A Multipath Hemispherical Map with Strict Quality Control for Multipath Mitigation
Abstract
1. Introduction
2. Materials and Methods
2.1. GNSS DD Observation Equation
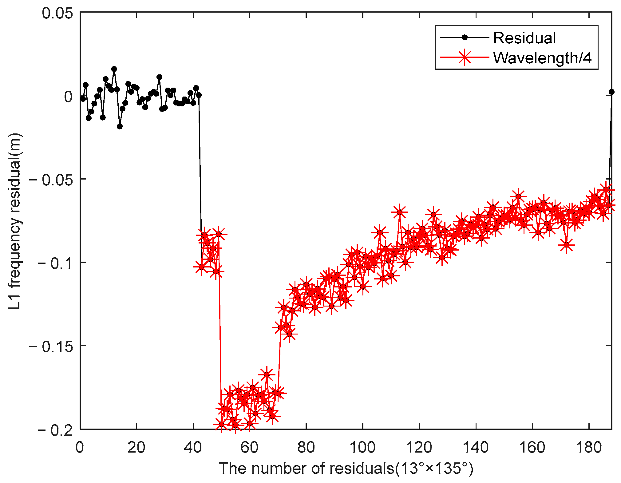
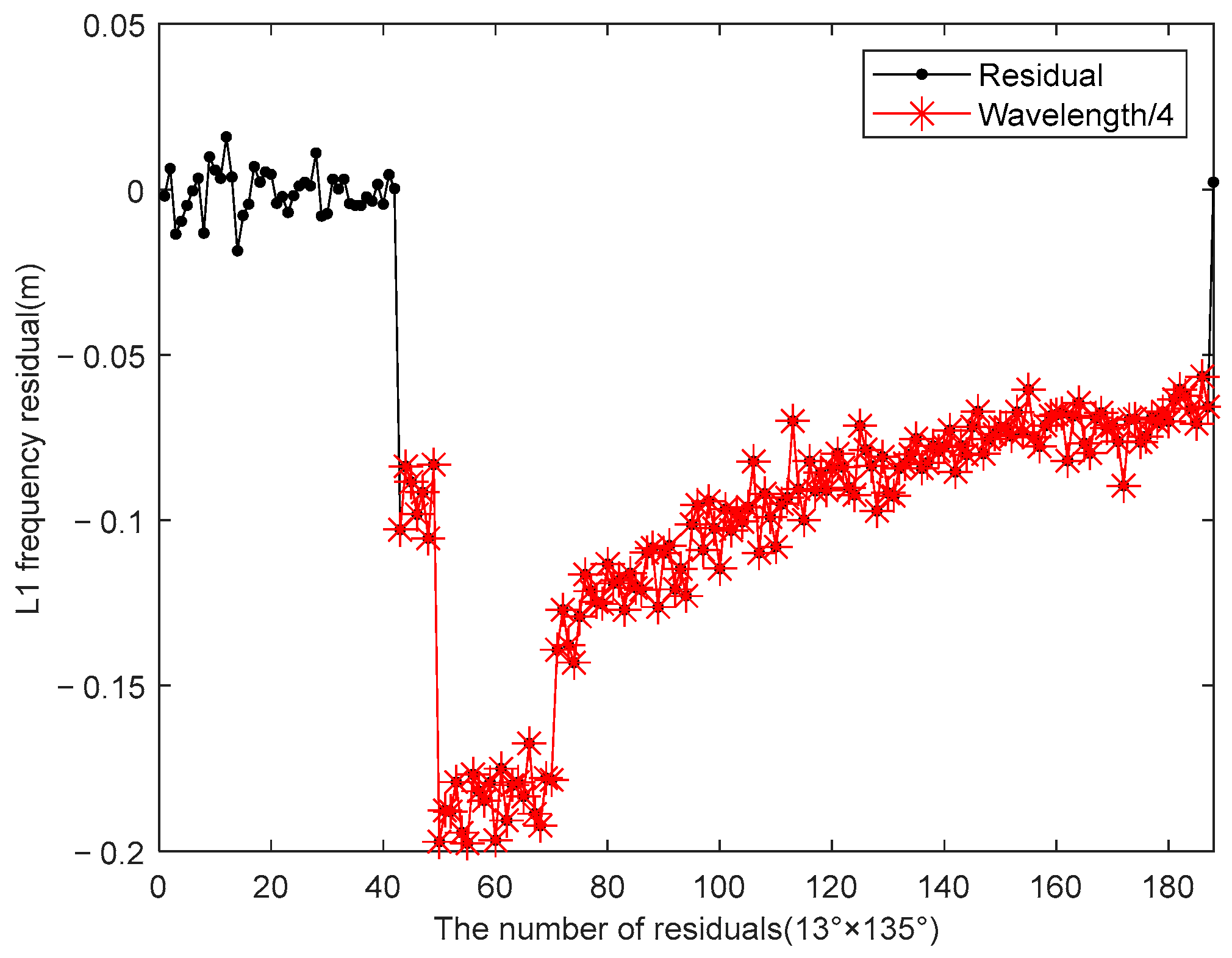
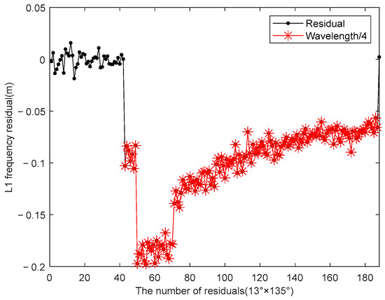
2.2. Maximum Phase Delay
2.3. Outlier Identification and Verification
2.4. Determination of the Minimum Number of Residuals
2.5. Multipath Hemispherical Map Model with Strict Quality Control
- The GPS observations and the broadcast ephemeris are processed using static RTK positioning mode. Then, the elevation angle, azimuth angle, and post-fit DD residual residuals can be calculated by the baseline vectors and fixed DD ambiguities.
- The DD residuals are divided into grids according to the elevation, azimuth, and grid resolution.
- A strict quality control method is used to process the DD residuals in each grid. Specifically, this method first uses the calculated maximum phase delay to eliminate some obvious outliers, so that the residuals in the grid are close to a normal distribution; second, the 3-sigma rule and F-test are used to remove the few remaining outliers in the grid; third, the Z-test is used to determine the minimum number of residuals in the grid, which is used as the threshold to delete the grids with fewer residuals.
- The DD residuals of the satellites in each grid are averaged as multipath error corrections, which are subtracted from the DD residual time series of the target day.
- Then, the baseline vector of the target day at the rover station is estimated in kinematic positioning mode.
3. Results and Discussion
3.1. Detecting Outliers Through Maximum Phase Delay
3.2. Detecting Outliers Using 3-Sigma and F-Test
3.3. The Minimum Number of Residuals in Each Grid
3.4. The Performance Analysis of MHM-S
4. Conclusions
- The MHM-S model has a stronger visualization effect than MHM with traditional quality control methods because it can successfully remove many obvious outliers. When the PRN20 satellite is affected by the outliers, the RMS reduction rates of MHM-S are 12.03% and 40.43% compared with the MHM model and the raw model, respectively.
- Compared with the raw positioning, the RMSs of the MHM-SC model positioning errors are reduced by approximately 19.4%, 20.4%, and 17.5% in the east, north, and up directions, respectively. Especially in the east direction, compared with the MHM-SC model, the positioning accuracy of the MHM-SCP model is improved by 48%.
- The positioning accuracy of the MHM-SCP model with 4 days is slightly better than that of the MHM-SCP model with other numbers of days. Compared with raw positioning accuracy, the positioning accuracy improvement rate of the MHM-SCP model with 4 days can reach 58.4%, 23.9%, and 20.7% in the east, north, and up directions, respectively.
Author Contributions
Funding
Data Availability Statement
Acknowledgments
Conflicts of Interest
References
- Tao, Y.; Liu, C.; Liu, C.; Zhao, X.; Hu, H.; Xin, H. Joint time–frequency mask and convolutional neural network for real-time separation of multipath in GNSS deformation monitoring. GPS Solut. 2021, 25, 25. [Google Scholar] [CrossRef]
- Ruhl, C.J.; Melgar, D.; Grapenthin, R.; Allen, R.M. The value of real-time GNSS to earthquake early warning. Geophys. Res. Lett. 2017, 44, 8311–8319. [Google Scholar] [CrossRef]
- Zhang, Z.; Yuan, H.; He, X.; Chen, B.; Zhang, Z. Unmodeled-error-corrected stochastic assessment for a standalone GNSS receiver regardless of the number of tracked frequencies. Measurement 2023, 206, 112265. [Google Scholar] [CrossRef]
- Zhou, H.; Wang, X.; Li, S.; Fu, J.; Chen, X.; Li, J. An Optimal Carrier-Phase Smoothing Code Algorithm for Low-Cost Single-Frequency Receivers. J. Surv. Eng. 2023, 149, 05023003. [Google Scholar] [CrossRef]
- Liu, S.; Li, D.; Li, B.; Wang, F. A compact high-precision GNSS antenna with a miniaturized choke ring. IEEE Antennas Wirel. Propag. Lett. 2017, 16, 2465–2468. [Google Scholar] [CrossRef]
- Lighari, R.U.R.; Berg, M.; Kallankari, J.; Parssinen, A.; Salonen, E.T. Analysis of the measured RHCP and LHCP GNSS signals in multipath environment. In Proceedings of the Localization and GNSS (ICL-GNSS), Barcelona, Spain, 28–30 June 2016; pp. 1–6. [Google Scholar]
- Yang, P.; Yan, F.; Zhou, L.; Gao, M.; Yang, F. A small low-multipath GNSS antenna using annular slot loaded ground plane. In Proceedings of the IEEE 5th Asia-Pacific Conference on Antennas and Propagation (APCAP), Kaohsiung, Taiwan, 26–29 July 2016; pp. 349–350. [Google Scholar]
- Van Dierendonck, A.J.; Fenton, P.; Ford, T. Theory and performance of narrow correlator spacing in a GPS receiver. Navigation 1992, 39, 265–283. [Google Scholar] [CrossRef]
- Jardak, N.; Vervisch-Picois, A.; Samama, N. Multipath Insensitive Delay Lock Loop in GNSS Receivers. IEEE Trans. Aerosp. Electron. Syst. 2011, 47, 2590–2609. [Google Scholar] [CrossRef]
- Townsend, B.; Fenton, P. A practical approach to the reduction of pseudorange multipath errors in a L1 GPS receiver. In Proceedings of the 7th International Technical Meeting of the Satellite Division of the Institute of Navigation, Salt Lake City, UT, USA, 20–23 September 1994; pp. 20–23. [Google Scholar]
- Zhou, H.; Wang, X.; Zhong, S.; Li, Y.; Xi, K. Multipath error extraction and mitigation based on refined wavelet level and threshold selection. GPS Solut. 2024, 28, 157. [Google Scholar] [CrossRef]
- Lau, L.; Cross, P. Development and testing of a new ray-tracing approach to GNSS carrier-phase multipath modelling. J. Geod. 2007, 81, 713–732. [Google Scholar] [CrossRef]
- Pugliano, G.; Robustelli, U.; Rossi, F.; Santamaria, R. A new method for specular and diffuse pseudorange multipath error extraction using wavelet analysis. GPS Solut. 2016, 20, 499–508. [Google Scholar] [CrossRef]
- Zhang, Z.; Li, B.; Gao, Y.; Shen, Y. Real-time carrier phase multipath detection based on dual-frequency C/N0 data. GPS Solut. 2019, 23, 7. [Google Scholar] [CrossRef]
- Genrich, J.F.; Bock, Y. Rapid resolution of crustal motion at short ranges with the global positioning system. J. Geophys. Res. 1992, 97, 3261–3269. [Google Scholar] [CrossRef]
- Lu, R.; Chen, W.; Li, Z.; Dong, D.; Jiang, W.; Wang, Z.; Huang, L.; Duan, X. An improved joint modeling method for multipath mitigation of GPS, BDS-3, and Galileo overlapping frequency signals in typical environments. J. Geod. 2023, 97, 95. [Google Scholar] [CrossRef]
- Zhou, H.; Wang, X.; Zhong, S. A satellite orbit maneuver detection and robust multipath mitigation method for GPS coordinate time series. Adv. Space Res. 2024, 74, 2784–2800. [Google Scholar] [CrossRef]
- Cohen, C.E.; Parkinson, B.W. Mitigating multipath error in GPS based attitude determination. In Guidance and Control, 1991 (Advances in the Astronautical Sciences), Proceedings of the AAS Guidance and Control Conference, Keystone, CO, USA, 2–6 February 1991; Univelt: San Diego, CA, USA, 1991; pp. 53–68. [Google Scholar]
- Hatanaka, Y.; Sawada, M.; Horita, A.; Kusaka, M.; Johnson, J.M.; Rocken, C. Calibration of antenna-radome and monument-multipath effect of GEONET—Part 2: Evaluation of the phase map by GEONET data. Earth Planets Space 2001, 53, 23–30. [Google Scholar] [CrossRef]
- Moore, M.; Watson, C.; King, M.; McClusky, S.; Tregoning, P. Empirical modelling of site-specific errors in continuous GPS data. J. Geod. 2014, 88, 887–900. [Google Scholar] [CrossRef]
- Dong, D.; Wang, M.; Chen, W.; Zeng, Z.; Song, L. Mitigation of multipath effect in GNSS short baseline positioning by the multipath hemispherical map. J. Geod. 2016, 90, 255–262. [Google Scholar] [CrossRef]
- Cai, M.; Chen, W.; Dong, D.; Song, L.; Wang, M.; Zhou, F.; Zheng, Z.; Yu, C. Reduction of Kinematic Short Baseline Multipath Effects Based on Multipath Hemispherical Map. Sensors 2016, 16, 1677. [Google Scholar] [CrossRef]
- Fuhrmann, T.; Luo, X.; Knöpfler, A.; Mayer, M. Generating statistically robust multipath stacking maps using congruent cells. GPS Solut. 2015, 19, 83–92. [Google Scholar] [CrossRef]
- Zheng, K.; Zhang, X.; Li, P.; Li, X.; Ge, M.; Guo, F.; Sang, J.; Schuh, H. Multipath extraction and mitigation for high-rate multi-GNSS precise point positioning. J. Geod. 2019, 93, 2037–2051. [Google Scholar] [CrossRef]
- Wang, Z.; Chen, W.; Dong, D.; Wang, M.; Cai, M.; Yu, C.; Zheng, Z.; Liu, M. Multipath mitigation based on trend surface analysis applied to dual-antenna receiver with common clock. GPS Solut. 2019, 23, 104. [Google Scholar] [CrossRef]
- Wang, Y.; Zou, X.; Deng, C.; Tang, W.; Li, Y.; Zhang, Y.; Feng, J. A Novel Method for Mitigating the GPS Multipath Effect Based on a Multi-Point Hemispherical Grid Model. Remote Sens. 2020, 12, 3045. [Google Scholar] [CrossRef]
- Tian, Y.; Liu, Z.; Lin, M.; Li, K. Modelling and mitigation of GNSS multipath effects by least-squares collocation considering spatial autocorrelation. J. Geod. 2023, 97, 37. [Google Scholar] [CrossRef]
- Geng, J.; Li, P.; Li, G. Combining the GPS/Galileo/BDS-3 signals on overlap frequencies for interoperable multipath hemispherical maps. J. Geod. 2024, 98, 32. [Google Scholar] [CrossRef]
- Zhang, Z.; Dong, Y.; Wen, Y.; Luo, Y. Modeling, refinement and evaluation of multipath mitigation based on the hemispherical map in BDS2/BDS3 relative precise positioning. Measurement 2023, 213, 112722. [Google Scholar] [CrossRef]
- Pan, Y.; Möller, G.; Soja, B. Machine learning-based multipath modeling in spatial domain applied to GNSS short baseline processing. GPS Solut. 2024, 28, 9. [Google Scholar] [CrossRef]
- Teunissen, P.J.G. The least-squares ambiguity decorrelation adjustment: A method for fast GPS integer ambiguity estimation. J. Geod. 1995, 70, 65–82. [Google Scholar] [CrossRef]
- Elósegui, P.; Davis, J.L.; Jaldehag, R.T.K.; Johansson, J.M.; Niell, A.E.; Shapiro, I.I. Geodesy using the Global Positioning System: The effects of signal scattering on estimates of site position. J. Geophys. Res. 1995, 100, 9921–9934. [Google Scholar] [CrossRef]
- Hofmann-Wellenhof, B.; Lichtenegger, H.; Wasle, E. GNSS—Global Navigation Satellite Systems; GPS, GLONASS, Galileo and More; Springer: Berlin/Heidelberg, Germany, 2008; ISBN 978-3-211-73017-1. [Google Scholar]
- Freund, R.J.; Wilson, W.J. Statistical Methods; Elsevier Science: New York, NY, USA, 2003; ISBN 0-12-267651-3. [Google Scholar]
- Takasu, T.; Yasuda, A. Development of the low-cost RTK-GPS receiver with an open source program package RTKLIB. In Proceedings of the International Symposium on GPS/GNSS, Seogwipo-si, Republic of Korea, 4–6 November 2009; pp. 1–6. [Google Scholar]
- Bilich, A.; Axelrad, P.; Larson, K.M. Scientific Utility of the Signal-to-Noise Ratio (SNR) Reported by Geodetic GPS Receivers. In Proceedings of the International Technical Meeting of the Satellite Division of The Institute of Navigation ION GNSS 2007, Fort Worth, TX, USA, 25–28 September 2007; pp. 26–28. [Google Scholar]
- Larson, K.M.; Bilich, A.; Axelrad, P. Improving the precision of high-rate GPS. J. Geophys. Res. 2007, 112, B05422. [Google Scholar] [CrossRef]
























| Items | Strategies |
|---|---|
| Observation | GPS: P1/P2 pseudo-range, L1/L2 phase |
| Ephemeris | Broadcast ephemeris |
| Cutoff elevation angle | 10° |
| Sampling interval | 1 s |
| Parameter estimation | Extended Kalman Filtering |
| Filter type | Forward |
| Stochastic model | Elevation |
| Ambiguity resolution | LAMBDA |
| Ambiguity resolution mode | Continuous |
| Tropospheric correction | Saastamoinen model |
| Ionospheric correction | Klobuchar model |
| Compents | Raw | MHM-SC | MHM-SCP | ||
|---|---|---|---|---|---|
| RMS (mm) | RMS (mm) | Impro (%) | RMS (mm) | Impro (%) | |
| East | 4.0 | 3.2 | 19.4 | 1.7 | 58.1 |
| North | 2.5 | 2.0 | 20.4 | 2.0 | 23.3 |
| Up | 5.0 | 4.1 | 17.5 | 4.0 | 19.7 |
| Total | Fix | Fix Ratio (%) | |
|---|---|---|---|
| Raw | 86,400 | 83,437 | 96.6 |
| MHM-SC | 86,400 | 85,142 | 98.5 |
| MHM-SCP | 86,400 | 85,996 | 99.5 |
| Type | Raw | 1 day | 2 days | 3 days | 4 days | 5 days | 6 days | 7 days |
|---|---|---|---|---|---|---|---|---|
| P1 (m) | 0.83 | 0.75 | 0.74 | 0.74 | 0.74 | 0.74 | 0.74 | 0.74 |
| P2 (m) | 0.50 | 0.40 | 0.40 | 0.39 | 0.39 | 0.39 | 0.39 | 0.39 |
| L1 (mm) | 3.6 | 2.9 | 2.9 | 2.9 | 2.9 | 2.9 | 2.9 | 2.9 |
| L2 (mm) | 3.8 | 3.1 | 3.1 | 3.1 | 3.1 | 3.1 | 3.1 | 3.1 |
| Raw | 1 day | 2 days | 3 days | 4 days | 5 days | 6 days | 7 days | |
|---|---|---|---|---|---|---|---|---|
| E (mm) | 4.0 | 1.7 | 1.7 | 1.7 | 1.7 | 1.7 | 1.7 | 1.7 |
| N (mm) | 2.5 | 2.0 | 1.9 | 1.9 | 1.9 | 2.0 | 2.0 | 2.0 |
| U (mm) | 5.0 | 4.0 | 4.0 | 4.0 | 4.0 | 4.1 | 4.1 | 4.0 |
Disclaimer/Publisher’s Note: The statements, opinions and data contained in all publications are solely those of the individual author(s) and contributor(s) and not of MDPI and/or the editor(s). MDPI and/or the editor(s) disclaim responsibility for any injury to people or property resulting from any ideas, methods, instructions or products referred to in the content. |
© 2025 by the authors. Licensee MDPI, Basel, Switzerland. This article is an open access article distributed under the terms and conditions of the Creative Commons Attribution (CC BY) license (https://creativecommons.org/licenses/by/4.0/).
Share and Cite
Zhou, H.; Wang, X.; Zhong, S.; Xi, K.; Shen, H. A Multipath Hemispherical Map with Strict Quality Control for Multipath Mitigation. Remote Sens. 2025, 17, 767. https://doi.org/10.3390/rs17050767
Zhou H, Wang X, Zhong S, Xi K, Shen H. A Multipath Hemispherical Map with Strict Quality Control for Multipath Mitigation. Remote Sensing. 2025; 17(5):767. https://doi.org/10.3390/rs17050767
Chicago/Turabian StyleZhou, Houxiang, Xiaoya Wang, Shengjian Zhong, Kewei Xi, and Hang Shen. 2025. "A Multipath Hemispherical Map with Strict Quality Control for Multipath Mitigation" Remote Sensing 17, no. 5: 767. https://doi.org/10.3390/rs17050767
APA StyleZhou, H., Wang, X., Zhong, S., Xi, K., & Shen, H. (2025). A Multipath Hemispherical Map with Strict Quality Control for Multipath Mitigation. Remote Sensing, 17(5), 767. https://doi.org/10.3390/rs17050767

