Remote Sensing Reveals Multidecadal Trends in Coral Cover at Heron Reef, Australia
Abstract
1. Introduction
2. Materials and Methods
2.1. Study Site
2.2. Datasets
2.2.1. Field Data Collection and Pre-Processing
2.2.2. Satellite Imagery Collection and Pre-Processing
2.2.3. Physical Attributes
2.3. Habitat Mapping and Accuracy Assessment
2.4. Trend Analyses
2.4.1. Analyses of Surface Area and Trajectories of the Benthic Cover Types
2.4.2. Analyses of Coral Cover Trajectories and Temporal Resolution
3. Results
3.1. Habitat Mapping and Accuracy Assessment
3.2. Trend Analyses
3.2.1. Trends in Surface Area
3.2.2. Trends of Percent Cover for Field and Satellite Data
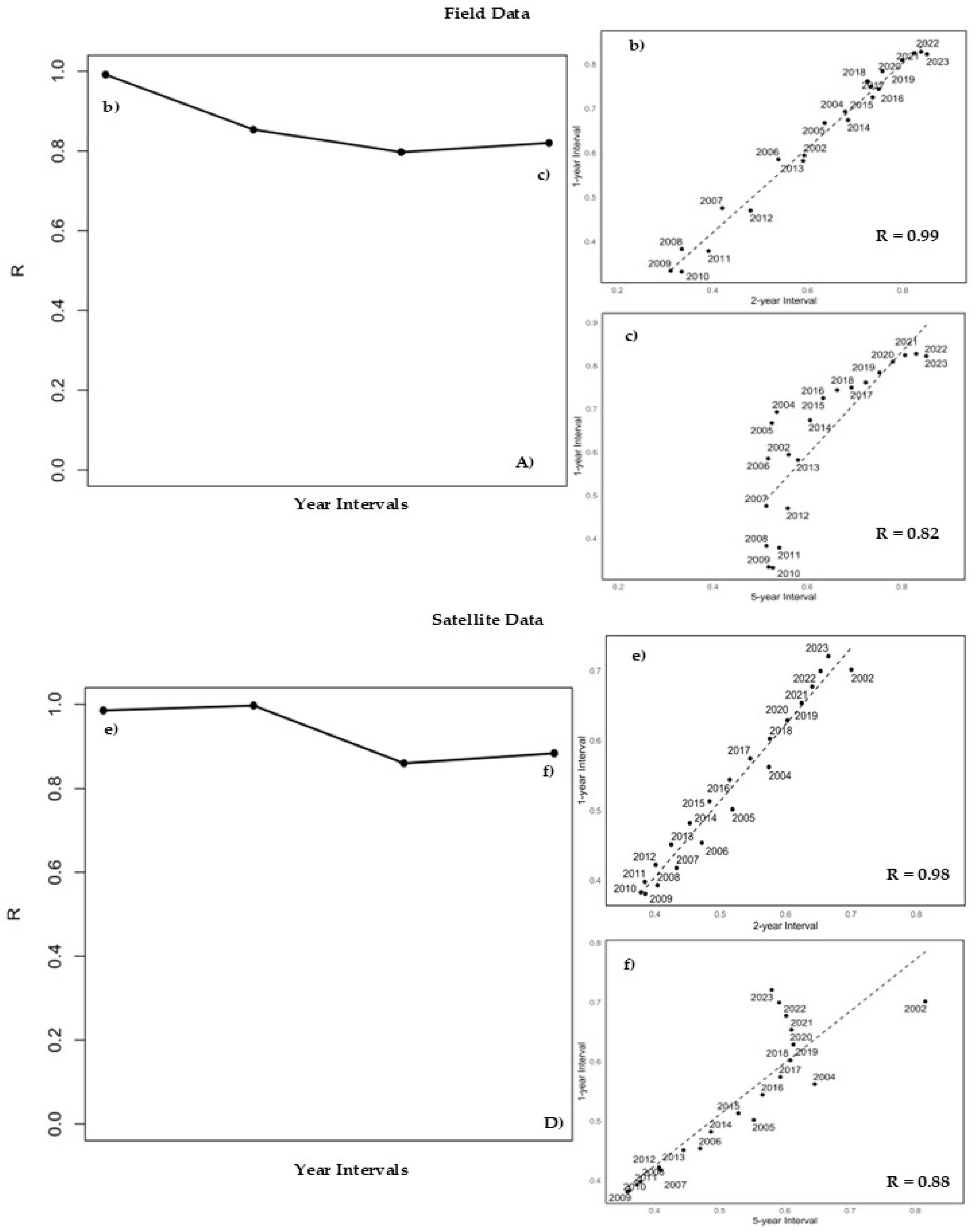
3.2.3. Trends of Coral Cover and Temporal Resolution Analysis
4. Discussion
4.1. Overall Findings
4.2. Ecological Relevance
4.3. Limitations and Potential Solutions
4.4. Future Research
5. Conclusions
Author Contributions
Funding
Data Availability Statement
Acknowledgments
Conflicts of Interest
Appendix A
| Mapping Classes | Benthic Composition Classes |
|---|---|
| Coral | Acropora Branching |
| Acropora Digitate | |
| Acropora Hispidose | |
| Acropora Tabulate and Corymbose | |
| Acroporidae Plate Encrusting (Montipora) | |
| Acropora Other (Isopora) | |
| Porites Branching | |
| Porites Encrusting | |
| Porites Massive | |
| Favid Mussid | |
| Foliose or Plate with ridges | |
| Foliose or Plate with round coralites | |
| Gorgonian | |
| Pocillopora | |
| Branching Other | |
| Massive Other | |
| Hard Coral Other | |
| Alcyoniidae Soft Coral | |
| Soft Coral Other | |
| Algae | Algae Other |
| Chlorodesmis species | |
| Caulerpa species | |
| Cyano species | |
| Dictyota species | |
| Halimeda species | |
| Lobophora species | |
| Padina species | |
| Turbinaria species | |
| Benthic Micro Algae on Sand | |
| Algae Other | |
| Rock | Crustose Coraline Algae on:
|
| Sand | Sand |
| Year | Field Data Points (#) | Sensor | Resolution (m) | Atmospheric Correction | Field Data Collection (dd–dd/mm) | Image Acquisition (dd/mm) | Difference Field/Image Acquisition (days) | Tide at Image Acquisition |
|---|---|---|---|---|---|---|---|---|
| 2002 | 561 | CASI | 1 | FLAASH® | 25–28/06 | 02/07 | 4 | High |
| 2004 | 1425 | QB | 2.4 | FLAASH® | 20–22/05 | 17/05 | 3 | Mid (H > L) |
| 2005 | 705 | QB | 2.4 | FLAASH® | 21–24/06 | 25/06 | 1 | Mid (H > L) |
| 2006 | 1035 | QB | 2.4 | FLAASH® | 25/06–01/07 | 03/08 | 34 | Low |
| 2007 | 1830 | QB | 2.4 | FLAASH® | 23–27/09 | 07/07 | 57 | High |
| 2008 | 1698 | IK | 4 | FLAASH® | 25–30/10 | 17/09 | 38 | High |
| 2009 | 2955 | WV2 | 2 | FLAASH® | 2–6/11 | 15/12 | 39 | High |
| 2010 | 3210 | WV2 | 2 | FLAASH® | 10–12/11 | 22/05/11 | 137 | Mid (L > H) |
| 2011 | 2111 | WV2 | 2 | FLAASH® | 1–4/11 | 30/10 | 2 | Mid (L > H) |
| 2012 | 2775 | WV2 | 2 | FLAASH® | 1–5/07 | 29/08 | 55 | Mid (H > L) |
| 2013 | 2635 | WV2 | 2 | FLAASH® | 2–6/11 | 12/11 | 6 | Mid (H > L) |
| 2014 | 2713 | WV2 | 2 | FLAASH® | 7–13/11 | 01/10 | 37 | Mid (L > H) |
| 2015 | 2411 | WV3 | 2 | FLAASH® | 24–28/11 | 14/11 | 10 | High |
| 2016 | 2397 | PL | 3 | Planet Labs | 17–22/09 | 26/09 | 4 | Mid (L > H) |
| 2017 | 3803 | PL | 3 | Planet Labs | 29/10–3/11 | 05/10 | 24 | High |
| 2018 | 2805 | PL | 3 | Planet Labs | 11–16/11 | 06/11 | 5 | High |
| 2019 | 4085 | PL | 3 | Planet Labs | 28–31/10 | 08/11 | 8 | Mid (H > L) |
| 2020 | 4506 | PL | 3 | Planet Labs | 31/10–5/11 | 05/11 | 0 | Mid (L > H) |
| 2021 | 4852 | PL | 3 | Planet Labs | 6–11/11 | 27/10 | 10 | Mid (L > H) |
| 2022 | 5483 | PL | 3 | Planet Labs | 4–12/11 | 01/11 | 3 | Mid (L > H) |
| 2023 | 6238 | PL | 3 | Planet Labs | 27/10–2/11 | 10/11 | 8 | Mid (H > L) |
| R Value for Each Starting Year Offset | |||||
|---|---|---|---|---|---|
| Satellite Imagery Year Intervals | 2002 | 2004 | 2005 | 2006 | 2007 |
| 2-year | 0.99 | 0.99 | |||
| 3-year | 0.99 | 0.87 | 0.99 | ||
| 4-year | 0.86 | 0.81 | 0.98 | 0.86 | |
| 5-year | 0.88 | 0.55 | 0.76 | 0.84 | 0.88 |
| R Value for Each Starting Year Offset | |||||
| Field Data Year Intervals | 2002 | 2004 | 2005 | 2006 | 2007 |
| 2-year | 0.99 | 0.99 | |||
| 3-year | 0.85 | 0.93 | 0.85 | ||
| 4-year | 0.80 | 0.92 | 0.92 | 0.80 | |
| 5-year | 0.82 | 0.92 | 0.92 | 0.63 | 0.82 |
References
- Hughes, T.P.; Baird, A.H.; Bellwood, D.R.; Card, M.; Connolly, S.R.; Folke, C.; Grosberg, R.; Hoegh-Guldberg, O.; Jackson, J.B.C.; Kleypas, J.; et al. Climate change, human impacts, and the resilience of coral reefs. Science 2003, 301, 929–933. [Google Scholar] [CrossRef]
- Lapointe, B.E.; Brewton, R.A.; Herren, L.W.; Porter, J.W.; Hu, C.M. Nitrogen enrichment, altered stoichiometry, and coral reef decline at Looe Key, Florida Keys, USA: A 3-decade study. Mar. Biol. 2019, 166, 108. [Google Scholar] [CrossRef]
- Johnson, M.D.; Scott, J.J.; Leray, M.; Lucey, N.; Bravo, L.M.R.; Wied, W.L.; Altieri, A.H. Rapid ecosystem-scale consequences of acute deoxygenation on a Caribbean coral reef. Nat. Commun. 2021, 12, 4522. [Google Scholar] [CrossRef]
- Zhao, H.W.; Yuan, M.L.; Strokal, M.; Wu, H.C.; Liu, X.H.; Murk, A.; Kroeze, C.; Osinga, R. Impacts of nitrogen pollution on corals in the context of global climate change and potential strategies to conserve coral reefs. Sci. Total Environ. 2021, 774, 145017. [Google Scholar] [CrossRef]
- Dornelas, M.; Madin, J.S.; Baird, A.H.; Connolly, S.R. Allometric growth in reef-building corals. Proc. Roy. Soc. B-Biol. Sci. 2017, 284, 20170053. [Google Scholar] [CrossRef]
- Glynn, P.W.; Manzello, D.P. Bioerosion and Coral Reef Growth: A Dynamic Balance. In Coral Reefs in the Anthropocene; Springer: Dordrecht, The Netherlands, 2015; pp. 67–97. [Google Scholar] [CrossRef]
- Mollica, N.R.; Guo, W.F.; Cohen, A.L.; Huang, K.F.; Foster, G.L.; Donald, H.K.; Solow, A.R. Ocean acidification affects coral growth by reducing skeletal density. Proc. Natl. Acad. Sci. USA 2018, 115, 1754–1759. [Google Scholar] [CrossRef]
- Madin, J.S.; Madin, E.M.P. The full extent of the global coral reef crisis. Conserv. Biol. 2015, 29, 1724–1726. [Google Scholar] [CrossRef]
- Edmunds, P.J.; Bruno, J.F. The importance of sampling scale in ecology: Kilometer-wide variation in coral reef communities. Mar. Ecol. Prog. Ser. 1996, 143, 165–171. [Google Scholar] [CrossRef]
- Cortés, J.; Oxenford, H.A.; van Tussenbroek, B.I.; Jordán-Dahlgren, E.; Cróquer, A.; Bastidas, C.; Ogden, J.C. The CARICOMP Network of Caribbean Marine Laboratories (1985–2007): History, Key Findings, and Lessons Learned. Front. Mar. Sci. 2019, 5, 519. [Google Scholar] [CrossRef]
- Ortiz, J.C.; Gomez-Cabrera, M.D.; Hoegh-Guldberg, O. Effect of colony size and surrounding substrate on corals experiencing a mild bleaching event on Heron Island reef flat (southern Great Barrier Reef, Australia). Coral Reefs 2009, 28, 999–1003. [Google Scholar] [CrossRef]
- Brown, K.T.; Bender-Champ, D.; Kubicek, A.; van der Zande, R.; Achlatis, M.; Hoegh-Guldberg, O.; Dove, S.G. The Dynamics of Coral-Algal Interactions in Space and Time on the Southern Great Barrier Reef. Front. Mar. Sci. 2018, 5, 181. [Google Scholar] [CrossRef]
- Hughes, T.P.; Kerry, J.T.; Baird, A.H.; Connolly, S.R.; Dietzel, A.; Eakin, C.M.; Heron, S.F.; Hoey, A.S.; Hoogenboom, M.O.; Liu, G.; et al. Global warming transforms coral reef assemblages. Nature 2018, 556, 492–496. [Google Scholar] [CrossRef] [PubMed]
- De’ath, G.; Fabricius, K.E.; Sweatman, H.; Puotinen, M. The 27-year decline of coral cover on the Great Barrier Reef and its causes. Proc. Natl. Acad. Sci. USA 2012, 109, 17995–17999. [Google Scholar] [CrossRef] [PubMed]
- Viehman, T.S.; Hench, J.L.; Griffin, S.P.; Malhotra, A.; Egan, K.; Halpin, P.N. Understanding differential patterns in coral reef recovery: Chronic hydrodynamic disturbance as a limiting mechanism for coral colonization. Mar. Ecol. Prog. Ser. 2018, 605, 135–150. [Google Scholar] [CrossRef]
- Roth, F.; Saalmann, F.; Thomson, T.; Coker, D.J.; Villalobos, R.; Jones, B.H.; Wild, C.; Carvalho, S. Coral reef degradation affects the potential for reef recovery after disturbance. Mar. Environ. Res. 2018, 142, 48–58. [Google Scholar] [CrossRef]
- Dullo, W.C. Coral growth and reef growth: A brief review. Facies 2005, 51, 33–48. [Google Scholar] [CrossRef]
- Rasser, M.W.; Riegl, B. Holocene coral reef rubble and its binding agents. Coral Reefs 2002, 21, 57–72. [Google Scholar] [CrossRef]
- Fabricius, K.E.; Crossman, K.; Jonker, M.; Mongin, M.; Thompson, A. Macroalgal cover on coral reefs: Spatial and environmental predictors, and decadal trends in the Great Barrier Reef. PLoS ONE 2023, 18, e0279699. [Google Scholar] [CrossRef]
- Andréfouët, S. Coral reef habitat mapping using remote sensing:: A user vs producer perspective.: Implications for research, management and capacity building. J. Spat. Sci. 2008, 53, 113–129. [Google Scholar] [CrossRef]
- Mumby, P.J.; Skirving, W.; Strong, A.E.; Hardy, J.T.; LeDrew, E.F.; Hochberg, E.J.; Stumpf, R.P.; David, L.T. Remote sensing of coral reefs and their physical environment. Mar. Pollut. Bull. 2004, 48, 219–228. [Google Scholar] [CrossRef]
- Potapov, P.; Hansen, M.C.; Pickens, A.; Hernandez-Serna, A.; Tyukavina, A.; Turubanova, S.; Zalles, V.; Li, X.Y.; Khan, A.; Stolle, F.; et al. The Global 2000–2020 Land Cover and Land Use Change Dataset Derived from the Landsat Archive: First Results. Front. Remote Sens. 2022, 3, 856903. [Google Scholar] [CrossRef]
- Zhang, X.; Zhao, T.T.; Xu, H.; Liu, W.D.; Wang, J.Q.; Chen, X.D.; Liu, L.Y. GLC_FCS30D: The first global 30 m land-cover dynamics monitoring product with a fine classification system for the period from 1985 to 2022 generated using dense-time-series Landsat imagery and the continuous change-detection method. Earth Syst. Sci. Data 2024, 16, 1353–1381. [Google Scholar] [CrossRef]
- Palandro, D.; Andréfouët, S.; Dustan, P.; Muller-Karger, F.E. Change detection in coral reef communities using Ikonos satellite sensor imagery and historic aerial photographs. Int. J. Remote Sens. 2003, 24, 873–878. [Google Scholar] [CrossRef]
- Andréfouët, S.; Muller-Karger, F.E.; Hochberg, E.J.; Hu, C.M.; Carder, K.L. Change detection in shallow coral reef environments using Landsat 7 ETM+ data. Remote Sens. Environ. 2001, 78, 150–162. [Google Scholar] [CrossRef]
- Burns, C.; Bollard, B.; Narayanan, A. Machine-Learning for Mapping and Monitoring Shallow Coral Reef Habitats. Remote Sens. 2022, 14, 2666. [Google Scholar] [CrossRef]
- Hedley, J.D.; Roelfsema, C.; Brando, V.; Giardino, C.; Kutser, T.; Phinn, S.; Mumby, P.J.; Barrilero, O.; Laporte, J.; Koetz, B. Coral reef applications of Sentinel-2: Coverage, characteristics, bathymetry and benthic mapping with comparison to Landsat 8. Remote Sens. Environ. 2018, 216, 598–614. [Google Scholar] [CrossRef]
- Hochberg, E.J. Remote Sensing of Coral Reef Processes. In Coral Reefs: An Ecosystem in Transition; Springer: Dordrecht, The Netherlands, 2011; pp. 25–35. [Google Scholar] [CrossRef]
- Andréfouët, S.; Berkelmans, R.; Odriozola, L.; Done, T.; Oliver, J.; Müller-Karger, F. Choosing the appropriate spatial resolution for monitoring coral bleaching events using remote sensing. Coral Reefs 2002, 21, 147–154. [Google Scholar] [CrossRef]
- Hedley, J.D.; Roelfsema, C.M.; Chollett, I.; Harborne, A.R.; Heron, S.F.; Weeks, S.J.; Skirving, W.J.; Strong, A.E.; Eakin, C.M.; Christensen, T.R.L.; et al. Remote Sensing of Coral Reefs for Monitoring and Management: A Review. Remote Sens. 2016, 8, 118. [Google Scholar] [CrossRef]
- Kennedy, R.E.; Andréfouët, S.; Cohen, W.B.; Gómez, C.; Griffiths, P.; Hais, M.; Healey, S.P.; Helmer, E.H.; Hostert, P.; Lyons, M.B.; et al. Bringing an ecological view of change to Landsat-based remote sensing. Front. Ecol. Environ. 2014, 12, 339–346. [Google Scholar] [CrossRef]
- Haya, L.O.M.Y.; Fujii, M. Mapping the change of coral reefs using remote sensing and in situ measurements: A case study in Pangkajene and Kepulauan Regency, Spermonde Archipelago, Indonesia. J. Oceanogr. 2017, 73, 623–645. [Google Scholar] [CrossRef]
- Palandro, D.A.; Andréfouët, S.; Hu, C.; Hallock, P.; Müller-Karger, F.E.; Dustan, P.; Callahan, M.K.; Kranenburg, C.; Beaver, C.R. Quantification of two decades of shallow-water coral reef habitat decline in the Florida Keys National Marine Sanctuary using Landsat data (1984–2002). Remote Sens. Environ. 2008, 112, 3388–3399. [Google Scholar] [CrossRef]
- Galzin, R.; Lecchini, D.; Lison de Loma, T.; Moritz, C.; Parravicini, V.; Siu, G. Long term monitoring of coral and fish assemblages (1983–2014) in Tiahura reefs, Moorea, French Polynesia. Cybium 2016, 40, 31–41. [Google Scholar]
- House, J.E.; Brambilla, V.; Bidaut, L.M.; Christie, A.P.; Pizarro, O.; Madin, J.S.; Dornelas, M. Moving to 3D: Relationships between coral planar area, surface area and volume. Peerj 2018, 6, e4280. [Google Scholar] [CrossRef]
- Roelfsema, C.; Kovacs, E.M.; Markey, K.; Vercelloni, J.; Rodriguez-Ramirez, A.; Lopez-Marcano, S.; Gonzalez-Rivero, M.; Hoegh-Guldberg, O.; Phinn, S.R. Benthic and coral reef community field data for Heron Reef, Southern Great Barrier Reef, Australia, 2002–2018. Sci. Data 2021, 8, 84. [Google Scholar] [CrossRef]
- Leiper, I.A.; Siebeck, U.E.; Marshall, N.J.; Phinn, S.R. Coral health monitoring: Linking coral colour and remote sensing techniques. Can. J. Remote Sens. 2009, 35, 276–286. [Google Scholar] [CrossRef]
- Joyce, K.E.; Phinn, S.R. Bi-directional reflectance of corals. Int. J. Remote Sens. 2002, 23, 389–394. [Google Scholar] [CrossRef]
- Joyce, K.E.; Phinn, S.R.; Roelfsema, C.M.; Neil, D.T.; Dennison, W.C. Combining Landsat ETM plus and Reef Check classifications for mapping coral reefs: A critical assessment from the southern Great Barrier Reef, Australia. Coral Reefs 2004, 23, 21–25. [Google Scholar] [CrossRef]
- Hedley, J.; Roelfsema, C.; Phinn, S.R. Efficient radiative transfer model inversion for remote sensing applications. Remote Sens. Environ. 2009, 113, 2527–2532. [Google Scholar] [CrossRef]
- Han, J.L.; Shoeiby, M.; Malthus, T.; Botha, E.; Anstee, J.; Anwar, S.; Wei, R.; Armin, M.A.; Li, H.D.; Petersson, L. Underwater Image Restoration via Contrastive Learning and a Real-World Dataset. Remote Sens. 2022, 14, 4297. [Google Scholar] [CrossRef]
- Roelfsema, C.M.; Phinn, S.R.; Dennison, W.C. Spatial distribution of benthic microalgae on coral reefs determined by remote sensing. Coral Reefs 2002, 21, 264–274. [Google Scholar] [CrossRef]
- Roelfsema, C.; Phinn, S.; Jupiter, S.; Comley, J.; Albert, S. Mapping coral reefs at reef to reef-system scales, 10s-1000s km, using object-based image analysis. Int. J. Remote Sens. 2013, 34, 6367–6388. [Google Scholar] [CrossRef]
- Vercelloni, J.; Roelfsema, C.; Kovacs, E.M.; Gonzalez-Rivero, M.; Moores, M.T.; Logan, M.; Mengersen, K. Fine-scale interplay between decline and growth determines the spatial recovery of coral communities within a reef. Ecography 2024, 2024, e06818. [Google Scholar] [CrossRef]
- Phinn, S.R.; Roelfsema, C.M.; Mumby, P.J. Multi-scale, object-based image analysis for mapping geomorphic and ecological zones on coral reefs. Int. J. Remote Sens. 2011, 33, 3768–3797. [Google Scholar] [CrossRef]
- Roelfsema, C.; Kovacs, E.; Roos, P.; Terzano, D.; Lyons, M.; Phinn, S. Use of a semi-automated object based analysis to map benthic composition, Heron Reef, Southern Great Barrier Reef. Remote Sens. Lett. 2018, 9, 324–333. [Google Scholar] [CrossRef]
- Roelfsema, C.; Kovacs, E.M.; Vercelloni, J.; Markey, K.; Rodriguez-Ramirez, A.; Lopez-Marcano, S.; Gonzalez-Rivero, M.; Hoegh-Guldberg, O.; Phinn, S.R. Fine-scale time series surveys reveal new insights into spatio-temporal trends in coral cover (2002–2018), of a coral reef on the Southern Great Barrier Reef. Coral Reefs 2021, 40, 1055–1067. [Google Scholar] [CrossRef]
- González-Rivero, M.; Beijbom, O.; Rodriguez-Ramirez, A.; Holtrop, T.; González-Marrero, Y.; Ganase, A.; Roelfsema, C.; Phinn, S.; Hoegh-Guldberg, O. Scaling up Ecological Measurements of Coral Reefs Using Semi-Automated Field Image Collection and Analysis. Remote Sens. 2016, 8, 30. [Google Scholar] [CrossRef]
- Australian Institute of Marine Science (AIMS). ReefCloud. Available online: https://apps.aims.gov.au/metadata/view/85a61b8d-a626-4c1f-929f-aa8777e268d3 (accessed on 8 January 2024).
- Science, A.I.O.M. Annual Summary Report of Coral Reef Condition 2022/23. Available online: https://www.aims.gov.au/monitoring-great-barrier-reef/gbr-condition-summary-2022-23 (accessed on 15 March 2024).
- Roelfsema, C.M.; Lyons, M.; Kovacs, E.M.; Maxwell, P.; Saunders, M.I.; Samper-Villarreal, J.; Phinn, S.R. Multi-temporal mapping of seagrass cover, species and biomass: A semi-automated object based image analysis approach. Remote Sens. Environ. 2014, 150, 172–187. [Google Scholar] [CrossRef]
- Labs, P. Planet Surface Reflectance Poduct V2.0. Available online: https://assets.planet.com/marketing/PDF/Planet_Surface_Reflectance_Technical_White_Paper.pdf (accessed on 15 March 2024).
- Shihavuddin, A.S.M.; Gracias, N.; Garcia, R.; Gleason, A.C.R.; Gintert, B. Image-Based Coral Reef Classification and Thematic Mapping. Remote Sens. 2013, 5, 1809–1841. [Google Scholar] [CrossRef]
- Wahidin, N.; Siregar, V.P.; Nababan, B.; Jaya, I.; Wouthuyzen, S. Object-based image analysis for coral reef benthic habitat mapping with several classification algorithms. Procedia Environ. Sci. 2015, 24, 222–227. [Google Scholar] [CrossRef]
- Wicaksono, P. Improving the accuracy of Multispectral-based benthic habitats mapping using image rotations: The application of Principle Component Analysis and Independent Component Analysis. Eur. J. Remote Sens. 2016, 49, 433–463. [Google Scholar] [CrossRef]
- Lyons, M.B. Earth Engine Catalog. Available online: https://github.com/mitchest/earthengine-catalog (accessed on 8 January 2024).
- Haralick, R.M.; Shanmugam, K.; Dinstein, I. Textural Features for Image Classification. IEEE Trans. Syst. Man Cybern. 1973, Smc3, 610–621. [Google Scholar] [CrossRef]
- Roelfsema, C.M.; Lyons, M.B.; Castro-Sanguino, C.; Kovacs, E.M.; Callaghan, D.; Wettle, M.; Markey, K.; Borrego-Acevedo, R.; Tudman, P.; Roe, M.; et al. How Much Shallow Coral Habitat Is There on the Great Barrier Reef? Remote Sens. 2021, 13, 4343. [Google Scholar] [CrossRef]
- Callaghan, D. Great Barrier Reef Non-Cyclonic and on-Reef Wave Model Predictions; The University of Queensland: Brisbane, QLD, Australia, 2023. [Google Scholar]
- Goodman, J.A.; Lay, M.; Ramirez, L.; Ustin, S.L.; Haverkamp, P.J. Confidence Levels, Sensitivity, and the Role of Bathymetry in Coral Reef Remote Sensing. Remote Sens. 2020, 12, 496. [Google Scholar] [CrossRef]
- Kennedy, E.V.; Roelfsema, C.M.; Lyons, M.B.; Kovacs, E.M.; Borrego-Acevedo, R.; Roe, M.; Phinn, S.R.; Larsen, K.; Murray, N.J.; Yuwono, D.; et al. Reef Cover, a coral reef classification for global habitat mapping from remote sensing. Sci. Data 2021, 8, 196. [Google Scholar] [CrossRef]
- Lyons, M.B.; Roelfsema, C.M.; Kennedy, E.; Kovacs, E.M.; Borrego-Acevedo, R.; Markey, K.; Roe, M.; Yuwono, D.M.; Harris, D.L.; Phinn, S.R.; et al. Mapping the world’s coral reefs using a global multiscale earth observation framework. Remote Sens. Ecol. Conserv. 2020, 6, 557–568. [Google Scholar] [CrossRef]
- Congalton, R.G.; Green, K. Assesing the Accuracy of Remotely Sensed Data: Principles and Practices, 2nd ed.; CRC Press: Boca Raton, FL, USA, 2008. [Google Scholar]
- Naumann, M.S.; Niggl, W.; Laforsch, C.; Glaser, C.; Wild, C. Coral surface area quantification-evaluation of established techniques by comparison with computer tomography. Coral Reefs 2009, 28, 109–117. [Google Scholar] [CrossRef]
- Foo, S.A.; Asner, G.P. Scaling Up Coral Reef Restoration Using Remote Sensing Technology. Front. Mar. Sci. 2019, 6, 79. [Google Scholar] [CrossRef]
- Moberg, F.; Folke, C. Ecological goods and services of coral reef ecosystems. Ecol. Econ. 1999, 29, 215–233. [Google Scholar] [CrossRef]
- Andréfouët, S.; Muller-Karger, F.E.; Robinson, J.A.; Kranenburg, C.J.; Torres-Pulliza, D.; Spraggins, S.A.; Murch, B. Global assessment of modern coral reef extent and diversity for regional science and management applications: A view fom space. In Proceedings of the 10th International Coral Reef Symposium, Okinawa, Japan, 28 July 2004; pp. 1732–1745. [Google Scholar]
- Perry, C.T.; Morgan, K.M. Bleaching drives collapse in reef carbonate budgets and reef growth potential on southern Maldives reefs. Sci. Rep. 2017, 7, 40581. [Google Scholar] [CrossRef]
- Pisapia, C.; Burn, D.; Yoosuf, R.; Najeeb, A.; Anderson, K.D.; Pratchett, M.S. Coral recovery in the central Maldives archipelago since the last major mass-bleaching, in 1998. Sci. Rep. 2016, 6, 34720. [Google Scholar] [CrossRef]
- Montefalcone, M.; Morri, C.; Bianchi, C.N. Long-term change in bioconstruction potential of Maldivian coral reefs following extreme climate anomalies. Glob. Chang. Biol. 2018, 24, 5629–5641. [Google Scholar] [CrossRef] [PubMed]
- Perry, C.T.; Smithers, S.G.; Gulliver, P.; Browne, N.K. Evidence of very rapid reef accretion and reef growth under high turbidity and terrigenous sedimentation. Geology 2012, 40, 719–722. [Google Scholar] [CrossRef]
- Graham, N.A.J.; Jennings, S.; MacNeil, M.A.; Mouillot, D.; Wilson, S.K. Predicting climate-driven regime shifts versus rebound potential in coral reefs. Nature 2015, 518, 94–97. [Google Scholar] [CrossRef]
- Lyons, M.; Phinn, S.; Roelfsema, C. Integrating Quickbird Multi-Spectral Satellite and Field Data: Mapping Bathymetry, Seagrass Cover, Seagrass Species and Change in Moreton Bay, Australia in 2004 and 2007. Remote Sens. 2011, 3, 42–64. [Google Scholar] [CrossRef]
- Knudby, A.; Newman, C.; Shaghude, Y.; Muhando, C. Simple and effective monitoring of historic changes in nearshore environments using the free archive of Landsat imagery. Int. J. Appl. Earth Obs. 2010, 12, S116–S122. [Google Scholar] [CrossRef]
- Lazuardi, W.; Wicaksono, P.; Marfai, M.A. Remote sensing for coral reef and seagrass cover mapping to support coastal management of small islands. Iop C Ser. Earth Environ. 2021, 686, 12031. [Google Scholar] [CrossRef]
- Done, T.J. Patterns in the distribution of coral communities across the central Great Barrier Reef. Coral Reefs 1982, 1, 95–107. [Google Scholar] [CrossRef]
- Done, T.J. Effects of Tropical Cyclone Waves on Ecological and Geomorphological Structures on the Great-Barrier-Reef. Cont. Shelf Res. 1992, 12, 859–872. [Google Scholar] [CrossRef]
- Hedley, J.; Roelfsema, C.; Koetz, B.; Phinn, S. Capability of the Sentinel 2 mission for tropical coral reef mapping and coral bleaching detection. Remote Sens. Environ. 2012, 120, 145–155. [Google Scholar] [CrossRef]
- Scopélitis, J.; Andréfouët, S.; Phinn, S.; Chabanet, P.; Naim, O.; Tourrand, C.; Done, T. Changes of coral communities over 35 years: Integrating in situ and remote-sensing data on Saint-Leu Reef (la Reunion, Indian Ocean). Estuar. Coast. Shelf Sci. 2009, 84, 342–352. [Google Scholar] [CrossRef]
- Wilson, S.K.; Graham, N.A.J.; Pratchett, M.S.; Jones, G.P.; Polunin, N.V.C. Multiple disturbances and the global degradation of coral reefs: Are reef fishes at risk or resilient? Glob. Chang. Biol. 2006, 12, 2220–2234. [Google Scholar] [CrossRef]
- Mellin, C.; Peterson, E.E.; Puotinen, M.; Schaffelke, B. Representation and complementarity of the long-term coral monitoring on the Great Barrier Reef. Ecol. Appl. 2020, 30, 2122. [Google Scholar] [CrossRef]
- Ceccarelli, D.M.; Evans, R.D.; Logan, M.; Mantel, P.; Puotinen, M.; Petus, C.; Russ, G.R.; Williamson, D.H. Long-term dynamics and drivers of coral and macroalgal cover on inshore reefs of the Great Barrier Reef Marine Park. Ecol. Appl. 2020, 30, 2008. [Google Scholar] [CrossRef]
- Roff, G.; Kvennefors, E.C.E.; Fine, M.; Ortiz, J.; Davy, J.E.; Hoegh-Guldberg, O. The Ecology of ’Acroporid White Syndrome’, a Coral Disease from the Southern Great Barrier Reef. PLoS ONE 2011, 6, e26829. [Google Scholar] [CrossRef]
- Haapkylä, J.; Melbourne-Thomas, J.; Flavell, M.; Willis, B.L. Spatiotemporal patterns of coral disease prevalence on Heron Island, Great Barrier Reef, Australia. Coral Reefs 2010, 29, 1035–1045. [Google Scholar] [CrossRef]
- Mellin, C.; Stuart-Smith, R.D.; Heather, F.; Oh, E.; Turak, E.; Edgar, G.J. Coral responses to a catastrophic marine heatwave are decoupled from changes in total coral cover at a continental scale. Proc. Roy. Soc. B-Biol. Sci. 2024, 291, 20241538. [Google Scholar] [CrossRef]
- Mellin, C.; Matthews, S.; Anthony, K.R.N.; Brown, S.C.; Caley, M.J.; Johns, K.A.; Osborne, K.; Puotinen, M.; Thompson, A.; Wolff, N.H.; et al. Spatial resilience of the Great Barrier Reef under cumulative disturbance impacts. Glob. Chang. Biol. 2019, 25, 2431–2445. [Google Scholar] [CrossRef]
- Ampou, E.E.; Ouillon, S.; Iovan, C.; Andréfouët, S. Change detection of Bunaken Island coral reefs using 15 years of very high resolution satellite images: A kaleidoscope of habitat trajectories. Mar. Pollut. Bull. 2018, 131, 83–95. [Google Scholar] [CrossRef]
- Connell, J.H.; Hughes, T.P.; Wallace, C.C. A 30-year study of coral abundance, recruitment, and disturbance at several scales in space and time. Ecol. Monogr. 1997, 67, 461–488. [Google Scholar] [CrossRef]
- Fukunaga, A.; Burns, J.H.R.; Pascoe, K.H.; Kosaki, R.K. Associations between Benthic Cover and Habitat Complexity Metrics Obtained from 3D Reconstruction of Coral Reefs at Different Resolutions. Remote Sens. 2020, 12, 1011. [Google Scholar] [CrossRef]
- Scopélitis, J.; Andréfouët, S.; Phinn, S.; Arroyo, L.; Dalleau, M.; Cros, A.; Chabanet, P. The next step in shallow coral reef monitoring: Combining remote sensing and approaches. Mar. Pollut. Bull. 2010, 60, 1956–1968. [Google Scholar] [CrossRef] [PubMed]
- Nurdin, N.; Komatsu, T.; Yamano, H.; Arafat, G.; Rani, C.; Akbar, A.S.M. Spectral response of the coral rubble, living corals and dead corals; study case on the Spermonde archipelago, Indonesia. Remote Sens. Mar. Environ. II 2012, 8525, 246–255. [Google Scholar] [CrossRef]
- Jia, K.; Liang, S.L.; Zhang, N.; Wei, X.Q.; Gu, X.F.; Zhao, X.; Yao, Y.J.; Xie, X.H. Land cover classification of finer resolution remote sensing data integrating temporal features from time series coarser resolution data. ISPRS J. Photogramm. Remote Sens. 2014, 93, 49–55. [Google Scholar] [CrossRef]
- González-Rivero, M.; Beijbom, O.; Rodriguez-Ramirez, A.; Bryant, D.E.P.; Ganase, A.; Gonzalez-Marrero, Y.; Herrera-Reveles, A.; Kennedy, E.; Kim, C.J.S.; Lopez-Marcano, S.; et al. Monitoring of Coral Reefs Using Artificial Intelligence: A Feasible and Cost-Effective Approach. Remote Sens. 2020, 12, 489. [Google Scholar] [CrossRef]
- Hochberg, E.J.; Atkinson, M.J. Spectral discrimination of coral reef benthic communities. Coral Reefs 2000, 19, 164–171. [Google Scholar] [CrossRef]
- Hochberg, E.J.; Atkinson, M.J. Capabilities of remote sensors to classify coral, algae, and sand as pure and mixed spectra. Remote Sens. Environ. 2003, 85, 174–189. [Google Scholar] [CrossRef]
- Mishra, D.R.; Narumalani, S.; Rundquist, D.; Lawson, M. High-resolution ocean color remote sensing of Benthic habitats: A case study at the Roatan Island, Honduras. IEEE Trans. Geosci. Remote Sens. 2005, 43, 1592–1604. [Google Scholar] [CrossRef]
- Mishra, D.R.; Narumalani, S.; Rundquist, D.; Lawson, M.; Perk, R. Enhancing the detection and classification of coral reef and associated benthic habitats: A hyperspectral remote sensing approach. J. Geophys. Res. Ocean. 2007, 112, C08014. [Google Scholar] [CrossRef]
- Zoffoli, M.L.; Frouin, R.; Kampel, M. Water Column Correction for Coral Reef Studies by Remote Sensing. Sensors 2014, 14, 16881–16931. [Google Scholar] [CrossRef]
- Hadi, A.A.; Wicaksono, P. Accuracy assessment of relative and absolute water column correction methods for benthic habitat mapping in Parang Island. IOP Conf. Ser. Earth Environ. 2021, 686, 12034. [Google Scholar] [CrossRef]
- Roelfsema, C.; Phinn, S. Integrating field data with high spatial resolution multispectral satellite imagery for calibration and validation of coral reef benthic community maps. J. Appl. Remote Sens. 2010, 4, 43527. [Google Scholar] [CrossRef]
- Pratchett, M.S.; Anderson, K.D.; Hoogenboom, M.O.; Widman, E.; Baird, A.H.; Pandolfi, J.M.; Edmunds, P.J.; Lough, J.M. Spatial, Temporal and Taxonomic Variation in Coral Growth-Implications for the Structure and Function of Coral Reef Ecosystems. Oceanogr. Mar. Biol. 2015, 53, 215–295. [Google Scholar] [CrossRef]
- Purkis, S.J.; Myint, S.W.; Riegl, B.M. Enhanced detection of the coral Acropora Cervicornis from satellite imagery using a textural operator. Remote Sens. Environ. 2006, 101, 82–94. [Google Scholar] [CrossRef]
- Obura, D.O.; Aeby, G.; Amornthammarong, N.; Appeltans, W.; Bax, N.; Bishop, J.; Brainard, R.E.; Chan, S.; Fletcher, P.; Gordon, T.A.C.; et al. Coral Reef Monitoring, Reef Assessment Technologies, and Ecosystem-Based Management. Front. Mar. Sci. 2019, 6, 580. [Google Scholar] [CrossRef]
- Clark, C.D.; Mumby, P.J.; Chisholm, J.R.M.; Jaubert, J.; Andrefouet, S. Spectral discrimination of coral mortality states following a severe bleaching event. Int. J. Remote Sens. 2000, 21, 2321–2327. [Google Scholar] [CrossRef]
- Yamano, H.; Tamura, M. Detection limits of coral reef bleaching by satellite remote sensing: Simulation and data analysis. Remote Sens. Environ. 2004, 90, 86–103. [Google Scholar] [CrossRef]
- Purkis, S.J.; Riegl, B. Spatial and temporal dynamics of Arabian Gulf coral assemblages quantified from remote-sensing and monitoring data. Mar. Ecol. Prog. Ser. 2005, 287, 99–113. [Google Scholar] [CrossRef]








| Year | 2002 | 2004 | 2005 | 2006 | 2007 | 2008 | 2009 | 2010 | 2011 | 2012 | 2013 | 2014 | 2015 | 2016 | 2017 | 2018 | 2019 | 2020 | 2021 | 2022 | 2023 | Avg | StDev | Median | |
|---|---|---|---|---|---|---|---|---|---|---|---|---|---|---|---|---|---|---|---|---|---|---|---|---|---|
| Field data points (#) | 561 | 1425 | 705 | 1035 | 1830 | 1698 | 2955 | 3210 | 2111 | 2775 | 2635 | 2713 | 2411 | 2397 | 3803 | 2805 | 4085 | 4506 | 4852 | 5483 | 6238 | ||||
| Calibration points (#) | 2059 | 6822 | 3384 | 4902 | 8751 | 8100 | 13,813 | 1534 | 10,099 | 13,259 | 12,534 | 12,860 | 11,378 | 1137 | 18,153 | 13,456 | 19,605 | 21,541 | 23,264 | 26,146 | 29,605 | ||||
| Validation points (#) | 420 | 1334 | 684 | 957 | 1798 | 1634 | 2693 | 3118 | 1988 | 2628 | 2453 | 2593 | 2268 | 2313 | 3588 | 2724 | 3913 | 4264 | 4670 | 5245 | 5865 | ||||
| Overall accuracy (%) | 81 | 65 | 67 | 60 | 70 | 59 | 66 | 63 | 66 | 66 | 69 | 72 | 74 | 74 | 67 | 68 | 65 | 69 | 65 | 63 | 61 | 67 | 5 | 66 | |
| Producer accuracy (%) | Coral | 72 | 52 | 53 | 63 | 67 | 45 | 71 | 70 | 69 | 72 | 63 | 78 | 70 | 70 | 81 | 75 | 63 | 89 | 62 | 77 | 64 | 68 | 10 | 70 |
| Rock | 82 | 65 | 62 | 52 | 61 | 42 | 53 | 58 | 60 | 55 | 57 | 74 | 71 | 63 | 51 | 66 | 73 | 57 | 67 | 49 | 59 | 61 | 9 | 60 | |
| Rock/Coral | 44 | 46 | 51 | 40 | 37 | 44 | 36 | 40 | 39 | 42 | 45 | 41 | 46 | 36 | 37 | 32 | 34 | 25 | 26 | 34 | 26 | 38 | 7 | 39 | |
| Sand | 100 | 69 | 85 | 51 | 69 | 69 | 62 | 68 | 64 | 72 | 77 | 73 | 76 | 97 | 74 | 71 | 82 | 78 | 80 | 73 | 54 | 74 | 12 | 73 | |
| Sand/Coral | 100 | 76 | 89 | 77 | 100 | 100 | 88 | 75 | 65 | 83 | 88 | 89 | 92 | 100 | 77 | 87 | 84 | 100 | 85 | 95 | 91 | 88 | 10 | 88 | |
| Mixed | 100 | 76 | 57 | 78 | 82 | 54 | 89 | 67 | 95 | 68 | 79 | 78 | 89 | 78 | 77 | 79 | 52 | 62 | 72 | 51 | 70 | 74 | 14 | 77 | |
| User accuracy (%) | Coral | 86 | 63 | 72 | 80 | 63 | 60 | 66 | 67 | 62 | 67 | 65 | 73 | 67 | 66 | 68 | 73 | 70 | 71 | 64 | 64 | 64 | 68 | 6 | 67 |
| Rock | 77 | 84 | 77 | 56 | 65 | 58 | 68 | 69 | 69 | 69 | 65 | 67 | 69 | 70 | 71 | 68 | 62 | 63 | 61 | 63 | 60 | 67 | 7 | 68 | |
| Rock/Coral | 67 | 55 | 67 | 50 | 62 | 48 | 60 | 63 | 62 | 67 | 64 | 69 | 69 | 69 | 56 | 58 | 64 | 65 | 68 | 58 | 60 | 62 | 6 | 63 | |
| Sand | 75 | 73 | 65 | 57 | 74 | 67 | 67 | 58 | 74 | 64 | 74 | 76 | 86 | 86 | 63 | 67 | 58 | 66 | 63 | 65 | 71 | 69 | 8 | 67 | |
| Sand/Coral | 91 | 57 | 60 | 58 | 76 | 61 | 71 | 58 | 73 | 65 | 70 | 71 | 71 | 65 | 72 | 65 | 70 | 83 | 70 | 63 | 58 | 68 | 9 | 70 | |
| Mixed | 82 | 60 | 65 | 61 | 72 | 54 | 63 | 67 | 56 | 62 | 72 | 75 | 82 | 86 | 68 | 75 | 69 | 60 | 64 | 65 | 57 | 67 | 9 | 65 |
Disclaimer/Publisher’s Note: The statements, opinions and data contained in all publications are solely those of the individual author(s) and contributor(s) and not of MDPI and/or the editor(s). MDPI and/or the editor(s) disclaim responsibility for any injury to people or property resulting from any ideas, methods, instructions or products referred to in the content. |
© 2025 by the authors. Licensee MDPI, Basel, Switzerland. This article is an open access article distributed under the terms and conditions of the Creative Commons Attribution (CC BY) license (https://creativecommons.org/licenses/by/4.0/).
Share and Cite
Carrasco Rivera, D.E.; Diederiks, F.F.; Hammerman, N.M.; Staples, T.; Kovacs, E.; Markey, K.; Roelfsema, C.M. Remote Sensing Reveals Multidecadal Trends in Coral Cover at Heron Reef, Australia. Remote Sens. 2025, 17, 1286. https://doi.org/10.3390/rs17071286
Carrasco Rivera DE, Diederiks FF, Hammerman NM, Staples T, Kovacs E, Markey K, Roelfsema CM. Remote Sensing Reveals Multidecadal Trends in Coral Cover at Heron Reef, Australia. Remote Sensing. 2025; 17(7):1286. https://doi.org/10.3390/rs17071286
Chicago/Turabian StyleCarrasco Rivera, David E., Faye F. Diederiks, Nicholas M. Hammerman, Timothy Staples, Eva Kovacs, Kathryn Markey, and Chris M. Roelfsema. 2025. "Remote Sensing Reveals Multidecadal Trends in Coral Cover at Heron Reef, Australia" Remote Sensing 17, no. 7: 1286. https://doi.org/10.3390/rs17071286
APA StyleCarrasco Rivera, D. E., Diederiks, F. F., Hammerman, N. M., Staples, T., Kovacs, E., Markey, K., & Roelfsema, C. M. (2025). Remote Sensing Reveals Multidecadal Trends in Coral Cover at Heron Reef, Australia. Remote Sensing, 17(7), 1286. https://doi.org/10.3390/rs17071286

