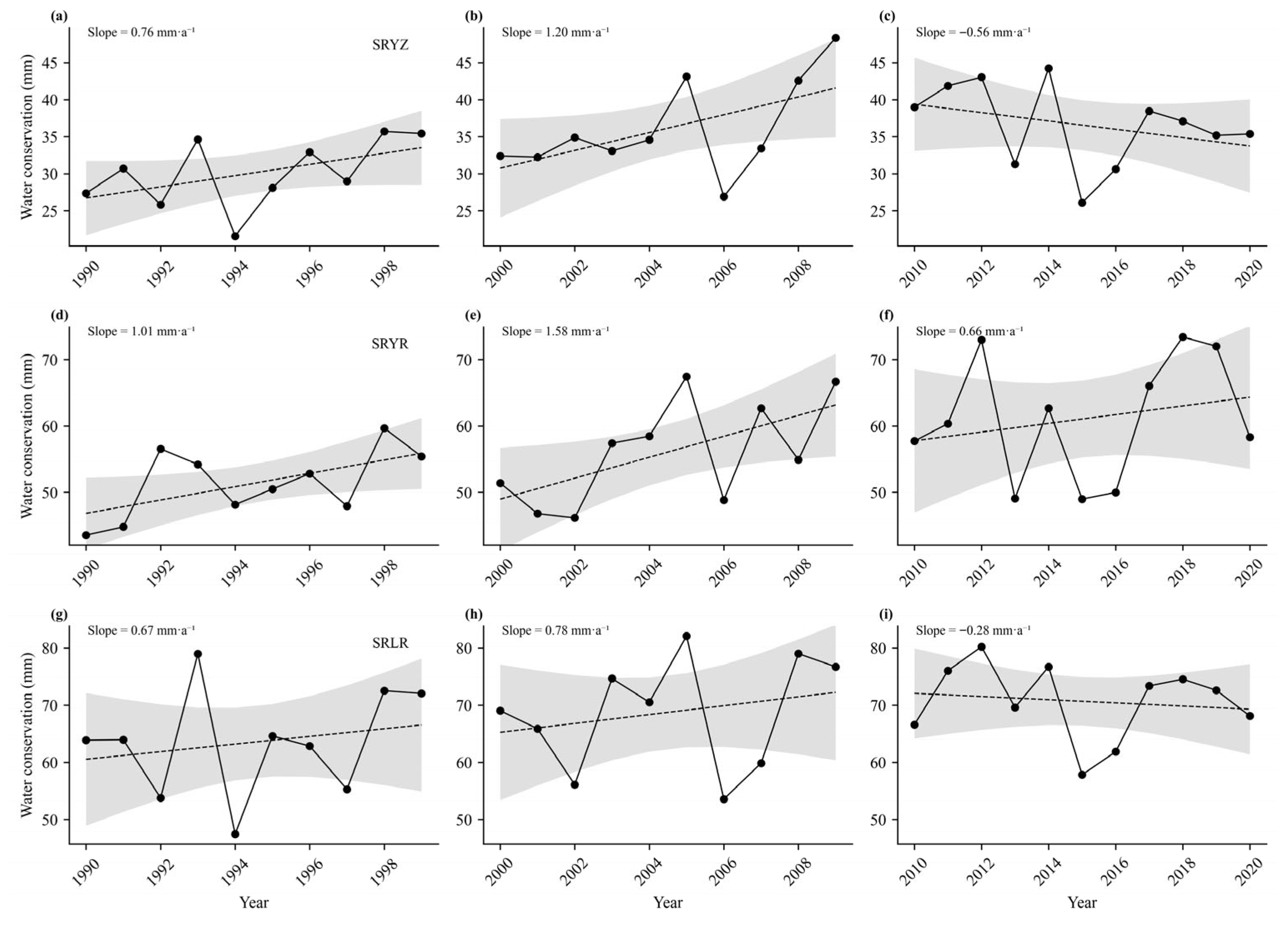
3.2.2. Temporal Evolution of Water Conservation
3.3. Coupled Trends in ALT and Water Conservation in Permafrost Areas
4. Discussion
4.1. Drivers of the Water Conservation Function in the TRSR
4.2. Mechanisms of Permafrost Degradation Effects on the Water Conservation Function
4.3. Uncertainties and Future Perspectives
5. Conclusions
Supplementary Materials
Author Contributions
Funding
Data Availability Statement
Acknowledgments
Conflicts of Interest
References
- Brauman, K.A.; Daily, G.C.; Duarte, T.K.; Mooney, H.A. The nature and value of ecosystem services: An overview highlighting hydrologic services. Annu. Rev. Environ. Resour. 2007, 32, 67–98. [Google Scholar] [CrossRef]
- Wang, P.; Xu, M. Dynamics and interactions of water-related ecosystem services in the Yellow River Basin, China. J. Geogr. Sci. 2023, 33, 1681–1701. [Google Scholar] [CrossRef]
- Vörösmarty, C.J.; McIntyre, P.B.; Gessner, M.O.; Dudgeon, D.; Prusevich, A.; Green, P.; Glidden, S.; Bunn, S.E.; Sullivan, C.A.; Liermann, C.R.; et al. Global threats to human water security and river biodiversity. Nature 2010, 467, 555–561. [Google Scholar] [CrossRef] [PubMed]
- Yu, C.; Duan, P.; Yu, Z.; Gao, B. Experimental and model investigations of vegetative filter strips for contaminant removal: A review. Ecol. Eng. 2019, 126, 25–36. [Google Scholar] [CrossRef]
- Mayer, P.M.; Reynolds, S.K., Jr.; McCutchen, M.D.; Canfield, T.J. Meta-analysis of nitrogen removal in riparian buffers. J. Environ. Qual. 2007, 36, 1172–1180. [Google Scholar] [CrossRef]
- Millennium Ecosystem Assessment. Millennium Ecosystem Assessment; Millennium Ecosystem Assessment: Washington, DC, USA, 2001. [Google Scholar]
- Cheng, G.; Jin, H. Permafrost and groundwater on the Qinghai-Tibet Plateau and in northeast China. Hydrogeol. J. 2013, 21, 5–23. [Google Scholar] [CrossRef]
- Cao, W.; Wu, D.; Huang, L.; Liu, L. Spatial and temporal variations and significance identification of ecosystem services in the Sanjiangyuan National Park, China. Sci. Rep. 2020, 10, 6151. [Google Scholar] [CrossRef]
- Pan, Y.; Yin, Y. Spatial and temporal evolution characteristics of water conservation in the Three-Rivers Headwater Region and the driving factors over the past 30 years. Atmosphere 2023, 14, 1453. [Google Scholar] [CrossRef]
- People’s Daily Online. Sanjiangyuan National Park Serves as Vivid Exemplar of China’s National Park System. Available online: https://en.people.cn/n3/2022/0902/c90000-10143002.html (accessed on 4 June 2025).
- Yang, Y.; Chen, R.; Ding, Y.; Zhao, Q.; Li, H.; Liu, Z. Variation in the hydrological cycle in the Three-River Headwaters Region based on multi-source data. Front. Environ. Sci. 2022, 10, 1088467. [Google Scholar] [CrossRef]
- Hu, J.; Nan, Z.; Ji, H. Spatiotemporal characteristics of NPP changes in frozen ground areas of the Three-River Headwaters region, China: A regional modeling perspective. Front. Earth Sci. 2022, 10, 838558. [Google Scholar] [CrossRef]
- Walvoord, M.A.; Kurylyk, B.L. Hydrologic impacts of thawing permafrost-A review. Vadose Zone J. 2016, 15, vzj2016.01.0010. [Google Scholar] [CrossRef]
- Schuur, E.A.G.; McGuire, A.D.; Schädel, C.; Grosse, G.; Harden, J.W.; Hayes, D.J.; Hugelius, G.; Koven, C.D.; Kuhry, P.; Lawrence, D.M.; et al. Climate change and the permafrost carbon feedback. Nature 2015, 520, 171–179. [Google Scholar] [CrossRef] [PubMed]
- Jin, X.; Jin, H.; Wu, X.; Luo, D.; Yu, S.; Li, X.; He, R.; Wang, Q.; Knops, J.M.H. Permafrost degradation leads to biomass and species richness decreases on the northeastern Qinghai-Tibet Plateau. Plants 2020, 9, 1453. [Google Scholar] [CrossRef] [PubMed]
- Jiang, C.; Li, D.; Wang, D.; Zhang, L. Quantification and assessment of changes in ecosystem service in the Three-River Headwaters Region, China as a result of climate variability and land cover change. Ecol. Indic. 2016, 66, 199–211. [Google Scholar] [CrossRef]
- Zhang, F.; Li, H.; Luo, F.; Wang, C.; Wang, J.; Ma, W.; Yang, Y.; Li, Y. Evaluations on topsoil water storage and water conservation capacity of the Sanjiangyuan National Park based on boosted regression trees. Chin. J. Ecol. 2022, 41, 2471. [Google Scholar]
- Gao, H.; Wang, J.; Yang, Y.; Pan, X.; Ding, Y.; Duan, Z. Permafrost hydrology of the Qinghai-Tibet Plateau: A review of processes and modeling. Front. Earth Sci. 2021, 8, 576838. [Google Scholar] [CrossRef]
- Lv, M.; Wang, Y.; Gao, Z. The change process of soil hydrological properties in the permafrost active layer of the Qinghai-Tibet Plateau. CATENA 2022, 210, 105938. [Google Scholar] [CrossRef]
- Jin, X.; Jin, H.; Luo, D.; Sheng, Y.; Wu, Q.; Wu, J.; Wang, W.; Huang, S.; Li, X.; Liang, S.; et al. Impacts of permafrost degradation on hydrology and vegetation in the source area of the Yellow River on Northeastern Qinghai-Tibet Plateau, Southwest China. Front. Earth Sci. 2022, 10, 845824. [Google Scholar] [CrossRef]
- Yang, Y.; Wu, Q.; Jin, H.; Wang, Q.; Huang, Y.; Luo, D.; Gao, S.; Jin, X. Delineating the hydrological processes and hydraulic connectivities under permafrost degradation on Northeastern Qinghai-Tibet Plateau, China. J. Hydrol. 2019, 569, 359–372. [Google Scholar] [CrossRef]
- Dongdong, C.; Qi, L.; Lili, H.; Qian, X.; Xin, C.; Fuquan, H.; Liang, Z. Soil nutrients directly drive soil microbial biomass and carbon metabolism in the sanjiangyuan alpine grassland. J. Soil Sci. Plant Nutr. 2023, 23, 3548–3560. [Google Scholar] [CrossRef]
- Su, T.; Miao, C.; Duan, Q.; Gou, J.; Guo, X.; Zhao, X. Hydrological response to climate change and human activities in the Three-River Source Region. Hydrol. Earth Syst. Sci. Discuss. 2022, 2022, 1477–1492. [Google Scholar] [CrossRef]
- Wang, J.; Sun, H.; Xiong, J.; He, D.; Cheng, W.; Ye, C.; Yong, Z.; Huang, X. Dynamics and drivers of vegetation phenology in three-river headwaters region based on the Google Earth Engine. Remote Sens. 2021, 13, 2528. [Google Scholar] [CrossRef]
- Xiao, Z.; Ding, M.; Li, L.; Nie, Y.; Pan, J.; Li, R.; Liu, L.; Zhang, Y. Divergent changes of surface water and its climatic drivers in the headwater region of the Three Rivers on the Qinghai-Tibet Plateau. Ecol. Indic. 2024, 158, 111615. [Google Scholar] [CrossRef]
- Zhai, X.; Liang, X.; Yan, C.; Xing, X.; Jia, H.; Wei, X.; Feng, K. Vegetation dynamic changes and their response to ecological engineering in the Sanjiangyuan Region of China. Remote Sens. 2020, 12, 4035. [Google Scholar] [CrossRef]
- Liu, J.; Xu, X.; Shao, Q. Grassland degradation in the “three-river headwaters” region, Qinghai province. J. Geogr. Sci. 2008, 18, 259–273. [Google Scholar] [CrossRef]
- Bai, Y.; Guo, C.; Degen, A.A.; Ahmad, A.A.; Wang, W.; Zhang, T.; Li, W.; Ma, L.; Huang, M.; Zeng, H.; et al. Climate warming benefits alpine vegetation growth in Three-River Headwater Region, China. Sci. Total Environ. 2020, 742, 140574. [Google Scholar] [CrossRef]
- Zou, D.; Zhao, L.; Sheng, Y.; Chen, J.; Hu, G.; Wu, T.; Wu, J.; Xie, C.; Wu, X.; Pang, Q.; et al. A new map of permafrost distribution on the Tibetan Plateau. Cryosphere 2017, 11, 2527–2542. [Google Scholar] [CrossRef]
- Zhou, F.; Yao, M.; Fan, X.; Yin, G.; Meng, X.; Lin, Z. Evidence of warming from long-term records of climate and permafrost in the hinterland of the Qinghai-Tibet Plateau. Front. Environ. Sci. 2022, 10, 836085. [Google Scholar] [CrossRef]
- The Natural Capital Project. InVEST User Guide (Integrated Valuation of Ecosystem Services and Tradeoffs). Available online: https://storage.googleapis.com/releases.naturalcapitalproject.org/invest-userguide/latest/en/index.html (accessed on 4 June 2025).
- Peng, S.; Ding, Y.; Liu, W.; Li, Z. 1 km monthly temperature and precipitation dataset for China from 1901 to 2017. Earth Syst. Sci. Data 2019, 11, 1931–1946. [Google Scholar] [CrossRef]
- Peng, S. 1 km Monthly Potential Evapotranspiration Dataset in China (1901–2024); National Tibetan Plateau Data Center: Beijing, China, 2022; Available online: https://www.tpdc.ac.cn/zh-hans/data/8b11da09-1a40-4014-bd3d-2b86e6dccad4/ (accessed on 4 January 2025).
- Yang, J.; Huang, X. 30 m annual land cover and its dynamics in China from 1990 to 2019. Earth Syst. Sci. Data Discuss. 2021, 2021, 3907–3925. [Google Scholar] [CrossRef]
- Wei, Y. The Boundaries of the Source Regions in Sanjiangyuan Region; National Tibetan Plateau Data Center: Beijing, China, 2018; Available online: https://www.escience.org.cn/metadata/detail?cstrId=CSTR%3A18406.11.Geogra.tpdc.270009&id=da0e21dd01bcbea6d33bd0c6ce9c2c33%3AGeogra.tpdc.270009 (accessed on 5 January 2025).
- Yan, D.; Zheng, X.; Feng, M.; Liang, S.; Hu, Z.; Kuang, X.; Feng, Y. Frozen Ground Change Data Set in the Tibetan Plateau (1961–2020); National Tibetan Plateau Data Center: Tibet, China, 2024; Available online: https://data.tpdc.ac.cn/en/data/51ce7562-b3cb-4fca-88b5-dc750845e857 (accessed on 5 January 2025).
- Yan, F.; Shangguan, W.; Zhang, J.; Hu, B. Depth-to-bedrock map of China at a spatial resolution of 100 m. Sci. Data 2020, 7, 2. [Google Scholar] [CrossRef]
- Hengl, T.; Mendes de Jesus, J.; Heuvelink, G.B.M.; Ruiperez Gonzalez, M.; Kilibarda, M.; Blagotić, A.; Shangguan, W.; Wright, M.N.; Geng, X.; Bauer-Marschallinger, B.; et al. SoilGrids250m: Global gridded soil information based on machine learning. PLoS ONE 2017, 12, e0169748. [Google Scholar] [CrossRef] [PubMed]
- Song, X. Dataset of Vegetation Index, Albedo and Land Surface Temperature on the Qinghai-Tibet Plateau (1981–2020); National Tibetan Plateau Data Center: Tibet, China, 2023; Available online: https://www.gscloud.cn/qtp/qtpecosys/dataset/dataset_detail/b61ae6e84e444b1597b8dddfffe9c1f3 (accessed on 6 January 2025).
- Li, M.; Liang, D.; Xia, J.; Song, J.; Cheng, D.; Wu, J.; Cao, Y.; Sun, H.; Li, Q. Evaluation of water conservation function of Danjiang River Basin in Qinling Mountains, China based on InVEST model. J. Environ. Manag. 2021, 286, 112212. [Google Scholar] [CrossRef] [PubMed]
- Tibetan Plateau Vegetation Indices, Albedo and Land Surface Temperature Dataset (1981–2020). Available online: https://data.tpdc.ac.cn/zh-hans/data/f1817320-124b-4633-9309-0f20125e276f (accessed on 15 January 2026).
- Yao, J.; Yi, C.-L.; Fu, P. Evaluation of the Accuracy of SRTM3 and ASTER GDEM in the Tibetan Plateau Mountain Ranges. E3S Web Conf. 2020, 206, 01027. [Google Scholar] [CrossRef]
- Fu, B. On the calculation of evaporation from land surface. Chin. J. Atmos. Sci. 1981, 5, 23–31. [Google Scholar]
- Wheeler, D.; Tiefelsdorf, M. Multicollinearity and correlation among local regression coefficients in geographically weighted regression. J. Geogr. Syst. 2005, 7, 161–187. [Google Scholar] [CrossRef]
- Wang, J.-F.; Li, X.-H.; Christakos, G.; Liao, Y.-L.; Zhang, T.; Gu, X.; Zheng, X.-Y. Geographical detectors-based health risk assessment and its application in the neural tube defects study of the Heshun Region, China. Int. J. Geogr. Inf. Sci. 2010, 24, 107–127. [Google Scholar] [CrossRef]
- McMillen, D.P. Geographically weighted regression: The analysis of spatially varying relationships. Am. J. Agric. Econ. 2004, 86, 554–556. [Google Scholar] [CrossRef]
- Huang, H.; Wang, Z.; Xia, F.; Shang, X.; Liu, Y.; Zhang, M.; Dahlgren, R.A.; Mei, K. Water quality trend and change-point analyses using integration of locally weighted polynomial regression and segmented regression. Environ. Sci. Pollut. Res. 2017, 24, 15827–15837. [Google Scholar] [CrossRef]
- Rushworth, A.M.; Bowman, A.W.; Brewer, M.J.; Langan, S.J. Distributed lag models for hydrological data. Biometrics 2013, 69, 537–544. [Google Scholar] [CrossRef]
- Tao, J.; Zhang, J.; Guo, L.; Wang, J.; Xue, H. Spatiotemporal change and driving factors of water conservation in Sanjiangyuan National Park. Acta Ecol. Sin. 2025, 45, 1226–1238. [Google Scholar]
- Han, P.; Yang, G.; Liu, Y.; Chen, X.; Wen, Z.; Shi, H.; Hu, E.; Xue, T.; Zhao, Y. Vegetation Restoration Enhanced Canopy Interception and Soil Evaporation but Constrained Transpiration in Hekou-Longmen Section During 2000–2018. Agronomy 2024, 14, 2606. [Google Scholar] [CrossRef]
- Qiu, D.; Xu, R.; Wu, C.; Mu, X.; Zhao, G.; Gao, P. Vegetation restoration improves soil hydrological properties by regulating soil physicochemical properties in the Loess Plateau, China. J. Hydrol. 2022, 609, 127730. [Google Scholar] [CrossRef]
- Caviedes-Voullième, D.; Ahmadinia, E.; Hinz, C. Interactions of microtopography, slope and infiltration cause complex rainfall-runoff behavior at the hillslope scale for single rainfall events. Water Resour. Res. 2021, 57, e2020WR028127. [Google Scholar] [CrossRef]
- Andresen, C.G.; Lawrence, D.M.; Wilson, C.J.; Wilson, C.J.; McGuire, A.D.; Koven, C.; Schaefer, K.; Jafarov, E.; Peng, S.; Chen, X.; et al. Soil moisture and hydrology projections of the permafrost region-a model intercomparison. Cryosphere 2020, 14, 445–459. [Google Scholar] [CrossRef]
- Errington, R.C.; Macdonald, S.E.; Bhatti, J.S. Rate of permafrost thaw and associated plant community dynamics in peatlands of northwestern Canada. J. Ecol. 2024, 112, 1565–1582. [Google Scholar] [CrossRef]
- Wang, X.; Chen, R.; Yang, Y. Effects of permafrost degradation on the hydrological regime in the source regions of the Yangtze and Yellow Rivers, China. Water 2017, 9, 897. [Google Scholar] [CrossRef]
- Qin, J.; Ding, Y.; Han, T.; Chang, Y.; Shi, F.; You, Y. The hydrothermal changes of permafrost active layer and their impact on summer rainfall-runoff processes in an alpine meadow watershed, northwest China. Res. Cold Arid Reg. 2022, 14, 361–369. [Google Scholar] [CrossRef]
- Xiang, L.; Wang, H.; Steffen, H.; Jiang, L.; Shen, Q.; Jia, L.; Su, Z.; Wang, W.; Deng, F.; Qiao, B.; et al. Two decades of terrestrial water storage changes in the tibetan plateau and its surroundings revealed through GRACE/GRACE-FO. Remote Sens. 2023, 15, 3505. [Google Scholar] [CrossRef]
- Liljedahl, A.K.; Boike, J.; Daanen, R.P.; Fedorov, A.N.; Frost, G.V.; Grosse, G.; Hinzman, L.D.; Iijma, Y.; Jorgen-son, J.C.; Matveyeva, N.; et al. Pan-Arctic ice-wedge degradation in warming permafrost and its influence on tundra hydrology. Nat. Geosci. 2016, 9, 312–318. [Google Scholar] [CrossRef]
- Ding, K.; Jiang, P.; Ni, J.; Shen, T.; Yang, B.; Zhang, R.; Yu, Z. Machine learning uncovers a multi-year climate memory in permafrost degradation on the Qinghai-Tibet Plateau: The critical roles of precipitation and lagged temperature. J. Hydrol. 2025, 663, 134272. [Google Scholar] [CrossRef]
- Romanovsky, V.E.; Osterkamp, T.E. Effects of unfrozen water on heat and mass transport processes in the active layer and permafrost. Permafrost Periglac. Process. 2000, 11, 219–239. [Google Scholar] [CrossRef]
- Bense, V.F.; Kooi, H.; Ferguson, G.; Read, T. Permafrost degradation as a control on hydrogeological regime shifts in a warming climate. J. Geophys. Res. Earth Surf. 2012, 117, F3. [Google Scholar] [CrossRef]
- Watts, K.; Whytock, R.C.; Park, K.J.; Fuentes-Montemayor, E.; Macgregor, N.A.; Duffield, S.; McGowan, P.J.K. Ecological time lags and the journey towards conservation success. Nat. Ecol. Evol. 2020, 4, 304–311. [Google Scholar] [CrossRef] [PubMed]
- Suzuki, K.; Park, H.; Makarieva, O.; Kanamori, H.; Hori, M.; Matsuo, K.; Matsumura, S.; Nesterova, N.; Hiyama, T. Effect of permafrost thawing on discharge of the Kolyma River, Northeastern Siberia. Remote Sens. 2021, 13, 4389. [Google Scholar] [CrossRef]
- Gao, Z.; Yin, G.; Niu, F.; Wang, Y.; Luo, J.; Lin, Z.; Shang, Y.; Zhang, C.; Liu, W. Dynamics and drivers of suprapermafrost groundwater on the Qinghai-Tibet Plateau under climate change. Water Resour. Res. 2025, 61, e2025WR040246. [Google Scholar] [CrossRef]
- Diak, M.; Böttcher, M.E.; von Ahn, C.M.E.; Hong, W.-L.; Kędra, M.; Kotwicki, L.; Koziorowska-Makuch, K.; Kuliński, K.; Lepland, A.; Makuch, P.; et al. Permafrost and groundwater interaction: Current state and future perspective. Front. Earth Sci. 2023, 11, 1254309. [Google Scholar] [CrossRef]
- Ma, Q.; Jin, H.-J.; Bense, V.F.; Luo, D.-L.; Marchenko, S.S.; Harris, S.A.; Lan, Y.-C. Impacts of degrading permafrost on streamflow in the source area of Yellow River on the Qinghai-Tibet Plateau, China. Adv. Clim. Change Res. 2020, 10, 225–239. [Google Scholar] [CrossRef]
- Zhang, C.; Gao, Z.; Luo, J.; Liu, W.; Chen, M.; Niu, F.; Wang, Y.; Shang, Y. Simulation and Prediction of Thermokarst Lake Surface Temperature Changes on the Qinghai-Tibet Plateau. Remote Sens. 2024, 16, 4645. [Google Scholar] [CrossRef]









| Data Category | Dataset | Key Metadata | Spatial and Temporal Resolution | Access Link/DOI |
|---|---|---|---|---|
| Reanalysis/ model outputs | China 1 km gridded monthly precipitation dataset | Delta downscaling based on the CRU 0.5° climate dataset and WorldClim high-resolution climatology | 1 km; monthly; 1901–2024 | https://data.tpdc.ac.cn/zh-hans/data/faae7605-a0f2-4d18-b28f-5cee413766a2 (accessed on 4 January 2025); https://doi.org/10.12041/geodata.192891852410344.ver1.db |
| Reanalysis/ model outputs | China 1 km monthly potential evapotranspiration dataset | PET computed from the China 1 km monthly mean/min/max temperature dataset using the Hargreaves method | 1 km; monthly; 1901–2024 | https://data.tpdc.ac.cn/zh-hans/data/8b11da09-1a40-4014-bd3d-2b86e6dccad4 (accessed on 4 January 2025); https://doi.org/10.11866/db.loess.2021.001 |
| Remote sensing products | Annual 1 km land-use/land-cover (LULC) remote sensing monitoring dataset of China | Land-cover classification product interpreted from Landsat series imagery (MSS, TM, and Landsat 7/8/9) via human–machine interactive interpretation (product type: Landsat-based classification); 6 Level-1 and 25 Level-2 classes; resampled to 1 km for this study | 1 km; annual; 1985–2023 | https://gis5g.com/dataResourceDetail?resourcesId=294 (accessed on 4 January 2025) |
| Remote sensing products | SRTMDEMUTM 90 m digital elevation model product | SRTM-based DEM (SRTM3 v4.1) | 90 m (static) | https://www.gscloud.cn/sources/details/306?pid=302 (accessed on 4 January 2025) |
| Other gridded/ vector datasets | Study region boundary (TRSR) | Vector boundary for masking/clipping | static | https://data.tpdc.ac.cn/zh-hans/data/8588327d-f474-4119-b5ab-e599b0f24553 (accessed on 4 January 2025); https://doi.org/10.11888/Geogra.tpdc.270009 |
| Reanalysis/ model outputs | Qinghai–Tibet Plateau permafrost change dataset | Remote sensing land surface temperature and meteorological stations; permafrost extent simulated by the TTOP model; ALT simulated by the Stefan equation | 1 km; 5 year; 1961–2020 | https://data.tpdc.ac.cn/zh-hans/data/e03ae441-0af2-4f57-b5b0-0a4f368f4015 (accessed on 4 January 2025); https://doi.org/10.11888/Cryos.tpdc.300955 |
| Thematic datasets | Bedrock depth data | Thematic bedrock depth product | Native resolution per dataset documentation (static) | https://www.nature.com/articles/s41597-019-0345-6 (accessed on 4 January 2025); https://doi.org/10.6084/m9.figshare.11358929 |
| Thematic datasets | SoilGrids250m soil properties | WWP (v%), sand/clay (%), 7 depth layers; 0–100 cm (sl1–sl6) thickness-weighted mean; Ks derived via pedotransfer | v2017-03; 250 m (static) | https://docs.isric.org/globaldata/soilgrids/SoilGrids_faqs_2017.html (accessed on 4 January 2025); https://doi.org/10.1371/journal.pone.0169748 |
| Remote sensing products | Normalized difference vegetation index (NDVI) | Derived from the 0.05° AVHRR-CDR surface reflectance product (red/NIR bands) | 1 km, monthly; 1982–2020 | https://data.tpdc.ac.cn/zh-hans/data/f1817320-124b-4633-9309-0f20125e276f (accessed on 4 January 2025); https://doi.org/10.11888/Terre.tpdc.300473 |
| Land-Use Type | LULC_veg | Crop Coefficient (Kc) | Rooting Depth (mm) |
|---|---|---|---|
| Cropland | 1 | 0.70 | 300 |
| Forest | 1 | 1.00 | 3000 |
| Grassland | 1 | 0.65 | 250 |
| Water bodies | 0 | 0.90 | 1 |
| Built-up land | 0 | 0.30 | 1 |
| Unused land | 0 | 0.50 | 100 |
| PET | PPT | ALT | Elevation | NDVI | |
|---|---|---|---|---|---|
| q value | 0.023 | 0.704 | 0.024 | 0.088 | 0.177 |
| PET | PPT | ALT | Elevation | NDVI | |
|---|---|---|---|---|---|
| PET | 0.023 | ||||
| PPT | 0.772 | 0.704 | |||
| ALT | 0.079 | 0.736 | 0.024 | ||
| Elevation | 0.140 | 0.735 | 0.157 | 0.088 | |
| NDVI | 0.207 | 0.738 | 0.224 | 0.221 | 0.177 |
Disclaimer/Publisher’s Note: The statements, opinions and data contained in all publications are solely those of the individual author(s) and contributor(s) and not of MDPI and/or the editor(s). MDPI and/or the editor(s) disclaim responsibility for any injury to people or property resulting from any ideas, methods, instructions or products referred to in the content. |
© 2026 by the authors. Licensee MDPI, Basel, Switzerland. This article is an open access article distributed under the terms and conditions of the Creative Commons Attribution (CC BY) license.
Share and Cite
Bai, W.; Wang, C.; Liu, W.; Zhang, G.; Yang, Y.; Wang, Q.; Gao, Z. Impacts of Permafrost Degradation on the Water Conservation Function in the Three-River Source Region of the Qinghai–Tibet Plateau. Remote Sens. 2026, 18, 623. https://doi.org/10.3390/rs18040623
Bai W, Wang C, Liu W, Zhang G, Yang Y, Wang Q, Gao Z. Impacts of Permafrost Degradation on the Water Conservation Function in the Three-River Source Region of the Qinghai–Tibet Plateau. Remote Sensing. 2026; 18(4):623. https://doi.org/10.3390/rs18040623
Chicago/Turabian StyleBai, Wei, Chunyu Wang, Wenyan Liu, Guowei Zhang, Yixuan Yang, Qingyue Wang, and Zeyong Gao. 2026. "Impacts of Permafrost Degradation on the Water Conservation Function in the Three-River Source Region of the Qinghai–Tibet Plateau" Remote Sensing 18, no. 4: 623. https://doi.org/10.3390/rs18040623
APA StyleBai, W., Wang, C., Liu, W., Zhang, G., Yang, Y., Wang, Q., & Gao, Z. (2026). Impacts of Permafrost Degradation on the Water Conservation Function in the Three-River Source Region of the Qinghai–Tibet Plateau. Remote Sensing, 18(4), 623. https://doi.org/10.3390/rs18040623

