Mapping of Monodominant Gilbertiodendron dewevrei Forest Across the Western Congo Basin Using Sentinel-2 Imagery
Abstract
1. Introduction
2. Materials and Methods
2.1. Study Site
2.2. Dataset
2.2.1. Reference Data Points
2.2.2. Sentinel-2 Images for Classification
2.3. Calculating Spectral, Vegetation and Textural Indices
2.4. Random Forest Classifications
2.5. Accuracy Assessments
2.6. Linking the Map with Environmental Data
3. Results
3.1. Classification Maps
3.2. Classification Accuracy
3.3. Striping in Satellite Imagery
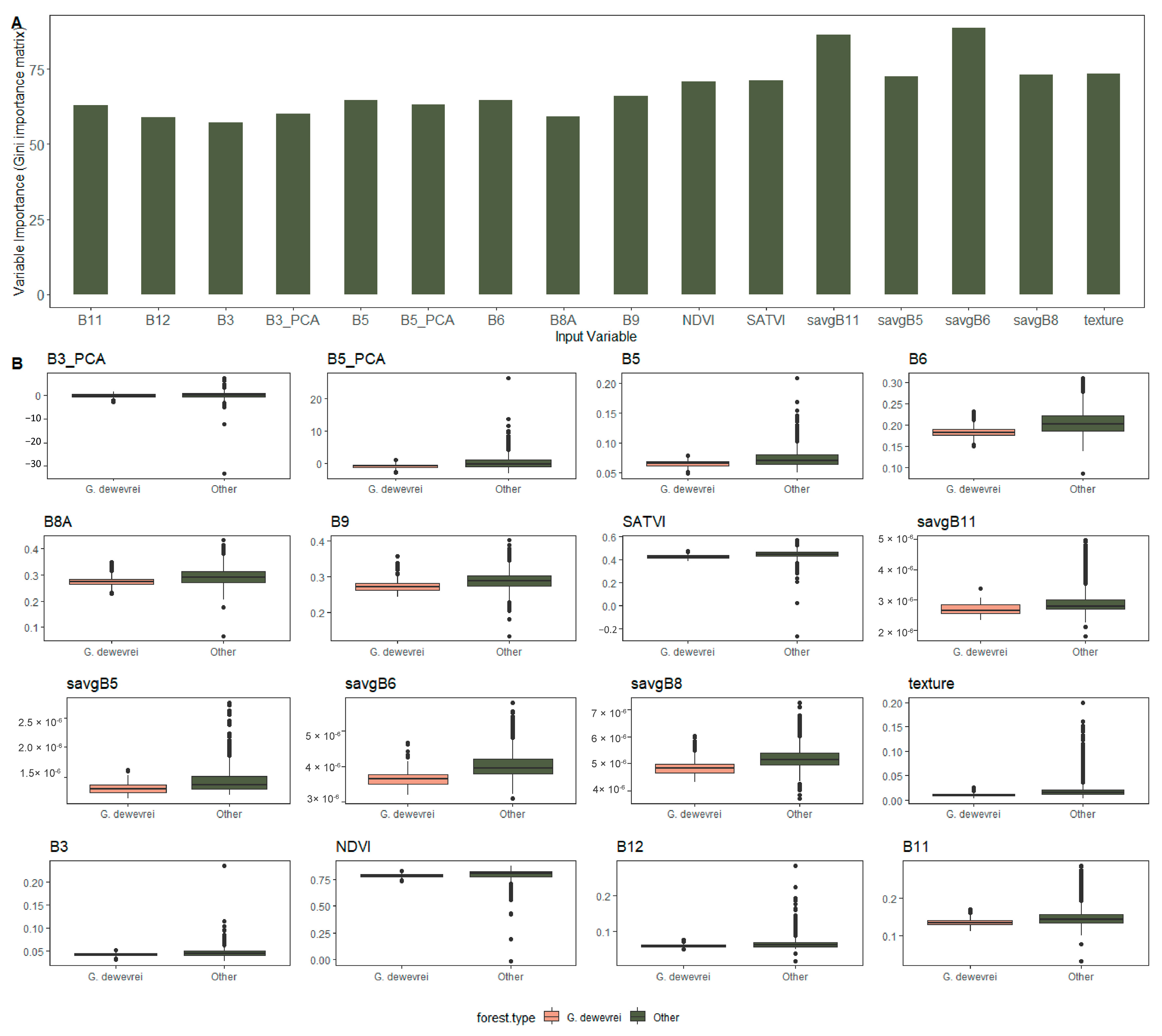
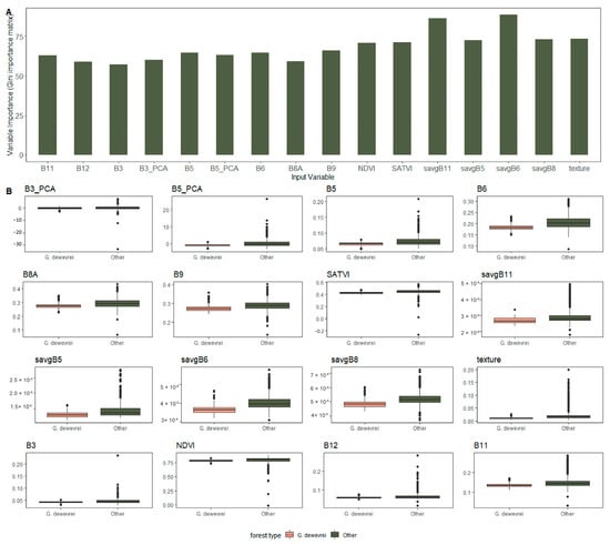
3.4. Variable Importance
3.5. Linking Gilbertiodendron dewevrei Distribution to Environmental Variables
4. Discussion
5. Conclusions
Supplementary Materials
Author Contributions
Funding
Data Availability Statement
Acknowledgments
Conflicts of Interest
Abbreviations
| GLCM | Gray Level Co-occurrence Matrix |
| SVM | Support Vector Machine |
| PCA | Principal Component Analysis |
| SAVG | Sum Average |
| BRDF | Bidirectional Reflectance Distribution Function |
| HAND | Height Above Nearest Drainage |
| VHRI | Very High-Resolution Images |
| SAR | Synthetic-Aperture Radar |
| ESA | European Space Agency |
Appendix A

Appendix B
| (A) Error Matrix of Reference Data | ||||||
| Reference | ||||||
| G. dewevrei | Other | Total | Area | Precision | ||
| Map | G. dewevrei | 68 | 18 | 86 | 228,700 | 0.79 |
| Other | 32 | 182 | 214 | 557,100 | 0.85 | |
| Total | 100 | 200 | 300 | 785,800 | ||
| Recall | 0.68 | 0.91 | ||||
| F1 score | 0.73 | 0.88 | ||||
| (B) Error Matrix of Area Proportions | ||||||
| Reference | ||||||
| G. dewevrei | Other | Total | User accuracy | 95% CI | ||
| Map | G. dewevrei | 0.23 | 0.061 | 0.291 | 0.79 | 0.09 |
| Other | 0.106 | 0.603 | 0.709 | 0.85 | 0.05 | |
| Total | 0.336 | 0.664 | 1 | |||
| Producer accuracy | 0.68 | 0.91 | Overall | 0.83 | 0.04 | |
| 95% CI | 0.07 | 0.03 | ||||
| (C) Mapped and Estimated Area | ||||||
| Mapped area (ha) | Estimated area (ha) | Lower 95% CI | Upper 95% CI | |||
| G. dewevrei | 228,700 | 264,137 | 230,925 | 297,349 | ||
| Other | 557,100 | 521,663 | 488,451 | 554,875 | ||
| Total | 785,800 | |||||
Appendix C

Appendix D
| Number of Trees | Training Accuracy | Validation Accuracy |
|---|---|---|
| 100 | 0.996 | 0.898 |
| 200 | 0.999 | 0.895 |
| 300 | 0.999 | 0.898 |
| 400 | 1 | 0.895 |
| 500 | 1 | 0.902 |
| 600 | 1 | 0.902 |
| 700 | 1 | 0.902 |
| 800 | 1 | 0.906 |
| 900 | 1 | 0.906 |
| 1000 | 1 | 0.906 |
Appendix E
| (A) Error Matrix of Reference Data | ||||||
| Reference | ||||||
| G. dewevrei | Other | Total | Area | Precision | ||
| Map | G. dewevrei | 31.00 | 3.00 | 34 | 84,800 | 0.91 |
| Other | 7.00 | 39.00 | 46 | 163,900 | 0.85 | |
| Total | 38.00 | 42.00 | 80 | 248,700 | ||
| Recall | 0.82 | 0.93 | ||||
| F1 score | 0.86 | 0.89 | ||||
| (B) Error Matrix Of area Proportions | ||||||
| Reference | ||||||
| G. dewevrei | Other | Total | User accuracy | 95% CI | ||
| Map | G. dewevrei | 0.311 | 0.03 | 0.341 | 0.91 | 0.1 |
| Other | 0.1 | 0.559 | 0.659 | 0.85 | 0.1 | |
| Total | 0.411 | 0.589 | 1 | |||
| Producer accuracy | 0.76 | 0.95 | Overall | 0.87 | 0.08 | |
| 95% CI | 0.13 | 0.05 | ||||
| (C) Mapped and Estimated Area | ||||||
| Mapped area (ha) | Estimated area (ha) | Lower 95% CI | Upper 95% CI | |||
| G. dewevrei | 84,800 | 102,259 | 83,201 | 121,317 | ||
| Other | 163,900 | 146,441 | 127,383 | 165,499 | ||
| Total | 248,700 | |||||
| (A) Error Matrix of Reference Data | ||||||
| Reference | ||||||
| G. dewevrei | Other | Total | Area | Precision | ||
| Map | G. dewevrei | 34.00 | 13.00 | 47 | 143,900 | 0.72 |
| Other | 28.00 | 145.00 | 173 | 393,200 | 0.84 | |
| Total | 62.00 | 158.00 | 220 | 537,100 | ||
| Recall | 0.55 | 0.92 | ||||
| F1 score | 0.62 | 0.88 | ||||
| (B) Error Matrix of Area Proportions | ||||||
| Reference | ||||||
| G. dewevrei | Other | Total | User accuracy | 95% CI | ||
| Map | G. dewevrei | 0.194 | 0.074 | 0.268 | 0.72 | 0.13 |
| Other | 0.118 | 0.614 | 0.732 | 0.84 | 0.06 | |
| Total | 0.312 | 0.688 | 1 | |||
| Producer accuracy | 0.62 | 0.89 | Overall | 0.81 | 0.05 | |
| 95% CI | 0.09 | 0.05 | ||||
| (C) Mapped and Estimated Area | ||||||
| Mapped area (ha) | Estimated area (ha) | Lower 95% CI | Upper 95% CI | |||
| G. dewevrei | 143,900 | 167,737 | 139,199 | 196,275 | ||
| Other | 393,200 | 369,363 | 340,825 | 397,901 | ||
| Total | 537,100 | |||||
References
- Fayolle, A.; Picard, N.; Doucet, J.-L.; Swaine, M.; Bayol, N.; Bénédet, F.; Gourlet-Fleury, S. A New Insight in the Structure, Composition and Functioning of Central African Moist Forests. For. Ecol. Manag. 2014, 329, 195–205. [Google Scholar] [CrossRef]
- Réjou-Méchain, M.; Mortier, F.; Bastin, J.-F.; Cornu, G.; Barbier, N.; Bayol, N.; Bénédet, F.; Bry, X.; Dauby, G.; Deblauwe, V.; et al. Unveiling African Rainforest Composition and Vulnerability to Global Change. Nature 2021, 593, 90–94. [Google Scholar] [CrossRef] [PubMed]
- Jucker, T.; Bongalov, B.; Burslem, D.F.R.P.; Nilus, R.; Dalponte, M.; Lewis, S.L.; Phillips, O.L.; Qie, L.; Coomes, D.A. Topography Shapes the Structure, Composition and Function of Tropical Forest Landscapes. Ecol. Lett. 2018, 21, 989–1000. [Google Scholar] [CrossRef] [PubMed]
- Givnish, T.J. On the Causes of Gradients in Tropical Tree Diversity. J. Ecol. 1999, 87, 193–210. [Google Scholar] [CrossRef]
- Kerr, J.T.; Ostrovsky, M. From Space to Species: Ecological Applications for Remote Sensing. Trends Ecol. Evol. 2003, 18, 299–305. [Google Scholar] [CrossRef]
- Turner, W.; Spector, S.; Gardiner, N.; Fladeland, M.; Sterling, E.; Steininger, M. Remote Sensing for Biodiversity Science and Conservation. Trends Ecol. Evol. 2003, 18, 306–314. [Google Scholar] [CrossRef]
- Wang, K.; Franklin, S.E.; Guo, X.; Cattet, M. Remote Sensing of Ecology, Biodiversity and Conservation: A Review from the Perspective of Remote Sensing Specialists. Sensors 2010, 10, 9647–9667. [Google Scholar] [CrossRef]
- Anderson, C.B. Biodiversity Monitoring, Earth Observations and the Ecology of Scale. Ecol. Lett. 2018, 21, 1572–1585. [Google Scholar] [CrossRef]
- Cavender-Bares, J.; Schneider, F.D.; Santos, M.J.; Armstrong, A.; Carnaval, A.; Dahlin, K.M.; Fatoyinbo, L.; Hurtt, G.C.; Schimel, D.; Townsend, P.A.; et al. Integrating Remote Sensing with Ecology and Evolution to Advance Biodiversity Conservation. Nat. Ecol. Evol. 2022, 6, 506–519. [Google Scholar] [CrossRef]
- Ordway, E.M.; Naylor, R.L.; Nkongho, R.N.; Lambin, E.F. Oil Palm Expansion and Deforestation in Southwest Cameroon Associated with Proliferation of Informal Mills. Nat. Commun. 2019, 10, 114. [Google Scholar] [CrossRef]
- Fonteyn, D.; Vermeulen, C.; Gorel, A.; Silva de Miranda, P.L.; Lhoest, S.; Fayolle, A. Biogeography of Central African Forests: Determinants, Ongoing Threats and Conservation Priorities of Mammal Assemblages. Divers. Distrib. 2023, 29, 698–712. [Google Scholar] [CrossRef]
- Picard, J.; Nungi-Pambu Dembi, M.M.; Barbier, N.; Cornu, G.; Couteron, P.; Forni, E.; Gibbon, G.; Lim, F.; Ploton, P.; Pouteau, R.; et al. Combining Satellite and Field Data Reveals Congo’s Forest Types Structure, Functioning and Composition. Remote Sens. Ecol. Conserv. 2024, 11, 200–220. [Google Scholar] [CrossRef]
- Turubanova, S.; Potapov, P.V.; Tyukavina, A.; Hansen, M.C. Ongoing Primary Forest Loss in Brazil, Democratic Republic of the Congo, and Indonesia. Environ. Res. Lett. 2018, 13, 074028. [Google Scholar] [CrossRef]
- Gourlet-Fleury, S.; Mortier, F.; Fayolle, A.; Baya, F.; Ouédraogo, D.; Bénédet, F.; Picard, N. Tropical Forest Recovery from Logging: A 24 Year Silvicultural Experiment from Central Africa. Phil. Trans. R. Soc. B 2013, 368, 20120302. [Google Scholar] [CrossRef]
- Edwards, D.P.; Socolar, J.B.; Mills, S.C.; Burivalova, Z.; Koh, L.P.; Wilcove, D.S. Conservation of Tropical Forests in the Anthropocene. Curr. Biol. 2019, 29, R1008–R1020. [Google Scholar] [CrossRef] [PubMed]
- White, F. The Vegetation of Africa; United Nations Educational, Scientific and Cultural Organization: Paris, France, 1983. [Google Scholar]
- Raven, P.H.; Gereau, R.E.; Phillipson, P.B.; Chatelain, C.; Jenkins, C.N.; Ulloa Ulloa, C. The Distribution of Biodiversity Richness in the Tropics. Sci. Adv. 2020, 6, eabc6228. [Google Scholar] [CrossRef]
- Mittermeier, R.A.; Myers, N.; Thomsen, J.B.; Da Fonseca, G.A.B.; Olivieri, S. Biodiversity Hotspots and Major Tropical Wilderness Areas: Approaches to Setting Conservation Priorities. Conserv. Biol. 1998, 12, 516–520. [Google Scholar] [CrossRef]
- Grantham, H.S.; Shapiro, A.; Bonfils, D.; Gond, V.; Goldman, E.; Maisels, F.; Plumptre, A.J.; Rayden, T.; Robinson, J.G.; Strindberg, S.; et al. Spatial Priorities for Conserving the Most Intact Biodiverse Forests within Central Africa. Environ. Res. Lett. 2020, 15, 0940b5. [Google Scholar] [CrossRef]
- Brooks, T.M.; Mittermeier, R.A.; Da Fonseca, G.A.B.; Gerlach, J.; Hoffmann, M.; Lamoreux, J.F.; Mittermeier, C.G.; Pilgrim, J.D.; Rodrigues, A.S.L. Global Biodiversity Conservation Priorities. Science 2006, 313, 58–61. [Google Scholar] [CrossRef]
- Maisels, F.; Strindberg, S.; Blake, S.; Wittemyer, G.; Hart, J.; Williamson, E.A.; Aba’a, R.; Abitsi, G.; Ambahe, R.D.; Amsini, F.; et al. Devastating Decline of Forest Elephants in Central Africa. PLoS ONE 2013, 8, e59469. [Google Scholar] [CrossRef]
- Abernethy, K.; Maisels, F.; White, L.J.T. Environmental Issues in Central Africa. Annu. Rev. Environ. Resour. 2016, 41, 1–33. [Google Scholar] [CrossRef]
- Strindberg, S.; Maisels, F.; Williamson, E.A.; Blake, S.; Stokes, E.J.; Aba’a, R.; Abitsi, G.; Agbor, A.; Ambahe, R.D.; Bakabana, P.C.; et al. Guns, Germs, and Trees Determine Density and Distribution of Gorillas and Chimpanzees in Western Equatorial Africa. Sci. Adv. 2018, 4, eaar2964. [Google Scholar] [CrossRef]
- Saatchi, S.S.; Harris, N.L.; Brown, S.; Lefsky, M.; Mitchard, E.T.A.; Salas, W.; Zutta, B.R.; Buermann, W.; Lewis, S.L.; Hagen, S.; et al. Benchmark Map of Forest Carbon Stocks in Tropical Regions across Three Continents. Proc. Natl. Acad. Sci. USA 2011, 108, 9899–9904. [Google Scholar] [CrossRef] [PubMed]
- Sullivan, M.J.P.; Talbot, J.; Lewis, S.L.; Phillips, O.L.; Qie, L.; Begne, S.K.; Chave, J.; Cuni-Sanchez, A.; Hubau, W.; Lopez-Gonzalez, G.; et al. Diversity and Carbon Storage across the Tropical Forest Biome. Sci. Rep. 2017, 7, 39102. [Google Scholar] [CrossRef] [PubMed]
- Poulsen, J.R.; Clark, C.J.; Mavah, G.; Elkan, P.W. Bushmeat Supply and Consumption in a Tropical Logging Concession in Northern Congo. Conserv. Biol. 2009, 23, 1597–1608. [Google Scholar] [CrossRef]
- Nasi, R.; Taber, A.; Van Vliet, N. Empty Forests, Empty Stomachs? Bushmeat and Livelihoods in the Congo and Amazon Basins. Int. For. Rev. 2011, 13, 355–368. [Google Scholar] [CrossRef]
- White, L.J.T.; Masudi, E.B.; Ndongo, J.D.; Matondo, R.; Soudan-Nonault, A.; Ngomanda, A.; Averti, I.S.; Ewango, C.E.N.; Sonké, B.; Lewis, S.L. Congo Basin Rainforest—Invest US$150 Million in Science. Nature 2021, 598, 411–414. [Google Scholar] [CrossRef]
- Shapiro, A.; d’Annunzio, R.; Desclée, B.; Jungers, Q.; Kondjo, H.K.; Iyanga, J.M.; Gangyo, F.I.; Nana, T.; Obame, C.V.; Milandou, C.; et al. Small Scale Agriculture Continues to Drive Deforestation and Degradation in Fragmented Forests in the Congo Basin (2015–2020). Land. Use Policy 2023, 134, 106922. [Google Scholar] [CrossRef]
- Mayaux, P.; Pekel, J.-F.; Desclée, B.; Donnay, F.; Lupi, A.; Achard, F.; Clerici, M.; Bodart, C.; Brink, A.; Nasi, R.; et al. State and Evolution of the African Rainforests between 1990 and 2010. Phil. Trans. R. Soc. B 2013, 368, 20120300. [Google Scholar] [CrossRef]
- Edwards, D.P.; Sloan, S.; Weng, L.; Dirks, P.; Sayer, J.; Laurance, W.F. Mining and the African Environment. Conserv. Lett. 2014, 7, 302–311. [Google Scholar] [CrossRef]
- Zhou, L.; Tian, Y.; Myneni, R.B.; Ciais, P.; Saatchi, S.; Liu, Y.Y.; Piao, S.; Chen, H.; Vermote, E.F.; Song, C.; et al. Widespread Decline of Congo Rainforest Greenness in the Past Decade. Nature 2014, 509, 86–90. [Google Scholar] [CrossRef]
- Zelazowski, P.; Malhi, Y.; Huntingford, C.; Sitch, S.; Fisher, J.B. Changes in the Potential Distribution of Humid Tropical Forests on a Warmer Planet. Phil. Trans. R. Soc. A. 2011, 369, 137–160. [Google Scholar] [CrossRef] [PubMed]
- Fritz, S.; See, L.; McCallum, I.; Schill, C.; Obersteiner, M.; Van Der Velde, M.; Boettcher, H.; Havlík, P.; Achard, F. Highlighting Continued Uncertainty in Global Land Cover Maps for the User Community. Environ. Res. Lett. 2011, 6, 044005. [Google Scholar] [CrossRef]
- Fassnacht, F.E.; Latifi, H.; Stereńczak, K.; Modzelewska, A.; Lefsky, M.; Waser, L.T.; Straub, C.; Ghosh, A. Review of Studies on Tree Species Classification from Remotely Sensed Data. Remote Sens. Environ. 2016, 186, 64–87. [Google Scholar] [CrossRef]
- Flores-Anderson, A.I.; Cardille, J.; Azad, K.; Cherrington, E.; Zhang, Y.; Wilson, S. Spatial and Temporal Availability of Cloud-Free Optical Observations in the Tropics to Monitor Deforestation. Sci. Data 2023, 10, 550. [Google Scholar] [CrossRef]
- Martins, V.S.; Novo, E.M.L.M.; Lyapustin, A.; Aragão, L.E.O.C.; Freitas, S.R.; Barbosa, C.C.F. Seasonal and Interannual Assessment of Cloud Cover and Atmospheric Constituents across the Amazon (2000–2015): Insights for Remote Sensing and Climate Analysis. ISPRS J. Photogramm. Remote Sens. 2018, 145, 309–327. [Google Scholar] [CrossRef]
- Simonetti, D.; Pimple, U.; Langner, A.; Marelli, A. Pan-Tropical Sentinel-2 Cloud-Free Annual Composite Datasets. Data Brief. 2021, 39, 107488. [Google Scholar] [CrossRef]
- Gond, V.; Fayolle, A.; Pennec, A.; Cornu, G.; Mayaux, P.; Camberlin, P.; Doumenge, C.; Fauvet, N.; Gourlet-Fleury, S. Vegetation Structure and Greenness in Central Africa from Modis Multi-Temporal Data. Phil. Trans. R. Soc. B 2013, 368, 20120309. [Google Scholar] [CrossRef] [PubMed]
- Viennois, G.; Barbier, N.; Fabre, I.; Couteron, P. Multiresolution Quantification of Deciduousness in West-Central African Forests. Biogeosciences 2013, 10, 6957–6967. [Google Scholar] [CrossRef]
- Chraibi, E.; De Boissieu, F.; Barbier, N.; Luque, S.; Féret, J.-B. Stability in Time and Consistency between Atmospheric Corrections: Assessing the Reliability of Sentinel-2 Products for Biodiversity Monitoring in Tropical Forests. Int. J. Appl. Earth Obs. Geoinf. 2022, 112, 102884. [Google Scholar] [CrossRef]
- Dalimier, J.; Claverie, M.; Goffart, B.; Jungers, Q.; Lamarche, C.; De Maet, T.; Defourny, P. Characterizing the Congo Basin Forests by a Detailed Forest Typology Enriched with Forest Biophysical Variables. In Proceedings of the 2021 IEEE International Geoscience and Remote Sensing Symposium IGARSS, Brussels, Belgium, 11 July 2021; pp. 673–676. [Google Scholar]
- Connell, J.H.; Lowman, M.D. Low-Diversity Tropical Rain Forests: Some Possible Mechanisms for Their Existence. Am. Nat. 1989, 134, 88–119. [Google Scholar] [CrossRef]
- Hart, T.B.; Hart, J.A.; Murphy, P.G. Monodominant and Species-Rich Forests of the Humid Tropics: Causes for Their Co-Occurrence. Am. Nat. 1989, 133, 613–633. [Google Scholar] [CrossRef]
- Hart, T.B. Monospecific Dominance in Tropical Rain Forests. Trends Ecol. Evol. 1990, 5, 6–11. [Google Scholar] [CrossRef] [PubMed]
- Torti, S.D.; Coley, P.D.; Kursar, T.A. Causes and Consequences of Monodominance in Tropical Lowland Forests. Am. Nat. 2001, 157, 141–153. [Google Scholar] [CrossRef] [PubMed]
- Peh, K.S.-H.; Lewis, S.L.; Lloyd, J. Mechanisms of Monodominance in Diverse Tropical Tree-Dominated Systems. J. Ecol. 2011, 99, 891–898. [Google Scholar] [CrossRef]
- Kearsley, E.; Verbeeck, H.; Hufkens, K.; Van de Perre, F.; Doetterl, S.; Baert, G.; Beeckman, H.; Boeckx, P.; Huygens, D. Functional Community Structure of African Monodominant Gilbertiodendron dewevrei Forest Influenced by Local Environmental Filtering. Ecol. Evol. 2017, 7, 295–304. [Google Scholar] [CrossRef]
- Hall, J.S.; Harris, D.J.; Saltonstall, K.; Medjibe, V.d.P.; Ashton, M.S.; Turner, B.L. Resource Acquisition Strategies Facilitate Gilbertiodendron dewevrei Monodominance in African Lowland Forests. J. Ecol. 2020, 108, 433–448. [Google Scholar] [CrossRef]
- Gérard, P. Etude Écologique de la Forêt Dense à Gilbertiodendron Dewevrei dans La Région de l’Uele; Institut National pour l’Etude Agronomique du Congo: Brussels, Belgium, 1960. [Google Scholar]
- Heimpel, E.; Ahrends, A.; Dexter, K.G.; Hall, J.S.; Mamboueni, J.; Medjibe, V.P.; Morgan, D.; Sanz, C.; Harris, D.J. Floristic and Structural Distinctness of Monodominant Gilbertiodendron dewevrei Forest in the Western Congo Basin. Plecevo 2024, 157, 55–74. [Google Scholar] [CrossRef]
- Barbier, N.; Libalah, M.; Katembo, J.; Ploton, P.; Droissart, V.; Texier, N.; Kamdem, N.; Viennois, G.; Pélissier, R.; Couteron, P.; et al. Pistes Pour l’étude de La Distribution Des Peuplements de Gilbertiodedron Dewevrei Comme Signature Des Impacts Climatiques Ou Anthropiques Anciens. In Pour une Ecologie Historique en Afrique Centrale; AUF-IRD: Bondy, France, 2017; pp. 157–170. [Google Scholar]
- Degagne, R.S.; Henkel, T.W.; Steinberg, S.J.; Fox III, L. Identifying Dicymbe Corymbosa Monodominant Forests in Guyana Using Satellite Imagery. Biotropica 2009, 41, 7–15. [Google Scholar] [CrossRef]
- Helmer, E.H.; Ruzycki, T.S.; Benner, J.; Voggesser, S.M.; Scobie, B.P.; Park, C.; Fanning, D.W.; Ramnarine, S. Detailed Maps of Tropical Forest Types Are within Reach: Forest Tree Communities for Trinidad and Tobago Mapped with Multiseason Landsat and Multiseason Fine-Resolution Imagery. For. Ecol. Manag. 2012, 279, 147–166. [Google Scholar] [CrossRef]
- European Commission. The Forests of the Congo. Basin: State of the Forest 2008; Publications Office: Luxembourg, 2010.
- FAO. Soils Map of the World 1:500,000 Volume VI, Africa; Food and Agrculture Organization of the United Nations: Paris, France, 1977. [Google Scholar]
- Harris, D.J. The Vascular Plants of the Dzanga-Sangha Reserve, Central African Republic. Scr. Bot. Belg. 2002, 23, 1–274. [Google Scholar]
- Saah, D.; Johnson, G.; Ashmall, B.; Tondapu, G.; Tenneson, K.; Patterson, M.; Poortinga, A.; Markert, K.; Quyen, N.H.; San Aung, K.; et al. Collect Earth: An Online Tool for Systematic Reference Data Collection in Land Cover and Use Applications. Environ. Model. Softw. 2019, 118, 166–171. [Google Scholar] [CrossRef]
- Zanaga, D.; Van De Kerchove, R.; De Keersmaecker, W.; Souverijns, N.; Brockmann, C.; Quast, R.; Wevers, J.; Grosu, A.; Paccini, A.; Vergnaud, S.; et al. ESA WorldCover 10 m 2020 V100, Zenodo. 2021. Available online: https://doi.org/10.5281/zenodo.5571936 (accessed on 1 April 2025).
- Li, L.; Koopman, M.; Carter, S.; Herold, M.; Georgieva, I.; Lesiv, M. Product Validation Report (D12-PVR), Wageningen University and IIASA. 2021. Available online: https://esa-worldcover.s3.eu-central-1.amazonaws.com/v100/2020/docs/WorldCover_PVR_V1.1.pdf (accessed on 15 April 2025).
- Lim, J.; Kim, K.-M.; Kim, E.-H.; Jin, R. Machine Learning for Tree Species Classification Using Sentinel-2 Spectral Information, Crown Texture, and Environmental Variables. Remote Sens. 2020, 12, 2049. [Google Scholar] [CrossRef]
- Gutkin, N.; Uwizeyimana, V.; Somers, B.; Muys, B.; Verbist, B. Supervised Classification of Tree Cover Classes in the Complex Mosaic Landscape of Eastern Rwanda. Remote Sens. 2023, 15, 2606. [Google Scholar] [CrossRef]
- Gregorutti, B.; Michel, B.; Saint-Pierre, P. Correlation and Variable Importance in Random Forests. Stat. Comput. 2017, 27, 659–678. [Google Scholar] [CrossRef]
- Sheykhmousa, M.; Mahdianpari, M.; Ghanbari, H.; Mohammadimanesh, F.; Ghamisi, P.; Homayouni, S. Support Vector Machine Versus Random Forest for Remote Sensing Image Classification: A Meta-Analysis and Systematic Review. IEEE J. Sel. Top. Appl. Earth Obs. Remote Sens. 2020, 13, 6308–6325. [Google Scholar] [CrossRef]
- Breiman, L. Random Forests. Mach. Learn. 2001, 45, 5–32. [Google Scholar] [CrossRef]
- Mountrakis, G.; Im, J.; Ogole, C. Support Vector Machines in Remote Sensing: A Review. ISPRS J. Photogramm. Remote Sens. 2011, 66, 247–259. [Google Scholar] [CrossRef]
- Belgiu, M.; Drăguţ, L. Random Forest in Remote Sensing: A Review of Applications and Future Directions. ISPRS J. Photogramm. Remote Sens. 2016, 114, 24–31. [Google Scholar] [CrossRef]
- Crezee, B.; Dargie, G.C.; Ewango, C.E.N.; Mitchard, E.T.A.; Emba, B.O.; Kanyama, T.J.; Bola, P.; Ndjango, J.-B.N.; Girkin, N.T.; Bocko, Y.E.; et al. Mapping Peat Thickness and Carbon Stocks of the Central Congo Basin Using Field Data. Nat. Geosci. 2022, 15, 639–644. [Google Scholar] [CrossRef]
- Olofsson, P.; Foody, G.M.; Herold, M.; Stehman, S.V.; Woodcock, C.E.; Wulder, M.A. Good Practices for Estimating Area and Assessing Accuracy of Land Change. Remote Sens. Environ. 2014, 148, 42–57. [Google Scholar] [CrossRef]
- Grill, G.; Lehner, B.; Thieme, M.; Geenen, B.; Tickner, D.; Antonelli, F.; Babu, S.; Borrelli, P.; Cheng, L.; Crochetiere, H.; et al. Mapping the World’s Free-Flowing Rivers. Nature 2019, 569, 215–221. [Google Scholar] [CrossRef]
- European Space Agency S2 Mission. SentiWiki-Sentinel-2. Available online: https://sentiwiki.copernicus.eu/web/s2-mission (accessed on 14 January 2025).
- Haralick, R.M.; Shanmugam, K.; Dinstein, I. Textural Features for Image Classification. IEEE Trans. Syst. Man. Cybern. 1973, SMC-3, 610–621. [Google Scholar] [CrossRef]
- Balling, J.; Herold, M.; Reiche, J. How Textural Features Can Improve SAR-Based Tropical Forest Disturbance Mapping. Int. J. Appl. Earth Obs. Geoinf. 2023, 124, 103492. [Google Scholar] [CrossRef]
- Danylo, O.; Pirker, J.; Lemoine, G.; Ceccherini, G.; See, L.; McCallum, I.; Hadi; Kraxner, F.; Achard, F.; Fritz, S. A Map of the Extent and Year of Detection of Oil Palm Plantations in Indonesia, Malaysia and Thailand. Sci. Data 2021, 8, 96. [Google Scholar] [CrossRef] [PubMed]
- Hethcoat, M.G.; Carreiras, J.M.B.; Edwards, D.P.; Bryant, R.G.; Quegan, S. Detecting Tropical Selective Logging with C-Band SAR Data May Require a Time Series Approach. Remote Sens. Environ. 2021, 259, 112411. [Google Scholar] [CrossRef]
- Letouzey, R.G. Phytogeographical Study of Cameroon; P. Lechevalier: Paris, France, 1968. [Google Scholar]
- Blake, S.; Fay, J.M. Seed Production by Gilbertiodendron dewevrei in the Nouabalé-Ndoki National Park, Congo, and Its Implications for Large Mammals. J. Trop. Ecol. 1997, 13, 885–891. [Google Scholar] [CrossRef]
- Van Der Burgt, X.M.; Mackinder, B.A.; Wieringa, J.J.; De La Estrella, M. The Gilbertiodendron Ogoouense Species Complex (Leguminosae: Caesalpinioideae), Central Africa. Kew Bull. 2015, 70, 29. [Google Scholar] [CrossRef]
- Letouzey, R.G. Quelques Exemples Camerounais de Liaison Possible Entre Phénomènes Géologiques et Végétation. Bothalia 1983, 14, 739–744. [Google Scholar] [CrossRef]
- Letouzey, R.G. Notice de la Carte Phytogéographique du Cameroun au 1:500,000; Institut de la Carte Internationale de Végétation: Toulouse, France, 1985. [Google Scholar]
- Tovar, C.; Harris, D.J.; Breman, E.; Brncic, T.; Willis, K.J. Tropical Monodominant Forest Resilience to Climate Change in Central Africa: A Gilbertiodendron dewevrei Forest Pollen Record over the Past 2700 Years. J. Veg. Sci. 2019, 30, 575–586. [Google Scholar] [CrossRef]
- Nomura, K.; Mitchard, E. More Than Meets the Eye: Using Sentinel-2 to Map Small Plantations in Complex Forest Landscapes. Remote Sens. 2018, 10, 1693. [Google Scholar] [CrossRef]
- Peh, K.S.-H.; Sonké, B.; Lloyd, J.; Quesada, C.A.; Lewis, S.L. Soil Does Not Explain Monodominance in a Central African Tropical Forest. PLoS ONE 2011, 6, e16996. [Google Scholar] [CrossRef] [PubMed]
- De Almeida, D.R.A.; Vedovato, L.B.; Fuza, M.; Molin, P.; Cassol, H.; Resende, A.F.; Krainovic, P.M.; De Almeida, C.T.; Amaral, C.; Haneda, L.; et al. Remote Sensing Approaches to Monitor Tropical Forest Restoration: Current Methods and Future Possibilities. J. Appl. Ecol. 2025, 62, 188–206. [Google Scholar] [CrossRef]
- Guanter, L.; Kaufmann, H.; Segl, K.; Foerster, S.; Rogass, C.; Chabrillat, S.; Kuester, T.; Hollstein, A.; Rossner, G.; Chlebek, C.; et al. The EnMAP Spaceborne Imaging Spectroscopy Mission for Earth Observation. Remote Sens. 2015, 7, 8830–8857. [Google Scholar] [CrossRef]
- Albuquerque, R.W.; Vieira, D.L.M.; Ferreira, M.E.; Soares, L.P.; Olsen, S.I.; Araujo, L.S.; Vicente, L.E.; Tymus, J.R.C.; Balieiro, C.P.; Matsumoto, M.H.; et al. Mapping Key Indicators of Forest Restoration in the Amazon Using a Low-Cost Drone and Artificial Intelligence. Remote Sens. 2022, 14, 830. [Google Scholar] [CrossRef]
- Ferreira, M.P.; Almeida, D.R.A.D.; Papa, D.D.A.; Minervino, J.B.S.; Veras, H.F.P.; Formighieri, A.; Santos, C.A.N.; Ferreira, M.A.D.; Figueiredo, E.O.; Ferreira, E.J.L. Individual Tree Detection and Species Classification of Amazonian Palms Using UAV Images and Deep Learning. For. Ecol. Manag. 2020, 475, 118397. [Google Scholar] [CrossRef]
- Heiss, N.; Meier, J.; Gessner, U.; Kuenzer, C. A Review: Potential of Earth Observation (EO) for Mapping Small-Scale Agriculture and Cropping Systems in West Africa. Land 2025, 14, 171. [Google Scholar] [CrossRef]
- Scheeres, J.; De Jong, J.; Brede, B.; Brancalion, P.H.S.; Broadbent, E.N.; Zambrano, A.M.A.; Gorgens, E.B.; Silva, C.A.; Valbuena, R.; Molin, P.; et al. Distinguishing Forest Types in Restored Tropical Landscapes with UAV-Borne LIDAR. Remote Sens. Environ. 2023, 290, 113533. [Google Scholar] [CrossRef]
- Andersen, H.-E.; Reutebuch, S.E.; McGaughey, R.J.; d’Oliveira, M.V.N.; Keller, M. Monitoring Selective Logging in Western Amazonia with Repeat Lidar Flights. Remote Sens. Environ. 2014, 151, 157–165. [Google Scholar] [CrossRef]
- Stark, S.C.; Leitold, V.; Wu, J.L.; Hunter, M.O.; De Castilho, C.V.; Costa, F.R.C.; McMahon, S.M.; Parker, G.G.; Shimabukuro, M.T.; Lefsky, M.A.; et al. Amazon Forest Carbon Dynamics Predicted by Profiles of Canopy Leaf Area and Light Environment. Ecol. Lett. 2012, 15, 1406–1414. [Google Scholar] [CrossRef]
- Khati, U.; Singh, G. Combining L-Band Synthetic Aperture Radar Backscatter and TanDEM-X Canopy Height for Forest Aboveground Biomass Estimation. Front. For. Glob. Change 2022, 5, 918408. [Google Scholar] [CrossRef]
- Lei, Y.; Treuhaft, R.; Gonçalves, F. Automated Estimation of Forest Height and Underlying Topography over a Brazilian Tropical Forest with Single-Baseline Single-Polarization TanDEM-X SAR Interferometry. Remote Sens. Environ. 2021, 252, 112132. [Google Scholar] [CrossRef]
- Liu, M.; Han, Z.; Chen, Y.; Liu, Z.; Han, Y. Tree Species Classification of LiDAR Data Based on 3D Deep Learning. Measurement 2021, 177, 109301. [Google Scholar] [CrossRef]
- Michałowska, M.; Rapiński, J. A Review of Tree Species Classification Based on Airborne LiDAR Data and Applied Classifiers. Remote Sens. 2021, 13, 353. [Google Scholar] [CrossRef]
- Quan, Y.; Li, M.; Hao, Y.; Liu, J.; Wang, B. Tree Species Classification in a Typical Natural Secondary Forest Using UAV-Borne LiDAR and Hyperspectral Data. GIScience Remote Sens. 2023, 60, 2171706. [Google Scholar] [CrossRef]
- Marselis, S.M.; Tang, H.; Armston, J.; Abernethy, K.; Alonso, A.; Barbier, N.; Bissiengou, P.; Jeffery, K.; Kenfack, D.; Labrière, N.; et al. Exploring the Relation between Remotely Sensed Vertical Canopy Structure and Tree Species Diversity in Gabon. Environ. Res. Lett. 2019, 14, 094013. [Google Scholar] [CrossRef]
- Richards, P.W. The Tropical Rain Forest: An Ecological Study, 2nd ed.; Cambridge University Press: Cambridge, UK, 1996. [Google Scholar]
- Yan, S.; Jing, L.; Wang, H. A New Individual Tree Species Recognition Method Based on a Convolutional Neural Network and High-Spatial Resolution Remote Sensing Imagery. Remote Sens. 2021, 13, 479. [Google Scholar] [CrossRef]








| Input | Description |
|---|---|
| B3 | Sentinel-2 Green band (10 m) |
| B5 | Sentinel-2 Red Edge 1 band (20 m) |
| B6 | Sentinel-2 Red Edge 2 band (20 m) |
| B8A | Sentinel-2 Red Edge 4 band (20 m) |
| B9 | Sentinel-2 Water vapour band (60 m) |
| B11 | Sentinel-2 SWIR 1 band (20 m) |
| B12 | Sentinel-2 SWIR 2 band (20 m) |
| B3_PCA | PCA of B3 (Green band) |
| B5_PCA | PCA of B5 (Red Edge 1 band) |
| NDVI | Normalized difference vegetation index: NIR = (B8 − B4)/(B8 + B4) |
| SATVI | Soil-adjusted total vegetation index: SATVI = ((SWIR1 − RED)/(SWIR1 + RED + 0.1)) ×(1.1 − (SWIR2/2)) |
| texture | Standard deviation of NDVI (5 × 5 pixel moving window) |
| savg B11 | Sum average B11 Sum average = average of pixel pairs within a GLCM. Where Ng is the number of distinct gray levels in the quantized image. |
| savg B5 | Sum average B5 |
| savg B6 | Sum average B6 |
| savg B8 | Sum average B8 |
| (A) Error Matrix of Reference Data | ||||||
| Reference | ||||||
| G. dewevrei | Other | Total | Area | Precision | ||
| Map | G. dewevrei | 65 | 16 | 81 | 228,700 | 0.80 |
| Other | 35 | 184 | 219 | 557,100 | 0.84 | |
| Total | 100 | 200 | 300 | 785,800 | ||
| Recall | 0.65 | 0.92 | ||||
| F1 score | 0.72 | 0.88 | ||||
| (B) Error Matrix of Area Proportions | ||||||
| Reference | ||||||
| G. dewevrei | Other | Total | User accuracy | 95% CI | ||
| Map | G. dewevrei | 0.234 | 0.057 | 0.291 | 0.8 | 0.09 |
| Other | 0.113 | 0.596 | 0.709 | 0.84 | 0.05 | |
| Total | 0.347 | 0.653 | 1 | |||
| Producer accuracy | 0.67 | 0.91 | Overall | 0.83 | 0.04 | |
| 95% CI | 0.07 | 0.04 | ||||
| (C) Mapped and Estimated Area | ||||||
| Mapped area (ha) | Estimated area (ha) | Lower 95% CI | Upper 95% CI | |||
| G. dewevrei | 228,700 | 272,559 | 238,907 | 306,211 | ||
| Other | 557,100 | 513,241 | 479,589 | 546,893 | ||
| Total | 785,800 | |||||
Disclaimer/Publisher’s Note: The statements, opinions and data contained in all publications are solely those of the individual author(s) and contributor(s) and not of MDPI and/or the editor(s). MDPI and/or the editor(s) disclaim responsibility for any injury to people or property resulting from any ideas, methods, instructions or products referred to in the content. |
© 2025 by the authors. Licensee MDPI, Basel, Switzerland. This article is an open access article distributed under the terms and conditions of the Creative Commons Attribution (CC BY) license (https://creativecommons.org/licenses/by/4.0/).
Share and Cite
Heimpel, E.; Harris, D.J.; Mamboueni, J.; Morgan, D.; Sanz, C.; Ahrends, A. Mapping of Monodominant Gilbertiodendron dewevrei Forest Across the Western Congo Basin Using Sentinel-2 Imagery. Remote Sens. 2025, 17, 1639. https://doi.org/10.3390/rs17091639
Heimpel E, Harris DJ, Mamboueni J, Morgan D, Sanz C, Ahrends A. Mapping of Monodominant Gilbertiodendron dewevrei Forest Across the Western Congo Basin Using Sentinel-2 Imagery. Remote Sensing. 2025; 17(9):1639. https://doi.org/10.3390/rs17091639
Chicago/Turabian StyleHeimpel, Ellen, David J. Harris, Josérald Mamboueni, David Morgan, Crickette Sanz, and Antje Ahrends. 2025. "Mapping of Monodominant Gilbertiodendron dewevrei Forest Across the Western Congo Basin Using Sentinel-2 Imagery" Remote Sensing 17, no. 9: 1639. https://doi.org/10.3390/rs17091639
APA StyleHeimpel, E., Harris, D. J., Mamboueni, J., Morgan, D., Sanz, C., & Ahrends, A. (2025). Mapping of Monodominant Gilbertiodendron dewevrei Forest Across the Western Congo Basin Using Sentinel-2 Imagery. Remote Sensing, 17(9), 1639. https://doi.org/10.3390/rs17091639

