Satellite-Based Assessment of Snow Dynamics and Climatic Drivers in the Changbai Mountain Region (2001–2022)
Abstract
1. Introduction
2. Study Area
3. Data and Methodology
3.1. Data
3.1.1. MODIS Data
3.1.2. MERRA-2 Data
3.1.3. Ground-Based Snow Depth Data
3.2. Methodology
3.2.1. Cloud Removal Algorithm
3.2.2. NDSI/FSC Threshold Selection
3.2.3. Evaluation of Snow Parameters
4. Results
4.1. Analysis of SCA Variation
4.1.1. Variations in Monthly SCA
4.1.2. Variations in Winter SCA
4.2. Analysis of SCD Variation
4.2.1. Temporal Variations in SCD
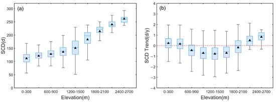
4.2.2. Spatial Variations in SCD
4.3. Influence of Hydrometeorological Factors
4.4. Influence of Climatic Factors
5. Discussion
6. Conclusions
Supplementary Materials
Author Contributions
Funding
Data Availability Statement
Conflicts of Interest
References
- Qi, W.; Feng, L.; Yang, H.; Liu, J. Spring and summer potential flood risk in Northeast China. J. Hydrol. Reg. Stud. 2021, 38, 100951. [Google Scholar] [CrossRef]
- Qi, W.; Feng, L.; Liu, J.; Yang, H. Snow as an important natural reservoir for runoff and soil moisture in Northeast China. J. Geophys. Res. Atmos. 2020, 125, e2020JD033086. [Google Scholar] [CrossRef]
- Hall, D.K.; Riggs, G.A.; Salomonson, V.V.; DiGirolamo, N.E.; Bayr, K.J. MODIS snow-cover products. Remote Sens. Environ. 2002, 83, 181–194. [Google Scholar] [CrossRef]
- Kilpys, J.; Pipiraitė-Januškienė, S.; Rimkus, E. Snow climatology in Lithuania based on the cloud-free moderate resolution imaging spectroradiometer snow cover product. Int. J. Climatol. 2020, 40, 4690–4706. [Google Scholar] [CrossRef]
- Xu, W.; Ma, H.; Wu, D.; Yuan, W. Assessment of the daily cloud-free MODIS snow-cover product for monitoring the snow-cover phenology over the Qinghai-Tibetan Plateau. Remote Sens. 2017, 9, 585. [Google Scholar] [CrossRef]
- Wei, Y.; Li, X.; Gu, L.; Zheng, Z.; Zheng, X.; Jiang, T. Significant decreasing trends in snow cover and duration in Northeast China during the past 40 years from 1980 to 2020. J. Hydrol. 2023, 626, 130318. [Google Scholar] [CrossRef]
- Guo, H.; Wang, X.; Guo, Z.; Chen, S. Assessing snow phenology and its environmental driving factors in Northeast China. Remote Sens. 2022, 14, 262. [Google Scholar] [CrossRef]
- Li, W.; Cidan, Y.; Wang, A.; Li, H.; Tian, L. Identification of influencing factors and machanism of spring runoff in Baishan Watershed, China. Water Resour. Hydropower Eng. 2019, 50, 63–72. [Google Scholar]
- Luo, J.; Dong, C.; Lin, K.; Chen, X.; Zhao, L.; Menzel, L. Mapping snow cover in forests using optical remote sensing, machine learning and time-lapse photography. Remote Sens. Environ. 2022, 275, 113017. [Google Scholar] [CrossRef]
- Fernandes, R.; Zhao, H. Mapping daily snow cover extent over land surfaces using NOAA AVHRR imagery. In Proceedings of the 5th EARSeL Workshop: Remote Sensing of Land Ice and Snow, Bern, Switzerland, 11–13 February 2008; Volume 1113, p. 18. [Google Scholar]
- Hall, D.K.; Riggs, G.A.; Salomonson, V.V. Development of methods for mapping global snow cover using moderate resolution imaging spectroradiometer data. Remote Sens. Environ. 1995, 54, 127–140. [Google Scholar] [CrossRef]
- Rosenthal, W.; Dozier, J. Automated mapping of montane snow cover at subpixel resolution from the Landsat Thematic Mapper. Water Resour. Res. 1996, 32, 115–130. [Google Scholar] [CrossRef]
- Ramsay, B.H. The interactive multisensor snow and ice mapping system. Hydrol. Processes 1998, 12, 1537–1546. [Google Scholar] [CrossRef]
- Metsämäki, S.; Pulliainen, J.; Salminen, M.; Luojus, K.; Wiesmann, A.; Solberg, R.; Böttcher, K.; Hiltunen, M.; Ripper, E. Introduction to GlobSnow Snow Extent products with considerations for accuracy assessment. Remote Sens. Environ. 2015, 156, 96–108. [Google Scholar] [CrossRef]
- Riggs, G.A.; Hall, D.K.; Román, M.O. Overview of NASA’s MODIS and visible infrared imaging radiometer suite (VIIRS) snow-cover earth system data records. Earth Syst. Sci. Data 2017, 9, 765–777. [Google Scholar] [CrossRef]
- Painter, T.H.; Rittger, K.; McKenzie, C.; Slaughter, P.; Davis, R.E.; Dozier, J. Retrieval of subpixel snow covered area, grain size, and albedo from MODIS. Remote Sens. Environ. 2009, 113, 868–879. [Google Scholar] [CrossRef]
- Gao, J.; Williams, M.W.; Fu, X.; Wang, G.; Gong, T. Spatiotemporal distribution of snow in eastern Tibet and the response to climate change. Remote Sens. Environ. 2012, 121, 1–9. [Google Scholar] [CrossRef]
- Zhang, Y.; Ma, N. Spatiotemporal variability of snow cover and snow water equivalent in the last three decades over Eurasia. J. Hydrol. 2018, 559, 238–251. [Google Scholar] [CrossRef]
- Huang, X.; Deng, J.; Wang, W.; Feng, Q.; Liang, T. Impact of climate and elevation on snow cover using integrated remote sensing snow products in Tibetan Plateau. Remote Sens. Environ. 2017, 190, 274–288. [Google Scholar] [CrossRef]
- Immerzeel, W.W.; Droogers, P.; De Jong, S.; Bierkens, M. Large-scale monitoring of snow cover and runoff simulation in Himalayan river basins using remote sensing. Remote Sens. Environ. 2009, 113, 40–49. [Google Scholar] [CrossRef]
- Zhang, F.; Zhang, H.; Hagen, S.C.; Ye, M.; Wang, D.; Gui, D.; Zeng, C.; Tian, L.; Liu, J. Snow cover and runoff modelling in a high mountain catchment with scarce data: Effects of temperature and precipitation parameters. Hydrol. Processes 2015, 29, 52–65. [Google Scholar] [CrossRef]
- Hall, D.K.; Riggs, G.A.; DiGirolamo, N.E.; Román, M.O. Evaluation of MODIS and VIIRS cloud-gap-filled snow-cover products for production of an Earth science data record. Hydrol. Earth Syst. Sci. 2019, 23, 5227–5241. [Google Scholar] [CrossRef]
- Stillinger, T.; Rittger, K.; Raleigh, M.S.; Michell, A.; Davis, R.E.; Bair, E.H. Landsat, MODIS, and VIIRS snow cover mapping algorithm performance as validated by airborne lidar datasets. Cryosphere 2023, 17, 567–590. [Google Scholar] [CrossRef]
- Zhang, H.; Zhang, F.; Che, T.; Wang, S. Comparative evaluation of VIIRS daily snow cover product with MODIS for snow detection in China based on ground observations. Sci. Total Environ. 2020, 724, 138156. [Google Scholar] [CrossRef]
- Huang, X.; Liang, T.; Zhang, X.; Guo, Z. Validation of MODIS snow cover products using Landsat and ground measurements during the 2001–2005 snow seasons over northern Xinjiang, China. Int. J. Remote Sens. 2011, 32, 133–152. [Google Scholar] [CrossRef]
- Simic, A.; Fernandes, R.; Brown, R.; Romanov, P.; Park, W. Validation of VEGETATION, MODIS, and GOES + SSM/I snow-cover products over Canada based on surface snow depth observations. Hydrol. Processes 2004, 18, 1089–1104. [Google Scholar] [CrossRef]
- Hall, D.K.; Riggs, G.A. Accuracy assessment of the MODIS snow products. Hydrol. Processes Int. J. 2007, 21, 1534–1547. [Google Scholar] [CrossRef]
- Klein, A.G.; Barnett, A.C. Validation of daily MODIS snow cover maps of the Upper Rio Grande River Basin for the 2000–2001 snow year. Remote Sens. Environ. 2003, 86, 162–176. [Google Scholar] [CrossRef]
- Foster, J.L.; Hall, D.K.; Eylander, J.B.; Riggs, G.A.; Nghiem, S.V.; Tedesco, M.; Kim, E.; Montesano, P.M.; Kelly, R.E.; Casey, K.A.; et al. A blended global snow product using visible, passive microwave and scatterometer satellite data. Int. J. Remote Sens. 2011, 32, 1371–1395. [Google Scholar] [CrossRef]
- Gao, Y.; Xie, H.; Lu, N.; Yao, T.; Liang, T. Toward advanced daily cloud-free snow cover and snow water equivalent products from Terra–Aqua MODIS and Aqua AMSR-E measurements. J. Hydrol. 2010, 385, 23–35. [Google Scholar] [CrossRef]
- Liang, T.; Zhang, X.; Xie, H.; Wu, C.; Feng, Q.; Huang, X.; Chen, Q. Toward improved daily snow cover mapping with advanced combination of MODIS and AMSR-E measurements. Remote Sens. Environ. 2008, 112, 3750–3761. [Google Scholar] [CrossRef]
- Xie, H.; Wang, X.; Liang, T. Development and assessment of combined Terra and Aqua snow cover products in Colorado Plateau, USA and northern Xinjiang, China. J. Appl. Remote Sens. 2009, 3, 033559. [Google Scholar] [CrossRef]
- Gafurov, A.; Bárdossy, A. Cloud removal methodology from MODIS snow cover product. Hydrol. Earth Syst. Sci. 2009, 13, 1361–1373. [Google Scholar] [CrossRef]
- Gao, Y.; Lu, N.; Yao, T. Evaluation of a cloud-gap-filled MODIS daily snow cover product over the Pacific Northwest USA. J. Hydrol. 2011, 404, 157–165. [Google Scholar] [CrossRef]
- Hall, D.K.; Riggs, G.A.; Foster, J.L.; Kumar, S.V. Development and evaluation of a cloud-gap-filled MODIS daily snow-cover product. Remote Sens. Environ. 2010, 114, 496–503. [Google Scholar] [CrossRef]
- Wan, D.; Liu, J.; Ma, H. Temporal-spatial variation characteristics of utilization efficiency of water resources in Changbai Mountain area. Desalin. Water Treat. 2022, 276, 1–12. [Google Scholar] [CrossRef]
- Qi, P.; Huang, X.; Xu, Y.J.; Li, F.; Wu, Y.; Chang, Z.; Li, H.; Zhang, W.; Jiang, M.; Zhang, G.; et al. Divergent trends of water bodies and their driving factors in a high-latitude water tower, Changbai Mountain. J. Hydrol. 2021, 603, 127094. [Google Scholar] [CrossRef]
- Chi, H.; Sun, G.; Huang, J.; Li, R.; Ren, X.; Ni, W.; Fu, A. Estimation of forest aboveground biomass in Changbai Mountain region using ICESat/GLAS and Landsat/TM data. Remote Sens. 2017, 9, 707. [Google Scholar] [CrossRef]
- Li, X.; He, H.S.; Li, N.; Yu, H.; Zong, S.; Wu, Z.; Du, H. Season-dependent climate sensitivity of the surface runoff of major rivers in Changbai Mountain. J. Hydrol. 2024, 643, 131936. [Google Scholar] [CrossRef]
- Chang, S.; Huang, F.; He, H.S.; Liu, K.; Krohn, J. Impacts of snow cover seasonality on spring land surface phenology of forests in Changbai mountains of Northeast China. Sci. Total Environ. 2024, 927, 171965. [Google Scholar] [CrossRef]
- Chen, Y.; Chang, Z.; Xu, S.; Qi, P.; Tang, X.; Song, Y.; Liu, D. Altitudinal gradient characteristics of spatial and temporal variations of snowpack in the Changbai Mountain and their response to climate change. Water 2021, 13, 3580. [Google Scholar] [CrossRef]
- Leng, B. Changes in snowpack of the Changbai Mountain region over the last decade in reaction to global warming. In Proceedings of the E3S Web of Conferences, Beijing, China, 28–30 July 2023; EDP Sciences: Les Ulis, France, 2023; Volume 424, p. 02001. [Google Scholar]
- Chang, S.; He, H.S.; Huang, F.; Krohn, J. Spring temperature and snow cover co-regulate variations of forest phenology in Changbai Mountains, Northeast China. Eur. J. For. Res. 2024, 143, 547–560. [Google Scholar] [CrossRef]
- Li, Y.; He, H.S.; Zong, S.; Sun, H. Spring snowmelt affects changes of alpine tundra vegetation in Changbai Mountains. Ecohydrology 2022, 15, e2447. [Google Scholar] [CrossRef]
- Zong, S.; Lembrechts, J.J.; Du, H.; He, H.S.; Wu, Z.; Li, M.; Rixen, C. Upward range shift of a dominant alpine shrub related to 50 years of snow cover change. Remote Sens. Environ. 2022, 268, 112773. [Google Scholar] [CrossRef]
- Poussin, C.; Timoner, P.; Chatenoux, B.; Giuliani, G.; Peduzzi, P. Improved Landsat-based snow cover mapping accuracy using a spatiotemporal NDSI and generalized linear mixed model. Sci. Remote Sens. 2023, 7, 100078. [Google Scholar] [CrossRef]
- Zhang, H.; Zhang, F.; Zhang, G.; Che, T.; Yan, W.; Ye, M.; Ma, N. Ground-based evaluation of MODIS snow cover product V6 across China: Implications for the selection of NDSI threshold. Sci. Total Environ. 2019, 651, 2712–2726. [Google Scholar] [CrossRef]
- Yu, E.; Qi, L.; Dai, L.; Yu, D.; Zhao, F.; Zhou, L.; Zhou, W.; Zhu, Q.; Mao, C.; Wu, G. Correlation analysis of elements in the mountains-rivers-forests-farmlands-lakes-grasslands life community: Using Changbai Mountains as an example. Acta Ecol. Sin. 2019, 39, 8837–8845. [Google Scholar]
- Ma, L.; Li, J. Systematic conservation planning optimization for the broad-leaved Korean pine mixed forest conservation network system in the Changbai Mountain Region, China. Acta Ecol. Sin. 2019, 39, 8547–8555. [Google Scholar]
- Zhu, Q.; Zhou, W.M.; Jia, X.; Zhou, L.; Yu, D.; Dai, L. Ecological vulnerability assessment on Changbai Mountain National Nature Reserve and its surrounding areas, Northeast China. Ying Yong Sheng Tai Xue Bao = J. Appl. Ecol. 2019, 30, 1633–1641. [Google Scholar]
- Zhao, H.; Li, H.; Xuan, Y.; Li, C.; Ni, H. Improvement of the SWAT model for snowmelt runoff simulation in seasonal snowmelt area using remote sensing data. Remote Sens. 2022, 14, 5823. [Google Scholar] [CrossRef]
- Riggs, G.A.; Hall, D.K.; Román, M.O. MODIS Snow Products Collection 6 User Guide; National Snow and Ice Data Center: Boulder, CO, USA, 2015; Volume 66, p. 545. [Google Scholar]
- Gelaro, R.; McCarty, W.; Suárez, M.J.; Todling, R.; Molod, A.; Takacs, L.; Randles, C.A.; Darmenov, A.; Bosilovich, M.G.; Reichle, R.; et al. The modern-era retrospective analysis for research and applications, version 2 (MERRA-2). J. Clim. 2017, 30, 5419–5454. [Google Scholar] [CrossRef]
- Wan, W.; Zhang, J.; Dai, L.; Liang, H.; Yang, T.; Liu, B.; Guo, Z.; Hu, H.; Zhao, L. A new snow depth data set over northern China derived using GNSS interferometric reflectometry from a continuously operating network (GSnow-CHINA v1. 0, 2013–2022). Earth Syst. Sci. Data 2022, 14, 3549–3571. [Google Scholar] [CrossRef]
- Tang, Z.; Wang, J.; Li, H.; Yan, L. Spatiotemporal changes of snow cover over the Tibetan plateau based on cloud-removed moderate resolution imaging spectroradiometer fractional snow cover product from 2001 to 2011. J. Appl. Remote Sens. 2013, 7, 073582. [Google Scholar] [CrossRef]
- Salomonson, V.V.; Appel, I. Estimating fractional snow cover from MODIS using the normalized difference snow index. Remote Sens. Environ. 2004, 89, 351–360. [Google Scholar] [CrossRef]
- El Attiq, O.; Reboul, S.; Latif, A.; Abouelouafa, S. High-Precision Satellite Position Interpolation: A Comparison of Lagrange, Cubic Spline, and Artificial Neural Network Methods. In Proceedings of the 2024 International Microwave and Antenna Symposium (IMAS), Marrakech, Morocco, 21–24 October 2024; IEEE: Piscataway, NJ, USA, 2024; pp. 1–4. [Google Scholar]
- Stillinger, T.; Roberts, D.A.; Collar, N.M.; Dozier, J. Cloud masking for Landsat 8 and MODIS Terra over snow-covered terrain: Error analysis and spectral similarity between snow and cloud. Water Resour. Res. 2019, 55, 6169–6184. [Google Scholar] [CrossRef] [PubMed]
- Wang, X.; Han, C.; Ouyang, Z.; Chen, S.; Guo, H.; Wang, J.; Hao, X. Cloud–Snow Confusion with MODIS Snow Products in Boreal Forest Regions. Remote Sens. 2022, 14, 1372. [Google Scholar] [CrossRef]
- Dozier, J. Spectral signature of alpine snow cover from the Landsat Thematic Mapper. Remote Sens. Environ. 1989, 28, 9–22. [Google Scholar] [CrossRef]
- Wang, X.; Chen, S.; Guo, H.; Xie, P.; Wang, J.; He, X. Cloud removal and optimal threshold selection of MODIS NDSI production. Natl. Remote Sens. Bull. 2024, 26, 2603–2615. [Google Scholar] [CrossRef]
- Notarnicola, C. Hotspots of snow cover changes in global mountain regions over 2000–2018. Remote Sens. Environ. 2020, 243, 111781. [Google Scholar] [CrossRef]
- Sadeqi, A.; Irannezhad, M.; Bahmani, S.; Jelodarlu, K.A.; Varandili, S.A.; Pham, Q.B. Long-Term Variability and Trends in Snow Depth and Cover Days Throughout Iranian Mountain Ranges. Water Resour. Res. 2024, 60, e2023WR035411. [Google Scholar] [CrossRef]
- Hamed, K.H.; Rao, A.R. A modified Mann-Kendall trend test for autocorrelated data. J. Hydrol. 1998, 204, 182–196. [Google Scholar] [CrossRef]
- Kendall, M.G. Rank Correlation Methods; Griffin: Tunbridge Wells, UK, 1948. [Google Scholar]
- Tang, Z.; Wang, X.; Wang, J.; Wang, X.; Li, H.; Jiang, Z. Spatiotemporal variation of snow cover in Tianshan Mountains, Central Asia, based on cloud-free MODIS fractional snow cover product, 2001–2015. Remote Sens. 2017, 9, 1045. [Google Scholar] [CrossRef]
- China Meteorological Administration. Climate Bulletin of China 2019. In China Meteorological Administration Reports; China Meteorological Administration: Beijing, China, 2020. [Google Scholar]
- Yu, X.; Ma, Y. Spatial and temporal analysis of extreme climate events over Northeast China. Atmosphere 2022, 13, 1197. [Google Scholar] [CrossRef]









| Snow Parameters | Definition |
|---|---|
| Snow-Covered Area (SCA) | The area covered by snow in the study domain. |
| Snow Cover Day (SCD) | The number of days a pixel is snow-covered (i.e., FSC > threshold) in a hydrological year. |
| First Snow Cover Day (FSD) | The first day of the initial 5-day consecutive snow cover period in a hydrological year for a pixel. |
| Last Snow Cover Day (LSD) | The last day of the final 5-day consecutive snow cover period in a hydrological year for a pixel. |
| PC Number | Eigenvalue () | Contribution Rate (%) | Accumulative Contribution Rate (%) |
|---|---|---|---|
| 1 | 2.51 | 36.43 | 36.43 |
| 2 | 1.95 | 30.32 | 66.76 |
| 3 | 0.95 | 15.00 | 81.76 |
| 4 | 0.43 | 11.24 | 92.99 |
| 5 | 0.11 | 6.17 | 99.17 |
| 6 | 0.04 | 0.83 | 100.00 |
| PC Number | PC1 | PC2 | PC3 | PC4 |
|---|---|---|---|---|
| Pspr | −0.48 | −0.12 | 0.23 | 0.78 |
| Tspr | 0.53 | 0.27 | −0.06 | 0.17 |
| Espr | −0.35 | 0.59 | −0.28 | 0.14 |
| Pwin | −0.45 | 0.08 | −0.55 | −0.54 |
| Twin | 0.39 | 0.23 | 0.75 | 0.22 |
| Ewin | −0.07 | 0.72 | 0.00 | −0.07 |
Disclaimer/Publisher’s Note: The statements, opinions and data contained in all publications are solely those of the individual author(s) and contributor(s) and not of MDPI and/or the editor(s). MDPI and/or the editor(s) disclaim responsibility for any injury to people or property resulting from any ideas, methods, instructions or products referred to in the content. |
© 2025 by the authors. Licensee MDPI, Basel, Switzerland. This article is an open access article distributed under the terms and conditions of the Creative Commons Attribution (CC BY) license (https://creativecommons.org/licenses/by/4.0/).
Share and Cite
Hua, X.; Bian, J.; Yin, G. Satellite-Based Assessment of Snow Dynamics and Climatic Drivers in the Changbai Mountain Region (2001–2022). Remote Sens. 2025, 17, 442. https://doi.org/10.3390/rs17030442
Hua X, Bian J, Yin G. Satellite-Based Assessment of Snow Dynamics and Climatic Drivers in the Changbai Mountain Region (2001–2022). Remote Sensing. 2025; 17(3):442. https://doi.org/10.3390/rs17030442
Chicago/Turabian StyleHua, Xiongkun, Jianmin Bian, and Gaohong Yin. 2025. "Satellite-Based Assessment of Snow Dynamics and Climatic Drivers in the Changbai Mountain Region (2001–2022)" Remote Sensing 17, no. 3: 442. https://doi.org/10.3390/rs17030442
APA StyleHua, X., Bian, J., & Yin, G. (2025). Satellite-Based Assessment of Snow Dynamics and Climatic Drivers in the Changbai Mountain Region (2001–2022). Remote Sensing, 17(3), 442. https://doi.org/10.3390/rs17030442

