A Hybrid Strategy Combining Maritime Physical Data to the OpenSARShip RCS Statistics for Fast and Effective Vessel Detection in SAR Imagery
Highlights
- The Hybrid Strategy achieved comparable detection performance to pure CFAR–GΓD (Recall = 86.6%) while reducing execution time by ~18×.
- Integration of OpenSARShip backscatter statistics with environmental parameters (Wave Age) improved detection robustness and enabled preliminary vessel-size inference.
- The Hybrid Strategy provides an efficient compromise between accuracy and computational cost, supporting scalable and near real-time vessel detection.
- The proposed thresholds allow autonomous monitoring of cooperative and non-cooperative vessels, strengthening maritime domain awareness.
Abstract
1. Introduction
2. Materials and Methods
2.1. Study Area
2.2. Remote Sensing and Radar Cross-Section Data
2.3. Methodology
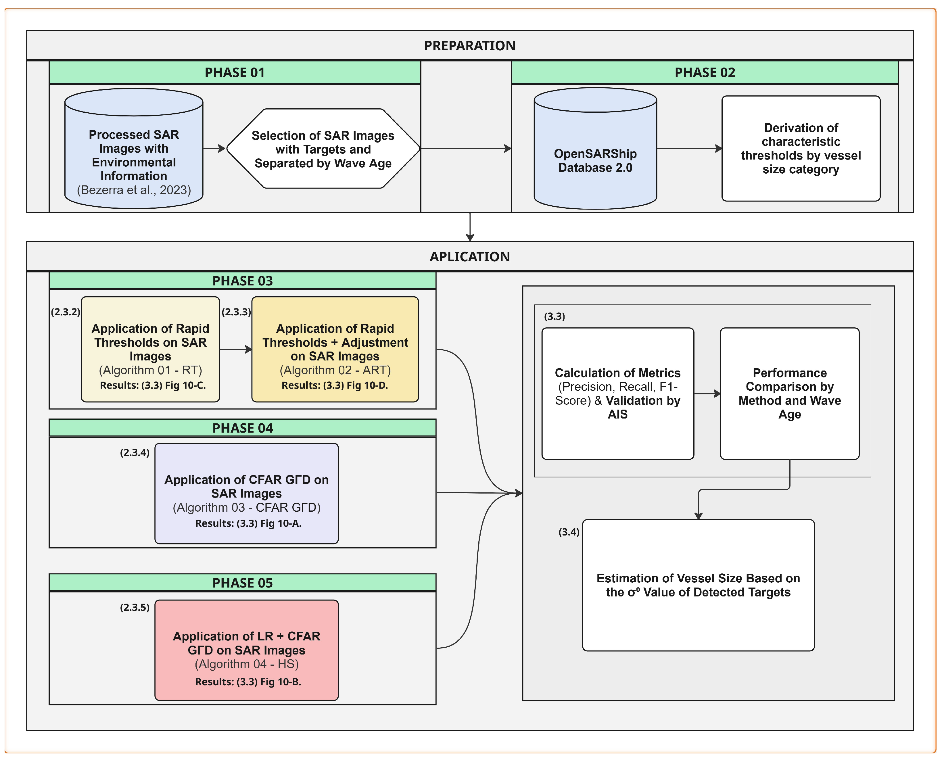
2.3.1. General Framework
2.3.2. Algorithm 1: Rapid Thresholding (RT)
2.3.3. Algorithm 2: Adjusted Rapid Thresholding (ART)
2.3.4. Algorithm 3: Generalized Gamma Distribution CFAR (CFAR-GD)
2.3.5. Algorithm 4: Hybrid Strategy (HS)
| Algorithm 1 Hybrid Strategy (HS)—Step-by-step pseudocode |
|
|
|
|
2.3.6. Validation
2.3.7. Nonlinear Fit Between and Vessel Length
3. Results
3.1. Characterization of SAR Subimages and Sea Clutter
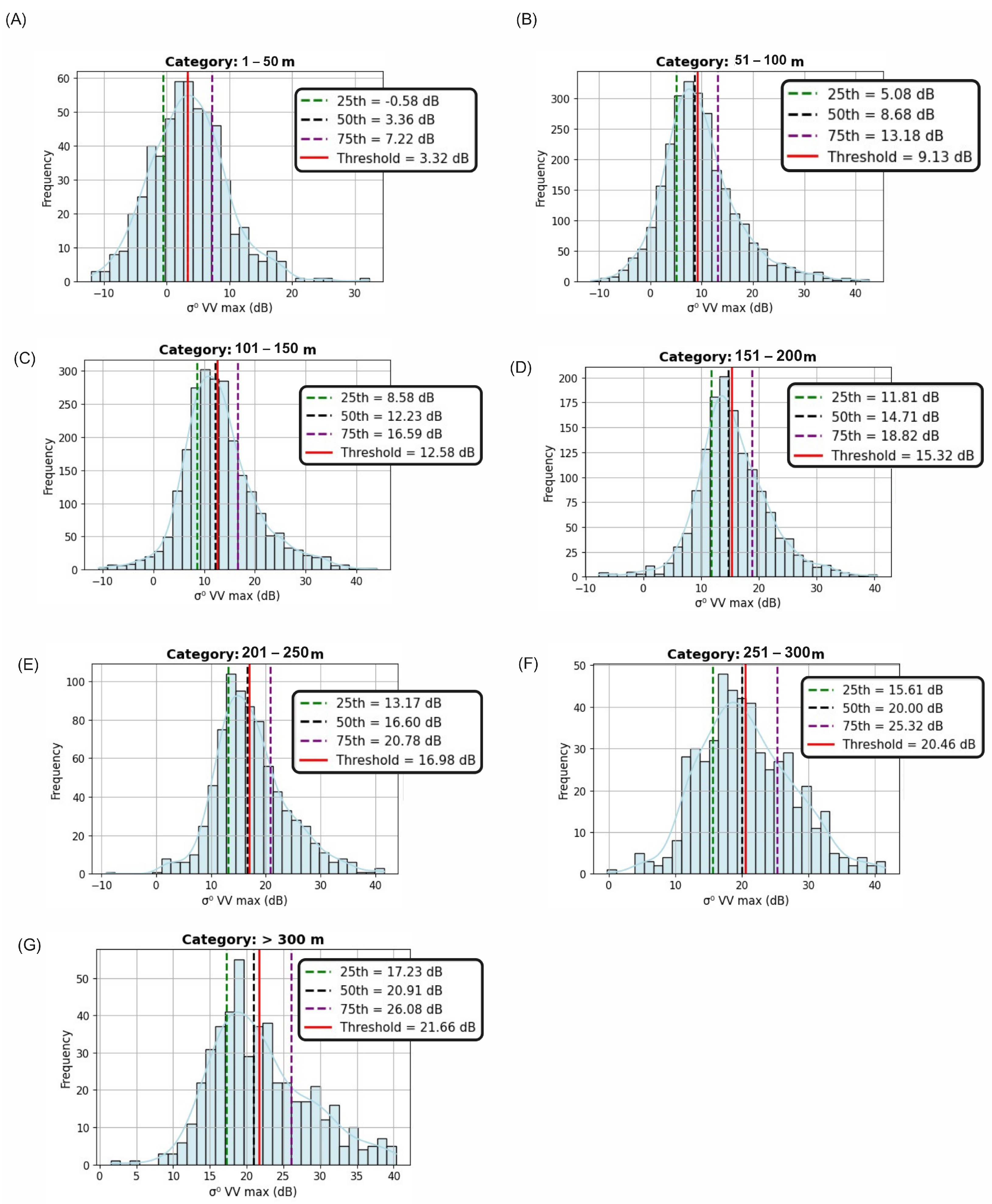
3.2. Statistical Analysis of Maximum Backscatter by Vessel Size
3.3. Overall Algorithm Performance
3.4. Estimation of Vessel Length from Clusters
4. Discussion
4.1. Comparison of Algorithms in the Context of the State of the Art
4.2. Application of Thresholds by Vessel Length Class
4.3. Contributions to the Advancement of SAR-Based Ship Detection
- Integration of physical and statistical data: The combination of statistics derived from OpenSARShip with environmental parameters (WA) improves algorithm performance without the need for complex models.
- Operational efficiency: The Hybrid Strategy emerges as a viable alternative for near real-time monitoring, with potential for deployment in operational platforms.
- Preliminary vessel size estimation: The proposed radiometric thresholds allow for the inference of the approximate size of vessels without exclusive reliance on AIS, providing a strategic advantage for non-cooperative monitoring.
- Transfer of the proposed thresholds to SAR sensors operating in different bands (X, L) and acquisition modes, supported by more robust and computationally efficient statistical estimators for the Gamma Distribution [7].
- Incorporation of additional environmental variables, such as wind speed, sea state, and incidence angle, for dynamic threshold adjustment, broadening adaptability to heterogeneous ocean conditions.
- GPU parallelization and optimized architectures for large-scale applications and near real-time monitoring, significantly reducing execution time.
5. Conclusions
Author Contributions
Funding
Data Availability Statement
Acknowledgments
Conflicts of Interest
References
- Hu, Y.; Li, Y.; Pan, Z. A Dual-Polarimetric SAR Ship Detection Dataset and a Memory-Augmented Autoencoder-Based Detection Method. Sensors 2021, 21, 8478. [Google Scholar] [CrossRef] [PubMed]
- Luo, C.; Zang, Y.; Guo, J.; Hu, Y.; Zhou, G.; You, H.; Ning, X. SAR-CDSS: A Semi-Supervised Cross-Domain Object Detection from Optical to SAR Domain. Remote Sens. 2024, 16, 940. [Google Scholar] [CrossRef]
- El-Darymli, K.; McGuire, P.; Power, D.; Moloney, C. Target Detection in Synthetic Aperture Radar Imagery: A State-of-the-Art Survey. J. Appl. Remote Sens. 2013, 7, 071598. [Google Scholar] [CrossRef]
- Bezerra, D.X.; Lorenzzetti, J.A.; Paes, R.L. Marine Environmental Impact on CFAR Ship Detection as Measured by Wave Age in SAR Images. Remote Sens. 2023, 15, 3441. [Google Scholar] [CrossRef]
- Hersbach, H.; Bell, B.; Berrisford, P.; Hirahara, S.; Horányi, A.; Muñoz-Sabater, J.; Nicolas, J.; Peubey, C.; Radu, R.; Schepers, D.; et al. ERA5 Glob. Reanalysis. Q. J. R. Meteorol. Soc. 2020, 146, 1999–2049. [Google Scholar] [CrossRef]
- Qin, X.; Zhou, S.; Zou, H.; Gao, G. A CFAR Detection Algorithm for Generalized Gamma Distributed Background in High-Resolution SAR Images. IEEE Geosci. Remote Sens. Lett. 2013, 10, 806–810. [Google Scholar] [CrossRef]
- Gao, G.; Ouyang, K.; Luo, Y.; Liang, S.; Zhou, S. Scheme of Parameter Estimation for Generalized Gamma Distribution and Its Application to Ship Detection in SAR Images. IEEE Trans. Geosci. Remote Sens. 2017, 55, 1812–1836. [Google Scholar] [CrossRef]
- Li, B.; Liu, B.; Huang, L.; Guo, W.; Zhang, Z.; Yu, W. OpenSARShip 2.0: A Large-Volume Dataset for Deeper Interpretation of Ship Targets in Sentinel-1 Imagery. In Proceedings of the IEEE 2017 SAR in Big Data Era: Models, Methods and Applications (BIGSARDATA), Beijing, China, 13–14 November 2017. [Google Scholar]
- Askari, F.; Zerr, B. An Automatic Approach to Ship Detection in Spaceborne Synthetic Aperture Radar Imagery: An Assessment of RADARSAT Ship Detection Capability. In SACLANT Undersea Research Centre Report; SR-338; SACLANT Undersea Research Centre: La Spezia, Italy, 2000. [Google Scholar]
- Nobre, P.; Lemos, A.T.; Giarolla, E.; Camayo, R.; Namikawa, L.; Kampel, M.; Rudorff, N.; Bezerra, D.X.; Lorenzzetti, J.; Gomes, J.; et al. The 2019 northeast Brazil oil spill: Scenarios. Ann. Braz. Acad. Sci. 2022, 94, e20210391. [Google Scholar] [CrossRef] [PubMed]
- Souza, J. Territorial sea, exclusive economic zone or continental shelf? Braz. J. Geophys. 1999, 17, 79–82. [Google Scholar] [CrossRef]
- European Space Agency (ESA). Sentinel-1 Observation Scenario. Available online: https://sentinels.copernicus.eu/copernicus/sentinel-1/acquisition-plans/observation-scenario-archive (accessed on 11 September 2025).
- Wei, D.; Du, Y.; Li, L. Target Detection Network for SAR Images Based on Semi-Supervised Learning and Attention Mechanism. Remote Sens. 2021, 13, 2686. [Google Scholar] [CrossRef]
- Hajduch, G.; Longépé, N.; Habonneau, J.; Le Bras, J.-Y. Progress in Automatic Ship Detection and Classification. In Proceedings of the SEASAR 2012, Tromsø, Norway, 18–22 June 2012. [Google Scholar]
- Crisp, D.J. The State-of-the-Art in Ship Detection in Synthetic Aperture Radar Imagery; Report DSTO-RR-0272; Defence Science and Technology Organisation: Canberra, Australia, 2004. [Google Scholar]
- Greidanus, H.; Alvarez, M.; Santamaria, C.; Thoorens, F.-X.; Kourti, N.; Argentieri, P. The SUMO Ship Detector Algorithm for Satellite Radar Images. Remote Sens. 2017, 9, 246. [Google Scholar] [CrossRef]
- Vespe, M.; Greidanus, H. SAR Image Quality Assessment and Indicators for Vessel and Oil Spill Detection. IEEE Trans. Geosci. Remote Sens. 2012, 50, 4726–4734. [Google Scholar] [CrossRef]
- Vachon, P.W.; Campbell, J.W.M.; Bjerkelund, C.A.; Dobson, F.W.; Rey, M.T. Ship Detection by the RADARSAT SAR: Validation of Detection Model Predictions. Can. J. Remote Sens. 1997, 23, 48–59. [Google Scholar] [CrossRef]
- Paes, R.L.; Lorenzzetti, J.A.; Gherardi, D.F.M. Detecção de Alvos na Superfície do Mar em Imagens SAR Orbitais: Verificação de Conceitos. In Proceedings of the XIV Simpósio Brasileiro de Sensoriamento Remoto, Natal, Brazil, 25–30 April 2009; pp. 6619–6626. [Google Scholar]
- Falqueto, L.E.; Paes, R.L.; Passaro, A. A Importância de Dados Polarimétricos para Detecção de Alvos Artificiais no Mar Utilizando Imagens SAR. Spectrum 2021, 22, 53–58. [Google Scholar] [CrossRef]
- Falqueto, L.E.; Paes, R.L.; Passaro, A. KNN e Rede Neural Convolucional para o Reconhecimento de Plataformas de Petróleo em Imagens SAR do Sentinel-1. Apl. Oper. Áreas Def. 2023, 24, 29–33. [Google Scholar]
- Huo, W.; Huang, Y.; Pei, J.; Zhang, Q.; Gu, Q.; Yang, J. Ship Detection from Ocean SAR Image Based on Local Contrast Variance Weighted Information Entropy. Sensors 2018, 18, 1196. [Google Scholar] [CrossRef] [PubMed]













| Category (m) | (dB) | Median (dB) | (dB) | IQR | Proposed Threshold (dB) | Number of Vessels |
|---|---|---|---|---|---|---|
| 1–50 | −0.58 | 3.36 | 7.22 | [–7.22] | 3 | 551 |
| 51–100 | 5.08 | 8.68 | 13.18 | [5.08–13.18] | 9 | 2610 |
| 101–150 | 8.58 | 12.23 | 16.59 | [8.58–16.59] | 13 | 2376 |
| 151–200 | 11.81 | 14.71 | 18.82 | [11.81–18.82] | 15 | 1417 |
| 201–250 | 13.17 | 16.60 | 20.78 | [13.17–20.78] | 17 | 780 |
| 251–300 | 15.61 | 20.00 | 25.32 | [15.61–25.32] | 20 | 508 |
| >300 | 17.23 | 20.91 | 26.08 | [17.23–26.08] | 22 | 478 |
| Algorithm | Detections | TP | FP | FN | Precision (%) | Recall (%) | F1-Score (%) | Avg. Time (s) |
|---|---|---|---|---|---|---|---|---|
| CFAR–GD | 315 | 235 | 135 | 34 | 63.5 | 87.4 | 73.55 | 148.1 |
| HS | 300 | 233 | 121 | 36 | 65.8 | 86.6 | 74.8 | 8.4 |
| RT | 260 | 142 | 90 | 127 | 61.2 | 52.8 | 56.7 | 0.34 |
| ART | 443 | 199 | 187 | 70 | 51.6 | 74.0 | 60.8 | 1.2 |
| Algorithm | FP | Subimages | FAR (Per Image) | Pixels (Per Image) | Resolution (m) | Area (km2) | Total Area (km2) | FAR (km2) |
|---|---|---|---|---|---|---|---|---|
| CFAR–GD | 135 | 145 | 0.93 | 444,889 | 30 | 400.4 | 58,058 | 0.0023 |
| HS | 121 | 145 | 0.83 | 444,889 | 30 | 400.4 | 58,058 | 0.0021 |
| RT | 90 | 120 | 0.75 | 444,889 | 30 | 400.4 | 48,048 | 0.0019 |
| ART | 187 | 132 | 1.42 | 444,889 | 30 | 400.4 | 52,852 | 0.0035 |
| Algorithm | Wave Age | Detections | TP | FP | FN |
|---|---|---|---|---|---|
| RT | YW | 76 | 21 | 48 | 19 |
| RT | MW | 168 | 115 | 34 | 107 |
| RT | S | 16 | 6 | 8 | 1 |
| ART | YW | 120 | 28 | 73 | 12 |
| ART | MW | 287 | 165 | 87 | 57 |
| ART | S | 36 | 6 | 27 | 1 |
| CFAR–GD | YW | 104 | 35 | 58 | 5 |
| CFAR–GD | MW | 171 | 193 | 44 | 29 |
| CFAR–GD | S | 40 | 7 | 33 | 0 |
| HS | YW | 92 | 34 | 47 | 6 |
| HS | MW | 170 | 192 | 43 | 30 |
| HS | S | 38 | 7 | 31 | 0 |
| Algorithm | WA | Precision (%) | Recall (%) | F1-Score (%) |
|---|---|---|---|---|
| RT | YW | 30.4 | 52.5 | 38.5 |
| RT | MW | 77.2 | 51.8 | 62.0 |
| RT | S | 42.9 | 85.7 | 57.1 |
| ART | YW | 27.7 | 70.0 | 39.7 |
| ART | MW | 65.5 | 74.3 | 69.6 |
| ART | S | 18.2 | 85.7 | 30.0 |
| CFAR–GD | YW | 37.6 | 87.5 | 52.6 |
| CFAR–GD | MW | 81.4 | 86.9 | 84.1 |
| CFAR–GD | S | 17.5 | 100.0 | 29.8 |
| HS | YW | 37.6 | 87.5 | 52.6 |
| HS | MW | 81.7 | 86.5 | 84.0 |
| HS | S | 18.4 | 100.0 | 31.1 |
Disclaimer/Publisher’s Note: The statements, opinions and data contained in all publications are solely those of the individual author(s) and contributor(s) and not of MDPI and/or the editor(s). MDPI and/or the editor(s) disclaim responsibility for any injury to people or property resulting from any ideas, methods, instructions or products referred to in the content. |
© 2025 by the authors. Licensee MDPI, Basel, Switzerland. This article is an open access article distributed under the terms and conditions of the Creative Commons Attribution (CC BY) license (https://creativecommons.org/licenses/by/4.0/).
Share and Cite
do Nascimento Filho, O.D.; Lorenzzetti, J.A.; Gherardi, D.F.M.; Bezerra, D.X.; Paes, R.L. A Hybrid Strategy Combining Maritime Physical Data to the OpenSARShip RCS Statistics for Fast and Effective Vessel Detection in SAR Imagery. Remote Sens. 2025, 17, 3891. https://doi.org/10.3390/rs17233891
do Nascimento Filho OD, Lorenzzetti JA, Gherardi DFM, Bezerra DX, Paes RL. A Hybrid Strategy Combining Maritime Physical Data to the OpenSARShip RCS Statistics for Fast and Effective Vessel Detection in SAR Imagery. Remote Sensing. 2025; 17(23):3891. https://doi.org/10.3390/rs17233891
Chicago/Turabian Styledo Nascimento Filho, Ocione Dias, João Antônio Lorenzzetti, Douglas Francisco Marcolino Gherardi, Diego Xavier Bezerra, and Rafael Lemos Paes. 2025. "A Hybrid Strategy Combining Maritime Physical Data to the OpenSARShip RCS Statistics for Fast and Effective Vessel Detection in SAR Imagery" Remote Sensing 17, no. 23: 3891. https://doi.org/10.3390/rs17233891
APA Styledo Nascimento Filho, O. D., Lorenzzetti, J. A., Gherardi, D. F. M., Bezerra, D. X., & Paes, R. L. (2025). A Hybrid Strategy Combining Maritime Physical Data to the OpenSARShip RCS Statistics for Fast and Effective Vessel Detection in SAR Imagery. Remote Sensing, 17(23), 3891. https://doi.org/10.3390/rs17233891

