Abstract
For the Taiji program or other LISA-like space-based gravitational wave (GW) detection missions, establishing laser links is a prerequisite for entering the normal science mode. There has been a lack of in-depth research on inter-satellite link acquisition under weak light and low-speed conditions. In this paper, we comprehensively analyze the impact of key parameters, including scan speed, track width, acquisition camera integration time, and jitter, on the acquisition process. By introducing laser spot location error under weak light conditions, we derive an analytical expression for the acquisition failure probability. Focusing on variations in scan speed and track width and carefully selecting the appropriate acquisition camera integration time, we then simulate the actual acquisition process to closely replicate real conditions. Analytical results of the acquisition failure probability align closely with the simulation results. Under the Taiji program’s parameter settings, the scan speed is set to 3.31 , the track width to , and the integration time to . These parameters are optimized to minimize the mean acquisition time over multiple scans, resulting in a single link acquisition time of . The analytical model can be used for the parameter design of inter-satellite laser link acquisition under weak light conditions.
1. Introduction
To detect GW signals in a frequency band ranging from to 1 , several space-based missions are currently being actively pursued, including China’s Taiji program [1,2] and TianQin mission [3], as well as the ESA/NASA Laser Interferometric Space Antenna (LISA) mission [4]. These missions typically deploy three satellites to form an equilateral triangular constellation, with each arm containing a bi-directional laser link. By employing laser heterodyne interferometry technology, these missions measure the variations in the distance between free-floating test masses within the spacecraft (SC) along each arm, allowing them to detect GW signals with high precision. Establishing these laser links is a prerequisite for the measurement of distance fluctuations, which poses a significant challenge. Take the Taiji program as an example: the distance between the two satellites is , and the laser pointing error must be suppressed to a level of 1 . After long-distance transmission, the laser’s power weakens to the order of just 100 pW.
To establish laser links, the Taiji program/LISA uses a three-stage detector scheme for a single link: first, star trackers (STRs) are used to perform initial attitude determination, aligning the two satellites along an arm. Due to navigation errors and other factors, the remote satellite is positioned within an uncertainty cone (UC), which is larger than the divergence angle of the laser, making it challenging to directly establish a laser link between the two satellites. Next, acquisition cameras are used to detect the laser spot as the laser beam emitted by a remote satellite scans the entire UC. The required acquisition accuracy before the telescope is less than 1 , which is smaller than the FOV of the quadrant photodiode (QPD), ensuring that the QPDs can receive continuous interference signals. Finally, QPDs are used to perform differential wavefront sensing (DWS), achieving high-precision mutual pointing at a level of 1 .
The second stage, known as acquisition, is crucial for establishing laser links and is the focus of this article. Several factors influence this stage, including scan speed, scan trajectory, the power of the laser, the threshold for acquisition judgement, and jitter caused by SC attitude positioning errors and noise from the micro-propulsion system. For spaced-based GW detection, laser beam orientation is controlled through a combination of SC attitude adjustments and in-plane angle modifications, known as the telescope-pointing scheme. In-plane angle modifications are adjusted by the pivot of the movable optical subassembly. Therefore, the scan speed is limited by the angular rotation speed, which is inherently slow. The optical power available for beam acquisition after ultra-long distance transmission is extremely low, and satellite jitter causes the scanning beam to deviate from its intended trajectory, making reliable and efficient acquisition a critical challenge under low scan speed conditions. The goal of this paper is to optimize parameter design to achieve the fastest acquisition time while accounting for the factors mentioned above.
The process of establishing inter-satellite laser links has been extensively studied. Scheinfeild et al. [5,6] analyzed the scanning trajectory of the acquisition process, and Li et al. [7] obtained the mean acquisition time and the optimum ratio of the UC to the standard deviation of receiving SC position distribution. A significant factor influencing the acquisition process is the jitter of the satellite platform or other moving bodies coupled to the outgoing beam, which has also been the focus of considerable research. Friederichs et al. [8] derived an analytical equation of the “hit” probability based on the assumption that the jitter follows a Gaussian distribution. However, this theoretical derivation process was based on the specific position of the receiving satellite, limiting its broader practical application. Ma et al. [9] geometrically derived the effect of jitter on the acquisition probability, assuming the acquisition failure probability is the ratio of the scan lost region to the overall scan area. This model, however, did not account for the fact that acquisition can be accomplished through different scanning trajectories and is not applicable in cases where the laser power is low. Yang et al. [10] investigated a multi-scan link acquisition model based on the signal-to-noise (SNR), but this model did not consider the energy accumulation during the beam scanning process.
The process of establishing inter-satellite laser links for space-based GW detection has also been the focus of several studies. The LISA mission validated its acquisition scheme early through simulation [11,12,13], but it differs from current approaches. Gao et al. [14] investigated a method for the laser spot location to achieve the required accuracy of space-based GW detection under weak light conditions. Gao et al. [15] realized on-ground verification of laser link constriction for LISA-like space-based GW detection. For the design of the acquisition parameters, Hechenblaikner et al. [16,17,18] conducted an in-depth study on the impact of jitter correlation on the acquisition process and presented a new model to calculate the acquisition failure probability. However, this series of studies was more applicable to a scheme that uses a steering mirror to move the scanning beam over a wide speed range and does not account for acquisition thresholds in the actual space-based GW detection process.
To the best of our knowledge, research in laser link acquisition using the telescope pointing structure has lacked comprehensive considerations.
In this paper, we first focus on the key parameters that significantly influence acquisition probability in space-based GW detection. We analyze the effect of each parameter in a comprehensive manner and derive an analytical expression for acquisition failure probability. After that, we implement a simulation to mimic the real acquisition process.
The essay is organized in the following way. In Section 2, factors affecting the acquisition process are listed and analyzed in depth. The analytical expression for the acquisition failure probability is derived in Section 3. Section 4 discusses the selection of the acquisition camera integration time, while Section 5 covers the implementation of a Monte Carlo simulation to model the real acquisition process. The final simulation results are presented in Section 6, and conclusions are drawn in Section 7.
2. Acquisition System Influencing Factors
The strategy for establishing laser links in the Taiji program is sequential, meaning we establish one laser link at a time. For now, we assume that the signal acquisition process on the second and third arms will theoretically mirror that of the first arm once its laser link is established [12]. Consequently, we focus solely on the construction process of the first laser link.
The overall process of acquisition of one link is illustrated in Figure 1 and described as follows: first, one of the two SCs on the arm, referred to as the scanning SC, emits a scanning beam. This beam scans the entire UC along a predetermined trajectory. When the scanning beam passes over the other SC, referred to as the receiving SC, the acquisition camera carried by the receiving SC detects a sufficiently strong spot signal within a set integration time of the acquisition camera. The attitude difference between the scanning beam and the receiving SC is determined by measuring the difference between the spot’s center and the pre-calibrated reference position. The receiving SC then adjusts its own attitude based on this relative attitude information to align the laser spot position with the reference spot position. The receiving SC then emits a beam aimed at the scanning SC. Similarly, the acquisition camera on the scanning SC detects the laser beam and then adjusts its attitude accordingly. Through continuous adjustments, the two SC eventually achieve mutual alignment [15].
Figure 1.
Scanning process schematic.
Based on the description above, several factors influence the acquisition failure probability. The light intensity reaching the acquisition camera affects its energy accumulation, the minimum threshold that can be taken affects the acquisition judgement, and the jitter associated with the scanning beam affects how effectively the scanning beam covers the UC along the scanning trajectory and affects the energy accumulation process. This section provides a detailed analysis of these factors. First, the main parameters relevant to the acquisition process for the Taiji program are presented in Table 1.
Table 1.
Parameters of the Taiji program. The half-cone angle of UC .
During the acquisition process, the scanning beam moves along a pre-set curve centered on the UC. For the Taiji program, we use a constant tangential speed Archimedean spiral scanning pattern, which is the most efficient. A mathematical description of this scan trajectory is provided below [19]:
where t is the time from the start of scanning to the current scan position, is the vector from the scan start point to the current position, T is the total scanning time, is the track width between the two trajectories of the Archimedean spiral, and is the maximum spiral radius, where .
Assuming a constant angular speed of , the total scanning time for the entire UC is provided by the following [16]:
2.1. Beam Power
As the laser beam scans the UC, the acquisition camera carried by the receiving SC accumulates enough energy to meet the accuracy required for the laser spot center positioning method. Several factors influence the energy accumulation process, including the far-field distribution of the scanning beam, the distance between the receiving SC and the center of the scanning beam, the speed of the scanning beam, and the performance of the camera.
The laser power received by the telescope can be estimated via the following [15]:
where is the transmittance in space and is the power of the outgoing beam at the transmitting telescope. For the Taiji program, the laser has a wavelength of and output power will be approximately 1 W. Assuming , the estimated receiving power of the receiving SC’s telescope, , is about . However, only less than 10% of the received by the acquisition camera for laser spot location, approximately , here , represents the power before the acquisition camera when the optical axes of the telescopes on the two satellites are perfectly aligned with each other.
For space-based GW detection, after propagating over a long distance, the far-field spot size is significantly larger than the aperture diameter of the transceiver telescope. Therefore, we can assume that the light intensity entering the telescope is uniform. When the distance between the receiving satellite and the center of the scanning beam is r and assuming that the far-field beam intensity follows a Gaussian distribution with a waist , the power before the acquisition camera is provided by the following:
When the scanning beam hits the receiving SC, the laser spot is truncated by the telescope. The number of photoelectrons generated is integrated over the acquisition camera’s integration time. If the number of photoelectrons meets the detection threshold, the spot is successfully detected. This requires establishing the threshold criterion for successful spot detection.
2.2. Accumulation of Photoelectrons
Due to noise such as dark current and readout noise, the acquisition camera still produces output even in the absence of an incident beam. Typically, a threshold is set to determine whether the signal has been acquired. Careful selection of this threshold is crucial: if set too low, noise can be misinterpreted as an optical signal, while setting it too high may prevent successful acquisition. Therefore, we need to determine the number of photoelectrons generated by the camera during the acquisition process.
The energy accumulated during the acquisition camera’s integration time, as the scanning beam sweeps over the receiving SC along a predetermined trajectory , can be considered the energy accumulation of the receiving SC along the trajectory s, as shown in Figure 2.
Figure 2.
Schematic diagram of photoelectron numbers calculation. Where is the part of the Archimedes spiral, and s is the corresponding trajectory of the receiving satellite swept by the SC when the scanning beam is regarded as fixed. If the time interval of s is relatively small, the integral along the trajectory s can be approximated as an integral along the trajectory , as discussed in Section 5.
According to this and Section 2.1, we can calculate the by the following:
where is the total number of photoelectrons in the spot location window of N pixels during the integration time , represents the photon energy, is the quantum efficiency of the detector, is the start time for the integration, and is any time interval within the integration time. Since the scanning trajectory we have chosen is an Archimedes spiral, determining the trajectory s theoretically is challenging due to the unknown positions of the receiving SC and . However, we can calculate the threshold for the acquisition by determining the minimum number of photoelectrons required to meet the laser spot center positioning accuracy.
2.3. Laser Spot Location Error
As shown in Figure 3, at a certain moment during the scanning process, the scanning beam passes through the receiving SC’s telescope, crosses the aperture and imaging system, and is imaged onto the acquisition camera. The position of the spot formed on the camera can be calculated using the centroid algorithm: , , where n is the total number of pixels calculated, is the position of the ith pixel, and is the number of electrons detected at the ith pixel. Thus, we can calculate the beam offset angle based on the reference position and the measured actual position [20]:
where M is the magnification of the telescope.
Figure 3.
Diagram of the acquisition system. For clarity, only the pitch direction is shown here, where is the beam deviation angle in the pitch direction, is the corresponding angle after the beam is magnified by the telescope, is the spot’s center position without any laser pointing error, is the spot’s center position of the actual beam on the acquisition camera, refers to the corresponding deviation in the pitch direction, and is the focal length of the imaging system.
The FOV of the QPD is smaller than the divergence angle of the laser beam. Therefore, accurately locating the spot’s center is essential for ensuring the incident beam enters the QPD’s FOV, which is the primary objective of camera acquisition. The Taiji program has selected a QPD FOV of , and the acquisition precision before the telescope must be better than 1 . The corresponding angular measurement precision must be an order of magnitude better, reaching . Considering , the angular measurement precision before the acquisition camera is .
Based on the maximum permissible deviation of the incident beam, we can calculate the allowable laser spot centroid error as follows:
where is the pixel size of the acquisition camera, and is the corresponding number of pixels. In the Taiji program, the preliminary design parameter is set to and . The calculation shows that the accuracy of the laser spot’s center positioning algorithm is 0.17 pixels. Taking mounting errors and redundancy into account, the algorithm requires an accuracy better than 0.1 pixels.
The traditional center-of-mass algorithm is sensitive to noise and struggles to achieve high-precision positioning. Gao et al. [14] proposed an improved centroid method for weak light conditions by reducing the number of pixels introduced into the center-of-mass calculation. To minimize the impact of the dark current noise introduced during computation, it is essential to select a suitably sized window around the actual centroid position. This ensures the entire spot remains within the window while reducing the number of involved pixels. To determine the appropriate window size, we first need to estimate the size of the spot. The diameter of the telescope and the focal length of the imaging system dictate the size of the Airy spot formed on the camera, which can be expressed as follows:
where represents the spot size clipped by the telescope and can be concluded by . Consequentially, the number of pixels corresponding to the spot diameter length can be determined by .
Spot centroid position errors can be categorized into two components. The first is a fixed measurement offset, , which represents the difference between the actual center position (without noise) and the expectation of measurement position . The second component is the position fluctuation around because of the randomness of the noise. The fixed measurement offset is the primary influencing factor. Therefore, we can choose to evaluate the spot center positioning error, and the calculation of the fixed measurement deviation is shown below [14]:
where is the offset between and the center of the calculation window. After continuous iteration of the improved centroid method, the max offset will be no more than 0.5 pixels. N represents the number of pixels within the windows for calculation, provided by , and is the mean value of noise electrons in a single pixel of the camera.
According to Equation (9), and assuming pixels, we can calculate the minimum value required for the spot’s center-of-mass positioning accuracy to meet the requirements within a frame:
From this, we can calculate the threshold necessary for successful acquisition:
2.4. Laser Beam Jitter
In the telescope-pointing scheme, the scanning of the entire UC is achieved through the SC’s own motion and the rotation of the telescope for signal acquisition. The SC’s movement is accomplished under the control of the drag-free and attitude control system, which relies on the micro-propulsion thruster actuation system for power. Attitude measurement during motion is conducted using STRs. Due to the requirement for ultra-high precision in GW detection, we can consider the entire SC to be a rigid body. Deviations of the beam from the intended trajectory arise from two sources. The first is attitude control errors coupled to the outgoing beam, which are determined by the thrust noise from the micro-propulsion thruster and attitude positioning error from the STRs. The second source is telescope motion error, which could be viewed as a long-term drift that is significantly smaller than the platform jitter and can be neglected [21,22].
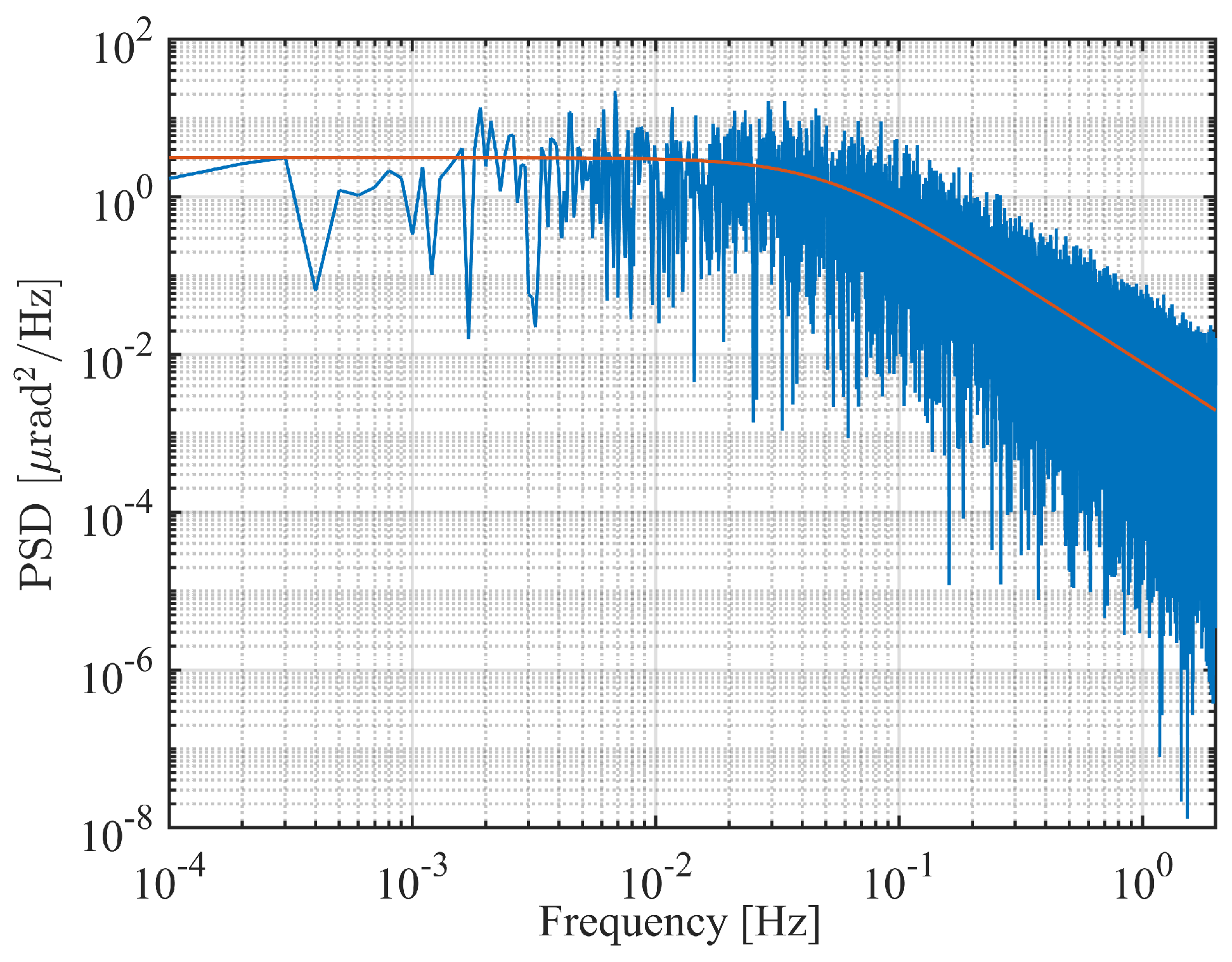
According to [18,23], we can assume that the power spectral density (PSD) of the laser beam coupled with the is as shown below:
where is the roll-off frequency. The PSD of platform jitter is shown in Figure 4.
Figure 4.
PSD of platform jitter. The red curve represents the theoretical PSD, while the blue curve shows the PSD of the simulated data generated from the theoretical model The method for generating simulation data will be introduced in Section 5.
3. Analytical Model
In the previous section, we analyzed the various factors that affect acquisition. In this section, we develop a theoretical model for the acquisition failure probability. Additionally, we describe the mean acquisition time required for multiple scans to evaluate the final parameter selection.
3.1. Acquisition Failure Probability Calculation
In the actual acquisition process, acquisition failures can be categorized into two cases [24]. The first case occurs when the orientation of the receiving SC relative to the scanning SC is outside the pre-estimated UC, preventing the scanning SC from sweeping over the receiving SC. The second case occurs when, even though the receiving spacecraft is within the UC, the scanning beam either does not sweep over it or fails to accumulate enough energy due to factors such as jitter and acquisition parameters like scanning speed and track width.
3.1.1. Receiving SC out of the Pre-Estimated UC
In the first case, the acquisition failure probability is the probability that the receiving SC is located outside the scanning area. The uncertain distribution of the receiving SC follows the zero-mean Gaussian distribution with a variance of in both the pitch and yaw directions, which are independent of each other. The radial distribution follows a Rayleigh distribution. Therefore, the acquisition failure probability of the first case is provided by the following:
3.1.2. Receiving SC in the Pre-Estimated UC
In the second case, we assume that the receiving SC is located somewhere between track n and . Although the position of the receiving SC follows a Gaussian distribution within the UC, we can approximate it as being uniformly distributed between two tracks if the distance between the tracks is small compared to the entire radius of the UC. To ensure complete scanning of the entire UC and to account for beam jitter that deviates from the intended trajectory, the track width introduction in Section 2 is less than the effective diameter of the scanning beam, as shown in Figure 5.
Figure 5.
Schematic of the acquisition model, which shows that the receiving SC could carry out acquisition using the scanning beam on multiple trajectories.
The position of the satellite between track n and track is denoted by the variable , while the jitter of the beam when it sweeps over the satellite is denoted by . The jitter is assumed to follow a Gaussian distribution with zero mean and a variance , with a probability density function provided by a Gaussian function . Due to the presence of jitter, the receiving SC can be scanned not only by the left half of the beam along track n but also has a probability of acquisition by the right half of the beam. Therefore, the probability of the satellite not being successfully acquired along the track n scan can be expressed as [17]:
Based on this, the probability of acquisition failure when the satellite is located at can be calculated by the following:
Similarly, we can obtain the acquisition failure probability for the trajectory by calculating the probability of acquisition failure using , . By integrating the distribution of the satellites, we can obtain the acquisition failure probability:
where is the product of failure probabilities of the individual tracks for a given position , and is the total acquisition failure probability that acquisition was not completed on the 2N trajectories adjacent to track n in the second case. is the complementary error function.
However, there are two prerequisites for this acquisition theoretical model: the acquisition camera’s integration time is appropriate, and the power of the scanning beam is sufficient enough to enable acquisition within the effective radius . As discussed in Section 2.3, during the actual acquisition progress, the acquisition camera needs to accumulate enough energy. This energy accumulation is influenced not only by the position of the receiving spacecraft but also by parameters of the acquisition system, such as scan speed, track width, and the integration time of the acquisition camera.
To facilitate the theoretical results, we assume that the horizontal axis value at which the scanning satellite vertically passes the receiving satellite and satisfies the minimum acquisition requirement within the integration time is defined as the maximum acquisition radius . can be calculated by Equation (5) and Equation (10), with the integration in Equation (5) performed along the dotted line in Figure 6.
Figure 6.
Schematic of the calculation of the maximum acquisition radius.
The speed of the scanning beam is limited by the angular rotation speed of the SC. If the time required for the beam to sweep across the receiving SC exceeds the integration time of the acquisition camera, the camera can detect the spot for more than one integration period. These multiple integration windows can effectively improve the success rate of spot acquisition. However, the number of integration windows cannot be predetermined due to the uncertainties in the position of the receiving SC and variations in track width selection. For ease of calculation, we consider the number of integration windows as the number of times the beam moves in a straight line, and the center of the beam sweeps across the receiving SC. However, calculating theoretically is challenging. Therefore, using the previous assumption that the receiving satellites are uniformly distributed across the range , we employ numerical methods to calculate the average value of over the range of . However, due to the correlation between different integration windows when sweeping over the receiving satellites at low scanning speeds, we need to apply the following corrections to the calculated average number of integration windows :
where is the time that correlation decreases to a certain level. In this paper, we choose as the level.
Therefore, we need to update the calculation of the acquisition failure probability further, as outlined above in Equation (16), by raising the capture failure probability of each trajectory to the power of .
Therefore, the total acquisition failure probability can be calculated using the following equation [24]:
3.2. Mean Acquisition Time
Acquisition time serves as a comprehensive measure of the effectiveness of parameter design. To establish a laser link, if the acquisition is not completed, the acquisition process must be repeated until the link is successfully established. Therefore, acquisition time is influenced not only by the acquisition success probability of a single scan but also by the mean acquisition time of a single link.
The mean time for a single scan to achieve successful acquisition is [16]. The time required to scan the entire UC if the acquisition is not complete is . According to [7], considering only the scanning process, we can calculate the mean acquisition time for multiple scans:
4. Acquisition Camera Integration Time Selection
In Section 3, we derived a theoretical formula for the acquisition failure probability. Before using simulation to validate the theoretical results, we need to study and select an important parameter. The integration time of the camera has an important influence on the calculation of the error of laser spot location. With known acquisition camera noise parameters, we can calculate the spot positioning error at the current noise level. However, the camera noise does not vary linearly with integration time. The acquisition camera we use is Tekwin SH640 (TWKWIN, Xi’an, China). The main parameters are listed in Table 2, and the mean and standard deviation of the noise of the camera at each integration time measured in the absence of light are shown in Figure 7.
Table 2.
Parameters of the SH640 CMOS camera.
Figure 7.
The mean and standard deviation of the noise of Tekwin SH640.
In light of the above, we can analyze the centroid error using the camera’s actual noise data in lightless environments, where the number of photoelectrons can be generated through simulation. The amplitude distribution on the acquisition camera can be expressed as follows:
where is a complex constant caused by phase delay of the imaging system, is the wave number, is the position of the ith pixel, is the coordinate at the acquisition camera, and is the corresponding complex amplitude distribution within the integration area D. can be expressed in polar coordinates:
where represents the complex amplitude of the receiving beam, which can be calculated by the power of the edge of the effective radius of the scanning beam. denotes the beam tilt in the yaw direction, and is caused by the tilt in the pitch direction.
According to Equations (5), (23) and (24), we can perform the simulation in MATLAB R2021b (Mathworks, Natick, MA, USA). The simulation result is shown in Figure 8. As shown in the figure, there are very few integration times available to choose from. For the subsequent simulation process, we select an integration time of to make sure the centroid error is less than 0.1 pixel.
Figure 8.
Effect of noise on the spot centroid error as the integration time varies.
5. Monte Carlo Simulation
The theoretical formula needs to be verified through simulation; we will introduce how to perform the simulation in this section. Since simulating a continuous process is not feasible, the scanning process needs to be split into smaller time intervals for simulation that are shorter than both the jitter data interval and the acquisition camera integration time . To streamline the simulation process, the time interval between two scan points can be chosen as the greatest common divisor of and , or smaller if necessary.
To generate a random time series of jitter, we introduce a random phase on the amplitude spectral density (ASD) and generate a random amplitude for each frequency bin. According to [25], we then perform the inverse Fourier transform (IFFT) to produce jitter data. The jitter frequency is 10 Hz, and the jitter data are loaded into the scan points at regular integrals.
Since the scanning process is divided into many small time segments during the simulation, the calculation of the energy accumulation can naturally be split into corresponding small time periods. According to Equation (5), the trajectory s is hard to determine theoretically. However, as shown in Figure 2, when the time integrals between scan points are small, we can approximate the integration along the trajectory s between two scanning points as trajectory . Based on the properties of Gaussian beams, we can treat the distance from the spot center to the trajectory as the value x of the X-axis. Therefore, once the value x is determined, we only need to integrate along the Y-axis.
The integration along the Y-axis can be divided into two scenarios: when the endpoints are on the same side of the X-axis or when they are on opposite sides of the X-axis:
1. When the endpoints are on the same side of the X-axis,
where is the start time of this small time interval.
2. When the endpoints are on opposite sides of the X-axis,
According to the above formula, we can sum the number of photoelectrons accumulated between scanning points during the integration time to calculate the number of photoelectrons gathered during the spatial scanning process as the beam sweeps through the receiving SC. This allows us to determine the photoelectrons. By comparing the photoelectrons to their threshold, we can assess whether the acquisition is complete.
Since the integration time is relatively fixed, we explore the optimal acquisition system parameters by varying the scan speed and track width. In summary, we can perform a Monte Carlo simulation to mimic the real acquisition process, as shown in Figure 9.
Figure 9.
The Monte Carlo simulation process, where is the variable range of scan speed, is the variable range of track width, is the total number of Monte Carlo of one scan, is the number of discrete points of the scanning trajectory, w is the number of scan points included in integration time, and , , and are responsible for the simulation counts, integration window scanning point counts, and acquisition failure counts, respectively.
6. Results and Discussion
The simulation results and their comparison with the theory will be presented in this section. Finally, the optimal acquisition system parameters are selected by minimizing the mean acquisition time.
Since we account for noise separately in the horizontal and vertical directions during simulation, the standard deviation of the noise in the actual theoretical calculations is times that of the unidirectional noise.
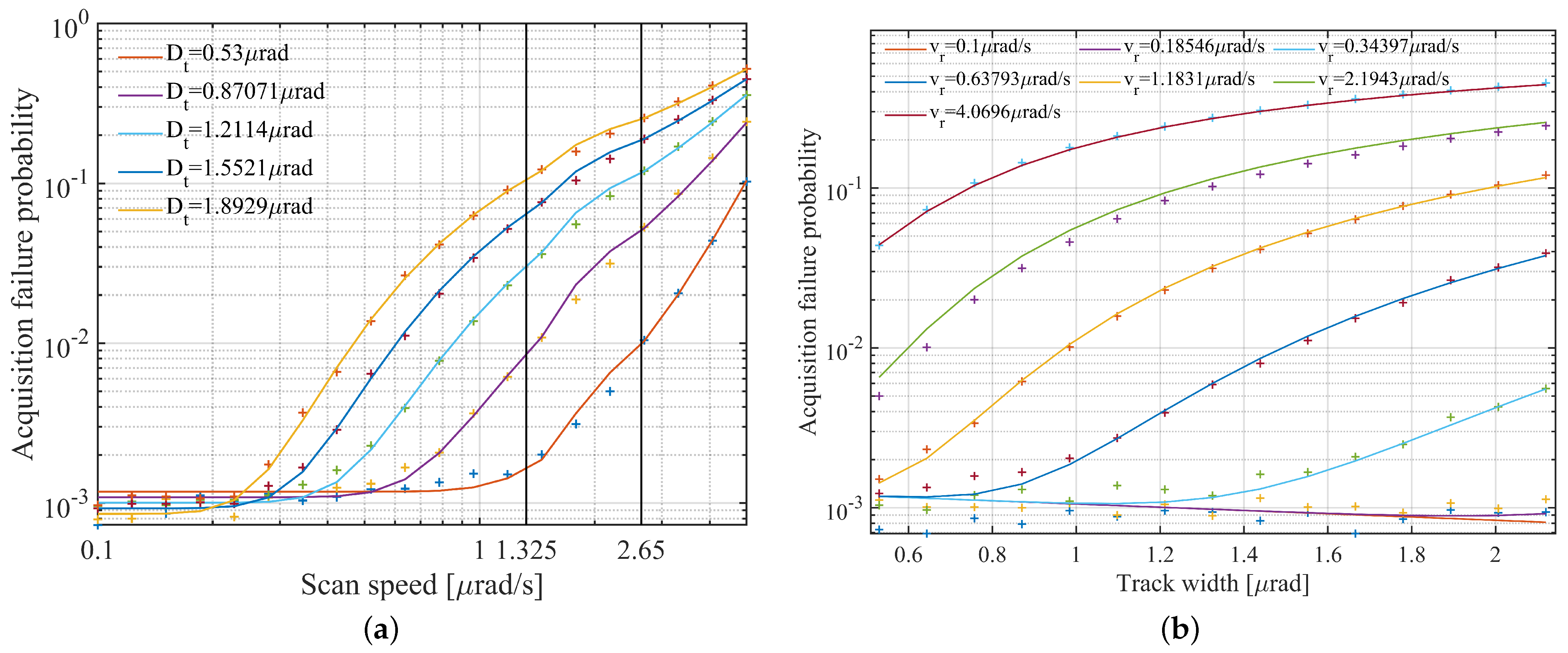
Theoretical and simulation results are presented in Figure 10. For clarity, a subset of fixed track width and scan speed values is shown in Figure 11, demonstrating that the analytical results for acquisition failure probability closely align with the simulation results. As can be seen from Figure 11, when the scan speed is low, within the track width range currently set, the acquisition failure probability does not show a significant variation with changes in the scan speed. As the scan speed increases, when the scan speed is between the two black lines in Figure 11a, a noticeable difference appears between the theoretical curve and the simulation results, and the theoretical curve itself exhibits a certain degree of bending. This is because the divergence half-angle of the current scanning beam , while the selected integration time of the acquisition camera is . Therefore, this range of scan speeds causes the distance the scanning beam moves within a single integration window to exceed its beam radius but not exceed its diameter. This introduces certain difficulties and deviations in the calculation of . As the scan speed continues to increase beyond this range, the impact of the scan speed on diminishes. At this point, the main factors influencing the estimation of are the uncertain distribution of the receiving SC and the size of the track width. The effects of these factors can be accurately calculated, which is why the theoretical curve aligns closely with the simulation results again.
Figure 10.
The probability of acquisition failure.
Figure 11.
The probability of acquisition failure against changes in scan speed (a) and against changes in track width (b). The solid lines indicate the theoretical results, and the dashed lines indicate the simulation results.
As shown in Figure 12, we can determine the parameters that minimize the mean acquisition time accordingly. The mean acquisition time required for successful link establishing across multiple acquisitions is minimized when the scan speed is , achievable by SC motion, and the track width is , resulting in a theoretical value of .
Figure 12.
Mean acquisition time.
7. Conclusions
Inter-satellite link acquisition is a prerequisite for achieving GW detection missions. However, there is currently a lack of unified and in-depth research on situations where the optical power of the beam, after ultra-long distance transmission, becomes weak upon reaching the receiving SC, as well as in scenarios where there are limitations on scan speed due to the use of a telescope-pointing system during the acquisition process. In this work, by analyzing the laser spot positioning error under weak light conditions applicable to space-based GW detection, we introduce a corresponding minimal photoelectrons threshold for acquisition judgment. Based on this, we derive the theoretical formula for acquisition failure probability by calculating the maximum acquisition radius. A simulation program is developed to verify the accuracy of the theoretical formula by closely mimicking the real acquisition process. The theoretical results are crucial for selecting optimal parameters by evaluating acquisition time. For the Taiji program, the key parameters are a scan speed of , a track width of , and an integration time of , resulting in an acquisition time of for a single link.
Through both simulation and theoretical results, it is evident that the acquisition failure probability varies significantly with scanning speed after introducing a photoelectron threshold for laser spot location under weak light conditions. This highlights the importance of carefully selecting the scanning speed when designing the acquisition system in the telescope-pointing scheme, serving as a key reference for the design of satellite attitude controllers during the acquisition process. Additionally, calculating the mean acquisition time helps estimate the time required to establish the laser link, although this calculation only accounts for the scanning time, excluding the time needed for satellite adjustments during acquisition. Overall, this work provides essential support for the design of inter-satellite link acquisition parameters for the Taiji program, which can also be applied to other LISA-like space-based gravitational wave detection missions.
Author Contributions
Conceptualization, M.Z. and R.G.; methodology, M.Z. and R.G.; software, M.Z.; validation, M.Z., J.S., J.W. and P.L.; formal analysis, M.Z.; investigation, M.Z.; resources, P.L. and R.G.; data curation, M.Z., J.S. and J.W.; writing—original draft preparation, M.Z.; writing—review and editing, M.Z. and R.G.; visualization, M.Z.; supervision, R.G., P.L. and Z.L.; project administration, R.G.; funding acquisition, P.L. and Z.L. All authors have read and agreed to the published version of the manuscript.
Funding
This research was funded by the National Key Research and Development Program of China, grant number 2022YFC2203702.
Data Availability Statement
Data are contained within the article.
Acknowledgments
Thanks to the authors of this paper for their work on the research content. The authors thank the journal staff for their comments and revisions to this paper.
Conflicts of Interest
The authors declare no conflicts of interest.
References
- Luo, Z.; Guo, Z.; Jin, G.; Wu, Y.; Hu, W. A brief analysis to Taiji: Science and technology. Results Phys. 2020, 16, 102918. [Google Scholar] [CrossRef]
- Jin, G. Program in space detection of gravitational wave in Chinese Academy of Sciences. J. Phys. Conf. Ser. 2017, 840, 012009. [Google Scholar] [CrossRef]
- Luo, J.; Chen, L.S.; Duan, H.Z.; Gong, Y.G.; Hu, S.; Ji, J.; Liu, Q.; Mei, J.; Milyukov, V.; Sazhin, M.; et al. TianQin: A space-borne gravitational wave detector. Class. Quantum Gravity 2016, 33, 035010. [Google Scholar] [CrossRef]
- Bayle, J.B.; Bonga, B.; Caprini, C.; Doneva, D.; Muratore, M.; Petiteau, A.; Rossi, E.; Shao, L. Overview and progress on the Laser Interferometer Space Antenna mission. Nat. Astron. 2022, 6, 1334–1338. [Google Scholar] [CrossRef]
- Scheinfeild, M.; Kopeika, N.S.; Melamed, R. Acquisition system for microsatellites laser communication in space. In Free-Space Laser Communication Technologies XII; Proceedings of SPIE; SPIE: Bellingham, WA, USA, 2000; Volume 3932, pp. 166–175. [Google Scholar]
- Scheinfeild, M.; Kopeika, N.S.; Shlomi, A. Acquisition time calculation and influence of vibrations for microsatellite laser communication in space. In Acquisition, Tracking, and Pointing XV; Proceedings of SPIE; SPIE: Bellingham, WA, USA, 2001; Volume 4365, pp. 195–205. [Google Scholar]
- Li, X.; Yu, S.; Ma, J.; Tan, L. Analytical expression and optimization of spatial acquisition for intersatellite optical communications. Opt. Express 2011, 19, 2381–2390. [Google Scholar] [CrossRef] [PubMed]
- Friederichs, L.; Sterr, U.; Dallmann, D. Vibration influence on hit probability during beaconless spatial acquisition. J. Light. Technol. 2016, 34, 2500–2509. [Google Scholar] [CrossRef]
- Ma, J.; Lu, G.; Tan, L.; Yu, S.; Fu, Y.; Li, F. Satellite platform vibration influence on acquisition system for intersatellite optical communications. Opt. Laser Technol. 2021, 138, 106874. [Google Scholar] [CrossRef]
- Yang, S.; Li, X. Snr-based beaconless multi-scan link acquisition model with vibration for LEO-to-ground laser communication. Appl. Phys. B 2024, 130, 77. [Google Scholar] [CrossRef]
- Maghami, P.G.; Hyde, T.T.; Kim, J. An acquisition control for the laser interferometer space antenna. Class. Quantum Gravity 2005, 22, S421. [Google Scholar] [CrossRef]
- Cirillo, F.; Gath, P.F. Control system design for the constellation acquisition phase of the LISA mission. J. Phys. Conf. Ser. 2009, 154, 012014. [Google Scholar] [CrossRef]
- Cirillo, F. Controller Design for the Acquisition Phase of the LISA Mission Using a Kalman Filter. Bachelor’s Thesis, University of Pisa, Pisa, Italy, 2007. [Google Scholar]
- Gao, R.; Liu, H.; Zhao, Y.; Luo, Z.; Jin, G. High-precision laser spot center positioning method for weak light conditions. Appl. Opt. 2020, 59, 1763–1768. [Google Scholar] [CrossRef]
- Gao, R.; Wang, Y.; Cui, Z.; Liu, H.; Liu, A.; Qian, X.; Wang, X.; Yao, Z.; Yang, Q.; Jia, J.; et al. On-ground demonstration of laser-link construction for space-based detection of gravitational waves. Opt. Lasers Eng. 2023, 160, 107287. [Google Scholar] [CrossRef]
- Hechenblaikner, G. Analysis of performance and robustness against jitter of various search methods for acquiring optical links in space. Appl. Opt. 2021, 60, 3936–3946. [Google Scholar] [CrossRef] [PubMed]
- Hechenblaikner, G. Impact of spectral noise shape and correlations of laser beam jitter on acquiring optical links in space. Appl. Opt. 2022, 61, 710–720. [Google Scholar] [CrossRef] [PubMed]
- Hechenblaikner, G.; Delchambre, S.; Ziegler, T. Optical link acquisition for the LISA mission with in-field pointing architecture. Opt. Laser Technol. 2023, 161, 109213. [Google Scholar] [CrossRef]
- Luo, Z.; Wang, Q.; Mahrdt, C.; Goerth, A.; Heinzel, G. Possible alternative acquisition scheme for the gravity recovery and climate experiment follow-on-type mission. Appl. Opt. 2017, 56, 1495–1500. [Google Scholar] [CrossRef]
- Gao, R.; Zhao, M.; Liu, H.; Qi, K.; Wang, S.; Li, P.; Wang, J.; Shen, J.; Luo, Z. Analysis of laser spot centroiding errors for laser acquisition system in gravitational wave detection missions. Opt. Express 2024, 32, 48556–48570. [Google Scholar] [CrossRef] [PubMed]
- Zhang, R.; Zhao, K.; Fang, S.; Fan, W.; Hai, H.; Luo, J.; Li, B.; Sun, Q.; Song, J.; Yan, Y. Research on High-Stability Composite Control Methods for Telescope Pointing Systems under Multiple Disturbances. Sensors 2024, 24, 2907. [Google Scholar] [CrossRef]
- Shi, Z.; Liu, Y.; Zhao, Z.; Wang, Z.; Yan, Y.; Fan, L.; Li, Z.; Zhao, H. Design and analysis of ultra-low moment noise flexure pivot in space gravitational wave detectors. Class. Quantum Gravity 2023, 40, 205016. [Google Scholar] [CrossRef]
- Teng, Y.; Zhang, M.; Tong, S. The optimization design of sub-regions scanning and vibration analysis for beaconless spatial acquisition in the inter-satellite laser communication system. IEEE Photonics J. 2018, 10, 1–11. [Google Scholar] [CrossRef]
- Hu, S.; Yu, H.; Duan, Z.; Zhu, Y.; Cao, C.; Zhou, M.; Li, G.; Liu, H. Multi-parameter influenced acquisition model with an in-orbit jitter for inter-satellite laser communication of the LCES system. Opt. Express 2022, 30, 34362–34377. [Google Scholar] [CrossRef]
- Timmer, J.; Koenig, M. On generating power law noise. Astron. Astrophys. 1995, 300, 707. [Google Scholar]
Disclaimer/Publisher’s Note: The statements, opinions and data contained in all publications are solely those of the individual author(s) and contributor(s) and not of MDPI and/or the editor(s). MDPI and/or the editor(s) disclaim responsibility for any injury to people or property resulting from any ideas, methods, instructions or products referred to in the content. |
© 2025 by the authors. Licensee MDPI, Basel, Switzerland. This article is an open access article distributed under the terms and conditions of the Creative Commons Attribution (CC BY) license (https://creativecommons.org/licenses/by/4.0/).











