Enhancing Multi-Flight Unmanned-Aerial-Vehicle-Based Detection of Wheat Canopy Chlorophyll Content Using Relative Radiometric Correction
Abstract
1. Introduction
2. Materials and Methods
2.1. Experimental Sites and Design
2.2. Data Acquisition
2.2.1. UAV Data
2.2.2. Sentinel-2 Data
2.2.3. Wheat CCC Measurement
2.3. Relative Radiometric Correction Method
2.4. Comparison and Evaluation
| VIs | Formulation | Reference |
|---|---|---|
| NDVI | (NIR − Red)/(NIR + Red) | [40] |
| NDRE | (NIR − RE)/(NIR + RE) | [41] |
| EVI | 2.5 × (NIR − Red)/(NIR + 6Red − 7.5Green + 1) | [42] |
| CIre | NIR/RE − 1 | [43] |
| CIgreen | NIR/Green − 1 | [44] |
| SARE | (NIR − RE)/(NIR + RE + 0.25) + 0.25 | [45] |
| REDVI | NIR − RE | [46] |
| MTCI | (NIR − RE)/(RE − Red) | [47] |
3. Results
3.1. Comparison of Spectral Bands Before and After Correction
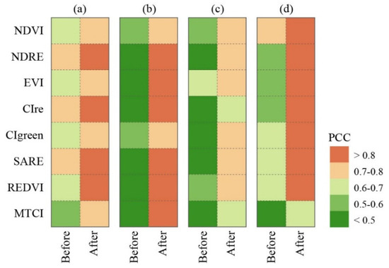
3.2. Comparison of VIs Before and After Correction
3.3. Evaluation of CCC Modelling Before and After Correction
4. Discussion
4.1. Benefits of Relative Radiometric Correction for Multi-Flight UAV Analysis
4.2. Limitations and Future Perspectives
5. Conclusions
Supplementary Materials
Author Contributions
Funding
Data Availability Statement
Acknowledgments
Conflicts of Interest
References
- Pan, W.D.; Cheng, X.D.; Du, R.Y.; Zhu, X.H.; Guo, W.C. Detection of chlorophyll content based on optical properties of maize leaves. Spectroc. Acta Pt. A-Molec. Biomolec. Spectr. 2024, 309, 7. [Google Scholar] [CrossRef] [PubMed]
- Taha, M.F.; Mao, H.P.; Wang, Y.F.; Elmanawy, A.I.; Elmasry, G.; Wu, L.T.; Memon, M.S.; Niu, Z.; Huang, T.; Qiu, Z.J. High-Throughput Analysis of Leaf Chlorophyll Content in Aquaponically Grown Lettuce Using Hyperspectral Reflectance and RGB Images. Plants 2024, 13, 22. [Google Scholar] [CrossRef] [PubMed]
- Zhang, K.Y.; Li, W.L.; Li, H.C.; Luo, Y.F.; Li, Z.; Wang, X.S.; Chen, X.D. A Leaf-Patchable Reflectance Meter for In Situ Continuous Monitoring of Chlorophyll Content. Adv. Sci. 2023, 10, 10. [Google Scholar] [CrossRef] [PubMed]
- Gokool, S.; Mahomed, M.; Kunz, R.; Clulow, A.; Sibanda, M.; Naiken, V.; Chetty, K.; Mabhaudhi, T. Crop Monitoring in Smallholder Farms Using Unmanned Aerial Vehicles to Facilitate Precision Agriculture Practices: A Scoping Review and Bibliometric Analysis. Sustainability 2023, 15, 18. [Google Scholar] [CrossRef]
- Phang, S.K.; Chiang, T.H.A.; Happonen, A.; Chang, M.M.L. From Satellite to UAV-Based Remote Sensing: A Review on Precision Agriculture. IEEE Access 2023, 11, 127057–127076. [Google Scholar] [CrossRef]
- Tanaka, T.S.T.; Wang, S.; Jorgensen, J.R.; Gentili, M.; Vidal, A.Z.; Mortensen, A.K.; Acharya, B.S.; Beck, B.D.; Gislum, R. Review of Crop Phenotyping in Field Plot Experiments Using UAV-Mounted Sensors and Algorithms. Drones 2024, 8, 21. [Google Scholar] [CrossRef]
- Agrawal, J.; Arafat, M.Y. Transforming Farming: A Review of AI-Powered UAV Technologies in Precision Agriculture. Drones 2024, 8, 25. [Google Scholar] [CrossRef]
- Mohsan, S.A.H.; Othman, N.Q.H.; Li, Y.L.; Alsharif, M.H.; Khan, M.A. Unmanned aerial vehicles (UAVs): Practical aspects, applications, open challenges, security issues, and future trends. Intell. Serv. Robot. 2023, 16, 109–137. [Google Scholar] [CrossRef]
- Tong, P.F.; Yang, X.R.; Yang, Y.J.; Liu, W.; Wu, P.Y. Multi-UAV Collaborative Absolute Vision Positioning and Navigation: A Survey and Discussion. Drones 2023, 7, 35. [Google Scholar] [CrossRef]
- Wang, L.; Huang, W.C.; Li, H.X.; Li, W.J.; Chen, J.J.; Wu, W.B. A Review of Collaborative Trajectory Planning for Multiple Unmanned Aerial Vehicles. Processes 2024, 12, 26. [Google Scholar] [CrossRef]
- Jiang, J.L.; Zhang, Q.F.; Wang, W.H.; Wu, Y.P.; Zheng, H.B.; Yao, X.; Zhu, Y.; Cao, W.X.; Cheng, T. MACA: A Relative Radiometric Correction Method for Multiflight Unmanned Aerial Vehicle Images Based on Concurrent Satellite Imagery. IEEE Trans. Geosci. Remote Sens. 2022, 60, 14. [Google Scholar] [CrossRef]
- Yuan, D.; Elvidge, C.D. Comparison of relative radiometric normalization techniques. ISPRS-J. Photogramm. Remote Sens. 1996, 51, 117–126. [Google Scholar] [CrossRef]
- Chen, Y.; Sun, K.; Li, D.; Bai, T.; Huang, C. Radiometric Cross-Calibration of GF-4 PMS Sensor Based on Assimilation of Landsat-8 OLI Images. Remote Sens. 2017, 9, 811. [Google Scholar] [CrossRef]
- Padró, J.-C.; Pons, X.; Aragonés, D.; Díaz-Delgado, R.; García, D.; Bustamante, J.; Pesquer, L.; Domingo-Marimon, C.; González-Guerrero, Ò.; Cristóbal, J.; et al. Radiometric Correction of Simultaneously Acquired Landsat-7/Landsat-8 and Sentinel-2A Imagery Using Pseudoinvariant Areas (PIA): Contributing to the Landsat Time Series Legacy. Remote Sens. 2017, 9, 1319. [Google Scholar] [CrossRef]
- Song, C.; Woodcock, C.E.; Seto, K.C.; Lenney, M.P.; Macomber, S.A. Classification and Change Detection Using Landsat TM Data: When and How to Correct Atmospheric Effects? Remote Sens. Environ. 2001, 75, 230–244. [Google Scholar] [CrossRef]
- Teillet, P.M. Image correction for radiometric effects in remote sensing. Int. J. Remote Sens. 1986, 7, 1637–1651. [Google Scholar] [CrossRef]
- Zhou, J.; Wang, J.; Li, J.; Hu, D. Atmospheric correction of PROBA/CHRIS data in an urban environment. Int. J. Remote Sens. 2011, 32, 2591–2604. [Google Scholar] [CrossRef]
- Hall, F.G.; Strebel, D.E.; Nickeson, J.E.; Goetz, S.J. Radiometric rectification: Toward a common radiometric response among multidate, multisensor images. Remote Sens. Environ. 1991, 35, 11–27. [Google Scholar] [CrossRef]
- Xu, Q.; Hou, Z.; Tokola, T. Relative radiometric correction of multi-temporal ALOS AVNIR-2 data for the estimation of forest attributes. ISPRS-J. Photogramm. Remote Sens. 2012, 68, 69–78. [Google Scholar] [CrossRef]
- Chen, X.; Vierling, L.; Deering, D. A simple and effective radiometric correction method to improve landscape change detection across sensors and across time. Remote Sens. Environ. 2005, 98, 63–79. [Google Scholar] [CrossRef]
- Schroeder, T.A.; Cohen, W.B.; Song, C.; Canty, M.J.; Yang, Z. Radiometric correction of multi-temporal Landsat data for characterization of early successional forest patterns in western Oregon. Remote Sens. Environ. 2006, 103, 16–26. [Google Scholar] [CrossRef]
- Canty, M.J.; Nielsen, A.A.; Schmidt, M. Automatic radiometric normalization of multitemporal satellite imagery. Remote Sens. Environ. 2004, 91, 441–451. [Google Scholar] [CrossRef]
- Du, Y.; Teillet, P.M.; Cihlar, J. Radiometric normalization of multitemporal high-resolution satellite images with quality control for land cover change detection. Remote Sens. Environ. 2002, 82, 123–134. [Google Scholar] [CrossRef]
- Tokola, T.; Löfman, S.; Erkkilä, A. Relative Calibration of Multitemporal Landsat Data for Forest Cover Change Detection. Remote Sens. Environ. 1999, 68, 1–11. [Google Scholar] [CrossRef]
- Rahman, M.M.; Hay, G.J.; Couloigner, I.; Hemachandran, B.; Bailin, J. A comparison of four relative radiometric normalization (RRN) techniques for mosaicing H-res multi-temporal thermal infrared (TIR) flight-lines of a complex urban scene. ISPRS-J. Photogramm. Remote Sens. 2015, 106, 82–94. [Google Scholar] [CrossRef]
- Xu, H.Z.Y.; Wei, Y.C.; Li, X.; Zhao, Y.D.; Cheng, Q. A novel automatic method on pseudo-invariant features extraction for enhancing the relative radiometric normalization of high-resolution images. Int. J. Remote Sens. 2021, 42, 6155–6186. [Google Scholar] [CrossRef]
- Houborg, R.; McCabe, M.F. A Cubesat enabled Spatio-Temporal Enhancement Method (CESTEM) utilizing Planet, Landsat and MODIS data. Remote Sens. Environ. 2018, 209, 211–226. [Google Scholar] [CrossRef]
- Voskanian, N.; Wenny, B.N.; Tahersima, M.H.; Thome, K. Inter-calibration of Landsat 8 and 9 Operational Land Imagers. In Proceedings of the Conference on Earth Observing Systems XXVII, San Diego, CA, USA, 23–25 August 2022. [Google Scholar]
- Li, Y.; Yan, W.; An, S.; Gao, W.L.; Jia, J.D.; Tao, S.; Wang, W. A Spatio-Temporal Fusion Framework of UAV and Satellite Imagery for Winter Wheat Growth Monitoring. Drones 2023, 7, 18. [Google Scholar] [CrossRef]
- Zhao, H.T.; Song, X.Y.; Yang, G.J.; Li, Z.H.; Zhang, D.; Feng, H.K. Monitoring of Nitrogen and Grain Protein Content in Winter Wheat Based on Sentinel-2A Data. Remote Sens. 2019, 11, 25. [Google Scholar] [CrossRef]
- Zhang, S.M.; Zhao, G.X.; Lang, K.; Su, B.W.; Chen, X.N.; Xi, X.; Zhang, H.B. Integrated Satellite, Unmanned Aerial Vehicle (UAV) and Ground Inversion of the SPAD of Winter Wheat in the Reviving Stage. Sensors 2019, 19, 17. [Google Scholar] [CrossRef]
- Richter, R.; Schläpfer, D. Atmospheric/Topographic Correction for Satellite Imagery: ATCOR-2/3 User Guide, Version 9.5; German Remote Sensing Data Center (DFD) of the German Aerospace Center (DLR): Mecklenburg-Vorpommern, Gernamy, 2023. [Google Scholar]
- Mayer, B.; Kylling, A. Technical note: The libRadtran software package for radiative transfer calculations—Description and examples of use. Atmos. Chem. Phys. 2005, 5, 1855–1877. [Google Scholar] [CrossRef]
- Gascon, F.; Bouzinac, C.; Thépaut, O.; Jung, M.; Francesconi, B.; Louis, J.; Lonjou, V.; Lafrance, B.; Massera, S.; Gaudel-Vacaresse, A.; et al. Copernicus Sentinel-2A Calibration and Products Validation Status. Remote Sens. 2017, 9, 584. [Google Scholar] [CrossRef]
- Lichtenthaler, H.K.; Wellburn, A.R. Determinations of total carotenoids and chlorophylls a and b of leaf extracts in different solvents. Biochem. Biochem. Biochem. Soc. Trans. 1983, 11, 591–592. [Google Scholar] [CrossRef]
- Tuominen, S.; Pekkarinen, A. Local radiometric correction of digital aerial photographs for multi source forest inventory. Remote Sens. Environ. 2004, 89, 72–82. [Google Scholar] [CrossRef]
- Brewer, K.; Clulow, A.; Sibanda, M.; Gokool, S.; Naiken, V.; Mabhaudhi, T. Predicting the Chlorophyll Content of Maize over Phenotyping as a Proxy for Crop Health in Smallholder Farming Systems. Remote Sens. 2022, 14, 20. [Google Scholar] [CrossRef]
- Priyanka; Srivastava, P.K.; Rawat, R. Retrieval of leaf chlorophyll content using drone imagery and fusion with Sentinel-2 data. Smart Agric. Technol. 2023, 6, 14. [Google Scholar]
- Shi, H.Z.; Guo, J.J.; An, J.Q.; Tang, Z.J.; Wang, X.; Li, W.Y.; Zhao, X.; Jin, L.; Xiang, Y.Z.; Li, Z.J.; et al. Estimation of Chlorophyll Content in Soybean Crop at Different Growth Stages Based on Optimal Spectral Index. Agronomy 2023, 13, 17. [Google Scholar] [CrossRef]
- Gitelson, A.A.; Merzlyak, M.N. Remote sensing of chlorophyll concentration in higher plant leaves. Adv. Space Res. 1998, 22, 689–692. [Google Scholar] [CrossRef]
- Sims, D.A.; Gamon, J.A. Relationships between leaf pigment content and spectral reflectance across a wide range of species, leaf structures and developmental stages. Remote Sens. Environ. 2002, 81, 337–354. [Google Scholar] [CrossRef]
- Huete, A.; Justice, C.; Liu, H. Development of vegetation and soil indices for MODIS-EOS. Remote Sens. Environ. 1994, 49, 224–234. [Google Scholar] [CrossRef]
- Gitelson, A.A.; Keydan, G.P.; Merzlyak, M.N. Three-band model for noninvasive estimation of chlorophyll, carotenoids, and anthocyanin contents in higher plant leaves. Geophys. Res. Lett. 2006, 33, L11402. [Google Scholar] [CrossRef]
- Gitelson, A.A.; Gritz, Y.; Merzlyak, M.N. Relationships between leaf chlorophyll content and spectral reflectance and algorithms for non-destructive chlorophyll assessment in higher plant leaves. J. Plant Physiol. 2003, 160, 271–282. [Google Scholar] [CrossRef] [PubMed]
- Ali, M.; Montzka, C.; Stadler, A.; Menz, G.; Thonfeld, F.; Vereecken, H. Estimation and Validation of RapidEye-Based Time-Series of Leaf Area Index for Winter Wheat in the Rur Catchment (Germany). Remote Sens. 2015, 7, 2808–2831. [Google Scholar] [CrossRef]
- Tucker, C.J. Red and photographic infrared linear combinations for monitoring vegetation. Remote Sens. Environ. 1979, 8, 127–150. [Google Scholar] [CrossRef]
- Dash, J.; Curran, P.J. The MERIS terrestrial chlorophyll index. Int. J. Remote Sens. 2004, 25, 5403–5413. [Google Scholar] [CrossRef]
- Jiang, J.L.; Johansen, K.; Tu, Y.H.; McCabe, M.F. Multi-sensor and multi-platform consistency and interoperability between UAV, Planet CubeSat, Sentinel-2, and Landsat reflectance data. GISci. Remote Sens. 2022, 59, 936–958. [Google Scholar] [CrossRef]
- Teillet, P.M.; Ren, X. Spectral band difference effects on vegetation indices derived from multiple satellite sensor data. Can. J. Remote Sens. 2008, 34, 159–173. [Google Scholar] [CrossRef]
- Cao, S.; Danielson, B.; Clare, S.; Koenig, S.; Campos-Vargas, C.; Sanchez-Azofeifa, A. Radiometric calibration assessments for UAS-borne multispectral cameras: Laboratory and field protocols. ISPRS-J. Photogramm. Remote Sens. 2019, 149, 132–145. [Google Scholar] [CrossRef]
- Jiang, J.; Zheng, H.; Ji, X.; Cheng, T.; Tian, Y.; Zhu, Y.; Cao, W.; Ehsani, R.; Yao, X. Analysis and Evaluation of the Image Preprocessing Process of a Six-Band Multispectral Camera Mounted on an Unmanned Aerial Vehicle for Winter Wheat Monitoring. Sensors 2019, 19, 747. [Google Scholar] [CrossRef]
- Aeberli, A.; Johansen, K.; Robson, A.; Lamb, D.W.; Phinn, S. Detection of Banana Plants Using Multi-Temporal Multispectral UAV Imagery. Remote Sens. 2021, 13, 24. [Google Scholar] [CrossRef]
- Delavarpour, N.; Koparan, C.; Nowatzki, J.; Bajwa, S.; Sun, X. A Technical Study on UAV Characteristics for Precision Agriculture Applications and Associated Practical Challenges. Remote Sens. 2021, 13, 25. [Google Scholar] [CrossRef]
- Bazrafkan, A.; Navasca, H.; Worral, H.; Oduor, P.; Delavarpour, N.; Morales, M.; Bandillo, N.; Flores, P. Predicting lodging severity in dry peas using UAS-mounted RGB, LIDAR, and multispectral sensors. Remote Sens. Appl.-Soc. Environ. 2024, 34, 20. [Google Scholar] [CrossRef]
- Sakamoto, T. Incorporating environmental variables into a MODIS-based crop yield estimation method for United States corn and soybeans through the use of a random forest regression algorithm. ISPRS-J. Photogramm. Remote Sens. 2020, 160, 208–228. [Google Scholar] [CrossRef]
- Guo, Y.H.; Mu, X.H.; Chen, Y.Y.; Xie, D.H.; Yan, G.J. Correction of Sun-View Angle Effect on Normalized Difference Vegetation Index (NDVI) With Single View-Angle Observation. IEEE Trans. Geosci. Remote Sens. 2024, 62, 13. [Google Scholar] [CrossRef]
- Mao, Z.H.; Deng, L.; Duan, F.Z.; Li, X.J.; Qiao, D.Y. Angle effects of vegetation indices and the influence on prediction of SPAD values in soybean and maize. Int. J. Appl. Earth Obs. Geoinf. 2020, 93, 14. [Google Scholar] [CrossRef]
- Petri, C.A.; Galvao, L.S. Sensitivity of Seven MODIS Vegetation Indices to BRDF Effects during the Amazonian Dry Season. Remote Sens. 2019, 11, 18. [Google Scholar] [CrossRef]
- Lewinska, K.E.; Frantz, D.; Leser, U.; Hostert, P. Usable observations over Europe: Evaluation of compositing windows for Landsat and Sentinel-2 time series. Eur. J. Remote Sens. 2024, 57, 28. [Google Scholar] [CrossRef]
- Poussin, C.; Peduzzi, P.; Giuliani, G. Snow observation from space: An approach to improving snow cover detection using four decades of Landsat and Sentinel-2 imageries across Switzerland. Sci. Remote Sens. 2025, 11, 16. [Google Scholar] [CrossRef]
- Zhou, Y.; Hu, D.Y.; Li, T.H.; Chen, Y.H. Calibration of Urban Surface Simulated Radiance Using Sentinel-2 Satellite Image and the DART Model. IEEE Trans. Geosci. Remote Sens. 2024, 62, 8. [Google Scholar] [CrossRef]
- Ma, J.C.; Liu, B.H.; Ji, L.; Zhu, Z.C.; Wu, Y.F.; Jiao, W.H. Field-scale yield prediction of winter wheat under different irrigation regimes based on dynamic fusion of multimodal UAV imagery. Int. J. Appl. Earth Obs. Geoinf. 2023, 118, 12. [Google Scholar] [CrossRef]
- Shi, H.Z.; Liu, Z.Y.; Li, S.Q.; Jin, M.; Tang, Z.J.; Sun, T.; Liu, X.C.; Li, Z.J.; Zhang, F.C.; Xiang, Y.Z. Monitoring Soybean Soil Moisture Content Based on UAV Multispectral and Thermal-Infrared Remote-Sensing Information Fusion. Plants 2024, 13, 20. [Google Scholar] [CrossRef] [PubMed]
- Xiao, J.; Aggarwal, A.K.; Rage, U.K.; Katiyar, V.; Avtar, R. Deep Learning-Based Spatiotemporal Fusion of Unmanned Aerial Vehicle and Satellite Reflectance Images for Crop Monitoring. IEEE Access 2023, 11, 85600–85614. [Google Scholar] [CrossRef]
- Zhu, X.; Cai, F.; Tian, J.; Williams, T.K.-A. Spatiotemporal Fusion of Multisource Remote Sensing Data: Literature Survey, Taxonomy, Principles, Applications, and Future Directions. Remote Sens. 2018, 10, 527. [Google Scholar] [CrossRef]





| Parameter | UAV | Satellite | |
|---|---|---|---|
| AQ600 | M3M | Sentinel-2 | |
| Central wavelength of spectral bands (nm) | |||
| Blue | 450 | - | 490 |
| Green | 555 | 560 | 560 |
| Red | 660 | 650 | 665 |
| Red edge (RE) | 720 | 730 | 740 |
| Near Infrared (NIR) | 840 | 860 | 865 |
| Acquisition time (day of year 2024) | |||
| Green-up stage | 62 | - | 62 |
| Heading stage | - | 107 | 102 |
| Grain filling stage | - | 129 | 122 |
| VIs | Green-Up Stage | Heading Stage | Grain Filling Stage | ||||||
|---|---|---|---|---|---|---|---|---|---|
| Before | After | RD * | Before | After | RD * | Before | After | RD * | |
| NDVI | 0.18 | 0.03 | −81% | 0.26 | 0.03 | −88% | 0.17 | 0.03 | −82% |
| NDRE | 0.19 | 0.02 | −89% | 0.24 | 0.01 | −96% | 0.19 | 0.02 | −89% |
| EVI | 0.08 | 0.05 | −38% | 0.23 | 0.05 | −78% | 0.36 | 0.04 | −89% |
| CIre | 0.65 | 0.05 | −92% | 1.11 | 0.04 | −96% | 0.78 | 0.05 | −94% |
| CIgreen | 1.30 | 0.13 | −90% | 3.82 | 0.20 | −95% | 1.06 | 0.22 | −79% |
| SARE | 0.11 | 0.01 | −91% | 0.15 | 0.01 | −93% | 0.11 | 0.02 | −82% |
| REDVI | 0.06 | 0.01 | −83% | 0.10 | 0.02 | −80% | 0.05 | 0.02 | −60% |
| MTCI | 10.05 | 3.57 | −64% | 1.24 | 0.54 | −56% | 1.03 | 0.09 | −91% |
Disclaimer/Publisher’s Note: The statements, opinions and data contained in all publications are solely those of the individual author(s) and contributor(s) and not of MDPI and/or the editor(s). MDPI and/or the editor(s) disclaim responsibility for any injury to people or property resulting from any ideas, methods, instructions or products referred to in the content. |
© 2025 by the authors. Licensee MDPI, Basel, Switzerland. This article is an open access article distributed under the terms and conditions of the Creative Commons Attribution (CC BY) license (https://creativecommons.org/licenses/by/4.0/).
Share and Cite
Jiang, J.; Zhang, Q.; Gao, S. Enhancing Multi-Flight Unmanned-Aerial-Vehicle-Based Detection of Wheat Canopy Chlorophyll Content Using Relative Radiometric Correction. Remote Sens. 2025, 17, 1557. https://doi.org/10.3390/rs17091557
Jiang J, Zhang Q, Gao S. Enhancing Multi-Flight Unmanned-Aerial-Vehicle-Based Detection of Wheat Canopy Chlorophyll Content Using Relative Radiometric Correction. Remote Sensing. 2025; 17(9):1557. https://doi.org/10.3390/rs17091557
Chicago/Turabian StyleJiang, Jiale, Qianyi Zhang, and Shuai Gao. 2025. "Enhancing Multi-Flight Unmanned-Aerial-Vehicle-Based Detection of Wheat Canopy Chlorophyll Content Using Relative Radiometric Correction" Remote Sensing 17, no. 9: 1557. https://doi.org/10.3390/rs17091557
APA StyleJiang, J., Zhang, Q., & Gao, S. (2025). Enhancing Multi-Flight Unmanned-Aerial-Vehicle-Based Detection of Wheat Canopy Chlorophyll Content Using Relative Radiometric Correction. Remote Sensing, 17(9), 1557. https://doi.org/10.3390/rs17091557

