Abstract
Automatic glacier extraction from remote sensing images is the most important approach for large scale glacier monitoring. Commonly used band calculation indices to enhance glacier information are not effective in identifying shadowed glaciers and debris-covered glaciers. In this study, we used the Kolmogorov–Smirnov test as the theoretical basis and determined the most suitable band calculation indices to distinguish different land cover classes by comparing inter-sample separability and reasonable threshold range ratios of different indices. We then constructed a glacier classification decision tree. This approach resulted in the development of a method to automatically extract glacier areas at given spatial and temporal scales. In comparison with the commonly used indices, this method demonstrates an improvement in Cohen’s kappa coefficient by more than 3.8%. Notably, the accuracy for shadowed glaciers and debris-covered glaciers, which are prone to misclassification, is substantially enhanced by 108.0% and 6.3%, respectively. By testing the method in the Qilian Mountains, the positive prediction value of glacier extraction was calculated to be 91.8%, the true positive rate was 94.0%, and Cohen’s kappa coefficient was 0.924, making it well suited for glacier extraction. This method can be used for monitoring glacier changes in global mountainous regions, and provide support for climate change research, water resource management, and disaster early warning systems.
1. Introduction
Mountain glaciers have substantial ice reserves, and the basins recharged by their solid water resources support more than 1.6 billion people and generate 18% of the world gross domestic product [1,2,3]. Global temperatures, particularly at high altitudes, have increased in recent decades. The energy and mass balance of glacier surfaces has been disrupted, and mountain glaciers are continuously melting [4,5,6,7,8,9,10,11]. An increase in ice melt water can lead to an increase in the frequency of secondary disasters, such as glacial lake outburst floods (GLOFs), and threaten the safety of people’s lives and property in mountainous areas [12,13]. The massive melting of mountain glaciers can reduce downstream runoff and affect the food security of billions of people in the basin [14,15,16,17]. Monitoring global-scale mountain glacier areas is important for addressing the risks posed by glacier changes to humans.
Remote sensing is the most effective method for studying glacier changes at large spatial scales, and the identification of glacier pixels in remote sensing images is the key to monitoring glacier changes [18]. Glacier pixel identification methods include visual interpretation, band calculation, supervised or unsupervised classification, and machine learning. Among these, visual interpretation is time-consuming and cannot be automated. Supervised classification relies on training data or field survey evidence to generate reference models, making automation challenging and its accuracy heavily dependent on model quality [19,20]. Unsupervised classification circumvents training data requirements but tends to produce precision-limited results requiring post-hoc interpretation [20,21]. Machine learning requires extensive training data and significant computational resources [22]. In contrast, band calculation method is the most suitable for large spatial scale glacier extraction because of its good extraction effect, low computational demand, and high reusability [23,24,25].
Differences in climate and topography can result in differences in the thermodynamic and dynamical properties of mountain glaciers [26,27,28,29,30]. Therefore, the spectral features of different properties and different parts of glaciers are also substantially different in remote sensing images. Continental glaciers are predominantly influenced by temperature, with low accumulation and ablation of ice mass, and relatively slow movement. Their spectral albedo is relatively low because of the presence of cryoconite granules on the glacier surface [31,32]. Maritime glaciers are mainly influenced by precipitation and are more sensitive to climate change, with high accumulation and ablation of ice mass, fast movement, and pronounced intra-annual variation. The rock debris on the glacier surface is concentrated in the ablation zone, so its accumulation zone has a high spectral albedo while the ablation zone is relatively low [33,34,35,36]. In the ablation zone tongues of glaciers, some areas are covered by rock debris, resulting in a lower spectral albedo for these glacier parts compared to the accumulation zone glaciers. [37,38]. Debris-covered glaciers account for approximately 4.4% of global glacier area, with the highest proportion (36.0%) observed on the southern slopes of the central Himalayas [39,40]. In steep terrains, shadowed glaciers exhibit reduced albedo and altered spectral characteristics (e.g., ~50% reflectance decline in the green band and 21–42% in the near-infrared band), primarily due to attenuated shortwave radiation lowering surface energy input, which suppresses melting and enhances snow accumulation, thereby promoting firn preservation and densification [41,42]. In the Western Tianshan Mountains and Karakoram, topographic shading persists for 30.5% of annual daylight hours [43]. Due to the non-negligible areal proportions and distinct spectral characteristics of debris-covered and shadowed glaciers, it is important in practical applications to focus not only on the extraction of clean glaciers but also on the extraction of shadowed glaciers and debris-covered glaciers.
Various band calculation indices have been widely used for enhancing glacier information such as [44], [45], and Normalized Difference Snow Index (NDSI) [1,46]. However, these indices are prone to commission and omission errors for glaciers with less distinct spectral information such as debris-covered glaciers and shadowed glaciers [47]. The morphological structures of mountain glaciers and their surrounding environments are different. Therefore, it is often difficult for glacier extraction indices to achieve more successful results in other regions [23,24,41,48]. In regions such as the eastern Qilian Mountains and Himalayas, the high frequency of cloud cover in summer because of monsoons and topographic precipitation on windward slopes also creates difficulties in extracting glaciers using remote sensing images [49].
Based on the current state of research, the objectives of this study were to quantify the differences between the spectral information of different parts of mountain glaciers and the surrounding environment using statistical methods; establish a decision tree that can accurately classify remote sensing images into glacier, non-glacier, and cloud pixels; remove cloud pixels; and extract glacier pixels by calculating the rate of glaciers in all available images in a certain spatial and temporal region. This study aimed to propose a more universal and easy-to-use glacier extraction method, provide a new solution for large spatial and temporal scale glacier extraction, be applicable in complex application scenarios, and provide more accurate and reliable data for other studies on glaciers and climate change.
2. Study Area
In this study, seven major distribution areas of mountain glaciers, that is, the Tianshan Mountains, Qilian Mountains, Karakoram, Himalayas, Hengduan Mountains, European Alps, and Rocky Mountains, were selected as the study area (Figure 1 and Table 1). Specifically, (1) the Tianshan Mountains are located deep in the hinterland of Eurasia and have low precipitation and an arid climate owing to the loss of water during the long journey of the westerly jet stream, which has formed continental glaciers of considerable size [50,51]. (2) The Qilian Mountains are located on the northeastern edge of the Tibetan Plateau, which is influenced by the westerlies in the west and the East Asian Summer Monsoon in the east, and have mainly formed subcontinental glacier [52,53]. (3) Karakoram is located on the western edge of the Tibetan Plateau with a high and steep terrain, which is predominantly influenced by the Indian Summer Monsoon in summer and the westerlies in winter and has formed a large area of mountain glaciers [54,55,56]. Glaciers are shadowed by mountains and covered by debris because of their steep topography and frequent avalanche hazards. (4) The Himalayas are located on the southwestern and southern edges of the Tibetan Plateau and cover a large area with extremely high terrain. The western part is influenced by the westerlies, the eastern part is influenced by the southwest monsoon, and the southern part locks a large number of maritime tropical air masses from the Indian Ocean with its tall mountains. These influencing factors mean that the types of glaciers that have developed in each region are different [57,58]. The glaciers in this area are clearly shadowed by mountains, with more supraglacial moraines on the southern slope and less on the northern slope, and glacial lakes have developed at the terminals of some glaciers. (5) The Hengduan Mountains are located on the southeastern edge of the Tibetan Plateau and have distinctly undulating topography. The area is heavily influenced by monsoons, where maritime tropical air masses from the Indian and Pacific Oceans converge. Summer precipitation accounts for 75–90% of the annual total, forming mountain glaciers with strong maritime characteristics [59,60]. The ablation zone of the glaciers has a large glacial tongue that can extend to the far side of the valley and is mostly covered with a supraglacial moraine. (6) The European Alps are located on the southern edge of Europe and are heavily influenced by the westerly jet stream through the Atlantic Ocean. There is a temperate continental humid climate in the north and west, and a subtropical Mediterranean climate with dry summers in the south and east [61,62,63]. (7) The Rocky Mountains are located in western North America and run north–south. It is influenced by a westerly jet stream through the Pacific Ocean, receives abundant precipitation in the west, and has a continental climate in the east [64].
Figure 1.
Distribution of mountains where the sampling sites are located.
Table 1.
Number, area, and type of glaciers in the seven mountain ranges [65].
The glaciers in the seven mountain ranges include continental, subcontinental, and maritime glaciers. Some of these are covered by clouds year-round. Some are shaded by the shadows of tall mountains. Some are covered by supraglacial moraine in the ablation zone, and some have glacial lakes at the terminal. These encompass the common difficulties in remote sensing identification of mountain glaciers, which are highly representative.
3. Data
3.1. Remote Sensing Image Data
The Landsat series of remote sensing images has become the most dominant dataset for glacier research because of its high spatial resolution, long time span, and free characteristics. The low spatial and spectral resolution of Landsat 1–3 satellites make it difficult to use them as source data for extracting glaciers. However, data can be used from Landsat 4 to Landsat 9, which include five satellites providing earth observation data, which have been in orbit for more than 40 years since 1982, with a spatial resolution of mostly 30 m. Landsat 4 and 5 satellites carries the Thematic Mapper (TM) sensor. Landsat 8 and 9 carries the Operational Land Imager (OLI) combined with the Thermal Infrared Sensor (TIRS). The TM sensor comprises seven spectral bands: Blue (0.45–0.52 μm), Green (0.52–0.60 μm), Red (0.63–0.69 μm), Near-Infrared (NIR, 0.76–0.90 μm), Shortwave Infrared 1 (SWIR 1, 1.55–1.75 μm), SWIR 2 (2.08–2.35 μm), and Thermal Infrared (TIR, 10.40–12.50 μm). In contrast, the OLI sensor comprises nine bands: Coastal Aerosol (0.43–0.45 μm), Blue (0.450–0.51 μm), Green (0.53–0.59 μm), Red (0.64–0.67 μm), NIR (0.85–0.88 μm), SWIR 1 (1.57–1.65 μm), SWIR 2 (2.11–2.29 μm), Panchromatic (0.50–0.68 μm), and Cirrus (1.36–1.38 μm) bands. The TIRS sensor comprises two bands: TIR 1 (10.6–11.19 μm) and TIR 2 (11.5–12.51 μm). The thermal infrared bands were inverted to the surface temperature (ST) bands in which there were no data pixels due to atmospheric interference.
With the development of cloud computing technology, the Google Earth Engine has become the mainstream solution for applying Landsat series images at large spatial and temporal scales for remote sensing research [70]. This study used the LANDSAT/.../C02/T1_L2 series dataset from the Google Earth Engine, which is a Level 2, Collection 2, and Tier 1 remote sensing dataset, as well as the dataset with the highest geolocation accuracy and image quality among the Landsat series. The dataset was pre-processed with atmospheric, radiometric, and geometric corrections and could be directly used for geographic processing and analysis. It contains the QA_PIXEL band, which is calculated by the CFMASK algorithm and identifies the approximate confidence of special features such as clouds, cirrus clouds, snow, and ice for each pixel.
Given that Landsat 4 and 5 satellites have a consistent sensor spectral distribution and Landsat 8 and 9 satellites have a consistent sensor spectral distribution, Landsat 7 satellite is usually not used because of problems with the Scan Line Corrector. Therefore, in the study of the spectral features of land cover classes, only the images taken by two satellites, Landsat 5 and 8, were analyzed to represent the Landsat series images, except for Landsat 1–3. Given that the glacier ablation season generally occurs from June to September [53], images with imaging times from June to September were selected to extract land cover samples in this study.
3.2. Glacier Distribution Data
The glacier distribution data used in this study included both the Qilian Mountains glacier distribution data and global mountain glacier distribution data. The Qilian Mountains glacier distribution data in 2015 was published by the National Tibetan Plateau Data Center [71]. This data was based on Gaofen series images with reference to Google Earth and Map World. The glacier distribution was initially extracted by the band ratio method and then manually corrected by visual interpretation. Limited by the spatial resolution of the Gaofen series, the accuracy of the data was approximately 2 m. Global mountain glacier distribution data was derived from the Randolph Glacier Inventory (RGI) [72]. In this study, data from four regions focused on mountain glaciers were used: RGI region center 02 (RC02, Western Canada US), RGI region center 11 (RC11, Central Europe), RGI region center 14 (RC14, South Asia West), and RGI region center 15 (RC15, South Asia East).
4. Methods
4.1. Extraction of Spectral Features of Land Cover Classes
This study visually interpreted Landsat 5 and 8 images and outlined three types of glacier samples, that is, clean glacier, shadowed glacier, and debris-covered glacier; three types of cloud-free surrounding environment samples namely bare land, vegetation, and water; and cloud samples from seven mountain ranges. The vegetation samples selected in this study were predominantly alpine forests or tundra in the mountains, rather than farmlands on the plains. The bare land samples selected were mainly bare soil or rock in the mountains without vegetation cover, rather than unused land in the plains. This was because the vegetation and bare land in the mountains adjacent to the glaciers are more likely to be confused with glaciers and result in misclassification. Therefore, it is more important to focus on the spectral characteristics of these land cover classes, while the vegetation and bare land in the plains seldom have any influence on glacier extraction. The cloud samples selected in this study were mainly thick opaque clouds in clusters rather than thin semitransparent clouds. This was because thin clouds may be mixed pixels of clouds and subsurface objects, which introduces subsurface spectral characteristics into the acquired data, thus compromising the computational distinction between clouds and terrestrial objects [73]. The outlined land cover samples were saved as vector data in shapefile format, and the Extract by Mask tool in ArcMap 10.8 was used to generate a raster image containing only various land cover classes. The GDAL package in Python 3.9 was used to read the raster image data and obtain the distribution of spectral digital numbers (DNs) for each land cover class (Table 2 and Figure 2).
Table 2.
Numbers of pixels of each land cover class collected from the seven mountain ranges.
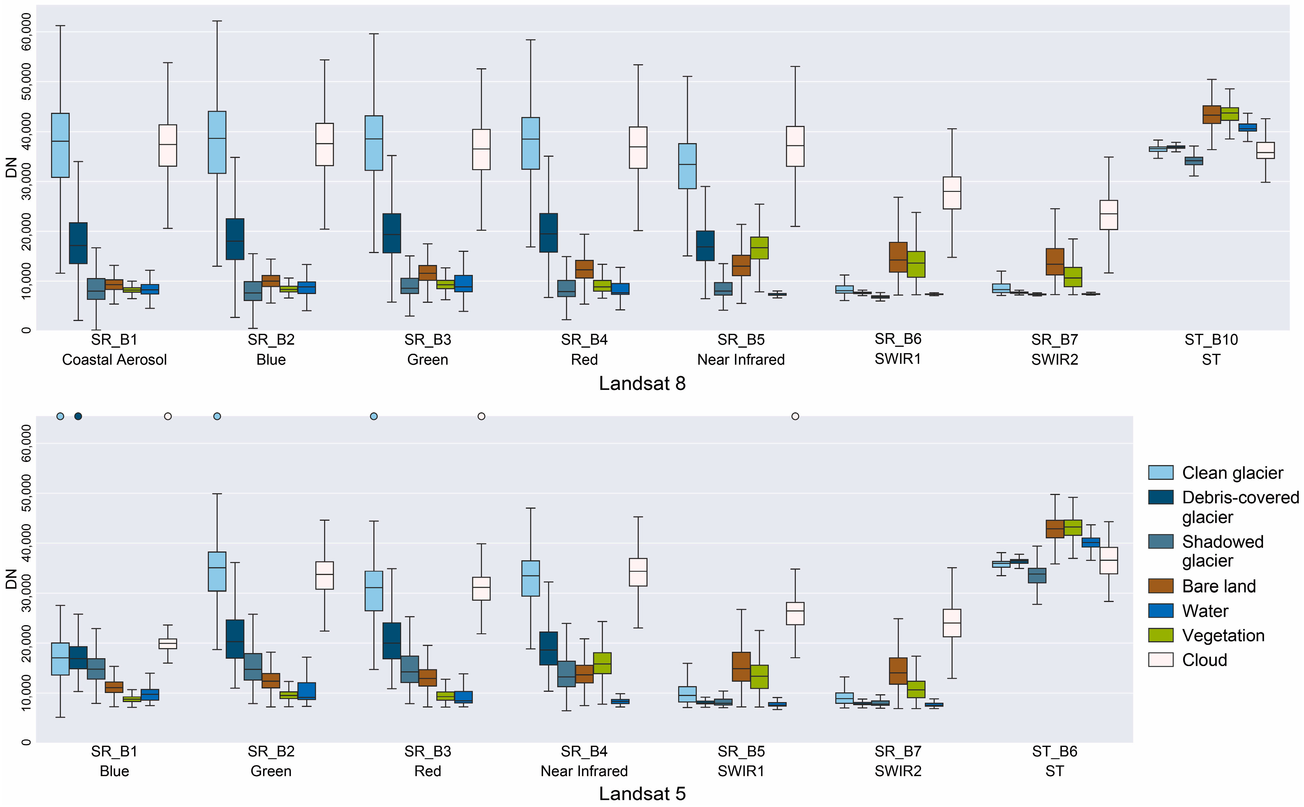
Figure 2.
Distribution of spectral digital numbers (DNs) from seven land cover samples. The colored dot indicates the DNs in the land cover sample that was stretched to its maximum value during image pre-processing.
As shown in Figure 2, clean glaciers have a high albedo in the visible and near-infrared bands, and high absorption in the shortwave infrared bands. Clouds generally have a high albedo in all bands, and bare land, vegetation, and water generally have high absorption in all bands. Therefore, shortwave infrared bands can be used to distinguish glaciers from clouds, and visible or near-infrared bands can be applied to distinguish glaciers from cloud-free surrounding environments. Given that glaciers have lower values, and bare land, vegetation, and water have higher values in the surface temperature band obtained from thermal infrared data inversion. This band can be applied to distinguish glaciers from cloud-free surrounding environments. The spectral features of debris-covered glaciers and shadowed glaciers were similar to those of other land cover classes and need to be distinguished using a combination of two or more bands.
4.2. Theoretical Basis of Land Cover Classification Based on Pixel Statistics
This study used the Kolmogorov–Smirnov test (K–S test) to quantify the separability between two land cover samples. The K–S test is a nonparametric test for a one-dimensional probability distribution that can be used to determine whether there is a significant difference between two samples. The basic concept of the K–S test is to calculate the cumulative distribution functions and their maximum deviation value for two sets of sample data, and then test whether the deviation value occurs by chance at a given significance level. The expression is:
where and denote the cumulative distribution functions of the two sets of sample data. sup indicates the calculation of the supremum, which is the maximum absolute value of the difference between the two functions.
In this study, each land cover class obtained by interpretation was used as a statistical sample. The DNs of all pixels of each land cover class were used as a set of statistical sample data. Since the DNs range from 0 to 65535, the statistical samples are similarly and non-normally distributed sortable data. As there was no interaction between the DNs of each land cover class, the statistical samples were independent of each other. Additionally, because the sample data met the requirements of the K–S test for independence and similar distribution, this method was be chosen to evaluate the separability between two land cover classes. The value of the K–S test results can be used as a quantitative indicator of separability. The larger the value, the higher the separability between the samples.
The separability between two samples is calculated based on an optimal threshold. However, it is difficult to accurately determine the optimal threshold of two land cover classes in each image. This study uses the reasonable threshold range ratio, which is the ratio of the number of band index values meeting the condition of to the total number of possible band index values, was used as an indicator to compare the effect of the band indices on land cover classification. In this study, the T values were set to 99%, 98%, and 95%, which were used to calculate a reasonable threshold range ratio at different criteria. A wider reasonable threshold range ratio can enable the specified thresholds to maintain more accurate classification effects in more images in actual work. By quantitatively calculating and comparing the separability and ratio of the reasonable threshold range between land cover samples, the best band index for distinguishing the two land cover classes could be determined.
Based on the most suitable band index for differentiating between land cover classes, choosing an appropriate threshold for binarizing and classifying the band calculation images is also the focus of land cover classification using the band index. To choose the most appropriate threshold for classifying land cover classes, the best threshold is the band index value when reaches the maximum value, and the minimum and maximum reasonable thresholds are the minimum and maximum band index values that meet the condition of . By comparing multiple sets of best and minimum and maximum reasonable thresholds between samples, the most appropriate threshold for land cover classification using the band index was selected. Overall, this study evaluates the classification performance of different band indices from various perspectives using two assessment metrics: separability and reasonable threshold range ratio (Figure 3).
Figure 3.
The conceptual model diagram for land cover classification evaluation metrics.
Considering that the number of pixels sampled in each mountain was different, the same number of pixels was randomly selected from the seven mountain ranges when each land cover sample was used to ensure the representativeness and universality of the calculation results. The cloud-free surrounding environment samples were composed of the same number of pixels selected from the bare land, vegetation, and water samples. The randomization process was repeated after each inter-sample separability, reasonable threshold range ratio, best threshold, and minimum and maximum reasonable thresholds were calculated, and the results were averaged after 10 iterations.
4.3. Determine the Band Index and Threshold of Cloud Extraction
In this study, the DNs of each band and the difference, ratio, and normalized difference of each of the two bands of the different land cover samples were used to calculate the separability between different samples of each band index. By comparing the separability between clean glacier, debris-covered glacier, shadowed glacier, and water samples and cloud samples of each band index, it was found that had the highest separability (Table 3). As shown in Table 3, the separability of between all types of glacier and water samples and cloud samples exceeded 98.2% in Landsat 5 and 8. Most of them reached 99.2%, indicating that the band index could be used to distinguish glaciers and water from clouds.
Table 3.
Separability between land cover samples and cloud samples or cloud-free surrounding environment samples calculated using each band index.
Reasonable threshold range ratios of between all types of glacier samples and cloud samples at the 98% criterion and between water samples and clouds samples at the 99% criterion were calculated (Table 4). As shown in Table 4, the index could maintain a reasonable threshold range including at a higher criterion, which is ideal for distinguishing glaciers and water from clouds.
Table 4.
Reasonable threshold range ratio between land cover samples and cloud samples or cloud-free surrounding environment samples calculated using each band index.
To determine the most appropriate thresholds for distinguishing glaciers and water from clouds, the best threshold and the minimum and maximum reasonable thresholds of between all types of glacier samples and cloud samples at the 98% criterion and between water samples and cloud samples at the 99% criterion were calculated (Table 5). As shown in Table 5, the threshold range of 347–1174 in Landsat 8 satisfied a separability of more than 98.0% between all types of glacier and water samples and cloud samples. Given that most of the glacier pixels are clean glacier pixels in the actual work, the extraction effect of such pixels should be carefully considered. The threshold chosen should ensure that the separability of clean glaciers is sufficiently high while considering the separability of debris-covered glaciers and shadowed glaciers. This study chose a threshold of 700 to distinguish glacier and water pixels from cloud pixels, and defined pixels with a DN less than this threshold as cloud-free pixels. This threshold was within a reasonable threshold range for all samples and is approximately the average of the best threshold for each type of samples. This ensured the classification accuracy of all samples. For Landsat 5, the threshold range of 1979–2346 satisfied a separability of more than 98.0%. This study chose a threshold of 2000 to distinguish glacier and water pixels from cloud pixels, and defined pixels with a DN less than this threshold as cloud-free pixels. This threshold was within a reasonable threshold range for all samples and close to the best threshold for clean glaciers. This ensured the classification accuracy of clean glaciers as well as taking the classification accuracy of debris-covered glaciers, shadowed glaciers, and water into account. In summary, this study used to distinguish glaciers and water from clouds. A threshold of 700 was selected for Landsat 8, and a threshold of 2000 was chosen for Landsat 5. As shown in the cumulative distribution function plots (Figure 4a,b), the threshold separation was effective.
Table 5.
Best threshold and minimum and maximum reasonable thresholds for each index to separate land cover samples and cloud samples or cloud-free surrounding environment samples.
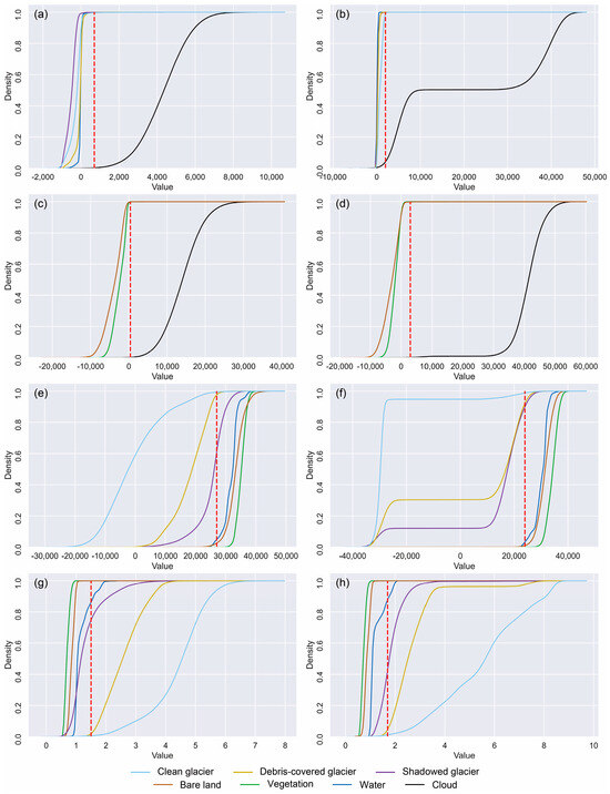
Figure 4.
Cumulative distribution functions for (a,b), (c,d), (e,f) and (g,h) in Landsat 8 (a,c,e,g) and 5 (b,d,f,h). The red dotted line is the threshold determined in this study.
By comparing the separability between bare land and vegetation samples and cloud samples of each band index, it was found that , , , , and were the indices with the highest separability (Table 3). As shown in Table 3, the separability of the above indices was greater than 99.0% in Landsat 5 and 8. Among them, the index had the highest separability of more than 99.6%, which indicated that bare land and vegetation could be distinguished from clouds using this band index with a suitable threshold.
Reasonable threshold range ratios of these indices between bare land and vegetation samples and cloud samples at the 99% criterion were calculated (Table 4). As shown in Table 4, the reasonable threshold range of the index was the widest among the indices for Landsat 5 and 8. Combining the inter-sample separability and reasonable threshold range, is the ideal band index for distinguishing bare land and vegetation from clouds.
To determine the most appropriate thresholds for distinguishing bare land and vegetation from clouds, the best threshold and the minimum and maximum reasonable thresholds of between bare land and vegetation samples and cloud samples at the 99% criterion were calculated (Table 5). Except for a few glaciers on the southeastern margin of the Tibetan Plateau, most mountain glaciers worldwide are adjacent to bare land. Therefore, bare land should be given more weight in land cover classification than vegetation. This study chose a threshold of 500 in Landsat 8 and 3000 in Landsat 5 to distinguish bare land and vegetation pixels from cloud pixels, and defined pixels with a DN less than this threshold as cloud-free pixels. This threshold is close to the best threshold for bare land and within the reasonable threshold range for vegetation. This ensured that the classification accuracy of these two samples is greater than 99.0% and a strong classification effect could be achieved. In summary, this study used to distinguish bare land and vegetation from clouds. A threshold of 500 was selected for Landsat 8, and a threshold of 3000 was chosen for Landsat 5. As shown in the cumulative distribution function plots (Figure 4c,d), the threshold separation was effective.
4.4. Determine the Band Index and Threshold of Glacier Extraction
By comparing the separability between all types of glacier samples and cloud-free surrounding environment samples of each band index, it was found that ST, , , and had the highest separability (Table 3). As shown in Table 3, the ST band had the highest separability of all glacier samples in Landsat 5 and 8, all of which exceeded 96.4%, with the separability of debris-covered glacier and shadowed glacier samples being above 97.7%. The , , and band indices had the highest separability of clean glacier samples, over 97.7%; quite high separability of debris-covered glacier samples, reaching 95.3%; and insufficient separability of shadowed glacier samples, approximately 80.0% in Landsat 8. Among the three band indices, exhibited the highest composite separability. Commonly used indices such as , , and NDSI, have fair separability of clean glacier and debris-covered glacier samples and lower separability of shadowed glacier samples. The separability of each sample is lower than that of indices with ST band. Collectively, the indices with a combination of ST and visible light bands could more effectively extract glaciers.
Reasonable threshold range ratios of these indices between all types of glacier samples and cloud-free surrounding environment samples at the 95% criterion were calculated (Table 4). As shown in Table 4, although the ST band had the highest separability in Landsat 5 and 8, its reasonable threshold range was narrow. In contrast, index has the widest reasonable threshold range at over 14.6% for Landsat 8 and over 40.4% for Landsat 5, whereas the commonly used ratio indices and snow cover index had narrow reasonable threshold ranges. Collectively, not only had sufficiently high separability between glaciers and cloud-free surrounding environments, but also had a wide enough reasonable threshold range to be the most ideal index for glacier extraction.
To determine the most appropriate thresholds for distinguishing glaciers with cloud-free surrounding environments, the best threshold and the minimum and maximum reasonable thresholds of between all types of glacier samples and cloud-free surrounding environment samples at the 95% criterion were calculated (Table 5). This study chose a threshold of 27,000 in Landsat 8 and 24,000 in Landsat 5 to distinguish glacier pixels from cloud-free surrounding environment pixels and defined pixels with a DN less than this threshold as glacier pixels. This threshold is within a reasonable threshold for clean glaciers and debris-covered glaciers. This ensured that the classification accuracy was over 95% and considered the classification effect of shadowed glaciers. In summary, this study used to distinguish glaciers from cloud-free surrounding environments. A threshold of 27,000 was selected for Landsat 8, and a threshold of 24,000 was chosen for Landsat 5. As shown in the cumulative distribution function plots (Figure 4e,f), the threshold separation was effective.
Another glacier extraction index without ST band was used to fill the no-data pixels caused by the ST band. Combining the separability and reasonable threshold range of each index, it was found that has high separability for clean glacier, debris-covered glacier, and cloud-free surrounding environment samples, and was less effective for shadowed glacier samples. This was the most suitable glacier extraction index to fill the no-data pixels of ST band. Its reasonable threshold range was relatively narrow and the threshold needed to be carefully chosen to achieve more effective glacier extraction. The best threshold and the minimum and maximum reasonable thresholds of between all types of glacier samples and cloud-free surrounding environment samples at the 95% criterion were calculated (Table 5). This study chose the threshold of 1.5 in Landsat 8 and 1.7 in Landsat 5 to distinguish glacier pixels from cloud-free surrounding environment pixels, and defined pixels with a DN greater than this threshold as glacier pixels. This threshold was close to the reasonable threshold range for clean glaciers and the best threshold for debris-covered glaciers, while allowing a high level of classification. In summary, this study used to fill no-data pixels and distinguish glaciers from cloud-free surrounding environments. A threshold of 1.5 was selected for Landsat 8, and a threshold of 1.7 was chosen for Landsat 5. As shown in the cumulative distribution function plots (Figure 4g,h), the threshold separation was effective.
4.5. Construction of Multi-Temporal Glacier Extraction Decision Tree
This study proposed a method to eliminate clouds and short-term snow and extract glacier pixels automatically using multiple images of different imaging times. For a single image, the cloud extraction indices and were calculated to generate a dual-band cloud information enhancement image. Pixels with index greater than 700 and index greater than 400 were defined as cloud pixels in Landsat 8. Pixels with index greater than 2000 and index greater than 3000 were defined as cloud pixels in Landsat 5. All the cloud pixels were assigned null values. Next, the glacier extraction index was calculated for cloud-free images to generate single-band glacier information enhancement images, and the image was binarized with 27,000 for Landsat 8 and 24,000 for Landsat 5. Pixels less than this threshold were defined as glacier pixels and assigned a value of 1, while other pixels were assigned a value of 0. The glacier extraction index was calculated. Pixels greater than 1.5 in Landsat 8 and 1.7 in Landsat 5 were defined as glacier pixels and assigned a value of 1, while the other elements were assigned a value of 0. The results were filled with no-data pixels in the binarized image (Figure 5a).
Figure 5.
Decision tree for remote sensing image pixel classification (a) and schematic diagram of glacier extraction multi-temporal algorithm (b). Thresholds for Landsat 8 images are shown outside of parentheses, and thresholds for Landsat 5 images are shown in parentheses.
Certain spatial and temporal scales were selected in Google Earth Engine. The cloud, glacier, and surrounding environment pixels were distinguished for each image, and corresponding values were assigned. The values of all pixels were summed to obtain the glacier ratio image at the spatial and temporal scales. A value of 0 in this image means that the pixel was never identified as a glacier in any image. A value of 1 means that the pixel was identified as a glacier in all images after cloud removal. A value between 0 and 1 means that the pixel was identified as a glacier in some images and as a non-glacier in some images. Owing to unavoidable errors in glacier extraction, pixels with glacier ratios greater than 0.85 were assigned as glacier pixels after several attempts. Using this approach, the interference caused by clouds and snow in glacier extraction could be solved using multiple remote sensing images with different imaging times, and the glacier area within the specified spatial and temporal scales could be obtained (Figure 5b).
In summary, this method resolved the problem of mountain glaciers being obscured by clouds by using multi-temporal remote sensing imagery synthesis. It also solved the problem of glaciers being easily confused with surrounding bare land, glacial lakes, and other land covers due to mountain shadow coverage and debris cover, by using decision trees composed of various band calculation indices.
5. Results and Discussion
5.1. Results and Validation Using Extracted Pixel Samples
This study evaluated four glacier extraction methods (including this method, , , and NDSI) through systematic confusion matrix analysis, using glaciers, bare land, vegetation, and water samples derived from Landsat 5 and 8. The producer’s accuracy and Cohen’s kappa coefficient of the confusion matrix were calculated and compared for each sample. Based on existing studies, 2.0 was chosen as the threshold for [40,74,75] and [45,76,77] indices and 0.4 was chosen as the threshold for NDSI [1,46,78] to extract glaciers.
As shown in Table 6, all four methods had high producer’s accuracies for clean glacier, bare land, vegetation, and water samples. Compared with the other three methods, in Landsat 8, the method in this study significantly improved the producer’s accuracy for debris-covered glaciers and shadowed glaciers. The accuracy of the debris-covered glaciers reached more than 90.3%, but the identification of shadowed glaciers was not as accurate. For Landsat 5, this method also showed a significant improvement in producer’s accuracy for shadowed glaciers, reaching 87.1%. This was because the spectral features of shadowed glaciers and water are relatively similar, and it is difficult to distinguish them completely using DNs alone. The average accuracy of this method for shadowed glaciers was 60.7%, which represented an improvement of 108.0% compared to the other methods. For debris-covered glaciers, the average accuracy was 91.3%, an increase of 6.3% compared to the other methods. Higher producer’s accuracy indicates that the classification performance of this method is optimal and significantly superior to other methods. Cohen’s Kappa coefficient of this method is 96.8%, which is 3.8% higher than other methods, suggesting that the classification is highly accurate with minimal random error, making it suitable for glacier extraction. Additionally, this method extracted clouds from remote sensing images as a separate class, eliminating the need for manually screening low-cloud-amount images or testing different cloud scores during the application of other methods.
Table 6.
The confusion matrix of the result of this method and the producer’s accuracy of each sample and Cohen’s kappa coefficient for the four methods.
5.2. Results and Validation in the Qilian Mountains
Using the Google Earth Engine, the glacier area in the Qilian Mountains from 2013 to 2017 was calculated using the classification decision tree and multi-temporal algorithm in this study (Figure 6). The program filtered 321 images that met the requirements for the glacier extraction algorithm, with at most 78 images and at least one image at the same location participating in the calculation (Figure 6). The greater the number of images participating in the calculation at the same location, the higher the confidence of the extraction results. The extraction results are likely to be inaccurate at locations where the number of images participating in the computation is small, such as one or two. When there are more such locations, it is necessary to extend the time range and use more images to extract glacier.
Figure 6.
Glacier area in the Qilian Mountains. The blue area shows the glacier area in the Qilian Mountains from 2013 to 2017 extracted using this method, the thin line shows the glacier distribution data in 2015, and the brightness of the background color indicates the number of images participating in the calculation at that location. (a–d) represent four different regions in the Qilian Mountains.
By comparing the extraction results with the glacier distribution data in the Qilian Mountains in 2015 released by the National Tibetan Plateau Data Center, it was found that the extraction results of this method were satisfactory for the Qilian Mountains. In the western Qilian Mountains, most extracted glaciers matched the distribution data well. In a few areas at the terminal of the glaciers, the extracted extent was larger than the distribution data, which may be because of the glacier retreating during the three years from 2013 to 2015, and the extracted glacier area is a larger area before the retreat. The extraction results in the eastern Qilian Mountains are slightly inferior to those in the western Qilian Mountains. This is because this algorithm needs to remove clouds from the images to extract the glaciers. Therefore, the extraction results of the algorithm were relatively poor in areas with high cloudiness. However, the reliability of the extraction results is still guaranteed owing to the advantages of the multi-temporal algorithm.
Cloud pixels were removed using bitwise operations in the Google Earth Engine using the QA_PIXEL band in the Landsat dataset. Three indices, namely , , and NDSI, were used to calculate the glacier ratio images in the Qilian Mountains from 2013 to 2017 in combination with the multi-temporal algorithm in this study. After several attempts, pixels with a glacier ratio above the 0.75 ( and ) and 0.65 (NDSI) threshold were identified as glaciers. The glacier distribution data in the Qilian Mountains were used as the reference data, converted into pixel-matched raster and compared with the glacier area extracted using the four methods to calculate the positive predictive value, true positive rate, and Cohen’s kappa coefficient of the confusion matrices (Table 7). The receiver operating characteristic (ROC) curves of the four methods were plotted based on the confusion matrices (Figure 7).
Table 7.
Positive prediction value, true positive rate, and Cohen’s kappa coefficient of glacier extraction results by four methods.
Figure 7.
ROC curves of the results of glacier extraction using four methods. The red line shows the ROC curves of the methods in this study, and the gray line shows the other three methods. (b) shows a local zoom of (a).
As shown in Table 7, compared with the index, the positive predictive value of this method improved by 1.9%, indicating that the correct rate of glacier pixels identified by this method is higher. Compared with the index, the true positive rate of this method is improved by 4.3%, which indicated that this method could identify more glacier pixels accurately. Compared with the NDSI, the positive predictive value and true positive rate of this method were improved by 3.3% and 5.7%, respectively. This indicated that the glacier pixels extracted by this method are more accurate with minimal error. Cohen’s kappa coefficient of this method improved by more than 1.7% relative to the other three methods, which indicated that the effect of glacier extraction has been significantly improved. This method selected the highest ratio threshold, which indicated that the classification decision tree of this method is far more stable than those of the other three methods for glacier extraction for each image. The ROC curve connects the false positive rate (1–positive predictive value, 1–specificity) and true positive rate (sensitivity) of the classifier’s classification results against the validation data at different threshold criteria. The ROC curve can be used to compare the classification power of various classifiers. In the ROC curve, a line near the top-left corner indicates higher specificity and sensitivity, reflecting more accurate classification. As shown in Figure 7, the glacier extraction effect of the method described in this study was significantly improved compared to the other three methods.
In summary, in the Qilian Mountains, the glacier pixels extracted using this method showed ideal matching results with the visually interpreted glacier distribution data. Compared to the other three methods, this method exhibited improvements in positive predictive value, true positive rate, and Cohen’s kappa coefficient, with a significantly enhanced extraction performance.
5.3. Results and Validation on a Global Scale
When compared with widely used glacier extraction indices such as , , and NDSI for global mountain glacier extraction, the results for certain regions were shown in Figure 8. It could be seen that, in practical applications, this method significantly outperformed the other three indices in terms of extraction accuracy, with a higher matching rate to the RGI data and more ideal extraction results. In particular, for the debris-covered glaciers, the other three indices failed to effectively identify glaciers, whereas this method was able to extract glaciers more accurately. This indicates that this method is not only applicable to mountain glaciers of various types (continental and maritime) globally, but also demonstrated better performance than existing indices, especially in areas where the glacier surface is heavily covered by debris. Therefore, this method not only shows strong potential for large-scale glacier extraction but also possesses some capacity to replace human visual interpretation.
Figure 8.
Comparison of glacier extraction results from four methods. The red line represents the RGI data, and the blue areas indicate the extracted glacier results.
6. Conclusions
This study extracted the spectral features of glaciers and other land cover classes in the Tianshan Mountains, Qilian Mountains, Karakoram, Himalayas, Hengduan Mountains, European Alps, and Rocky Mountains. The optimal band index was calculated to distinguish the two land cover classes using separability and reasonable threshold range ratio in statistical Kolmogorov–Smirnov tests. A glacier classification decision tree was established to classify the images into glacier, non-glacier, and cloud pixels, applied it to all remote sensing images at a specific spatial and temporal scale to calculate the glacier ratio image, and finally achieved glacier extraction. The advantages of this study are as follows:
(1) The extraction results of this method were credible. The classification effect of this method was verified using the extracted pixel samples, and its classification accuracy for clean glaciers, bare land, vegetation, water, and clouds generally exceeded 97.5%. Meanwhile, that for debris-covered glaciers was approximately 90.2%. The glacier extraction effect of this method was verified using the vector data of glacier distribution in the Qilian Mountains, with a positive prediction value of 91.8%, true positive rate of 94.0%, and Cohen’s kappa coefficient of 0.924.
(2) This method yielded better extraction results than other commonly used indices. In the validation results using the extracted pixel samples, compared to other methods, this method improved Cohen’s kappa coefficient by 3.8%, increased the accuracy of shadowed glaciers by 108.0%, and improved the accuracy of debris-covered glaciers by 6.3%. In the validation results using glacier distribution data for the Qilian Mountains, the extraction accuracy and Cohen’s kappa coefficient of this method significantly surpassed those of , , and NDSI, with an improvement of at least 1.7%.
In summary, this method has high accuracy, low computational power requirements, and high application value in glacier extraction at large spatial and temporal scales, and has the potential to replace the current application of relying on visual interpretation to correct glacier area. The glacier area extracted using this method can provide important data support for many studies such as glacier mass balance, glacial hazards monitoring, sea level rise, water resource management, and food security.
Author Contributions
Conceptualization, X.L. and J.L.; methodology, X.L. and H.C.; software, X.L and J.L.; validation, X.L.; formal analysis, X.L.; investigation, X.L. and J.L.; resources, N.W.; data curation, X.L. and H.C.; writing—original draft preparation, X.L.; writing—review and editing, X.L., X.S., Y.W. (Yuchen Wang), B.Q. and Y.W. (Yipeng Wang); visualization, X.L.; supervision, N.W.; project administration, H.C. and N.W.; funding acquisition, H.C. and N.W. All authors have read and agreed to the published version of the manuscript.
Funding
This work was funded by the National Natural Science Foundation of China (No. 42271131).
Data Availability Statement
The Landsat image collections that support the findings of this study are openly available in Google Earth Engine Catalog (https://developers.google.com/earth-engine/datasets/catalog/LANDSAT_LC08_C02_T1_L2 and https://developers.google.com/earth-engine/datasets/catalog/LANDSAT_LT05_C02_T1_L2), accessed on 10 January 2025.
Acknowledgments
We sincerely appreciate the detailed and professional suggestions provided by the reviewers. We would also like to thank Chen’ao Lv, Dehao Sun, Meng Li, Nan Meng, and Zhenmin Niu for their academic discussion.
Conflicts of Interest
The authors declare no conflicts of interest.
References
- Immerzeel, W.W.; Droogers, P.; De Jong, S.M.; Bierkens, M.F.P. Large-Scale Monitoring of Snow Cover and Runoff Simulation in Himalayan River Basins Using Remote Sensing. Remote Sens. Environ. 2009, 113, 40–49. [Google Scholar] [CrossRef]
- Immerzeel, W.W.; Lutz, A.F.; Andrade, M.; Bahl, A.; Biemans, H.; Bolch, T.; Hyde, S.; Brumby, S.; Davies, B.J.; Elmore, A.C. Importance and Vulnerability of the World’s Water Towers. Nature 2020, 577, 364–369. [Google Scholar] [CrossRef] [PubMed]
- Kaser, G.; Großhauser, M.; Marzeion, B. Contribution Potential of Glaciers to Water Availability in Different Climate Regimes. Proc. Natl. Acad. Sci. USA 2010, 107, 20223–20227. [Google Scholar] [CrossRef]
- Dyurgerov, M.B.; Meier, M.F. Twentieth Century Climate Change: Evidence from Small Glaciers. Proc. Natl. Acad. Sci. USA 2000, 97, 1406–1411. [Google Scholar] [CrossRef] [PubMed]
- Lowell, T.V. As Climate Changes, so Do Glaciers. Proc. Natl. Acad. Sci. USA 2000, 97, 1351–1354. [Google Scholar] [CrossRef] [PubMed]
- Brun, F.; Berthier, E.; Wagnon, P.; Kääb, A.; Treichler, D. A Spatially Resolved Estimate of High Mountain Asia Glacier Mass Balances from 2000 to 2016. Nat. Geosci. 2017, 10, 668–673. [Google Scholar] [CrossRef] [PubMed]
- Bhattacharya, A.; Bolch, T.; Mukherjee, K.; King, O.; Menounos, B.; Kapitsa, V.; Neckel, N.; Yang, W.; Yao, T. High Mountain Asian Glacier Response to Climate Revealed by Multi-Temporal Satellite Observations since the 1960s. Nat. Commun. 2021, 12, 4133. [Google Scholar] [CrossRef]
- Hugonnet, R.; McNabb, R.; Berthier, E.; Menounos, B.; Nuth, C.; Girod, L.; Farinotti, D.; Huss, M.; Dussaillant, I.; Brun, F. Accelerated Global Glacier Mass Loss in the Early Twenty-First Century. Nature 2021, 592, 726–731. [Google Scholar] [CrossRef]
- Masson-Delmotte, V.; Zhai, P.; Pirani, A.; Connors, S.L.; Péan, C.; Berger, S.; Caud, N.; Chen, Y.; Goldfarb, L.; Gomis, M.I. Climate Change 2021: The Physical Science Basis—Contribution of Working Group I to the Fourth Assessment Report of the Intergovernmental Panel on Climate Change; Intergovernmental Panel on Climate Change: Geneva, Switzerland, 2021; Volume 2. [Google Scholar]
- Miles, E.; McCarthy, M.; Dehecq, A.; Kneib, M.; Fugger, S.; Pellicciotti, F. Health and Sustainability of Glaciers in High Mountain Asia. Nat. Commun. 2021, 12, 2868. [Google Scholar] [CrossRef] [PubMed]
- Rounce, D.R.; Hock, R.; Maussion, F.; Hugonnet, R.; Kochtitzky, W.; Huss, M.; Berthier, E.; Brinkerhoff, D.; Compagno, L.; Copland, L. Global Glacier Change in the 21st Century: Every Increase in Temperature Matters. Science 2023, 379, 78–83. [Google Scholar] [CrossRef]
- Zheng, G.; Allen, S.K.; Bao, A.; Ballesteros-Cánovas, J.A.; Huss, M.; Zhang, G.; Li, J.; Yuan, Y.; Jiang, L.; Yu, T. Increasing Risk of Glacial Lake Outburst Floods from Future Third Pole Deglaciation. Nat. Clim. Change 2021, 11, 411–417. [Google Scholar] [CrossRef]
- Taylor, C.; Robinson, T.R.; Dunning, S.; Rachel Carr, J.; Westoby, M. Glacial Lake Outburst Floods Threaten Millions Globally. Nat. Commun. 2023, 14, 487. [Google Scholar] [CrossRef] [PubMed]
- Immerzeel, W.W.; Van Beek, L.P.; Bierkens, M.F. Climate Change Will Affect the Asian Water Towers. Science 2010, 328, 1382–1385. [Google Scholar] [CrossRef]
- Milner, A.M.; Khamis, K.; Battin, T.J.; Brittain, J.E.; Barrand, N.E.; Füreder, L.; Cauvy-Fraunié, S.; Gíslason, G.M.; Jacobsen, D.; Hannah, D.M. Glacier Shrinkage Driving Global Changes in Downstream Systems. Proc. Natl. Acad. Sci. USA 2017, 114, 9770–9778. [Google Scholar] [CrossRef] [PubMed]
- Huss, M.; Hock, R. Global-Scale Hydrological Response to Future Glacier Mass Loss. Nat. Clim. Change 2018, 8, 135–140. [Google Scholar] [CrossRef]
- Yao, T.; Bolch, T.; Chen, D.; Gao, J.; Immerzeel, W.; Piao, S.; Su, F.; Thompson, L.; Wada, Y.; Wang, L. The Imbalance of the Asian Water Tower. Nat. Rev. Earth Environ. 2022, 3, 618–632. [Google Scholar] [CrossRef]
- Paul, F.; Barrand, N.E.; Baumann, S.; Berthier, E.; Bolch, T.; Casey, K.; Frey, H.; Joshi, S.P.; Konovalov, V.; Le Bris, R. On the Accuracy of Glacier Outlines Derived from Remote-Sensing Data. Ann. Glaciol. 2013, 54, 171–182. [Google Scholar] [CrossRef]
- Tuia, D.; Volpi, M.; Copa, L.; Kanevski, M.; Munoz-Mari, J. A Survey of Active Learning Algorithms for Supervised Remote Sensing Image Classification. IEEE J. Sel. Top. Signal Process. 2011, 5, 606–617. [Google Scholar] [CrossRef]
- Singh, A.K.; Tiwari, S. Atmospheric Remote Sensing: Principles and Applications; Elsevier: Amsterdam, The Netherlands, 2022; pp. 87–92. [Google Scholar]
- Duda, T.; Canty, M. Unsupervised Classification of Satellite Imagery: Choosing a Good Algorithm. Int. J. Remote Sens. 2002, 23, 2193–2212. [Google Scholar] [CrossRef]
- Maslov, K.A.; Persello, C.; Schellenberger, T.; Stein, A. Globally Scalable Glacier Mapping by Deep Learning Matches Expert Delineation Accuracy. Nat. Commun. 2025, 16, 43. [Google Scholar] [CrossRef]
- Racoviteanu, A.E.; Paul, F.; Raup, B.; Khalsa, S.J.S.; Armstrong, R. Challenges and Recommendations in Mapping of Glacier Parameters from Space: Results of the 2008 Global Land Ice Measurements from Space (GLIMS) Workshop, Boulder, Colorado, USA. Ann. Glaciol. 2009, 50, 53–69. [Google Scholar] [CrossRef]
- Paul, F.; Bolch, T.; Kääb, A.; Nagler, T.; Nuth, C.; Scharrer, K.; Shepherd, A.; Strozzi, T.; Ticconi, F.; Bhambri, R. The Glaciers Climate Change Initiative: Methods for Creating Glacier Area, Elevation Change and Velocity Products. Remote Sens. Environ. 2015, 162, 408–426. [Google Scholar] [CrossRef]
- Paul, F.; Winsvold, S.H.; Kääb, A.; Nagler, T.; Schwaizer, G. Glacier Remote Sensing Using Sentinel-2. Part II: Mapping Glacier Extents and Surface Facies, and Comparison to Landsat 8. Remote Sens. 2016, 8, 575. [Google Scholar] [CrossRef]
- Li, J.; Zheng, B.; Yang, X.; Xie, Y.; Zhang, L.; Ma, Z.; Xu, S. Glaciers of Xizang; Science Press: Beijing, China, 1982; pp. 13–36. [Google Scholar]
- Yao, T.; Thompson, L.; Yang, W.; Yu, W.; Gao, Y.; Guo, X.; Yang, X.; Duan, K.; Zhao, H.; Xu, B.; et al. Different Glacier Status with Atmospheric Circulations in Tibetan Plateau and Surroundings. Nat. Clim. Change 2012, 2, 663–667. [Google Scholar] [CrossRef]
- Bliss, A.; Hock, R.; Radić, V. Global Response of Glacier Runoff to Twenty-First Century Climate Change. J. Geophys. Res. Earth Surf. 2014, 119, 717–730. [Google Scholar] [CrossRef]
- Li, Y.J.; Ding, Y.J.; Shangguan, D.H.; Wang, R.J. Regional Differences in Global Glacier Retreat from 1980 to 2015. Adv. Clim. Change Res. 2019, 10, 203–213. [Google Scholar] [CrossRef]
- Zhang, Z.; Gu, Z.; Hu, K.; Hu, K.; Xu, Y.; Zhao, J. Spatial Variability between Glacier Mass Balance and Environmental Factors in the High Mountain Asia. J. Arid Land 2022, 14, 441–454. [Google Scholar] [CrossRef]
- Takeuchi, N. Optical Characteristics of Cryoconite (Surface Dust) on Glaciers: The Relationship between Light Absorbency and the Property of Organic Matter Contained in the Cryoconite. Ann. Glaciol. 2002, 34, 409–414. [Google Scholar] [CrossRef]
- Takeuchi, N.; Nishiyama, H.; Li, Z. Structure and Formation Process of Cryoconite Granules on Ürümqi Glacier No. 1, Tien Shan, China. Ann. Glaciol. 2010, 51, 9–14. [Google Scholar] [CrossRef]
- Bishop, M.P.; Björnsson, H.; Haeberli, W.; Oerlemans, J.; Shroder, J.F.; Tranter, M. Encyclopedia of Snow, Ice and Glaciers; Springer Science & Business Media: Dordrecht, The Netherlands, 2011; pp. 979–984. [Google Scholar]
- Zhu, M.; Yao, T.; Yang, W.; Maussion, F.; Huintjes, E.; Li, S. Energy-and Mass-Balance Comparison between Zhadang and Parlung No. 4 Glaciers on the Tibetan Plateau. J. Glaciol. 2015, 61, 595–607. [Google Scholar] [CrossRef]
- Zhu, M.; Yao, T.; Yang, W.; Xu, B.; Wu, G.; Wang, X. Differences in Mass Balance Behavior for Three Glaciers from Different Climatic Regions on the Tibetan Plateau. Clim. Dyn. 2018, 50, 3457–3484. [Google Scholar] [CrossRef]
- Wang, R.; Liu, S.; Shangguan, D.; Radić, V.; Zhang, Y. Spatial Heterogeneity in Glacier Mass-Balance Sensitivity across High Mountain Asia. Water 2019, 11, 776. [Google Scholar] [CrossRef]
- Shukla, A.; Gupta, R.P.; Arora, M.K. Estimation of Debris Cover and Its Temporal Variation Using Optical Satellite Sensor Data: A Case Study in Chenab Basin, Himalaya. J. Glaciol. 2009, 55, 444–452. [Google Scholar] [CrossRef]
- Yousuf, B.; Shukla, A.; Arora, M.K.; Jasrotia, A.S. Glacier Facies Characterization Using Optical Satellite Data: Impacts of Radiometric Resolution, Seasonality, and Surface Morphology. Prog. Phys. Geogr. Earth Environ. 2019, 43, 473–495. [Google Scholar] [CrossRef]
- Scherler, D.; Bookhagen, B.; Strecker, M.R. Spatially Variable Response of Himalayan Glaciers to Climate Change Affected by Debris Cover. Nat. Geosci. 2011, 4, 156–159. [Google Scholar] [CrossRef]
- Scherler, D.; Wulf, H.; Gorelick, N. Global Assessment of Supraglacial Debris-cover Extents. Geophys. Res. Lett. 2018, 45, 11798–11805. [Google Scholar] [CrossRef]
- Kääb, A.; Winsvold, S.H.; Altena, B.; Nuth, C.; Nagler, T.; Wuite, J. Glacier Remote Sensing Using Sentinel-2. Part I: Radiometric and Geometric Performance, and Application to Ice Velocity. Remote Sens. 2016, 8, 598. [Google Scholar] [CrossRef]
- Wójcik-Długoborska, K.A.; Bialik, R.J. The Influence of Shadow Effects on the Spectral Characteristics of Glacial Meltwater. Remote Sens. 2020, 13, 36. [Google Scholar] [CrossRef]
- Zhang, Y.; Li, X.; Chang, X.; Luo, D.; Wang, X.; Cheng, G. Impacts of Topographic Shadows Cast by Surrounding Terrain on the Solar Irradiance on Glaciers’ Surface in High Mountain Asia (HMA). Atmos. Res. 2024, 307, 107511. [Google Scholar] [CrossRef]
- Hanshaw, M.N.; Bookhagen, B. Glacial Areas, Lake Areas, and Snow Lines from 1975 to 2012: Status of the Cordillera Vilcanota, Including the Quelccaya Ice Cap, Northern Central Andes, Peru. Cryosphere 2014, 8, 359–376. [Google Scholar] [CrossRef]
- Bolch, T. Climate Change and Glacier Retreat in Northern Tien Shan (Kazakhstan/Kyrgyzstan) Using Remote Sensing Data. Glob. Planet. Change 2007, 56, 1–12. [Google Scholar] [CrossRef]
- Burns, P.; Nolin, A. Using Atmospherically-Corrected Landsat Imagery to Measure Glacier Area Change in the Cordillera Blanca, Peru from 1987 to 2010. Remote Sens. Environ. 2014, 140, 165–178. [Google Scholar] [CrossRef]
- Paul, F.; Bolch, T.; Briggs, K.; Kääb, A.; McMillan, M.; McNabb, R.; Nagler, T.; Nuth, C.; Rastner, P.; Strozzi, T. Error Sources and Guidelines for Quality Assessment of Glacier Area, Elevation Change, and Velocity Products Derived from Satellite Data in the Glaciers_cci Project. Remote Sens. Environ. 2017, 203, 256–275. [Google Scholar] [CrossRef]
- Racoviteanu, A.E.; Williams, M.W.; Barry, R.G. Optical Remote Sensing of Glacier Characteristics: A Review with Focus on the Himalaya. Sensors 2008, 8, 3355–3383. [Google Scholar] [CrossRef] [PubMed]
- Nuimura, T.; Sakai, A.; Taniguchi, K.; Nagai, H.; Lamsal, D.; Tsutaki, S.; Kozawa, A.; Hoshina, Y.; Takenaka, S.; Omiya, S.; et al. The GAMDAM Glacier Inventory: A Quality-Controlled Inventory of Asian Glaciers. Cryosphere 2015, 9, 849–864. [Google Scholar] [CrossRef]
- Wang, X.; Ding, Y.; Liu, S.; Jiang, L.; Wu, K.; Jiang, Z.; Guo, W. Changes of Glacial Lakes and Implications in Tian Shan, Central Asia, Based on Remote Sensing Data from 1990 to 2010. Environ. Res. Lett. 2013, 8, 044052. [Google Scholar] [CrossRef]
- Liu, Q.; Liu, S. Response of Glacier Mass Balance to Climate Change in the Tianshan Mountains during the Second Half of the Twentieth Century. Clim. Dyn. 2016, 46, 303–316. [Google Scholar] [CrossRef]
- Sun, M.; Liu, S.; Yao, X.; Guo, W.; Xu, J. Glacier Changes in the Qilian Mountains in the Past Half-Century: Based on the Revised First and Second Chinese Glacier Inventory. J. Geogr. Sci. 2018, 28, 206–220. [Google Scholar] [CrossRef]
- Zhu, M.; Yao, T.; Thompson, L.G.; Wang, S.; Yang, W.; Zhao, H. What Induces the Spatiotemporal Variability of Glacier Mass Balance across the Qilian Mountains. Clim. Dyn. 2022, 59, 3555–3577. [Google Scholar] [CrossRef]
- Gardelle, J.; Berthier, E.; Arnaud, Y. Slight Mass Gain of Karakoram Glaciers in the Early Twenty-First Century. Nat. Geosci. 2012, 5, 322–325. [Google Scholar] [CrossRef]
- Rankl, M.; Kienholz, C.; Braun, M. Glacier Changes in the Karakoram Region Mapped by Multimission Satellite Imagery. Cryosphere 2014, 8, 977–989. [Google Scholar] [CrossRef]
- Farinotti, D.; Immerzeel, W.W.; de Kok, R.J.; Quincey, D.J.; Dehecq, A. Manifestations and Mechanisms of the Karakoram Glacier Anomaly. Nat. Geosci. 2020, 13, 8–16. [Google Scholar] [CrossRef] [PubMed]
- Thayyen, R.J.; Gergan, J.T. Role of Glaciers in Watershed Hydrology: A Preliminary Study of a “Himalayan Catchment”. Cryosphere 2010, 4, 115–128. [Google Scholar] [CrossRef]
- Nela, B.R.; Singh, G.; Kulkarni, A.V. Ice Thickness Distribution of Himalayan Glaciers Inferred from DInSAR-Based Glacier Surface Velocity. Environ. Monit. Assess. 2023, 195, 15. [Google Scholar] [CrossRef] [PubMed]
- Li, Z.; He, Y.; Wang, C.; Wang, X.; Xin, H.; Zhang, W.; Cao, W. Spatial and Temporal Trends of Temperature and Precipitation during 1960–2008 at the Hengduan Mountains, China. Quat. Int. 2011, 236, 127–142. [Google Scholar] [CrossRef]
- Wang, X.; Chai, K.; Liu, S.; Wei, J.; Jiang, Z.; Liu, Q. Changes of Glaciers and Glacial Lakes Implying Corridor-Barrier Effects and Climate Change in the Hengduan Shan, Southeastern Tibetan Plateau. J. Glaciol. 2017, 63, 535–542. [Google Scholar] [CrossRef]
- Ivy-Ochs, S.; Kerschner, H.; Reuther, A.; Preusser, F.; Heine, K.; Maisch, M.; Kubik, P.W.; Schlüchter, C. Chronology of the Last Glacial Cycle in the European Alps. J. Quat. Sci. Publ. Quat. Res. Assoc. 2008, 23, 559–573. [Google Scholar] [CrossRef]
- Paul, F.; Rastner, P.; Azzoni, R.S.; Diolaiuti, G.; Fugazza, D.; Le Bris, R.; Nemec, J.; Rabatel, A.; Ramusovic, M.; Schwaizer, G. Glacier Shrinkage in the Alps Continues Unabated as Revealed by a New Glacier Inventory from Sentinel-2. Earth Syst. Sci. Data Discuss. 2020, 12, 1805–1821. [Google Scholar] [CrossRef]
- Ma, J.; Song, C.; Wang, Y. Spatially and Temporally Resolved Monitoring of Glacial Lake Changes in Alps During the Recent Two Decades. Front. Earth Sci. 2021, 9, 723386. [Google Scholar] [CrossRef]
- Ebrahimi, S.; Marshall, S.J. Parameterization of Incoming Longwave Radiation at Glacier Sites in the Canadian Rocky Mountains. J. Geophys. Res. Atmos. 2015, 120, 12536–12556. [Google Scholar] [CrossRef]
- RGI Consortium. Randolph Glacier Inventory—A Dataset of Global Glacier Outlines: Version 7.0. National Snow and Ice Data Center. 2023. Available online: https://nsidc.org/data/nsidc-0770/versions/7 (accessed on 27 December 2024).
- Li, Z.; Li, H.; Chen, Y. Mechanisms and Simulation of Accelerated Shrinkage of Continental Glaciers: A Case Study of Urumqi Glacier No. 1 in Eastern Tianshan, Central Asia. J. Earth Sci. 2011, 22, 423–430. [Google Scholar] [CrossRef]
- Hewitt, K. Glaciers of the Karakoram Himalaya: Glacial Environments, Processes, Hazards and Resources; Springer Science & Business Media: Dordrecht, The Netherlands; Heidelberg, Germany; New York, NY, USA; London, UK, 2014; pp. 82–93. [Google Scholar]
- Colucci, R.R.; Guglielmin, M. Precipitation-Temperature Changes and Evolution of a Small Glacier in the Southeastern European Alps during the Last 90 Years. Int. J. Climatol. 2015, 35, 2783–2797. [Google Scholar] [CrossRef]
- Lewis, D.; Smith, D. Dendrochronological Mass Balance Reconstruction, Strathcona Provincial Park, Vancouver Island, British Columbia, Canada. Arct. Antarct. Alp. Res. 2004, 36, 598–606. [Google Scholar] [CrossRef]
- Gorelick, N.; Hancher, M.; Dixon, M.; Ilyushchenko, S.; Thau, D.; Moore, R. Google Earth Engine: Planetary-Scale Geospatial Analysis for Everyone. Remote Sens. Environ. 2017, 202, 18–27. [Google Scholar] [CrossRef]
- Li, J.; Wang, Y.; Li, J. Glacier Outlines over the Qilian Mountain Area (1980–2015); National Tibetan Plateau Data Center. 2019. Available online: https://cstr.cn/18406.11.Geogra.tpdc.270234 (accessed on 27 December 2024).
- Pfeffer, W.T.; Arendt, A.A.; Bliss, A.; Bolch, T.; Cogley, J.G.; Gardner, A.S.; Hagen, J.-O.; Hock, R.; Kaser, G.; Kienholz, C.; et al. The Randolph Glacier Inventory a Globally Complete Inventory of Glaciers. J. Glaciol. 2014, 60, 537–552. [Google Scholar] [CrossRef]
- Zhu, Z.; Woodcock, C.E. Object-Based Cloud and Cloud Shadow Detection in Landsat Imagery. Remote Sens. Environ. 2012, 118, 83–94. [Google Scholar] [CrossRef]
- Rastner, P.; Bolch, T.; Notarnicola, C.; Paul, F. A Comparison of Pixel-and Object-Based Glacier Classification with Optical Satellite Images. IEEE J. Sel. Top. Appl. Earth Obs. Remote Sens. 2013, 7, 853–862. [Google Scholar] [CrossRef]
- Baumann, S.; Anderson, B.; Chinn, T.; Mackintosh, A.; Collier, C.; Lorrey, A.M.; Rack, W.; Purdie, H.; Eaves, S. Updated Inventory of Glacier Ice in New Zealand Based on 2016 Satellite Imagery. J. Glaciol. 2021, 67, 13–26. [Google Scholar] [CrossRef]
- Pan, C.G.; Pope, A.; Kamp, U.; Dashtseren, A.; Walther, M.; Syromyatina, M.V. Glacier Recession in the Altai Mountains of Mongolia in 1990–2016. Geogr. Ann. Ser. Phys. Geogr. 2018, 100, 185–203. [Google Scholar] [CrossRef]
- Kochtitzky, W.; Edwards, B. Comments on ‘Area Changes of Glaciers on Active Volcanoes in Latin America’ by Reinthaler and Others (2019). J. Glaciol. 2020, 66, 520–522. [Google Scholar] [CrossRef]
- Huang, L.; Li, Z.; Zhou, J.M.; Zhang, P. An Automatic Method for Clean Glacier and Nonseasonal Snow Area Change Estimation in High Mountain Asia from 1990 to 2018. Remote Sens. Environ. 2021, 258, 112376. [Google Scholar] [CrossRef]
Disclaimer/Publisher’s Note: The statements, opinions and data contained in all publications are solely those of the individual author(s) and contributor(s) and not of MDPI and/or the editor(s). MDPI and/or the editor(s) disclaim responsibility for any injury to people or property resulting from any ideas, methods, instructions or products referred to in the content. |
© 2025 by the authors. Licensee MDPI, Basel, Switzerland. This article is an open access article distributed under the terms and conditions of the Creative Commons Attribution (CC BY) license (https://creativecommons.org/licenses/by/4.0/).







