Influences of Discontinuous Attitudes on GNSS/LEO Integrated Precise Orbit Determination Based on Sparse or Regional Networks
Abstract
1. Introduction
2. Algorithm
2.1. Integrated POD Algorithm
2.2. LEOs’ Attitude Algorithm
2.3. LEOs’ Attitude Stability
3. Integrated POD Strategy
3.1. LEO Configuration and Ground Network
3.2. Strategy
| GPS | LEO | |
|---|---|---|
| Observational model | ||
| Signal | GPS:L1/L2 | L1/L2 |
| Arc length | 24 h | |
| Sampling rate | 30 s | |
| Troposphere | GPS: A prior model [31] is applied to remove the dry delay; zenith wet delay is estimated with the GMF mapping function [32]. LEO: no | |
| Reference frame | ITRF2014 | |
| Station displacement | Solid Earth tide, pole tide, and ocean loading tide [33] | |
| Dynamic Models | ||
| Solid Earth, ocean, pole tide | IERS Conventions 2010 [33] | IERS Conventions 2010 |
| N-body perturbation | JPL DE405 [34] | JPL DE405 |
| Relativity | IERS Conventions 2010 [33] | IERS Conventions 2010 |
| Earth gravity field | EGM 12 × 12 [35] | EGM 150 × 150 |
| Atmospheric drag | NO | DTM94 [36] |
| Solar radiation pressure | GPS: ECOM1 + Boxwing [37,38] | PAN_GEN |
| Attitude | Yaw attitude | Based on different test settings |
| Estimated Parameter | ||
| Station coordinates | Tightly Constrained | |
| Orbit parameter | 6 orbit elements and ECOM1 | 6 orbit elements and 6 piecewise empirical parameters: 90 min |
| Atmosphere drag | No | Yes and for every 90 min |
| Clock offsets | Epoch-wise | |
| Phase ambiguities | Float | |
| Rotation parameter | As introduced | |
4. Test Results
4.1. Orbital Dilution of Precision
4.2. Earth Rotation Parameters
4.3. Integrated POD Result with Attitude Algorithm
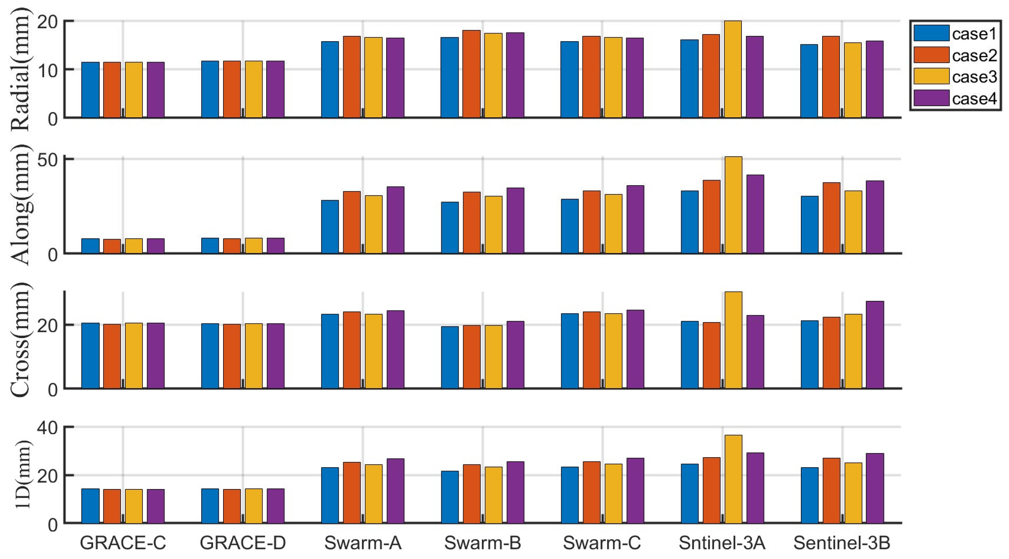
4.3.1. Sparse Network
4.3.2. Regional Network
5. Discussion
6. Conclusions
- The ODOP statistical results indicate that the precision of joint orbit determination using regional stations and seven LEO satellites is relatively poor, and the data volume is insufficient to meet future real-time calculation demands.
- For joint orbit determination under sparse station conditions with 22 stations, not estimating the ERPs is slightly superior to estimating them.
- Based on 22 sparse stations, an analysis was conducted for cases where quaternion data were continuous and complete, and were interrupted for 1 h, 2 h, and 3 h every hour, in a total of four scenarios. The results showed that the accuracies of 1D orbit determination using quaternion rotation matrix interpolation are 21 mm, 24 mm, 24 mm, and 28 mm in the four scenarios, respectively.
- For seven regional stations and seven LEO satellites performing joint orbit determination, the accuracy of GPS orbit determination is between 5 and 6 cm, and that of LEO orbit determination is between 5 and 7 cm across the four scenarios.
Author Contributions
Funding
Data Availability Statement
Acknowledgments
Conflicts of Interest
Abbreviations
| POD | Precise Orbit Determination |
| LEO | Low Earth Orbit |
| GNSS | Global Navigation Satellite System |
| PCO | Phase Center Offset |
| PCV | Phase Center Variation |
| ASM | Acquisition and Safe Mode |
| NOM | Normal Mode |
| OCM | Orbit Control Mode |
| VLBI | Very-Long-Baseline Interferometry |
| SLR | Satellite Laser Ranging |
| RMS | Root Mean Square |
| STD | Standard Deviation |
| SRP | Solar radiation pressure |
| ITRF | International Terrestrial Reference Frame |
References
- Lutz, S.; Beutler, G.; Schaer, S.; Dach, R.; Jäggi, A. CODE’s new ultra-rapid orbit and ERP products for the IGS. GPS Solut. 2016, 20, 239–250. [Google Scholar] [CrossRef]
- Li, X.; Chen, X.; Ge, M.; Schuh, H. Improving multi-GNSS ultra-rapid orbit determination for real-time precise point positioning. J. Geod. 2019, 93, 45–64. [Google Scholar] [CrossRef]
- Tang, L.; Wang, J.; Zhu, H.; Ge, M.; Xu, A.; Schuh, H. Multi-GNSS ultra-rapid orbit determination through epoch-parallel processing. J. Geod. 2023, 97, 99. [Google Scholar] [CrossRef]
- Huang, W.; Männel, B.; Sakic, P.; Ge, M.; Schuh, H. Integrated processing of ground- and space-based GPS observations: Improving GPS satellite orbits observed with sparse ground networks. J. Geod. 2020, 94, 96. [Google Scholar] [CrossRef]
- Parkinson, B.W. Introduction and Heritage of NAVSTAR, the Global Positioning System. In Global Positioning System: Theory and Applications; Parkinson, B., Spilker, J.J., Eds.; AIAA: Reston, VA, USA, 2012; pp. 3–28. [Google Scholar] [CrossRef]
- Yang, Y.X. Concepts of comprehensive PNT and related key technologies. Acta Geod. Cartogr. Sin. 2016, 45, 505–510. [Google Scholar]
- Yang, Y.; Mao, Y.; Ren, X.; Jia, X.; Sun, B. Demand and key technology for a LEO constellation as augmentation of satellite navigation systems. Satell. Navig. 2024, 5, 11. [Google Scholar] [CrossRef]
- Su, M.; Su, X.; Zhao, Q.; Liu, J. BeiDou augmented navigation from low Earth orbit satellites. Sensors 2019, 19, 198. [Google Scholar] [CrossRef] [PubMed]
- Zhu, S.; Reigber, C.; König, R. Integrated adjustment of CHAMP, GRACE, and GPS data. J. Geod. 2004, 78, 103–108. [Google Scholar] [CrossRef]
- König, R.; Reigber, C.; Zhu, S. Dynamic model orbits and Earth system parameters from combined GPS and LEO data. Adv. Space Res. 2005, 36, 431–437. [Google Scholar] [CrossRef]
- Geng, J.; Shi, C.; Zhao, Q.; Ge, M.; Liu, J. Integrated adjustment of LEO and GPS in precision orbit determination. In VI Hotine–Marussi Symposium on Theoretical and Computational Geodesy; Springer: Berlin/Heidelberg, Germany, 2008; pp. 33–137. [Google Scholar]
- Männel, B.; Rothacher, M. Geocenter variations derived from a combined processing of LEO- and ground-based GPS observations. J. Geod. 2017, 91, 933–944. [Google Scholar] [CrossRef]
- Montenbruck, O.; Kunzi, F.; Hauschild, A. Performance assessment of GNSS-based real-time navigation for the Sentinel-6 spacecraft. GPS Solut. 2022, 26, 12. [Google Scholar] [CrossRef]
- Zhao, Q.; Wang, C.; Guo, J.; Yang, G.; Liao, M.; Ma, H.; Liu, J. Enhanced orbit determination for BeiDou satellites with FengYun-3C onboard GNSS data. GPS Solut. 2017, 21, 1179–1190. [Google Scholar] [CrossRef]
- Li, X.; Zhang, K.; Meng, X.; Zhang, Q.; Zhang, W.; Li, X.; Yuan, Y. LEO-BDS-GPS integrated precise orbit modeling using FengYun-3D, FengYun-3 C onboard and ground observations. GPS Solut. 2020, 24, 48. [Google Scholar] [CrossRef]
- Zeng, T.; Sui, L.; Jia, X.; Lv, Z.; Ji, G.; Dai, Q.; Zhang, Q. Validation of enhanced orbit determination for GPS satellites with LEO GPS data considering multi ground station networks. Adv. Space Res. 2019, 63, 2938–2951. [Google Scholar] [CrossRef]
- Hackel, S.; Montenbruck, O.; Steigenberger, P.; Balss, U.; Gisinger, C.; Eineder, M. Model improvements and validation of TerraSAR-X precise orbit determination. J. Geod. 2017, 91, 547–562. [Google Scholar] [CrossRef]
- Shao, K.; Gu, D.; Ju, B.; Wang, W.; Wei, C.; Duan, X.; Wang, Z. Analysis of Tiangong-2 orbit determination and prediction using onboard dual-frequency GNSS data. GPS Solut. 2019, 24, 11. [Google Scholar] [CrossRef]
- Bloßfeld, M.; Zeitlhöfler, J.; Rudenko, S.; Dettmering, D. Observation-based attitude realization for accurate Jason satellite orbits and its impact on geodetic and altimetry results. Remote Sens. 2020, 12, 682. [Google Scholar] [CrossRef]
- Wang, Y.; Li, M.; Jiang, K.; Li, W.; Zhao, Q.; Peng, H.; Lin, M. Precise orbit determination of the Haiyang 2C altimetry satellite using attitude modeling. GPS Solut. 2022, 26, 35. [Google Scholar] [CrossRef]
- Liu, M.; Yuan, Y.; Ou, J.; Chai, Y. Research on attitude models and antenna phase center correction for Jason-3 satellite orbit determination. Sensors 2019, 19, 2408. [Google Scholar] [CrossRef] [PubMed]
- Li, K.; Zhou, X.; Guo, N.; Zhou, S. Effect of PCV and attitude on the precise orbit determination of Jason-3 satellite. J. Appl. Geod. 2022, 16, 143–150. [Google Scholar] [CrossRef]
- Xia, Y.; Liu, X.; Guo, J.; Yang, Z.; Qi, L.; Ji, B.; Chang, X. On GPS data quality of GRACE-FO and GRACE satellites: Effects of phase center variation and satellite attitude on precise orbit determination. Acta Geod. Geophys. 2021, 56, 93–111. [Google Scholar] [CrossRef]
- Cossavella, F.; Herman, J.; Hoffmann, L.; Fischer, D.; Save, H.; Schlepp, B.; Usbeck, T. Attitude Control on GRACE Follow-On: Experiences from the First Years in Orbit. In Space Operations: Beyond Boundaries to Human Endeavours; Cruzen, C., Schmidhuber, M., Lee, Y.H., Eds.; Springer International Publishing: Cham, Switzerland, 2022; pp. 493–517. [Google Scholar] [CrossRef]
- Wu, Y.; Hu, X.; Wu, M.; Hu, D. Strapdown inertial navigation using dual quaternion algebra: Error analysis. IEEE Trans. Aerosp. Electron. Syst. 2006, 42, 259–266. [Google Scholar] [CrossRef]
- Wang, K.; Su, H.; El-Mowafy, A.; Yang, X. Prediction and ephemeris fitting of LEO navigation satellites orbits computed at the antenna phase center. Measurement 2024, 224, 113935. [Google Scholar] [CrossRef]
- Olsen, P.E.H. Swarm l1b Product Definition; Technical report; National Space Institute Technical University of Denmark: Copenhagen, Denmark, 2019. [Google Scholar]
- Friis-Christensen, E.; Lühr, H.; Knudsen, D.; Haagmans, R. Swarm: An earth observation mission investigating geospace. Adv. Space Res. 2008, 41, 210–216. [Google Scholar] [CrossRef]
- Liu, J.; Ge, M. PANDA software and its preliminary result of positioning and orbit determination. Wuhan Univ. J. Nat. Sci. 2003, 8, 603–609. [Google Scholar] [CrossRef]
- Wang, J.; Ge, M.; Glaser, S.; Balidakis, K.; Heinkelmann, R.; Schuh, H. Improving VLBI analysis by tropospheric ties in GNSS and VLBI integrated processing. J. Geod. 2022, 96, 32. [Google Scholar] [CrossRef]
- Saastamoinen, J. Atmospheric correction for the Troposphere and stratosphere in radio ranging satellites. The use of artificial satellites for geodesy. Am. Geophys. Union Geophys. Monogr. Ser. 1972, 15, 247–251. [Google Scholar] [CrossRef]
- Boehm, J.; Niell, A.; Tregoning, P.; Schuh, H. Global Mapping Function (GMF): A new empirical mapping function based on numerical weather model data. Geophys. Res. Lett. 2006, 33, L07304. [Google Scholar] [CrossRef]
- Petit, G.; Luzum, B. IERS Conventions; Bureau International des Poids et Mesures Sevres: Sevres, France, 2010. [Google Scholar]
- Standish, E.M. JPL planetary and lunar ephemerides, DE405/LE405. Int. J. Astron. Astrophys. 1998, 2, 312F-98-048. [Google Scholar]
- Reigber, C.; Schmidt, R.; Flechtner, F.; König, R.; Meyer, U.; Neumayer, K.-H.; Schwintzer, P.; Zhu, S.Y. An earth gravity field model complete to degree and order 150 from grace: Eigen-grace02s. J. Geodyn. 2005, 39, 1–10. [Google Scholar] [CrossRef]
- Berger, C.; Biancale, R.; Barlier, F.; Ill, M. Improvement of the empirical thermospheric model DTM: DTM94: A comparative review of various temporal variations and prospects in space geodesy applications. J. Geod. 1998, 72, 161–178. [Google Scholar] [CrossRef]
- Duan, B.; Hugentobler, U. Enhanced solar radiation pressure model for GPS satellites considering various physical effects. GPS Solut. 2021, 25, 42. [Google Scholar] [CrossRef]
- Tang, L.; Wang, J.; Zhu, H.; Ge, M.; Xu, A.; Schuh, H. A comparative study on the solar radiation pressure modeling in GPS precise orbit determination. Remote Sens. 2021, 13, 3388. [Google Scholar] [CrossRef]
- Huang, W.; Männel, B.; Brack, A.; Schuh, H. Two Methods to Determine Scale-independent GPS PCOs and GNSS-based Terrestrial Scale: Comparison and Cross-check. GPS Solut. 2020, 25, 4. [Google Scholar] [CrossRef]
- Johnston, G.; Riddell, A.; Hausler, G. The international GNSS service. In Springer Handbook of Global Navigation Satellite Systems; Springer: New York, NY, USA, 2017; pp. 967–982. [Google Scholar] [CrossRef]
- Nie, L.; Wang, J.; Tang, L.; Ge, H.; Ge, M.; Schuh, H. Impact of LEO configuration on GPS precise orbit determination with un-differenced ambiguity resolution. GPS Solut. 2025, 29, 28. [Google Scholar] [CrossRef]



















| GRACE-C | GRACE-D | Sentinel-3A | Sentinel-3B | ||
|---|---|---|---|---|---|
| STD | 0.04 | 0.04 | 0.04 | 0.04 | |
| RMS | 0.04 | 0.04 | 0.04 | 0.04 | |
| STD | 0.03 | 0.04 | 0.11 | 0.11 | |
| RMS | 0.86 | 0.81 | 0.11 | 0.11 | |
| STD | 0.08 | 0.08 | 0.01 | 0.01 | |
| RMS | 0.08 | 0.08 | 0.01 | 0.01 |
| Satellite | Launch Time | Height | Inclination |
|---|---|---|---|
| GRACE-FO | 22 May 2018 | 490 km | 89° |
| SWARM-A/C | 22 Nov. 2013 | 450 km | 87.4° |
| SWARM-B | 22 Nov. 2013 | 530 km | 87.4° |
| Sentinel-3A | 16 Feb. 2016 | 814 km | 98.65° |
| Sentinel-3B | 15 Apr. 2018 | 814 km | 98.65° |
| Obs. | Satellites | Average Sta/LEOs | Max Sta/LEOs | Min Sta/LEOs |
|---|---|---|---|---|
| 7LEOs + 7Sta | GPS | 3.87 | 13 | 0 |
| 7LEOs + 22Sta | GPS | 9.48 | 20 | 1 |
| Radial (mm) | Along-Track (mm) | Cross-Track (mm) | 1D (mm) | ||
|---|---|---|---|---|---|
| GRACE-C | Without ERP and CoE | 11.5 | 8.1 | 20.5 | 14.4 |
| With ERP and CoE | 11.6 | 10.4 | 20.3 | 14.9 | |
| GRACE-D | Without ERP and CoE | 11.7 | 8.4 | 20.3 | 14.4 |
| With ERP and CoE | 11.9 | 10.1 | 20.2 | 14.9 | |
| Swarm-A | Without ERP and CoE | 15.8 | 28.2 | 23.2 | 23.1 |
| With ERP and CoE | 17.5 | 32.2 | 23.7 | 25.1 | |
| Swarm-B | Without ERP and CoE | 16.6 | 27.4 | 19.4 | 21.7 |
| With ERP and CoE | 17.7 | 29.7 | 21.1 | 23.4 | |
| Swarm-C | Without ERP and CoE | 15.8 | 28.8 | 23.4 | 23.3 |
| With ERP and CoE | 16.9 | 32.9 | 23.9 | 25.5 | |
| Sentinel-3A | Without ERP and CoE | 16.1 | 33.1 | 21.05 | 24.6 |
| With ERP and CoE | 18.1 | 36.3 | 20.1 | 26.3 | |
| Sentinel-3B | Without ERP and CoE | 15.1 | 30.5 | 21.2 | 23.2 |
| With ERP and CoE | 17.2 | 33.4 | 20.9 | 24.9 |
| Satellite | Case 1 | Case 2 | Case 3 | Case4 |
|---|---|---|---|---|
| GRACE-C | 14.37 | 14.12 | 14.28 | 14.30 |
| GRACE-D | 14.38 | 14.16 | 14.35 | 14.38 |
| Swarm-A | 23.05 | 25.42 | 24.40 | 26.68 |
| Swarm-B | 21.65 | 24.30 | 23.28 | 25.62 |
| Swarm-C | 23.28 | 25.60 | 24.60 | 26.93 |
| Sentinel-3A | 24.58 | 27.26 | 36.50 | 29.13 |
| Sentinel-3B | 23.22 | 27.04 | 25.20 | 28.88 |
| Satellite | Case 1 | Case 2 | Case 3 | Case 4 |
|---|---|---|---|---|
| GRACE-C | 58.17 | 67.37 | 54.83 | 53.55 |
| GRACE-D | 65.70 | 77.47 | 53.40 | 76.93 |
| Swarm-A | 54.07 | 52.57 | 41.57 | 55.77 |
| Swarm-B | 54.47 | 52.60 | 41.43 | 56.00 |
| Swarm-C | 54.40 | 52.90 | 42.40 | 56.03 |
| Sentinel-3A | 56.97 | 53.50 | 46.70 | 52.60 |
| Sentinel-3B | 61.23 | 63.07 | 46.67 | 61.80 |
Disclaimer/Publisher’s Note: The statements, opinions and data contained in all publications are solely those of the individual author(s) and contributor(s) and not of MDPI and/or the editor(s). MDPI and/or the editor(s) disclaim responsibility for any injury to people or property resulting from any ideas, methods, instructions or products referred to in the content. |
© 2025 by the authors. Licensee MDPI, Basel, Switzerland. This article is an open access article distributed under the terms and conditions of the Creative Commons Attribution (CC BY) license (https://creativecommons.org/licenses/by/4.0/).
Share and Cite
Wang, Y.; Sun, B.; Wang, K.; Yang, X.; Zhang, Z.; Zhang, M.; Wu, M. Influences of Discontinuous Attitudes on GNSS/LEO Integrated Precise Orbit Determination Based on Sparse or Regional Networks. Remote Sens. 2025, 17, 712. https://doi.org/10.3390/rs17040712
Wang Y, Sun B, Wang K, Yang X, Zhang Z, Zhang M, Wu M. Influences of Discontinuous Attitudes on GNSS/LEO Integrated Precise Orbit Determination Based on Sparse or Regional Networks. Remote Sensing. 2025; 17(4):712. https://doi.org/10.3390/rs17040712
Chicago/Turabian StyleWang, Yuanxin, Baoqi Sun, Kan Wang, Xuhai Yang, Zhe Zhang, Minjian Zhang, and Meifang Wu. 2025. "Influences of Discontinuous Attitudes on GNSS/LEO Integrated Precise Orbit Determination Based on Sparse or Regional Networks" Remote Sensing 17, no. 4: 712. https://doi.org/10.3390/rs17040712
APA StyleWang, Y., Sun, B., Wang, K., Yang, X., Zhang, Z., Zhang, M., & Wu, M. (2025). Influences of Discontinuous Attitudes on GNSS/LEO Integrated Precise Orbit Determination Based on Sparse or Regional Networks. Remote Sensing, 17(4), 712. https://doi.org/10.3390/rs17040712

