Comparative Analysis of Tropospheric Correction Methods for Ground Deformation Monitoring over Mining Area with DS-InSAR
Highlights
- The performances and effectiveness of the commonly used InSAR tropospheric delay correction methods over mining areas have been compared.
- An improved common scene stacking (CSS) InSAR tropospheric delay correction method has been proposed.
- Offer guidance for the selection of the appropriate InSAR tropospheric delay correction methods over mining areas.
- The proposed improved CSS is well-suited for scenarios requiring fast and efficient tropospheric delay corrections.
Abstract
1. Introduction
2. Materials and Methods
2.1. Study Area and Data
2.1.1. Overview of the Mining Area
2.1.2. InSAR and Numerical Weather Models Data
2.2. Methods
2.2.1. DS-InSAR
2.2.2. Multi-Model Adaptive Weighted Fusion
2.2.3. Common Scene Stacking
3. Results
3.1. Comparision of Interferograms
3.2. Results of Deformation Mornitoring and Comparison with In Situ Measurements
3.2.1. Comparison with In Situ Measurements over the Mining Area
3.2.2. Comparison with In Situ Measurements over the Tailings Dam
4. Discussion
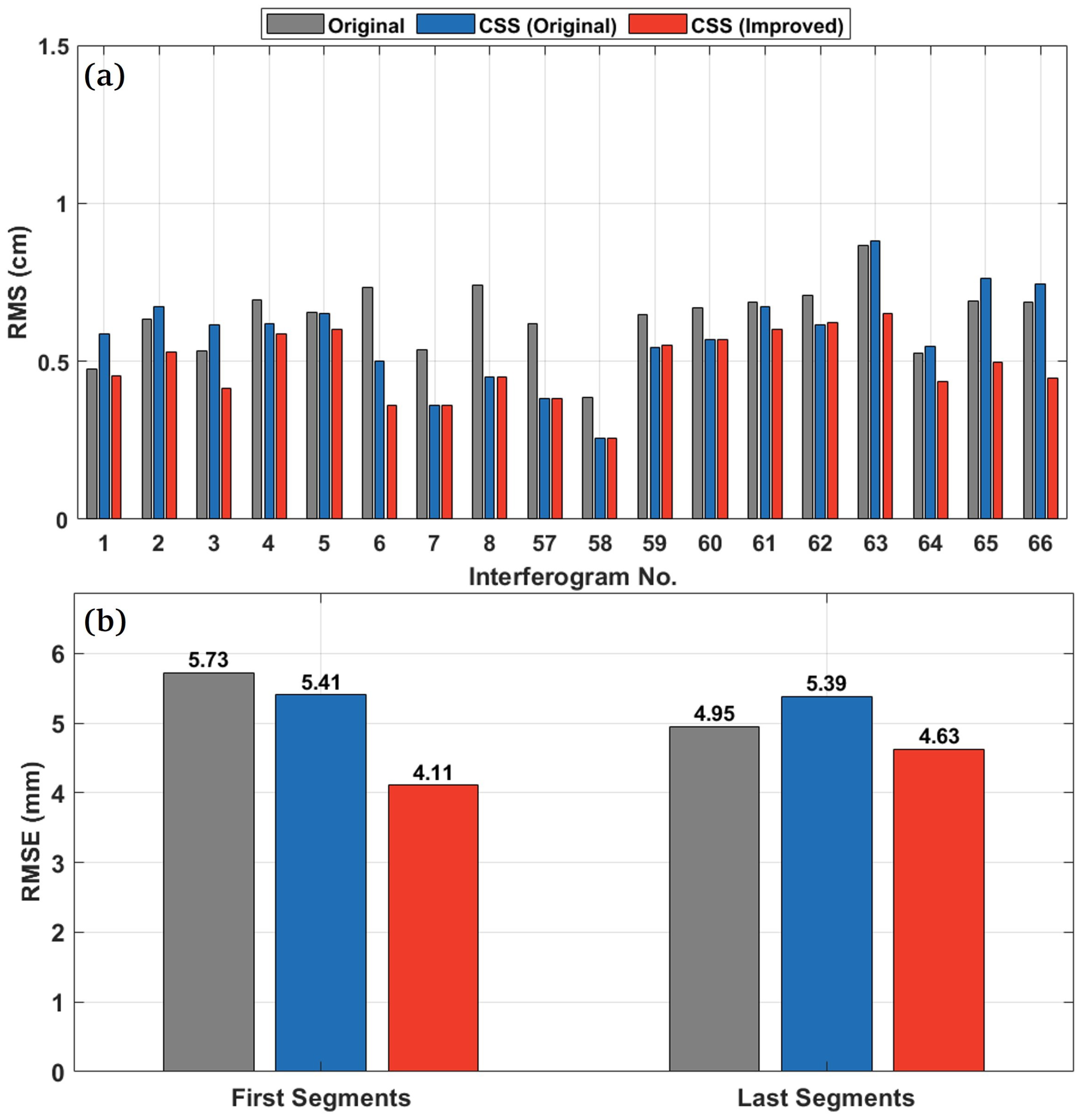
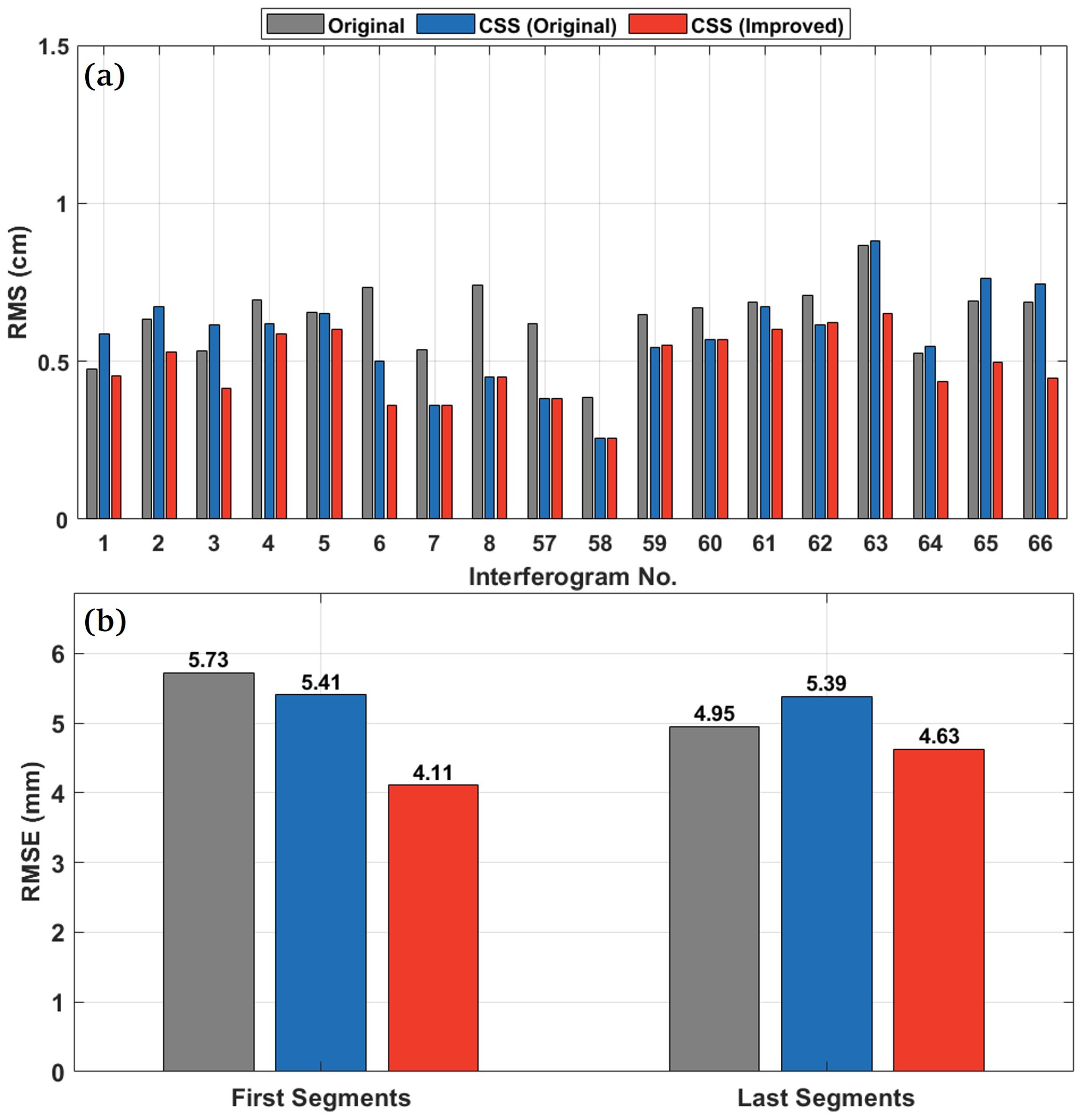
4.1. Comparison of Original and Improved CSS
4.2. Deformation Analysis
4.2.1. Deformation Analysis over the Mining Area
4.2.2. Deformation Analysis over the Tailings Dam
5. Conlusions
Author Contributions
Funding
Data Availability Statement
Acknowledgments
Conflicts of Interest
References
- Ji, Y.; Zhang, X.; Li, T.; Fan, H.; Xu, Y.; Li, P.; Tian, Z. Mining Deformation Monitoring Based on Lutan-1 Monostatic and Bistatic Data. Remote Sens. 2023, 15, 5668. [Google Scholar] [CrossRef]
- Jiang, L.; Lin, H.; Ma, J.; Kong, B.; Wang, Y. Potential of small-baseline SAR interferometry for monitoring land subsidence related to underground coal fires: Wuda (Northern China) case study. Remote Sens. Environ. 2011, 115, 257–268. [Google Scholar] [CrossRef]
- Li, Y.; Yang, K.; Zhang, J.; Hou, Z.; Wang, S.; Ding, X. Research on time series InSAR monitoring method for multiple types of surface deformation in mining area. Nat. Hazards 2022, 114, 2479–2508. [Google Scholar] [CrossRef]
- Tang, W.; Motagh, M.; Zhan, W. Monitoring active open-pit mine stability in the Rhenish coalfields of Germany using a coherence-based SBAS method. Int. J. Appl. Earth Obs. Geoinf. 2020, 93, 102217. [Google Scholar] [CrossRef]
- Pavez, A.; Remy, D.; Bonvalot, S.; Diament, M.; Gabalda, G.; Froger, J.L.; Julien, P.; Legrand, D.; Moisset, D. Insight into ground deformations at Lascar volcano (Chile) from SAR interferometry, photogrammetry and GPS data: Implications on volcano dynamics and future space monitoring. Remote Sens. Environ. 2006, 100, 307–320. [Google Scholar] [CrossRef]
- Pritchard, M.; Simons, M. A satellite geodetic survey of large-scale deformation of volcanic centres in the central Andes. Nature 2002, 418, 167–171. [Google Scholar] [CrossRef] [PubMed]
- Dong, J.; Zhang, L.; Tang, M.; Liao, M.; Xu, Q.; Gong, J.; Ao, M. Mapping landslide surface displacements with time series SAR interferometry by combining persistent and distributed scatterers: A case study of Jiaju landslide in Danba, China. Remote Sens. Environ. 2018, 205, 180–198. [Google Scholar] [CrossRef]
- Zhao, F.; Mallorqui, J.J.; Iglesias, R.; Gili, J.A.; Corominas, J. Landslide Monitoring Using Multi-Temporal SAR Interferometry with Advanced Persistent Scatterers Identification Methods and Super High-Spatial Resolution TerraSAR-X Images. Remote Sens. 2018, 10, 921. [Google Scholar] [CrossRef]
- Wang, S.; Lu, Z.; Wang, B.; Niu, Y.; Song, C.; Li, X.; Ma, Z.; Xu, C. A Phase-Based InSAR Tropospheric Correction Method for Interseismic Deformation Based on Short-Period Interferograms. IEEE Trans. Geosci. Remote Sens. 2023, 61, 5212318. [Google Scholar] [CrossRef]
- Wang, Z.; Zhang, R.; Wang, X.; Liu, G. Retrieving Three-Dimensional Co-Seismic Deformation of the 2017 Mw7.3 Iraq Earthquake by Multi-Sensor SAR Images. Remote Sens. 2018, 10, 857. [Google Scholar] [CrossRef]
- Zhao, F.; Mallorqui, J.J. A Temporal Phase Coherence Estimation Algorithm and Its Application on DInSAR Pixel Selection. IEEE Trans. Geosci. Remote Sens. 2019, 57, 8350–8361. [Google Scholar] [CrossRef]
- Zhao, Z.; Wu, Z.; Zheng, Y.; Ma, P. Recurrent neural networks for atmospheric noise removal from InSAR time series with missing values. ISPRS J. Photogramm. Remote Sens. 2021, 180, 227–237. [Google Scholar] [CrossRef]
- Hu, Y.; Harrison, S.; Liu, L.; Wood, J.L. Modelling rock glacier ice content based on InSAR-derived velocity, Khumbu and Lhotse valleys, Nepal. Cryosphere 2023, 17, 2305–2321. [Google Scholar] [CrossRef]
- Ferretti, A.; Prati, C.; Rocca, F. Permanent scatterers in SAR interferometry. IEEE Trans. Geosci. Remote Sens. 2001, 39, 8–20. [Google Scholar] [CrossRef]
- Hooper, A.; Zebker, H.; Segall, P.; Kampes, B. A new method for measuring deformation on volcanoes and other natural terrains using InSAR persistent scatterers. Geophys. Res. Lett. 2004, 31, L23611. [Google Scholar] [CrossRef]
- Kampes, B.; Adam, N.A. The STUN algorithm for persistent scatterer interferometry. In Proceedings of the FRINGE 2005, Frascati, Italy, 28 November–2 December 2005. [Google Scholar]
- Berardino, P.; Fornaro, G.; Lanari, R.; Sansosti, E. A new algorithm for surface deformation monitoring based on small baseline differential SAR interferograms. IEEE Trans. Geosci. Remote Sens. 2002, 40, 2375–2383. [Google Scholar] [CrossRef]
- Bateson, L.; Cigna, F.; Boon, D.; Sowter, A. The application of the Intermittent SBAS (ISBAS) InSAR method to the South Wales Coalfield, UK. Int. J. Appl. Earth Obs. Geoinf. 2015, 34, 249–257. [Google Scholar] [CrossRef]
- Ferretti, A.; Fumagalli, A.; Novali, F.; Prati, C.; Rocca, F.; Rucci, A. A New Algorithm for Processing Interferometric Data-Stacks: SqueeSAR. IEEE Trans. Geosci. Remote Sens. 2011, 49, 3460–3470. [Google Scholar] [CrossRef]
- Ma, Z.F.; Wei, S.J.; Aoki, Y.; Liu, J.H.; Huang, T. A New Spatiotemporal InSAR Tropospheric Noise Filtering: An Interseismic Case Study Over Central San Andreas Fault. IEEE Trans. Geosci. Remote Sens. 2022, 60, 5235016. [Google Scholar] [CrossRef]
- Albergel, C.; Dutra, E.; Munier, S.; Calvet, J.C.; Munoz-Sabater, J.; de Rosnay, P.; Balsamo, G. ERA-5 and ERA-Interim driven ISBA land surface model simulations: Which one performs better? Hydrol. Earth Syst. Sci. 2018, 22, 3515–3532. [Google Scholar] [CrossRef]
- Jolivet, R.; Agram, P.S.; Lin, N.Y.; Simons, M.; Doin, M.P.; Peltzer, G.; Li, Z. Improving InSAR geodesy using Global Atmospheric Models. J. Geophys. Res. Solid Earth 2014, 119, 2324–2341. [Google Scholar] [CrossRef]
- Xiao, R.; Yu, C.; Li, Z.; Jiang, M.; He, X. InSAR stacking with atmospheric correction for rapid geohazard detection: Applications to ground subsidence and landslides in China. Int. J. Appl. Earth Obs. Geoinf. 2022, 115, 103082. [Google Scholar] [CrossRef]
- Yu, C.; Li, Z.; Penna, N.T. Interferometric synthetic aperture radar atmospheric correction using a GPS-based iterative tropospheric decomposition model. Remote Sens. Environ. 2018, 204, 109–121. [Google Scholar] [CrossRef]
- Li, Z.; Muller, J.P.; Cross, P.; Fielding, E.J. Interferometric synthetic aperture radar (InSAR) atmospheric correction: GPS, Moderate Resolution Imaging Spectroradiometer (MODIS), and InSAR integration. J. Geophys. Res. Solid Earth 2005, 110, B03410. [Google Scholar] [CrossRef]
- Sandwell, D.T.; Price, E.J. Phase gradient approach to stacking interferograms. J. Geophys. Res. Solid Earth 1998, 103, 30183–30204. [Google Scholar] [CrossRef]
- Hooper, A.; Segall, P.; Zebker, H. Persistent scatterer interferometric synthetic aperture radar for crustal deformation analysis, with application to Volcán Alcedo, Galápagos. J. Geophys. Res. Solid Earth 2007, 112, B07407. [Google Scholar] [CrossRef]
- Chaabane, F.; Avallone, A.; Tupin, F.; Briole, P.; Maitre, H. A Multitemporal Method for Correction of Tropospheric Effects in Differential SAR Interferometry: Application to the Gulf of Corinth Earthquake. IEEE Trans. Geosci. Remote Sens. 2007, 45, 1605–1615. [Google Scholar] [CrossRef]
- Dong, J.; Zhang, L.; Liao, M.; Gong, J. Improved correction of seasonal tropospheric delay in InSAR observations for landslide deformation monitoring. Remote Sens. Environ. 2019, 233, 111370. [Google Scholar] [CrossRef]
- Murray, K.D.; Lohman, R.B.; Bekaert, D.P.S. Cluster-Based Empirical Tropospheric Corrections Applied to InSAR Time Series Analysis. IEEE Trans. Geosci. Remote Sens. 2021, 59, 2204–2212. [Google Scholar] [CrossRef]
- Bekaert, D.P.S.; Hooper, A.; Wright, T.J. A spatially variable power law tropospheric correction technique for InSAR data. J. Geophys.-Res.-Solid Earth 2015, 120, 1345–1356. [Google Scholar] [CrossRef]
- Tymofyeyeva, E.; Fialko, Y. Mitigation of atmospheric phase delays in InSAR data, with application to the eastern California shear zone. J. Geophys.-Res.-Solid Earth 2015, 120, 5952–5963. [Google Scholar] [CrossRef]
- Jiang, M.; Ding, X.; Hanssen, R.F.; Malhotra, R.; Chang, L. Fast Statistically Homogeneous Pixel Selection for Covariance Matrix Estimation for Multitemporal InSAR. IEEE Trans. Geosci. Remote Sens. 2015, 53, 1213–1224. [Google Scholar] [CrossRef]
- Peng, K.; Zhao, F.; Wang, Y.; Yan, S.; Feng, H. DS-InSAR phase optimization based on singular value decomposition. J. Remote Sens. 2023, 27, 533–542. [Google Scholar]
- Zhang, L.; Dong, J.; Zhang, L.; Wang, Y.; Tang, W.; Liao, M. Adaptive Fusion of Multi-Source Tropospheric Delay Estimates for InSAR Deformation Measurements. Front. Environ. Sci. 2022, 10, 859363. [Google Scholar] [CrossRef]
- Yu, C.; Li, Z.; Penna, N.T.; Crippa, P. Generic Atmospheric Correction Model for Interferometric Synthetic Aperture Radar Observations. J. Geophys. Res. Solid Earth 2018, 123, 9202–9222. [Google Scholar] [CrossRef]
- Hersbach, H.; Dee, D. ERA5 reanalysis is in production. ECMWF Newsl. 2016, 147, 5–6. [Google Scholar]



















| Datasets | Time Resolution | Spatial Resolution | Number of Vertical Layers |
|---|---|---|---|
| GACOS | 6 h | ∼16 km | 137 levels |
| ERA5 | 1 h | ∼32 km | 137 levels |
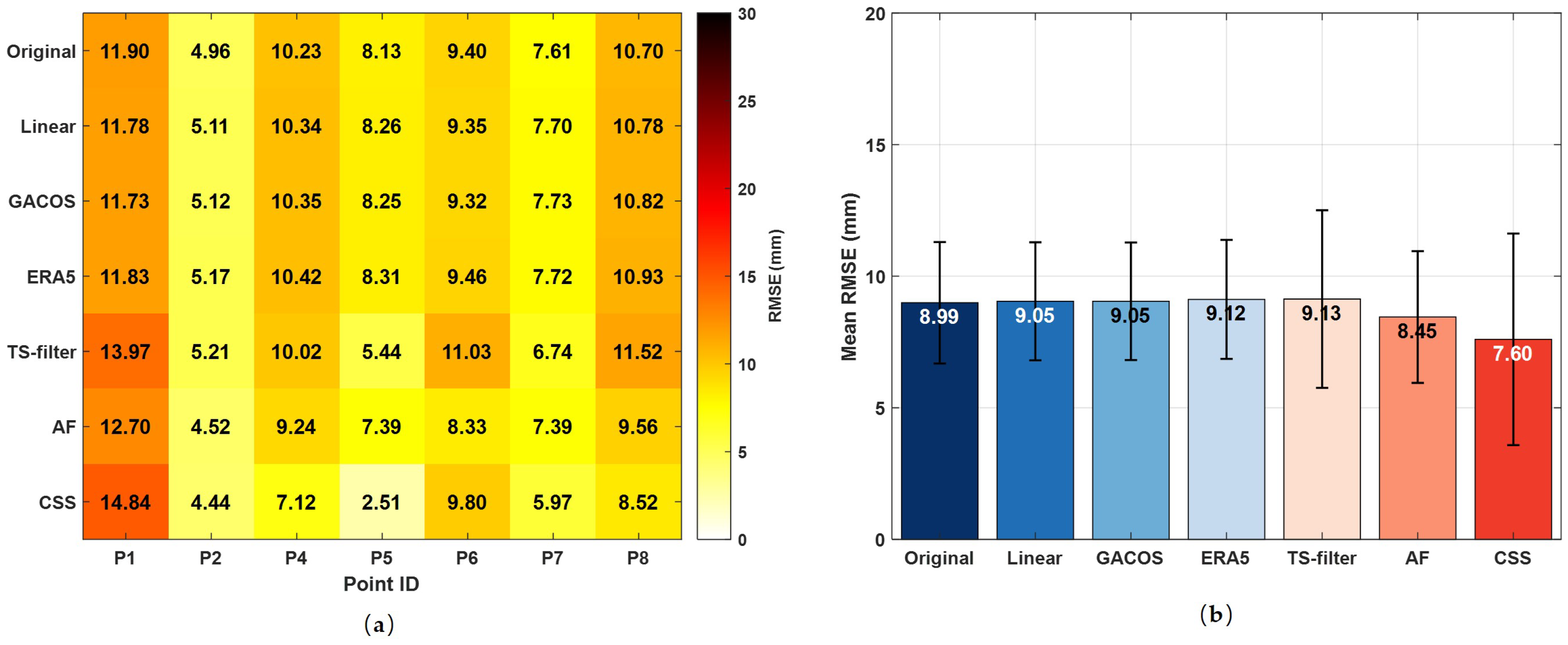
| Methods | Ave. RMS (cm) | RMS Reduction (%) |
|---|---|---|
| Original | 0.56 | – |
| Linear | 0.56 | −0.06 |
| GACOS | 0.57 | −1.24 |
| ERA5 | 0.55 | 0.51 |
| Spatio-temporal filter | 0.46 | 14.17 |
| Adaptive fusion | 0.44 | 17.11 |
| CSS | 0.37 | 32.22 |
Disclaimer/Publisher’s Note: The statements, opinions and data contained in all publications are solely those of the individual author(s) and contributor(s) and not of MDPI and/or the editor(s). MDPI and/or the editor(s) disclaim responsibility for any injury to people or property resulting from any ideas, methods, instructions or products referred to in the content. |
© 2025 by the authors. Licensee MDPI, Basel, Switzerland. This article is an open access article distributed under the terms and conditions of the Creative Commons Attribution (CC BY) license (https://creativecommons.org/licenses/by/4.0/).
Share and Cite
Meng, Y.; Zhao, F.; Wang, Y.; Li, L.; Hu, B.; Xu, X.; Wang, R.; Wei, Y.; Huang, K.; Chen, N.; et al. Comparative Analysis of Tropospheric Correction Methods for Ground Deformation Monitoring over Mining Area with DS-InSAR. Remote Sens. 2025, 17, 3811. https://doi.org/10.3390/rs17233811
Meng Y, Zhao F, Wang Y, Li L, Hu B, Xu X, Wang R, Wei Y, Huang K, Chen N, et al. Comparative Analysis of Tropospheric Correction Methods for Ground Deformation Monitoring over Mining Area with DS-InSAR. Remote Sensing. 2025; 17(23):3811. https://doi.org/10.3390/rs17233811
Chicago/Turabian StyleMeng, Yajie, Feng Zhao, Yunjia Wang, Liyong Li, Bujun Hu, Xianlong Xu, Rui Wang, Yifei Wei, Kesheng Huang, Ning Chen, and et al. 2025. "Comparative Analysis of Tropospheric Correction Methods for Ground Deformation Monitoring over Mining Area with DS-InSAR" Remote Sensing 17, no. 23: 3811. https://doi.org/10.3390/rs17233811
APA StyleMeng, Y., Zhao, F., Wang, Y., Li, L., Hu, B., Xu, X., Wang, R., Wei, Y., Huang, K., Chen, N., Bu, S., & Zhu, L. (2025). Comparative Analysis of Tropospheric Correction Methods for Ground Deformation Monitoring over Mining Area with DS-InSAR. Remote Sensing, 17(23), 3811. https://doi.org/10.3390/rs17233811

