Impact of the Uncertainties of Polarized Water-Leaving Radiance on the Retrieval of Oceanic Constituents and Inherent Optical Properties in Global Oceans via Multiangle Polarimetric Observations
Abstract
1. Introduction
2. Materials and Methods
2.1. Radiative Transfer Simulations
2.2. Polarization-Based Retrieval Algorithm Using the Deep Learning Method
3. Results
3.1. Global Uncertainty Distributions of the Retrieval of Oceanic Constitutions and IOPs
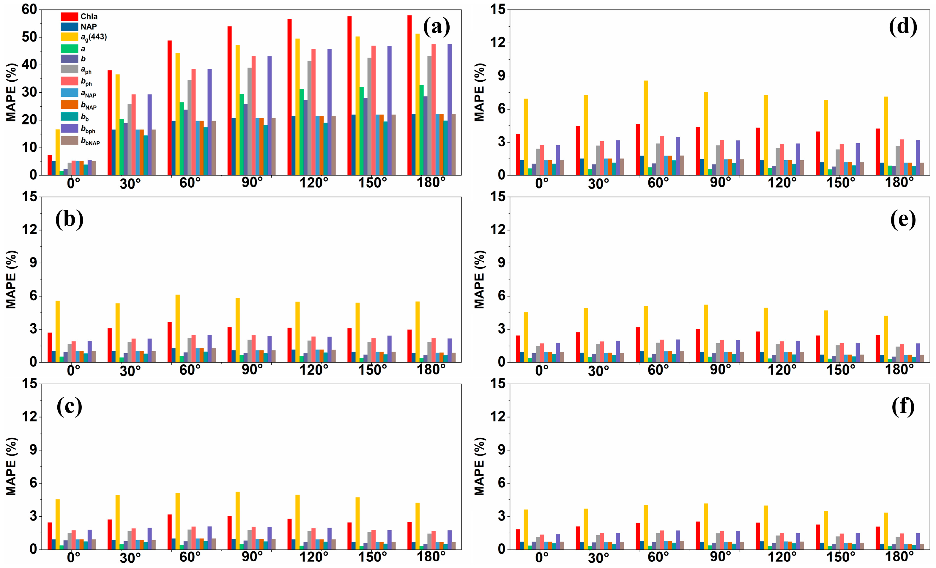
3.2. Angular Distributions in the Uncertainties of the Retrieval of Oceanic Constituents and IOPs
3.3. Influence of Lw DOP Uncertainties on the Retrieval of Oceanic Constituents and IOPs
4. Discussion
5. Conclusions
Author Contributions
Funding
Data Availability Statement
Acknowledgments
Conflicts of Interest
References
- Lotsberg, J.K.; Stamnes, J.J. Impact of particulate oceanic composition on the radiance and polarization of underwater and backscattered light. Opt. Express 2010, 18, 10432–10445. [Google Scholar] [CrossRef] [PubMed]
- Chami, M.; Santer, R.; Dilligeard, E. Radiative transfer model for the computation of radiance and polarization in an ocean-atmosphere system: Polarization properties of suspended matter for remote sensing. Appl. Opt. 2001, 40, 2398–2416. [Google Scholar] [CrossRef] [PubMed]
- Chami, M.; David, M. Determination of biogeochemical properties of marine particles using above water measurements of the degree of polarization at the Brewster angle. Opt. Express 2007, 15, 9494–9509. [Google Scholar] [CrossRef] [PubMed]
- Chami, M. Importance of the polarization in the retrieval of oceanic constituents from the remote sensing reflectance. J. Geophys. Res. Ocean. 2007, 112, C05026. [Google Scholar] [CrossRef]
- Jamet, C.; Ibrahim, A.; Ahmad, Z.; Angelini, F.; Babin, M.; Behrenfeld, M.J.; Zhai, P.W. Going Beyond Standard Ocean Color Observations: Lidar and Polarimetry. Front. Mar. Sci. 2019, 6, 251. [Google Scholar] [CrossRef]
- Remer, L.A.; Knobelspiesse, K.; Zhai, P.W.; Xu, F.; Kalashnikova, O.V.; Chowdhary, J.; Torres, O. Retrieving Aerosol Characteristics from the PACE Mission, Part 2: Multi-Angle and Polarimetry. Front. Environ. Sci. 2019, 7, 94. [Google Scholar] [CrossRef]
- El-Habashi, A.; Bowles, J.; Foster, R.; Gray, D.; Chami, M. Polarized observations for advanced atmosphere-ocean algorithms using airborne multi-spectral hyper-angular polarimetric imager. J. Quant. Spectrosc. Radiat. Transf. 2021, 262, 107515. [Google Scholar] [CrossRef]
- He, X.; Pan, D.; Bai, Y.; Wang, D.; Hao, Z. A new simple concept for ocean colour remote sensing using parallel polarisation radiance. Sci. Rep. 2014, 4, 3748. [Google Scholar] [CrossRef]
- Dubovik, O.; Li, Z.; Mishchenko, M.I.; Tanré, D.; Karol, Y.; Bojkov, B.; Yin, D. Polarimetric remote sensing of atmospheric aerosols: Instruments, methodologies, results, and perspectives. J. Quant. Spectrosc. Radiat. Transf. 2019, 224, 474–511. [Google Scholar] [CrossRef]
- Deschamps, P.Y.; Breon, F.M.; Leroy, M.; Podaire, A.; Bricaud, A.; Buriez, J.C.; Seze, G. The POLDER mission: Instrument characteristics and scientific objectives. IEEE Trans. Geosci. Remote Sens. 1994, 32, 598–615. [Google Scholar] [CrossRef]
- Cairns, B.; Waquet, F.; Knobelspiesse, K.; Chowdhary, J.; Deuzé, J.L. Polarimetric remote sensing of aerosols over land surfaces. In Satellite Aerosol Remote Sensing over Land; Kokhanovsky, A.A., de Leeuw, G., Eds.; Springer: Berlin/Heidelberg, Germany, 2009; pp. 295–325. [Google Scholar]
- Honda, Y.; Yamamoto, H.; Hori, M.; Murakami, H.; Kikuchi, N. The possibility of SGLI/GCOM-C for global environment change monitoring. In Proceedings of the Sensors, Systems, and Next-Generation Satellites X, Stockholm, Sweden, 11–14 September 2006. [Google Scholar]
- Martins, J.V.; Fernandez-Borda, R.; McBride, B.; Remer, L.; Barbosa, H.M.J. The Harp Hype Ran Gular Imaging Polarimeter and the Need for Small Satellite Payloads with High Science Payoff for Earth Science Remote Sensing. In Proceedings of the IGARSS 2018–2018 IEEE International Geoscience and Remote Sensing Symposium, Valencia, Spain, 22–27 July 2018. [Google Scholar]
- Laan, E.C.; Stam, D.M.; Snik, F.; Karalidi, T.; Keller, C.U.; ter Horst, R.; Hoogeveen, R.W.M. The Spectropolarimeter for Planetary Exploration: SPEX. In Proceedings of the International Conference on Space Optics, Toulouse, France, 14–17 October 2008. [Google Scholar]
- Rietjens, J.H.H.; Campo, J.; Chanumolu, A.; Smit, M.; Nalla, R.; Fernandez, C.; Hasekamp, O.P. Expected performance and error analysis for SPEXone, a multi-angle channeled spectropolarimeter for the NASA PACE mission. In Proceedings of the Optical Engineering + Applications, San Diego, CA, USA, 11–15 August 2019. [Google Scholar]
- Cairns, B.; Russell, E.E.; Laveigne, J.D.; Tennant, P.M. Research scanning polarimeter and airborne usage for remote sensing of aerosols. In Proceedings of the Polarization Science and Remote Sensing, San Diego, CA, USA, 3–8 August 2003. [Google Scholar]
- Cairns, B.; Russell, E.E.; Travis, L. Research Scanning Polarimeter: Calibration and ground-based measurements. In Proceedings of the Polarization: Measurement, Analysis, and Remote Sensing II, Denver, CO, USA, 18–23 July 1999. [Google Scholar]
- Bowles, J.H.; Korwan, D.R.; Montes, M.J.; Gray, D.J.; Gillis, D.B.; Lamela, G.M.; Miller, W.D. Airborne system for multispectral, multiangle polarimetric imaging. Appl. Opt. 2015, 54, F256–F267. [Google Scholar] [CrossRef] [PubMed]
- Auriol, F.; Léon, J.F.; Balois, J.Y.; Verwaerde, C.; François, P.; Riedi, J.; Goloub, P. Multidirectional visible and shortwave infrared polarimeter for atmospheric aerosol and cloud observation: OSIRIS (Observing System Including PolaRisation in the Solar Infrared Spectrum). In Proceedings of the Multispectral, Hyperspectral, and Ultraspectral Remote Sensing Technology, Techniques, and Applications II, Noumea, New Caledonia, 17–21 November 2008; p. 7149. [Google Scholar]
- Gao, M.; Zhai, P.W.; Franz, B.; Hu, Y.; Knobelspiesse, K.; Werdell, P.J.; Cairns, B. Retrieval of aerosol properties and water-leaving reflectance from multi-angular polarimetric measurements over coastal waters. Opt. Express 2018, 26, 8968–8989. [Google Scholar] [CrossRef] [PubMed]
- He, X.; Pan, T.; Bai, Y.; Shanmugam, P.; Wang, D.; Li, T.; Gong, F. Intelligent Atmospheric Correction Algorithm for Polarization Ocean Color Satellite Measurements Over the Open Ocean. IEEE Trans. Geosci. Remote Sens. 2024, 62, 1–22. [Google Scholar] [CrossRef]
- Pan, T.; He, X.; Bai, Y.; Li, T.; Gong, F.; Wang, D. Satellite retrieval of the linear polarization components of the water-leaving radiance in open oceans. Opt. Express 2023, 31, 15917–15939. [Google Scholar] [CrossRef]
- Stamnes, S.; Hostetler, C.; Ferrare, R.; Burton, S.; Liu, X.; Hair, J.; Cairns, B. Simultaneous polarimeter retrievals of microphysical aerosol and ocean color parameters from the “MAPP” algorithm with comparison to high-spectral-resolution lidar aerosol and ocean products. Appl. Opt. 2018, 57, 2394–2413. [Google Scholar] [CrossRef]
- Xu, F.; Dubovik, O.; Zhai, P.-W.; Diner, D.J.; Kalashnikova, O.V.; Seidel, F.C.; Davis, A.B. Joint retrieval of aerosol and water-leaving radiance from multispectral, multiangular and polarimetric measurements over ocean. Atmos. Meas. Tech. 2016, 9, 2877–2907. [Google Scholar] [CrossRef]
- Ottaviani, M.; Foster, R.; Gilerson, A.; Ibrahim, A.; Carrizo, C.; El-Habashi, A.; Cetinic, I. Airborne and shipborne polarimetric measurements over open ocean and coastal waters: Intercomparisons and implications for spaceborne observations. Remote Sens. Environ. 2018, 206, 375–390. [Google Scholar] [CrossRef]
- Gilerson, A.; Carrizo, C.; Ibrahim, A.; Foster, R.; Harmel, T.; El-Habashi, A.; Ondrusek, M. Hyperspectral polarimetric imaging of the water surface and retrieval of water optical parameters from multi-angular polarimetric data. Appl. Opt. 2020, 59, C8–C20. [Google Scholar] [CrossRef]
- Voss, K.J.; Souaidia, N. POLRADS: Polarization radiance distribution measurement system. Opt. Express 2010, 18, 19672–19680. [Google Scholar] [CrossRef]
- Tonizzo, A.; Gilerson, A.; Harmel, T.; Ibrahim, A.; Chowdhary, J.; Gross, B.; Ahmed, S. Estimating particle composition and size distribution from polarized water-leaving radiance. Appl. Opt. 2011, 50, 5047–5058. [Google Scholar] [CrossRef]
- Liu, J.; Jia, X.; He, X.; Wang, Y.; Zhu, Q.; Li, H.; Pan, D. A New Method for Direct Measurement of Polarization Characteristics of Water-Leaving Radiation. IEEE Trans. Geosci. Remote Sens. 2022, 60, 4204614. [Google Scholar] [CrossRef]
- Liu, J.; Hu, B.; He, X.; Bai, Y.; Tian, L.; Chen, T.; Pan, D. Importance of the parallel polarization radiance for estimating inorganic particle concentrations in turbid waters based on radiative transfer simulations. Int. J. Remote Sens. 2020, 41, 4923–4946. [Google Scholar] [CrossRef]
- Ibrahim, A.; Gilerson, A.; Chowdhary, J.; Ahmed, S. Retrieval of macro-and micro-physical properties of oceanic hydrosols from polarimetric observations. Remote Sens. Environ. 2016, 186, 548–566. [Google Scholar] [CrossRef]
- Ibrahim, A.; Gilerson, A.; Harmel, T.; Tonizzo, A.; Chowdhary, J.; Ahmed, S. The relationship between upwelling underwater polarization and attenuation/absorption ratio. Opt. Express 2012, 20, 25662–25680. [Google Scholar] [CrossRef]
- Tonizzo, A.; Zhou, J.; Gilerson, A.; Twardowski, M.S.; Gray, D.J.; Arnone, R.A.; Ahmed, S.A. Polarized light in coastal waters: Hyperspectral and multiangular analysis. Opt. Express 2009, 17, 5666–5683. [Google Scholar] [CrossRef]
- Chami, M.; Platel, M.D. Sensitivity of the retrieval of the inherent optical properties of marine particles in coastal waters to the directional variations and the polarization of the reflectance. J. Geophys. Res. Ocean. 2007, 112, C05037. [Google Scholar] [CrossRef]
- Davide, D.A.; Kajiyama, T. Effects of light polarization and waves slope statistics on the reflectance factor of the sea surface. Opt. Express 2016, 24, 1094–4087. [Google Scholar]
- Loisel, H.; Duforet, L.; Dessailly, D.; Chami, M.; Dubuisson, P. Investigation of the variations in the water leaving polarized reflectance from the POLDER satellite data over two biogeochemical contrasted oceanic areas. Opt. Express 2008, 16, 12905–12918. [Google Scholar] [CrossRef]
- Dubovik, O.; Herman, M.; Holdak, A.; Lapyonok, T.; Tanré, D.; Deuzé, J.L.; Lopatin, A. Statistically optimized inversion algorithm for enhanced retrieval of aerosol properties from spectral multi-angle polarimetric satellite observations. Atmos. Meas. Tech. 2011, 4, 975–1018. [Google Scholar] [CrossRef]
- Lacagnina, C.; Hasekamp, O.P.; Bian, H.; Curci, G.; Myhre, G.; van Noije, T.; Zhang, K. Aerosol single-scattering albedo over the global oceans: Comparing PARASOL retrievals with AERONET, OMI, and AeroCom models estimates. J. Geophys. Res. Atmos. 2015, 120, 9814–9836. [Google Scholar] [CrossRef]
- Riedi, J.; Marchant, B.; Platnick, S.; Baum, B.A.; Thieuleux, F.; Oudard, C.; Dubuisson, P. Cloud thermodynamic phase inferred from merged POLDER and MODIS data. Atmos. Chem. Phys. 2010, 10, 11851–11865. [Google Scholar] [CrossRef]
- Wu, L.; Hasekamp, O.; van Diedenhoven, B.; Cairns, B.; Yorks, J.E.; Chowdhary, J. Passive remote sensing of aerosol layer height using near-UV multi-angle polarization measurements. Geophys. Res. Lett. 2016, 43, 8783–8790. [Google Scholar] [PubMed]
- He, X.; Pan, D.; Bai, Y.; Zhu, Q.; Gong, F. Vector radiative transfer numerical model of coupled ocean-atmosphere system using matrix-operator method. Sci. China Ser. D Earth Sci. 2007, 50, 442–452. [Google Scholar] [CrossRef]
- He, X.; Bai, Y.; Zhu, Q.; Gong, F. A vector radiative transfer model of coupled ocean–atmosphere system using matrix-operator method for rough sea-surface. J. Quant. Spectrosc. Radiat. Transf. 2010, 111, 1426–1448. [Google Scholar] [CrossRef]
- He, X.; Stamnes, K.; Bai, Y.; Li, W.; Wang, D. Effects of Earth curvature on atmospheric correction for ocean color remote sensing. Remote Sens. Environ. 2018, 209, 118–133. [Google Scholar] [CrossRef]
- Young, A.T. Revised depolarization corrections for atmospheric extinction. Appl. Opt. 1980, 19, 3427–3428. [Google Scholar] [CrossRef]
- Morel, A.; Prieur, L. Analysis of variations in ocean color. Limnol. Oceanogr. 1977, 22, 709–722. [Google Scholar] [CrossRef]
- Lee, Z.; Wei, J.; Voss, K.; Lewis, M.; Bricaud, A.; Huot, Y. Hyperspectral absorption coefficient of “pure” seawater in the range of 350–550 nm inverted from remote sensing reflectance. Appl. Opt. 2015, 54, 546–558. [Google Scholar] [CrossRef]
- Pope, E.S.; Fry, E.S. Absorption spectrum (380–700 nm) of pure water, I.I. Integrating cavity measurements. Appl. Opt. 1997, 36, 8710–8723. [Google Scholar]
- Bricaud, A.; Morel, A.; Babin, M.; Allali, K.; Claustre, H. Variations of light absorption by suspended particles with chlorophyll a concentration in oceanic (case 1) waters: Analysis and implications for bio-optical models. J. Geophys. Res. Ocean. 1998, 103, 31033–31044. [Google Scholar] [CrossRef]
- Babin, M.; Stramski, D.; Ferrari, G.M.; Claustre, H.; Bricaud, A.; Obolensky, G.; Hoepffner, N.J. Variations in the light absorption coefficients of phytoplankton, nonalgal particles, and dissolved organic matter in coastal waters around Europe. J. Geophys. Res. Ocean. 2003, 108, 3211. [Google Scholar]
- Bai, Y.; Pan, D.; Cai, W.-J.; He, X.; Wang, D.; Tao, B.; Zhu, Q. Remote sensing of salinity from satellite-derived CDOM in the Changjiang River dominated East China Sea. J. Geophys. Res. Ocean. 2013, 118, 227–243. [Google Scholar] [CrossRef]
- Thuillier, G.; Hersé, M.; Labs, D.; Foujols, T.; Peetermans, W.; Gillotay, D.; Mandel, H. The Solar Spectral Irradiance from 200 to 2400 nm as Measured by the SOLSPEC Spectrometer from the Atlas and Eureca Missions. Sol. Phys. 2003, 214, 1–22. [Google Scholar] [CrossRef]
- Chen, T.; Su, X.; Li, H.; Li, S.; Liu, J.; Zhang, G.; Zou, C. Learning a Fully Connected U-Net for Spectrum Reconstruction of Fourier Transform Imaging Spectrometers. Remote Sens. 2022, 14, 900. [Google Scholar] [CrossRef]
- Ronneberger, O.; Fischer, P.; Brox, T. U-Net: Convolutional Networks for Biomedical Image Segmentation. In Proceedings of the Medical Image Computing and Computer-Assisted Intervention–MICCAI, Munich, Germany, 5–9 October 2015. [Google Scholar]
- Werdell, P.J.; Franz, B.A.; Bailey, S.W.; Feldman, G.C.; Boss, E.; Brando, V.E.; Mangin, A. Generalized ocean color inversion model for retrieving marine inherent optical properties. Appl. Opt. 2013, 52, 2019–2037. [Google Scholar] [CrossRef]
- Gao Franz, B.A.; Zhai, P.W.; Knobelspiesse, K.; Sayer, A.M.; Xu, X.; Werdell, P.J. Simultaneous retrieval of aerosol and ocean properties from PACE HARP2 with uncertainty assessment using cascading neural network radiative transfer models. Atmos. Meas. Tech. 2023, 16, 5863–5881. [Google Scholar] [CrossRef]
- Gao, M.; Zhai, P.W.; Franz, B.A.; Hu, Y.; Knobelspiesse, K.; Werdell, P.J.; Chase, A. Inversion of multiangular polarimetric measurements over open and coastal ocean waters: A joint retrieval algorithm for aerosol and water-leaving radiance properties. Atmos. Meas. Tech. 2019, 12, 3921–3941. [Google Scholar] [CrossRef]











| Block | Operation | Input | Output |
|---|---|---|---|
| FC upsampling | Linear(m,2m), Relu(), | m × 1 vector | (2m) × 1 vector |
| FC downsampling | Linear(m, m/2), Relu(), | m × 1 vector | (m/2) × 1 vector |
| Individual | FC Linear(m, n), Relu() | m × 1 vector | n × 1 vector |
| Chla | NAP | ag | a | b | aph | bph | aNAP | bNAP | bb | bbph | bbNAP | |
|---|---|---|---|---|---|---|---|---|---|---|---|---|
| 0° | 3.76 | 1.38 | 6.94 | 0.62 | 1.06 | 2.39 | 2.76 | 1.36 | 1.37 | 1.05 | 2.76 | 1.36 |
| 30° | 4.46 | 1.53 | 7.27 | 0.59 | 1.00 | 2.69 | 3.12 | 1.52 | 1.52 | 1.15 | 3.18 | 1.52 |
| 60° | 4.65 | 1.78 | 8.58 | 0.73 | 1.09 | 2.90 | 3.58 | 1.77 | 1.77 | 1.34 | 3.48 | 1.79 |
| 90° | 4.38 | 1.46 | 7.50 | 0.58 | 1.01 | 2.73 | 3.20 | 1.44 | 1.45 | 1.10 | 3.17 | 1.44 |
| 120° | 4.32 | 1.37 | 7.26 | 0.66 | 0.87 | 2.46 | 2.86 | 1.37 | 1.36 | 1.04 | 2.89 | 1.37 |
| 150° | 3.97 | 1.18 | 6.83 | 0.54 | 0.80 | 2.34 | 2.85 | 1.18 | 1.20 | 0.89 | 2.92 | 1.18 |
| 180° | 4.23 | 1.14 | 7.12 | 0.89 | 0.87 | 2.64 | 3.27 | 1.15 | 1.15 | 0.86 | 3.20 | 1.15 |
| 0° | 6.07 | 2.31 | 11.25 | 1.09 | 1.29 | 3.84 | 4.44 | 2.30 | 2.30 | 1.73 | 4.43 | 2.30 |
| 30° | 6.76 | 2.13 | 12.09 | 1.57 | 1.27 | 4.15 | 4.90 | 2.13 | 2.11 | 1.58 | 4.92 | 2.11 |
| 60° | 7.33 | 2.46 | 12.35 | 1.67 | 1.36 | 4.61 | 5.32 | 2.46 | 2.47 | 1.82 | 5.31 | 2.47 |
| 90° | 6.92 | 2.08 | 11.70 | 1.57 | 1.28 | 4.46 | 5.16 | 2.09 | 2.11 | 1.54 | 5.06 | 2.09 |
| 120° | 6.77 | 2.19 | 12.17 | 1.40 | 1.20 | 4.21 | 4.92 | 2.19 | 2.19 | 1.60 | 4.93 | 2.18 |
| 150° | 6.38 | 1.96 | 12.83 | 1.43 | 1.14 | 3.96 | 4.93 | 1.97 | 1.94 | 1.42 | 4.78 | 1.95 |
| 180° | 5.87 | 1.72 | 11.65 | 1.30 | 1.15 | 3.74 | 4.37 | 1.72 | 1.71 | 1.28 | 4.35 | 1.71 |
| 0° | 6.61 | 2.30 | 9.42 | 1.14 | 1.62 | 4.08 | 4.88 | 2.32 | 2.32 | 1.74 | 4.69 | 2.30 |
| 30° | 7.37 | 2.42 | 9.34 | 1.45 | 1.65 | 4.41 | 5.17 | 2.42 | 2.43 | 1.82 | 5.12 | 2.42 |
| 60° | 7.93 | 2.61 | 10.09 | 1.77 | 1.81 | 4.71 | 5.55 | 2.61 | 2.62 | 1.97 | 5.47 | 2.60 |
| 90° | 7.24 | 2.46 | 10.62 | 1.55 | 1.69 | 4.56 | 5.36 | 2.45 | 2.45 | 1.83 | 5.37 | 2.46 |
| 120° | 7.49 | 2.30 | 9.88 | 1.45 | 1.59 | 4.46 | 5.28 | 2.30 | 2.29 | 1.71 | 5.18 | 2.30 |
| 150° | 7.05 | 2.02 | 10.04 | 1.51 | 1.63 | 4.43 | 5.10 | 2.03 | 2.02 | 1.52 | 5.14 | 2.03 |
| 180° | 6.81 | 1.84 | 10.10 | 1.36 | 1.48 | 4.26 | 4.96 | 1.84 | 1.82 | 1.37 | 4.92 | 1.84 |
Disclaimer/Publisher’s Note: The statements, opinions and data contained in all publications are solely those of the individual author(s) and contributor(s) and not of MDPI and/or the editor(s). MDPI and/or the editor(s) disclaim responsibility for any injury to people or property resulting from any ideas, methods, instructions or products referred to in the content. |
© 2025 by the authors. Licensee MDPI, Basel, Switzerland. This article is an open access article distributed under the terms and conditions of the Creative Commons Attribution (CC BY) license (https://creativecommons.org/licenses/by/4.0/).
Share and Cite
Liu, J.; Li, C.; He, X.; Chen, T.; Jia, X.; Bai, Y.; Liu, D.; Qu, B.; Wang, Y.; Feng, X.; et al. Impact of the Uncertainties of Polarized Water-Leaving Radiance on the Retrieval of Oceanic Constituents and Inherent Optical Properties in Global Oceans via Multiangle Polarimetric Observations. Remote Sens. 2025, 17, 1148. https://doi.org/10.3390/rs17071148
Liu J, Li C, He X, Chen T, Jia X, Bai Y, Liu D, Qu B, Wang Y, Feng X, et al. Impact of the Uncertainties of Polarized Water-Leaving Radiance on the Retrieval of Oceanic Constituents and Inherent Optical Properties in Global Oceans via Multiangle Polarimetric Observations. Remote Sensing. 2025; 17(7):1148. https://doi.org/10.3390/rs17071148
Chicago/Turabian StyleLiu, Jia, Chunxia Li, Xianqiang He, Tieqiao Chen, Xinyin Jia, Yan Bai, Dong Liu, Bo Qu, Yihao Wang, Xiangpeng Feng, and et al. 2025. "Impact of the Uncertainties of Polarized Water-Leaving Radiance on the Retrieval of Oceanic Constituents and Inherent Optical Properties in Global Oceans via Multiangle Polarimetric Observations" Remote Sensing 17, no. 7: 1148. https://doi.org/10.3390/rs17071148
APA StyleLiu, J., Li, C., He, X., Chen, T., Jia, X., Bai, Y., Liu, D., Qu, B., Wang, Y., Feng, X., Liu, Y., Zhang, G., Li, S., Hu, B., & Pan, D. (2025). Impact of the Uncertainties of Polarized Water-Leaving Radiance on the Retrieval of Oceanic Constituents and Inherent Optical Properties in Global Oceans via Multiangle Polarimetric Observations. Remote Sensing, 17(7), 1148. https://doi.org/10.3390/rs17071148

