Water Quality Monitoring Using Landsat 8 OLI in Pleasant Bay, Massachusetts, USA
Abstract
1. Introduction
2. Materials and Methods
2.1. Water Sample Collection and Analysis
2.2. Landsat 8 OLI Image Processing
2.3. Machine Learning Algorithm
2.4. Determining Site Suitability
2.5. Satellite Time Series
3. Results
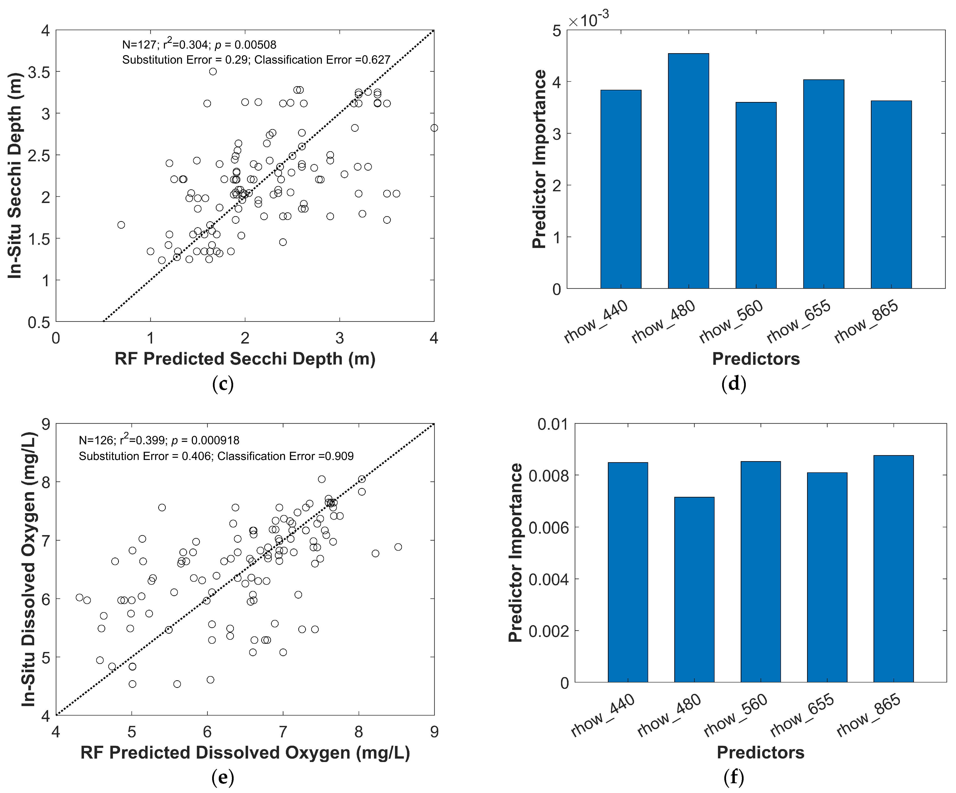
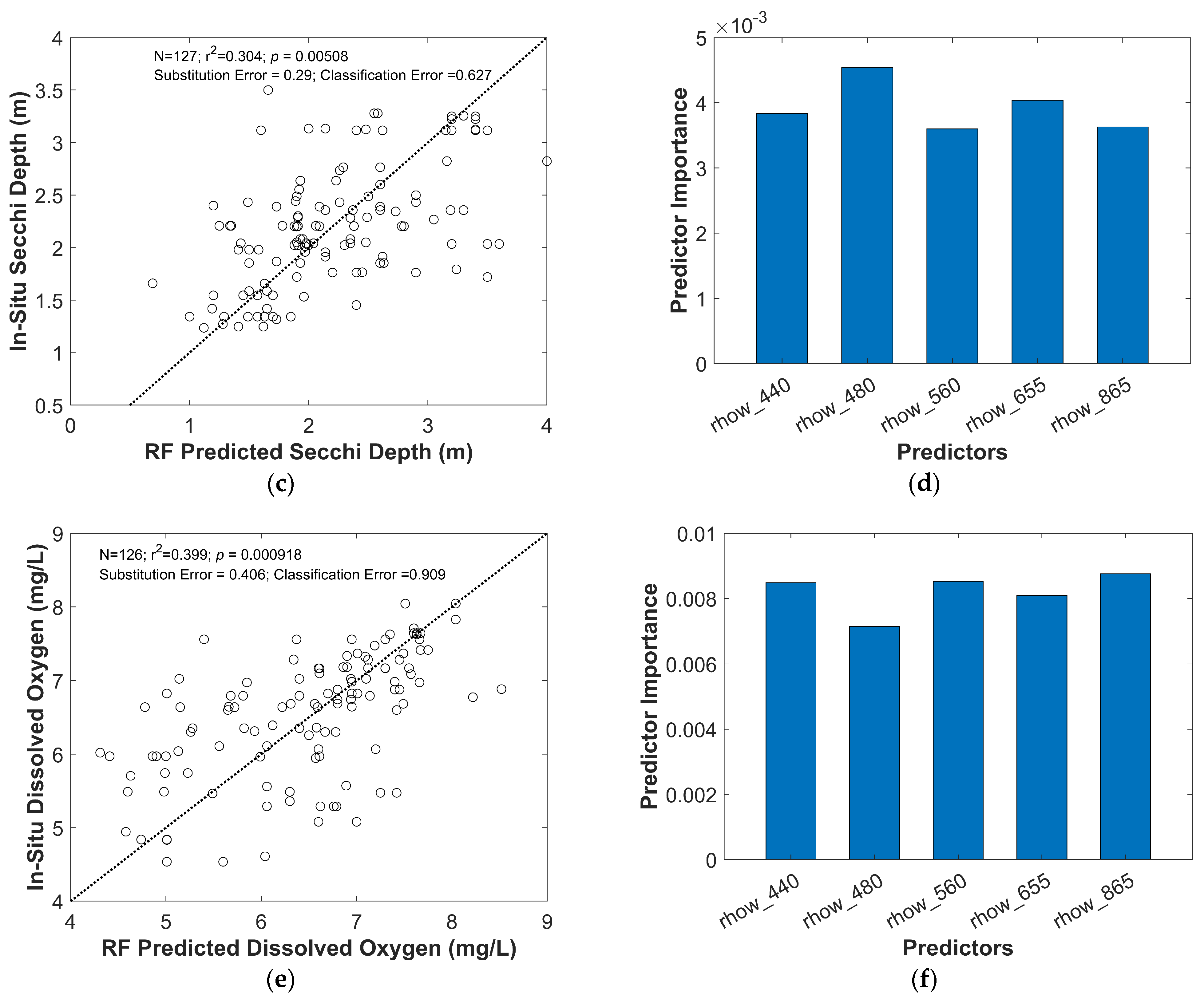
3.1. Comparisons of Processing Algorithms
3.2. Monthly Time Series
3.3. Annual Time Series
4. Discussion
4.1. Overview
4.2. Evaluation of Processing Algorithms
4.3. Seasonal Variations
4.4. Interannual Variations
4.5. Limitations
5. Conclusions
Supplementary Materials
Author Contributions
Funding
Data Availability Statement
Acknowledgments
Conflicts of Interest
References
- Cohen, D. About 60.2M Live in Areas Most Vulnerable to Hurricanes. Available online: https://www.census.gov/library/stories/2019/07/millions-of-americans-live-coastline-regions.html (accessed on 10 June 2024).
- Day, J.W., Jr.; Yáñez-Arancibia, A.; Kemp, W.M.; Crump, B.C. Introduction to Estuarine Ecology. In Estuarine Ecology; Wiley: Hoboken, NJ, USA, 2012; pp. 1–18. [Google Scholar] [CrossRef]
- Bricker, S.B.; Longstaff, B.; Dennison, W.; Jones, A.; Boicourt, K.; Wicks, C.; Woerner, J. Effects of nutrient enrichment in the nation’s estuaries: A decade of change. Harmful Algae 2008, 8, 21–32. [Google Scholar] [CrossRef]
- Kyryliuk, D.; Kratzer, S. Evaluation of Sentinel-3A OLCI Products Derived Using the Case-2 Regional CoastColour Processor over the Baltic Sea. Sensors 2019, 19, 3609. [Google Scholar] [CrossRef] [PubMed]
- Gholizadeh, M.H.; Melesse, A.M.; Reddi, L. A comprehensive review on water quality parameters estimation using remote sensing techniques. Sensors 2016, 16, 1298. [Google Scholar] [CrossRef]
- Markogianni, V.; Kalivas, D.; Petropoulos, G.P.; Dimitriou, E. An appraisal of the potential of Landsat 8 in estimating chlorophyll-a, ammonium concentrations and other water quality indicators. Remote Sens. 2018, 10, 1018. [Google Scholar] [CrossRef]
- Sagan, V.; Peterson, K.T.; Maimaitijiang, M.; Sidike, P.; Sloan, J.; Greeling, B.A.; Maalouf, S.; Adams, C. Monitoring inland water quality using remote sensing: Potential and limitations of spectral indices, bio-optical simulations, machine learning, and cloud computing. Earth-Sci. Rev. 2020, 205, 103187. [Google Scholar] [CrossRef]
- Giardino, C.; Brando, V.E.; Gege, P.; Pinnel, N.; Hochberg, E.; Knaeps, E.; Reusen, I.; Doerffer, R.; Bresciani, M.; Braga, F.; et al. Imaging Spectrometry of Inland and Coastal Waters: State of the Art, Achievements and Perspectives. Surv. Geophys. 2018, 40, 401–429. [Google Scholar] [CrossRef]
- Luis, K.M.A.; Rheuban, J.E.; Kavanaugh, M.T.; Glover, D.M.; Wei, J.; Lee, Z.; Doney, S.C. Capturing coastal water clarity variability with Landsat 8. Mar. Pollut. Bull. 2019, 145, 96–104. [Google Scholar] [CrossRef]
- Kim, Y.H.; Son, S.; Kim, H.-C.; Kim, B.; Park, Y.-G.; Nam, J.; Ryu, J. Application of satellite remote sensing in monitoring dissolved oxygen variabilities: A case study for coastal waters in Korea. Environ. Int. 2020, 134, 105301. [Google Scholar] [CrossRef]
- Guo, H.; Huang, J.J.; Zhu, X.; Wang, B.; Tian, S.; Xu, W.; Mai, Y. A generalized machine learning approach for dissolved oxygen estimation at multiple spatiotemporal scales using remote sensing. Environ. Pollut. 2021, 288, 117734. [Google Scholar] [CrossRef] [PubMed]
- Brockmann, C.; Doerffer, R.; Peters, M.; Kerstin, S.; Embacher, S.; Ruescas, A. Evolution of the C2RCC neural network for Sentinel 2 and 3 for the retrieval of ocean colour products in normal and extreme optically complex waters. In Proceedings of the Living Planet Symposium, Prague, Czech Republic, 9–13 May 2016; p. 54. [Google Scholar]
- Hanintyo, R.; Susilo, E.; Pradisty, N.A.; Surana, I.N. Chlorophyll-A and Total Suspended Matter Retrieval and Comparison of C2RCC Neural Network Algorithms on Landsat 8 Data over Wangi-Wangi Island, Indonesia; SPIE: St Bellingham, WA, USA, 2021; Volume 12082. [Google Scholar] [CrossRef]
- Hafeez, S.; Wong, M.S.; Ho, H.C.; Nazeer, M.; Nichol, J.; Abbas, S.; Tang, D.; Lee, K.H.; Pun, L. Comparison of machine learning algorithms for retrieval of water quality indicators in case-II waters: A case study of Hong Kong. Remote Sens. 2019, 11, 617. [Google Scholar] [CrossRef]
- Pleasant Bay Alliance. Coastal Resource Guide for Pleasant Bay and Chatham Harbor; Woods Hole Sea Grant No. WHOI-H-11-001; NOAA: Washington, DC, USA, 2011. Available online: https://repository.library.noaa.gov/view/noaa/42105 (accessed on 5 February 2025).
- Parsons, T.R. A Manual of Chemical & Biological Methods for Seawater Analysis; Elsevier Science: Amsterdam, The Netherlands, 2013. [Google Scholar]
- APHA. 10150 Chlorophyll a; Lipps, W., Baxter, T.E., Braun-Howland, E., Eds.; American Public Health Association Press, American Water Works Association, and Water Environment Federation: Washington, DC, USA, 2017; Available online: https://www.standardmethods.org/doi/abs/10.2105/SMWW.2882 (accessed on 5 February 2025).
- Choate, M.J.; Rengarajan, R.; Hasan, M.N.; Denevan, A.; Ruslander, K. Operational aspects of Landsat 8 and 9 geometry. Remote Sens. 2024, 16, 133. [Google Scholar] [CrossRef]
- Survey, U.S.G. Landsat 8. Available online: https://www.usgs.gov/landsat-missions/landsat-8 (accessed on 10 July 2024).
- Xu, H.; Ren, M.; Lin, M. Cross-comparison of Landsat-8 and Landsat-9 data: A three-level approach based on underfly images. GIScience Remote Sens. 2024, 61, 2318071. [Google Scholar] [CrossRef]
- Agency, E.S. Sentinel Application Platform (SNAP). Available online: https://step.esa.int/main/toolboxes/snap/ (accessed on 10 July 2024).
- ESA. SNAP Data Processors—C2RCC Processor. Available online: https://seadas.gsfc.nasa.gov/help-9.0.0/c2rcc/C2RCCTool.html (accessed on 10 January 2025).
- Pompêo, M.; Moschini-Carlos, V.; Bitencourt, M.D.; Sòria-Perpinyà, X.; Vicente, E.; Delegido, J. Water quality assessment using Sentinel-2 imagery with estimates of chlorophyll a, Secchi disk depth, and Cyanobacteria cell number: The Cantareira System reservoirs (São Paulo, Brazil). Environ. Sci. Pollut. Res. 2021, 28, 34990–35011. [Google Scholar] [CrossRef]
- Kyryliuk, D.; Kratzer, S. Summer Distribution of Total Suspended Matter Across the Baltic Sea. Front. Mar. Sci. 2019, 5, 504. [Google Scholar] [CrossRef]
- NASA. l2gen. Available online: https://seadas.gsfc.nasa.gov/help-9.1.0/processors/ProcessL2gen.html (accessed on 12 January 2025).
- Lee, Z.-P.; Du, K.-P.; Arnone, R. A model for the diffuse attenuation coefficient of downwelling irradiance. J. Geophys. Res. Ocean. 2005, 110, C02016. [Google Scholar] [CrossRef]
- Werdell, J.; O’Reilly, J.; Hu Ch Feng, L.; Lee, Z.; Franz, B.; Baily, S.; Proctor, C. Chlorophyll a, v1.1. 2023. Available online: https://www.earthdata.nasa.gov/apt/documents/chlor-a/v1.0#doc-header (accessed on 5 February 2025).
- Reichstetter, M.; Fearns, P.R.; Weeks, S.J.; McKinna, L.I.; Roelfsema, C.; Furnas, M. Bottom reflectance in ocean color satellite remote sensing for coral reef environments. Remote Sens. 2015, 7, 16756–16777. [Google Scholar] [CrossRef]
- Harvey, E.T.; Kratzer, S.; Philipson, P. Satellite-based water quality monitoring for improved spatial and temporal retrieval of chlorophyll-a in coastal waters. Remote Sens. Environ. 2015, 158, 417–430. [Google Scholar] [CrossRef]
- Masoud, A.A. On the Retrieval of the Water Quality Parameters from Sentinel-3/2 and Landsat-8 OLI in the Nile Delta’s Coastal and Inland Waters. Water 2022, 14, 593. [Google Scholar] [CrossRef]
- Lee, Z.; Shang, S.; Qi, L.; Yan, J.; Lin, G. A semi-analytical scheme to estimate Secchi-disk depth from Landsat-8 measurements. Remote Sens. Environ. 2016, 177, 101–106. [Google Scholar] [CrossRef]
- Molkov, A.; Fedorov, S.; Pelevin, V. Toward Atmospheric Correction Algorithms for Sentinel-3/OLCI Images of Productive Waters. Remote Sens. 2022, 14, 3663. [Google Scholar] [CrossRef]
- Kim, Y.H.; Im, J.; Ha, H.K.; Choi, J.-K.; Ha, S. Machine learning approaches to coastal water quality monitoring using GOCI satellite data. GIScience Remote Sens. 2014, 51, 158–174. [Google Scholar] [CrossRef]
- Hunt, C.D.; Borkman, D.G.; Libby, P.S.; Lacouture, R.; Turner, J.T.; Mickelson, M.J. Phytoplankton patterns in massachusetts bay—1992–2007. Estuaries Coasts 2010, 33, 448–470. [Google Scholar] [CrossRef]
- Chan, T.U.; Hamilton, D.P. Effect of freshwater flow on the succession and biomass of phytoplankton in a seasonal estuary. Mar. Freshw. Res. 2001, 52, 869–884. [Google Scholar] [CrossRef]
- Valiela, I.; Costa, J.E. Eutrophication of Buttermilk Bay, a cape cod coastal embayment: Concentrations of nutrients and watershed nutrient budgets. Environ. Manag. 1988, 12, 539–553. [Google Scholar] [CrossRef]
- Sibanda, M.; Mutanga, O.; Chimonyo, V.G.P.; Clulow, A.D.; Shoko, C.; Mazvimavi, D.; Dube, T.; Mabhaudhi, T. Application of Drone Technologies in Surface Water Resources Monitoring and Assessment: A Systematic Review of Progress, Challenges, and Opportunities in the Global South. Drones 2021, 5, 84. [Google Scholar] [CrossRef]
- Giese, G.S.; Borrelli, M.; Mague, S.T. Tidal Inlet Evolution and Impacts of Anthropogenic Alteration: An Example from Nauset Beach and Pleasant Bay, Cape Cod, Massachusetts. Northeast. Nat. 2020, 27, 21. [Google Scholar] [CrossRef]
- Ruth, H.C.; Deborah, R.; Ivan, V. Abundance and population structure of the Atlantic horseshoe crab Limulus polyphemus in Pleasant Bay, Cape Cod. Mar. Ecol. Prog. Ser. 2003, 246, 225–239. [Google Scholar]
- Leschen, A.S.; Grady, S.P.; Valiela, I. Fecundity and spawning of the Atlantic horseshoe crab, Limulus polyphemus, in Pleasant Bay, Cape Cod, Massachusetts, USA. Mar. Ecol. 2006, 27, 54–65. [Google Scholar] [CrossRef]








| Station | Latitude (Degrees) | Longitude (Degrees) | Average Depth (m) |
|---|---|---|---|
| 1 PBA-1 | 41.692 | −69.939 | 3.75 |
| PBA-3 | 41.708 | −69.983 | 3.18 |
| PBA-4 | 41.715 | −69.977 | 4.64 |
| PBA-5 | 41.711 | −69.997 | 1.79 |
| PBA-6 | 41.717 | −69.992 | 2.92 |
| PBA-8 | 41.735 | −69.973 | 3.98 |
| PBA-9 | 41.720 | −69.997 | 2.95 |
| PBA-10 | 41.738 | −69.980 | 2.53 |
| PBA-11 | 41.755 | −69.970 | 4.15 |
| PBA-12 | 41.755 | −69.961 | 1.96 |
| PBA-13 | 41.760 | −69.962 | 2.95 |
| PBA-14 | 41.761 | −69.982 | 3.52 |
| PBA-15 | 41.770 | −69.976 | 4.24 |
| PBA-16 | 41.781 | −69.966 | 4.40 |
| PBA-17a | 41.671 | −69.947 | 5.10 |
| PBA-19 | 41.722 | −69.950 | 2.11 |
| PBA-20 | 41.718 | −69.963 | 3.46 |
| PBA-21 | 41.746 | −69.965 | 3.40 |
| Satellite Date | In Situ Date | Satellite Time | In Situ Times | Time Difference | Reference Image |
|---|---|---|---|---|---|
| 20 July 2015 | 20 July 2015 | 15:20:30 | 10:40–12:35 | 2 h 45 min–4 h 40 min | LC08_L1TP_011031_20150720_20200908_02_T1 |
| 6 July 2016 | 7 July 2016 | 15:20:49 | 10:14–12:30 | 19 h 6 min–22 h 50 min | LC08_L1TP_011031_20160706_20200906_02_T1 |
| 7 August 2016 | 8 August 2016 | 15:20:57 | 11:06–12:30 | 21 h 45 min–22 h 56 min | LC08_L1TP_011031_20160807_20200906_02_T1 |
| 23 August 2016 | 23 August 2016 | 15:21:03 | 11:10–12:51 | 2 h 56 min–3 h 37 min | LC08_L1TP_011031_20160823_20200906_02_T1 |
| 29 August 2018 | 30 August 2018 | 15:20:28 | 10:43–12:34 | 21 h 37 min–22 h 56 min | LC08_L1TP_011031_20180829_20200831_02_T1 |
| Variables | Satellite Processor | Matchup Window (h) | r2 | RMSE | p | N |
|---|---|---|---|---|---|---|
| In situ chl vs. conc_chl 1 | C2RCC | 6 | 0.661 | 3.4 | 5.85 × 10−5 | 37 |
| In situ chl vs. conc_chl | C2RCC | 36 | 0.315 | 4.6 | 7.87 × 10−9 | 88 |
| In situ chl vs. conc_chl | C2X | 6 | 0.010 | 15.9 | 6.03 × 10−1 | 30 |
| In situ chl vs. conc_chl | C2X | 36 | 0.001 | 15.6 | 8.14 × 10−1 | 78 |
| In situ chl vs. chlor_a | L2gen | 6 | 0.320 | 9.0 | 6.35 × 10−3 | 30 |
| In situ chl vs. chlor_a | L2gen | 36 | 0.162 | 10.2 | 2.00 × 10−3 | 51 |
| In situ vs. RF-estimated chl | RF | 36 | 0.385 | 4.8 2 | 7.85 × 10−5 | 90 |
| In situ Secchi vs. 1/kd489 | C2RCC | 6 | 0.151 | 0.87 | 1.17 × 10−3 | 61 |
| In situ Secchi vs. 1/kd489 | C2RCC | 36 | 0.158 | 0.91 | 2.28 × 10−5 | 101 |
| In situ Secchi vs. kd_z90max | C2RCC | 6 | 0.151 | 0.87 | 1.17 × 10−3 | 61 |
| In situ Secchi vs. kd_z90max | C2RCC | 36 | 0.158 | 0.91 | 2.28 × 10−5 | 101 |
| In situ Secchi vs. 1/kd489 | C2X | 6 | 0.035 | 1.37 | 6.41 × 10−1 | 24 |
| In situ Secchi vs. 1/kd489 | C2X | 36 | 0.014 | 1.16 | 1.71 × 10−1 | 64 |
| In situ Secchi vs. 1/Kd_490 | L2gen | 6 | 0.029 | 0.38 | 6.64 × 10−1 | 9 |
| In situ Secchi vs. 1/Kd_490 | L2gen | 36 | 0.020 | 0.40 | 2.83 × 10−1 | 14 |
| In situ vs. RF-estimated Secchi | RF | 36 | 0.304 | 0.63 2 | 5.08 × 10−3 | 127 |
| In situ vs. RF-estimated DO | RF | 36 | 0.399 | 0.91 2 | 9.18 × 10−4 | 126 |
Disclaimer/Publisher’s Note: The statements, opinions and data contained in all publications are solely those of the individual author(s) and contributor(s) and not of MDPI and/or the editor(s). MDPI and/or the editor(s) disclaim responsibility for any injury to people or property resulting from any ideas, methods, instructions or products referred to in the content. |
© 2025 by the authors. Licensee MDPI, Basel, Switzerland. This article is an open access article distributed under the terms and conditions of the Creative Commons Attribution (CC BY) license (https://creativecommons.org/licenses/by/4.0/).
Share and Cite
Synan, H.E.; Howes, B.L.; Sampieri, S.; Lohrenz, S.E. Water Quality Monitoring Using Landsat 8 OLI in Pleasant Bay, Massachusetts, USA. Remote Sens. 2025, 17, 638. https://doi.org/10.3390/rs17040638
Synan HE, Howes BL, Sampieri S, Lohrenz SE. Water Quality Monitoring Using Landsat 8 OLI in Pleasant Bay, Massachusetts, USA. Remote Sensing. 2025; 17(4):638. https://doi.org/10.3390/rs17040638
Chicago/Turabian StyleSynan, Haley E., Brian L. Howes, Sara Sampieri, and Steven E. Lohrenz. 2025. "Water Quality Monitoring Using Landsat 8 OLI in Pleasant Bay, Massachusetts, USA" Remote Sensing 17, no. 4: 638. https://doi.org/10.3390/rs17040638
APA StyleSynan, H. E., Howes, B. L., Sampieri, S., & Lohrenz, S. E. (2025). Water Quality Monitoring Using Landsat 8 OLI in Pleasant Bay, Massachusetts, USA. Remote Sensing, 17(4), 638. https://doi.org/10.3390/rs17040638

