Validation of the MODIS Clumping Index: A Case Study in Saihanba National Forest Park
Highlights
- A novel multi-scale validation (field, UAV, Landsat) demonstrates that MODIS CI products show good agreement with reference data (R = 0.75, RMSE = 0.05) in a temperate forest. Direct “point-to-pixel” comparisons are highly susceptible to subpixel heterogeneity.
- Semivariogram analysis of the high-resolution CI map reveals that a ~209 m observational footprint is required for a spatially representative sample, critically informing future validation design for coarse-resolution products.
- The study provides a robust framework that enables diagnosis of error sources, distinguishing between uncertainties from satellite retrieval (e.g., land cover misclassification causing errors up to 0.33) and those introduced by the validation process itself (e.g., upscaling method choice).
- Findings confirm the operational utility of MODIS CI while underscoring the necessity for international cooperative campaigns to obtain representative field data and further research on scaling methods for extensive global validation.
Abstract
1. Introduction
2. Data
2.1. Field Data
2.1.1. Study Area
2.1.2. TRAC Measurements
2.2. UAV Data
2.3. MODIS Data
2.4. FROM-GLC Data
2.5. Landsat 8 OLI Data
3. Methods
3.1. CI Retrieval Algorithm
3.2. Producing 30 m Resolution Data
3.2.1. Random Forest Classification
3.2.2. Empirical Transfer Functions
3.2.3. IDW Interpolation
3.3. Field CI Upscaling Strategies
3.4. Subpixel Variation Analysis
4. Results
4.1. Analysis of the MODIS CI and Its Uncertainty
4.1.1. 500 m Resolution LC Data

4.1.2. Quality of the BRDF Data
4.2. Validation of the MODIS CI Products
4.2.1. MODIS CIs vs. UAV CIs
4.2.2. MODIS CIs vs. TRAC CIs
4.3. Analysis of Subpixel CI Variations
4.3.1. Analysis Based on the TRAC CIs
4.3.2. Analysis Based on the 30 m CI Map
5. Discussion
6. Conclusions
Author Contributions
Funding
Data Availability Statement
Acknowledgments
Conflicts of Interest
Appendix A
| Num. | Longitude | Latitude | LC | CI | Date |
|---|---|---|---|---|---|
| 1 | 117.3170 | 42.4089 | DNF | 0.43 | 12 June 2018 |
| 2 | 117.3170 | 42.4095 | DNF | 0.48 | 12 June 2018 |
| 3 | 117.3170 | 42.4098 | DNF | 0.46 | 12 June 2018 |
| 4 | 117.3167 | 42.4101 | DNF | 0.44 | 12 June 2018 |
| 5 | 117.3162 | 42.4103 | DNF | 0.53 | 12 June 2018 |
| 6 | 117.3124 | 42.4124 | DNF | 0.59 | 13 June 2018 |
| 7 | 117.3124 | 42.4114 | DNF | 0.54 | 13 June 2018 |
| 8 | 117.3130 | 42.4108 | DNF | 0.55 | 13 June 2018 |
| 9 | 117.3142 | 42.4112 | DNF | 0.66 | 13 June 2018 |
| 10 | 117.3141 | 42.4104 | DNF | 0.47 | 13 June 2018 |
| 11 | 117.3130 | 42.4103 | DNF | 0.53 | 13 June 2018 |
| 12 | 117.3119 | 42.4103 | DNF | 0.60 | 13 June 2018 |
| 13 | 117.3112 | 42.4097 | DNF | 0.55 | 13 June 2018 |
| 14 | 117.3118 | 42.4111 | DNF | 0.68 | 13 June 2018 |
| 15 | 117.3150 | 42.4106 | DNF | 0.59 | 13 June 2018 |
| 16 | 117.3148 | 42.4115 | DNF | 0.60 | 13 June 2018 |
| 17 | 117.3149 | 42.4124 | DNF | 0.46 | 13 June 2018 |
| 18 | 117.3155 | 42.4129 | DNF | 0.55 | 13 June 2018 |
| 19 | 117.3145 | 42.4131 | DNF | 0.58 | 13 June 2018 |
| 20 | 117.3128 | 42.4123 | DNF | 0.65 | 13 June 2018 |
| 21 | 117.3129 | 42.4096 | DNF | 0.55 | 14 June 2018 |
| 22 | 117.3135 | 42.4094 | DNF | 0.60 | 14 June 2018 |
| 23 | 117.3143 | 42.4093 | DNF | 0.57 | 14 June 2018 |
| 24 | 117.3201 | 42.4125 | DNF | 0.60 | 14 June 2018 |
| 25 | 117.3193 | 42.4123 | DNF | 0.59 | 14 June 2018 |
| 26 | 117.3187 | 42.4125 | DNF | 0.59 | 14 June 2018 |
| 27 | 117.3188 | 42.4117 | DNF | 0.59 | 14 June 2018 |
| 28 | 117.3175 | 42.4113 | DNF | 0.59 | 14 June 2018 |
| 29 | 117.3167 | 42.4120 | DNF | 0.61 | 14 June 2018 |
| 30 | 117.3161 | 42.4126 | DNF | 0.56 | 14 June 2018 |
| 31 | 117.3161 | 42.4114 | DNF | 0.59 | 14 June 2018 |
| 32 | 117.3175 | 42.4109 | DNF | 0.54 | 14 June 2018 |
| 33 | 117.3182 | 42.4106 | DNF | 0.51 | 14 June 2018 |
| 34 | 117.3183 | 42.4100 | DNF | 0.51 | 14 June 2018 |
| 35 | 117.3191 | 42.4096 | DNF | 0.48 | 14 June 2018 |
| 36 | 117.3187 | 42.4091 | DNF | 0.57 | 14 June 2018 |
| 37 | 117.3194 | 42.4096 | DNF | 0.58 | 14 June 2018 |
| 38 | 117.3194 | 42.4104 | DNF | 0.58 | 14 June 2018 |
| 39 | 117.3189 | 42.4106 | DNF | 0.61 | 14 June 2018 |
| 40 | 117.3189 | 42.4114 | DNF | 0.61 | 14 June 2018 |
| 41 | 117.3203 | 42.4129 | DNF | 0.61 | 14 June 2018 |
| 42 | 117.3211 | 42.4128 | DNF | 0.63 | 14 June 2018 |
| 43 | 117.3217 | 42.4123 | DNF | 0.55 | 14 June 2018 |
| 44 | 117.3226 | 42.4121 | DNF | 0.45 | 14 June 2018 |
| 45 | 117.3214 | 42.4115 | DNF | 0.46 | 14 June 2018 |
| 46 | 117.3207 | 42.4117 | DNF | 0.72 | 14 June 2018 |
| 47 | 117.3205 | 42.4112 | DNF | 0.50 | 14 June 2018 |
| 48 | 117.3210 | 42.4108 | DNF | 0.50 | 14 June 2018 |
| 49 | 117.3213 | 42.4104 | DNF | 0.47 | 14 June 2018 |
| 50 | 117.3204 | 42.4100 | DNF | 0.48 | 14 June 2018 |
| 51 | 117.3205 | 42.4104 | DNF | 0.58 | 14 June 2018 |
| 52 | 117.3207 | 42.4087 | DNF | 0.60 | 14 June 2018 |
| 53 | 117.3207 | 42.4085 | DNF | 0.33 | 14 June 2018 |
| 54 | 117.3220 | 42.4099 | DNF | 0.63 | 14 June 2018 |
| 55 | 117.3218 | 42.4105 | DBF | 0.90 | 14 June 2018 |
| 56 | 117.3223 | 42.4111 | DNF | 0.59 | 14 June 2018 |
| 57 | 117.3227 | 42.4115 | DNF | 0.58 | 14 June 2018 |
| 58 | 117.3236 | 42.4110 | DNF | 0.63 | 14 June 2018 |
| 59 | 117.3238 | 42.4113 | MF | 0.79 | 14 June 2018 |
| 60 | 117.3189 | 42.4044 | DNF | 0.54 | 24 August 2018 |
| 61 | 117.3192 | 42.4050 | DNF | 0.48 | 24 August 2018 |
| 62 | 117.3197 | 42.4047 | DNF | 0.52 | 24 August 2018 |
| 63 | 117.3178 | 42.4044 | DNF | 0.55 | 24 August 2018 |
| 64 | 117.3175 | 42.4044 | DNF | 0.58 | 24 August 2018 |
| 65 | 117.3167 | 42.4044 | DNF | 0.62 | 24 August 2018 |
| 66 | 117.3161 | 42.4044 | DNF | 0.58 | 24 August 2018 |
| 67 | 117.3150 | 42.4044 | DNF | 0.54 | 24 August 2018 |
| 68 | 117.3156 | 42.4050 | DNF | 0.59 | 24 August 2018 |
| 69 | 117.3167 | 42.4056 | DNF | 0.60 | 24 August 2018 |
| 70 | 117.3179 | 42.4061 | DNF | 0.55 | 24 August 2018 |
| 71 | 117.3178 | 42.4050 | DNF | 0.60 | 24 August 2018 |
| 72 | 117.3191 | 42.4052 | DNF | 0.66 | 24 August 2018 |
| 73 | 117.3203 | 42.4050 | DNF | 0.57 | 24 August 2018 |
| 74 | 117.3208 | 42.4056 | DBF | 0.93 | 24 August 2018 |
| 75 | 117.3208 | 42.4061 | DNF | 0.58 | 24 August 2018 |
| 76 | 117.3206 | 42.4064 | DNF | 0.57 | 24 August 2018 |
| 77 | 117.3181 | 42.4056 | DNF | 0.60 | 24 August 2018 |
| 78 | 117.3175 | 42.4056 | DNF | 0.60 | 24 August 2018 |
| 79 | 117.3169 | 42.4064 | DNF | 0.60 | 24 August 2018 |
| 80 | 117.3169 | 42.4069 | DNF | 0.58 | 24 August 2018 |
| 81 | 117.3183 | 42.4069 | DNF | 0.51 | 24 August 2018 |
| 82 | 117.3186 | 42.4067 | DNF | 0.50 | 24 August 2018 |
| 83 | 117.3194 | 42.4067 | DNF | 0.53 | 24 August 2018 |
| 84 | 117.3197 | 42.4058 | DNF | 0.63 | 24 August 2018 |
| 85 | 117.3211 | 42.4064 | DNF | 0.58 | 24 August 2018 |
| 86 | 117.3211 | 42.4069 | DNF | 0.58 | 24 August 2018 |
| 87 | 117.3208 | 42.4075 | DNF | 0.57 | 24 August 2018 |
| 88 | 117.3217 | 42.4072 | DNF | 0.58 | 24 August 2018 |
| 89 | 117.3208 | 42.4078 | DNF | 0.60 | 24 August 2018 |
| 90 | 117.3194 | 42.4078 | DNF | 0.55 | 24 August 2018 |
| 91 | 117.3186 | 42.4081 | DNF | 0.61 | 24 August 2018 |
| 92 | 117.3183 | 42.4081 | DNF | 0.56 | 24 August 2018 |
| 93 | 117.3175 | 42.4083 | DNF | 0.53 | 24 August 2018 |
| 94 | 117.3164 | 42.4078 | DNF | 0.54 | 24 August 2018 |
| 95 | 117.3156 | 42.4075 | DNF | 0.53 | 24 August 2018 |
| 96 | 117.3164 | 42.4072 | DNF | 0.57 | 24 August 2018 |
| 97 | 117.3175 | 42.4072 | DNF | 0.60 | 24 August 2018 |
| 98 | 117.3192 | 42.4075 | DNF | 0.55 | 24 August 2018 |
| 99 | 117.3186 | 42.4089 | DNF | 0.54 | 24 August 2018 |
| 100 | 117.3194 | 42.4086 | DNF | 0.45 | 25 August 2018 |
| 101 | 117.3203 | 42.4092 | DNF | 0.63 | 25 August 2018 |
| 102 | 117.3206 | 42.4094 | DBF | 0.77 | 25 August 2018 |
| 103 | 117.3214 | 42.4089 | DNF | 0.56 | 25 August 2018 |
| 104 | 117.3222 | 42.4097 | DNF | 0.60 | 25 August 2018 |
| 105 | 117.3228 | 42.4097 | DBF | 0.82 | 25 August 2018 |
| 106 | 117.3236 | 42.4094 | DBF | 0.84 | 25 August 2018 |
| 107 | 117.3250 | 42.4094 | DBF | 0.86 | 25 August 2018 |
| 108 | 117.3253 | 42.4094 | DBF | 0.87 | 25 August 2018 |
| 109 | 117.3272 | 42.4094 | MF | 0.78 | 25 August 2018 |
| 110 | 117.3281 | 42.4094 | DBF | 0.76 | 25 August 2018 |
| 111 | 117.3289 | 42.4097 | DBF | 0.77 | 25 August 2018 |
| 112 | 117.3300 | 42.4106 | DBF | 0.84 | 25 August 2018 |
| 113 | 117.3289 | 42.4106 | DNF | 0.53 | 25 August 2018 |
| 114 | 117.3283 | 42.4100 | DNF | 0.58 | 25 August 2018 |
| 115 | 117.3261 | 42.4100 | MF | 0.91 | 25 August 2018 |
| 116 | 117.3253 | 42.4100 | DBF | 0.78 | 25 August 2018 |
| 117 | 117.3242 | 42.4103 | DBF | 0.82 | 25 August 2018 |
| 118 | 117.3228 | 42.4106 | DBF | 0.75 | 25 August 2018 |
| 119 | 117.3208 | 42.4100 | MF | 0.86 | 25 August 2018 |
| 120 | 117.3289 | 42.4108 | MF | 0.70 | 25 August 2018 |
| 121 | 117.3286 | 42.4106 | DBF | 0.84 | 25 August 2018 |
| 122 | 117.3281 | 42.4108 | DBF | 0.74 | 25 August 2018 |
| 123 | 117.3272 | 42.4108 | MF | 0.81 | 25 August 2018 |
| 124 | 117.3267 | 42.4108 | DBF | 0.85 | 25 August 2018 |
| 125 | 117.3264 | 42.4111 | DBF | 0.86 | 25 August 2018 |
| 126 | 117.3256 | 42.4111 | DBF | 0.83 | 25 August 2018 |
| 127 | 117.3253 | 42.4111 | DBF | 0.71 | 25 August 2018 |
| 128 | 117.3244 | 42.4111 | MF | 0.78 | 25 August 2018 |
| 129 | 117.3242 | 42.4108 | DBF | 0.80 | 25 August 2018 |
| 130 | 117.3214 | 42.4136 | DNF | 0.54 | 25 August 2018 |
| 131 | 117.3217 | 42.4133 | DNF | 0.60 | 25 August 2018 |
| 132 | 117.3219 | 42.4128 | DNF | 0.59 | 25 August 2018 |
| 133 | 117.3219 | 42.4133 | DNF | 0.58 | 25 August 2018 |
| 134 | 117.3203 | 42.4144 | DNF | 0.57 | 25 August 2018 |
| 135 | 117.3197 | 42.4144 | DNF | 0.61 | 25 August 2018 |
| 136 | 117.3189 | 42.4142 | DNF | 0.55 | 25 August 2018 |
| 137 | 117.3178 | 42.4139 | DNF | 0.53 | 25 August 2018 |
| 138 | 117.3172 | 42.4142 | DNF | 0.52 | 25 August 2018 |
| 139 | 117.3158 | 42.4139 | DNF | 0.64 | 25 August 2018 |
| 140 | 117.3153 | 42.4142 | DNF | 0.58 | 25 August 2018 |
| 141 | 117.3158 | 42.4133 | DNF | 0.63 | 25 August 2018 |
| 142 | 117.3167 | 42.4136 | DNF | 0.59 | 25 August 2018 |
| 143 | 117.3178 | 42.4133 | DNF | 0.63 | 25 August 2018 |
| 144 | 117.3181 | 42.4131 | DNF | 0.59 | 25 August 2018 |
| 145 | 117.3194 | 42.4136 | DNF | 0.63 | 25 August 2018 |
| 146 | 117.3169 | 42.4147 | DNF | 0.52 | 27 August 2018 |
| 147 | 117.3172 | 42.4150 | DNF | 0.51 | 27 August 2018 |
| 148 | 117.3172 | 42.4147 | DNF | 0.62 | 27 August 2018 |
| 149 | 117.3181 | 42.4147 | DNF | 0.55 | 27 August 2018 |
| 150 | 117.3194 | 42.4150 | DNF | 0.59 | 27 August 2018 |
| 151 | 117.3200 | 42.4153 | DNF | 0.56 | 27 August 2018 |
| 152 | 117.3203 | 42.4147 | DNF | 0.60 | 27 August 2018 |
| 153 | 117.3206 | 42.4156 | DNF | 0.58 | 27 August 2018 |
| 154 | 117.3214 | 42.4142 | DNF | 0.56 | 27 August 2018 |
| 155 | 117.3211 | 42.4153 | DNF | 0.65 | 27 August 2018 |
| 156 | 117.3203 | 42.4158 | DNF | 0.56 | 27 August 2018 |
| 157 | 117.3200 | 42.4164 | DNF | 0.67 | 27 August 2018 |
| 158 | 117.3197 | 42.4165 | DNF | 0.64 | 27 August 2018 |
| 159 | 117.3194 | 42.4161 | MF | 0.69 | 27 August 2018 |
| 160 | 117.3214 | 42.4158 | DNF | 0.59 | 27 August 2018 |
| 161 | 117.3222 | 42.4158 | DNF | 0.61 | 27 August 2018 |
| 162 | 117.3231 | 42.4156 | DNF | 0.59 | 27 August 2018 |
| 163 | 117.3242 | 42.4158 | MF | 0.69 | 27 August 2018 |
| 164 | 117.3239 | 42.4161 | DNF | 0.62 | 27 August 2018 |
| 165 | 117.3236 | 42.4164 | DNF | 0.57 | 27 August 2018 |
| 166 | 117.3231 | 42.4164 | MF | 0.66 | 27 August 2018 |
| 167 | 117.3217 | 42.4164 | MF | 0.65 | 27 August 2018 |
| 168 | 117.3133 | 42.4128 | DNF | 0.60 | 29 August 2018 |
| 169 | 117.3133 | 42.4122 | DNF | 0.56 | 29 August 2018 |
| 170 | 117.3139 | 42.4125 | DNF | 0.51 | 29 August 2018 |
| 171 | 117.3131 | 42.4114 | DNF | 0.55 | 29 August 2018 |
| 172 | 117.3114 | 42.4117 | DNF | 0.60 | 29 August 2018 |
| 173 | 117.3118 | 42.4122 | DNF | 0.52 | 29 August 2018 |
| 174 | 117.3106 | 42.4111 | DNF | 0.55 | 29 August 2018 |
| 175 | 117.3108 | 42.4108 | DNF | 0.48 | 29 August 2018 |
| 176 | 117.3106 | 42.4106 | DNF | 0.58 | 29 August 2018 |
| 177 | 117.3106 | 42.4103 | DNF | 0.53 | 29 August 2018 |
| 178 | 117.3106 | 42.4100 | DNF | 0.55 | 29 August 2018 |
| 179 | 117.3103 | 42.4094 | DNF | 0.49 | 29 August 2018 |
| 180 | 117.3086 | 42.4094 | DNF | 0.58 | 29 August 2018 |
| 181 | 117.3072 | 42.4092 | DNF | 0.60 | 29 August 2018 |
| 182 | 117.3079 | 42.4102 | DNF | 0.51 | 29 August 2018 |
| 183 | 117.3085 | 42.4105 | DNF | 0.56 | 29 August 2018 |
| 184 | 117.3069 | 42.4089 | DNF | 0.58 | 29 August 2018 |
| 185 | 117.3064 | 42.4086 | DNF | 0.56 | 29 August 2018 |
| 186 | 117.3069 | 42.4086 | DNF | 0.54 | 29 August 2018 |
| 187 | 117.3075 | 42.4089 | DNF | 0.52 | 29 August 2018 |
| 188 | 117.3086 | 42.4089 | DNF | 0.50 | 29 August 2018 |
| 189 | 117.3083 | 42.4086 | DNF | 0.60 | 29 August 2018 |
| 190 | 117.3094 | 42.4086 | DNF | 0.62 | 29 August 2018 |
| 191 | 117.3100 | 42.4089 | DNF | 0.55 | 29 August 2018 |
| 192 | 117.3114 | 42.4089 | DNF | 0.57 | 29 August 2018 |
| 193 | 117.3117 | 42.4083 | DNF | 0.61 | 29 August 2018 |
| 194 | 117.3125 | 42.4083 | DNF | 0.50 | 29 August 2018 |
| 195 | 117.3131 | 42.4089 | DNF | 0.40 | 29 August 2018 |
| 196 | 117.3142 | 42.4089 | DNF | 0.56 | 29 August 2018 |
| 197 | 117.3144 | 42.4083 | DNF | 0.57 | 29 August 2018 |
| 198 | 117.3150 | 42.4083 | DNF | 0.47 | 29 August 2018 |
| 199 | 117.3164 | 42.4061 | DNF | 0.61 | 29 August 2018 |
| 200 | 117.3156 | 42.4056 | DNF | 0.62 | 29 August 2018 |
| 201 | 117.3142 | 42.4050 | DNF | 0.52 | 29 August 2018 |
| 202 | 117.3139 | 42.4047 | DNF | 0.59 | 29 August 2018 |
| 203 | 117.3131 | 42.4047 | DNF | 0.65 | 29 August 2018 |
| 204 | 117.3125 | 42.4047 | DNF | 0.55 | 29 August 2018 |
| 205 | 117.3114 | 42.4050 | DNF | 0.65 | 29 August 2018 |
| 206 | 117.3122 | 42.4050 | DNF | 0.62 | 29 August 2018 |
| 207 | 117.3131 | 42.4056 | DNF | 0.66 | 29 August 2018 |
| 208 | 117.3136 | 42.4064 | DNF | 0.58 | 29 August 2018 |
| 209 | 117.3144 | 42.4069 | DNF | 0.62 | 29 August 2018 |
| 210 | 117.3144 | 42.4075 | DNF | 0.54 | 29 August 2018 |
| 211 | 117.3150 | 42.4078 | DNF | 0.59 | 29 August 2018 |
| 212 | 117.3144 | 42.4081 | DNF | 0.58 | 29 August 2018 |
| 213 | 117.3136 | 42.4075 | DNF | 0.61 | 29 August 2018 |
| 214 | 117.3128 | 42.4072 | DNF | 0.54 | 29 August 2018 |
| 215 | 117.3117 | 42.4067 | DNF | 0.57 | 29 August 2018 |
| 216 | 117.3111 | 42.4064 | DNF | 0.60 | 29 August 2018 |
| 217 | 117.3106 | 42.4056 | DNF | 0.64 | 29 August 2018 |
| 218 | 117.3106 | 42.4053 | DNF | 0.61 | 29 August 2018 |
| 219 | 117.3089 | 42.4058 | DNF | 0.62 | 29 August 2018 |
| 220 | 117.3108 | 42.4061 | DNF | 0.52 | 29 August 2018 |
| 221 | 117.3114 | 42.4061 | DNF | 0.57 | 29 August 2018 |
| 222 | 117.3122 | 42.4064 | DNF | 0.57 | 29 August 2018 |
| 223 | 117.3131 | 42.4072 | DNF | 0.55 | 29 August 2018 |
| 224 | 117.3139 | 42.4075 | DNF | 0.60 | 29 August 2018 |
| 225 | 117.3144 | 42.4081 | DNF | 0.62 | 29 August 2018 |
| 226 | 117.3131 | 42.4081 | DNF | 0.56 | 29 August 2018 |
| 227 | 117.3131 | 42.4078 | DNF | 0.57 | 29 August 2018 |
| 228 | 117.3125 | 42.4075 | DNF | 0.64 | 29 August 2018 |
| 229 | 117.3117 | 42.4072 | DNF | 0.56 | 29 August 2018 |
| 230 | 117.3111 | 42.4067 | DNF | 0.45 | 29 August 2018 |
| 231 | 117.3106 | 42.4061 | DNF | 0.65 | 29 August 2018 |
| 232 | 117.3094 | 42.4058 | DNF | 0.54 | 29 August 2018 |
| 233 | 117.3092 | 42.4058 | DNF | 0.55 | 29 August 2018 |
| 234 | 117.3103 | 42.4067 | DNF | 0.50 | 30 August 2018 |
| 235 | 117.3100 | 42.4067 | DNF | 0.53 | 30 August 2018 |
| 236 | 117.3106 | 42.4078 | DNF | 0.51 | 30 August 2018 |
| 237 | 117.3094 | 42.4078 | DNF | 0.50 | 30 August 2018 |
| 238 | 117.3089 | 42.4078 | DNF | 0.53 | 30 August 2018 |
| 239 | 117.3083 | 42.4075 | DNF | 0.57 | 30 August 2018 |
| 240 | 117.3078 | 42.4072 | DNF | 0.62 | 30 August 2018 |
| 241 | 117.3067 | 42.4069 | DNF | 0.59 | 30 August 2018 |
| 241 | 117.3067 | 42.4069 | DNF | 0.59 | 30 August 2018 |
| 242 | 117.3058 | 42.4061 | DNF | 0.51 | 30 August 2018 |
| 243 | 117.3056 | 42.4058 | DNF | 0.62 | 30 August 2018 |
| 244 | 117.3047 | 42.4058 | DNF | 0.50 | 30 August 2018 |
| 245 | 117.3053 | 42.4064 | DNF | 0.57 | 30 August 2018 |
| 246 | 117.3058 | 42.4067 | MF | 0.61 | 30 August 2018 |
| 247 | 117.3064 | 42.4072 | DNF | 0.53 | 30 August 2018 |
| 248 | 117.3078 | 42.4078 | DNF | 0.53 | 30 August 2018 |
| 249 | 117.3081 | 42.4078 | DNF | 0.58 | 30 August 2018 |
| 250 | 117.3075 | 42.4078 | DNF | 0.53 | 30 August 2018 |
| 251 | 117.3067 | 42.4078 | DNF | 0.54 | 30 August 2018 |
| 252 | 117.3058 | 42.4072 | DNF | 0.60 | 30 August 2018 |
| 253 | 117.3053 | 42.4067 | ENF | 0.63 | 30 August 2018 |
| 254 | 117.3042 | 42.4058 | DNF | 0.59 | 30 August 2018 |
| 255 | 117.3031 | 42.4058 | DNF | 0.56 | 30 August 2018 |
| 256 | 117.3025 | 42.4061 | DNF | 0.56 | 30 August 2018 |
| 257 | 117.3031 | 42.4067 | ENF | 0.59 | 30 August 2018 |
| 258 | 117.3036 | 42.4072 | ENF | 0.51 | 30 August 2018 |
| 259 | 117.3044 | 42.4075 | DNF | 0.66 | 30 August 2018 |
| 260 | 117.3053 | 42.4078 | DNF | 0.49 | 30 August 2018 |
| 261 | 117.3039 | 42.4075 | DNF | 0.60 | 30 August 2018 |
| 262 | 117.3025 | 42.4069 | DNF | 0.65 | 30 August 2018 |
| 263 | 117.3019 | 42.4064 | DNF | 0.53 | 30 August 2018 |
| 264 | 117.3011 | 42.4058 | DNF | 0.56 | 30 August 2018 |
| 265 | 117.3 | 42.4056 | DNF | 0.68 | 30 August 2018 |
| 266 | 117.2997 | 42.4056 | DNF | 0.59 | 30 August 2018 |
| 267 | 117.2986 | 42.4044 | DNF | 0.69 | 30 August 2018 |
| 268 | 117.2986 | 42.4042 | MF | 0.63 | 30 August 2018 |
| 269 | 117.3303 | 42.4142 | DNF | 0.59 | 30 August 2018 |
| 270 | 117.3294 | 42.4139 | DNF | 0.65 | 30 August 2018 |
| 271 | 117.3286 | 42.4142 | DNF | 0.45 | 30 August 2018 |
| 272 | 117.3289 | 42.4144 | DNF | 0.68 | 30 August 2018 |
| 273 | 117.33 | 42.4153 | DNF | 0.62 | 30 August 2018 |
| 274 | 117.3311 | 42.4153 | MF | 0.75 | 30 August 2018 |
| 275 | 117.3319 | 42.4161 | MF | 0.77 | 30 August 2018 |
| 276 | 117.3322 | 42.4161 | DNF | 0.51 | 30 August 2018 |
| 277 | 117.3317 | 42.4164 | MF | 0.64 | 30 August 2018 |
| 278 | 117.3301 | 42.4166 | DNF | 0.64 | 30 August 2018 |
| 279 | 117.3289 | 42.4164 | DNF | 0.53 | 30 August 2018 |
| 280 | 117.3281 | 42.4164 | DNF | 0.52 | 30 August 2018 |
| 281 | 117.3267 | 42.4164 | DNF | 0.63 | 30 August 2018 |
| 282 | 117.3258 | 42.4164 | DNF | 0.53 | 30 August 2018 |
| 283 | 117.3261 | 42.4161 | DNF | 0.60 | 30 August 2018 |
| 284 | 117.3272 | 42.4156 | MF | 0.64 | 30 August 2018 |
| 285 | 117.3286 | 42.4156 | DNF | 0.55 | 30 August 2018 |
| 286 | 117.33 | 42.4156 | DNF | 0.58 | 30 August 2018 |
| 287 | 117.3297 | 42.415 | DNF | 0.56 | 30 August 2018 |
| 288 | 117.3294 | 42.4142 | DNF | 0.52 | 30 August 2018 |
| 289 | 117.3289 | 42.4142 | DNF | 0.67 | 30 August 2018 |
| 290 | 117.3281 | 42.4136 | DNF | 0.59 | 30 August 2018 |
| 291 | 117.3269 | 42.4142 | DNF | 0.63 | 30 August 2018 |
| 292 | 117.3269 | 42.4147 | MF | 0.74 | 30 August 2018 |
| 293 | 117.3275 | 42.415 | MF | 0.59 | 30 August 2018 |
| 294 | 117.3261 | 42.415 | MF | 0.65 | 30 August 2018 |
| 295 | 117.3256 | 42.4147 | MF | 0.65 | 30 August 2018 |
| 296 | 117.3244 | 42.4147 | DNF | 0.57 | 30 August 2018 |
| 297 | 117.3353 | 42.4133 | DNF | 0.60 | 31 August 2018 |
| 298 | 117.3361 | 42.4136 | DNF | 0.65 | 31 August 2018 |
| 299 | 117.3375 | 42.4142 | DNF | 0.59 | 31 August 2018 |
| 300 | 117.3383 | 42.415 | MF | 0.89 | 31 August 2018 |
| 301 | 117.3389 | 42.415 | DNF | 0.64 | 31 August 2018 |
| 302 | 117.3397 | 42.4161 | DBF | 0.85 | 31 August 2018 |
| 303 | 117.3405 | 42.4166 | DBF | 0.78 | 31 August 2018 |
| 304 | 117.3394 | 42.4161 | DBF | 0.73 | 31 August 2018 |
| 305 | 117.3389 | 42.4158 | MF | 0.72 | 31 August 2018 |
| 306 | 117.3378 | 42.4156 | DNF | 0.64 | 31 August 2018 |
| 307 | 117.3375 | 42.4164 | DNF | 0.67 | 31 August 2018 |
| 308 | 117.3369 | 42.4164 | MF | 0.68 | 31 August 2018 |
| 309 | 117.3331 | 42.4158 | DNF | 0.54 | 31 August 2018 |
| 310 | 117.3328 | 42.4153 | DNF | 0.63 | 31 August 2018 |
| 311 | 117.33 | 42.4133 | DNF | 0.59 | 31 August 2018 |
| 312 | 117.3314 | 42.4142 | DNF | 0.59 | 31 August 2018 |
| 313 | 117.3325 | 42.4144 | DNF | 0.66 | 31 August 2018 |
| 314 | 117.3333 | 42.4144 | DNF | 0.61 | 31 August 2018 |
| 315 | 117.3344 | 42.4144 | DNF | 0.58 | 31 August 2018 |
| 316 | 117.3336 | 42.4136 | DNF | 0.62 | 31 August 2018 |
| 317 | 117.3331 | 42.4131 | DNF | 0.54 | 31 August 2018 |
| 318 | 117.3339 | 42.4133 | DNF | 0.67 | 31 August 2018 |
| 319 | 117.3344 | 42.4136 | DNF | 0.62 | 31 August 2018 |
| 320 | 117.335 | 42.4139 | DNF | 0.61 | 31 August 2018 |
| 321 | 117.335 | 42.4142 | DNF | 0.58 | 31 August 2018 |
References
- Chen, J.M. Optically-based methods for measuring seasonal variation of leaf area index in boreal conifer stands. Agric. For. Meteorol. 1996, 80, 135–163. [Google Scholar] [CrossRef]
- Chen, Q.; Baldocchi, D.; Gong, P.; Dawson, T. Modeling radiation and photosynthesis of a heterogeneous savanna woodland landscape with a hierarchy of model complexities. Agric. For. Meteorol. 2008, 148, 1005–1020. [Google Scholar] [CrossRef]
- Liu, R.Y.; Ren, H.Z.; Liu, S.H.; Liu, Q.; Li, X.W. Modelling of fraction of absorbed photosynthetically active radiation in vegetation canopy and its validation. Biosyst. Eng. 2015, 133, 81–94. [Google Scholar] [CrossRef]
- Chen, J.M.; Mo, G.; Pisek, J.; Liu, J.; Deng, F.; Ishizawa, M.; Chan, D. Effects of foliage clumping on the estimation of global terrestrial gross primary productivity. Glob. Biogeochem. Cycles 2012, 26, 18. [Google Scholar] [CrossRef]
- Li, Z.; Jiao, Z.; Wang, C.; Yin, S.; Guo, J.; Tong, Y.; Gao, G.; Tan, Z.; Chen, S. Seasonal Effect of the Vegetation Clumping Index on Gross Primary Productivity Estimated by a Two-Leaf Light Use Efficiency Model. Remote Sens. 2023, 15, 5537. [Google Scholar] [CrossRef]
- Chen, J.M.; Black, T.A. Foliage area and architecture of plant canopies from sunfleck size distributions. Agric. For. Meteorol. 1992, 60, 249–266. [Google Scholar] [CrossRef]
- Li, C.W.; Lu, H.; Leung, L.R.; Yang, K.; Li, H.Y.; Wang, W.; Han, M.L.; Chen, Y.Y. Improving Land Surface Temperature Simulation in CoLM over the Tibetan Plateau Through Fractional Vegetation Cover Derived from a Remotely Sensed Clumping Index and Model-Simulated Leaf Area Index. J. Geophys. Res.-Atmos. 2019, 124, 2620–2642. [Google Scholar] [CrossRef]
- Chen, J.M.; Liu, J.; Leblanc, S.G.; Lacaze, R.; Roujean, J.L. Multi-angular optical remote sensing for assessing vegetation structure and carbon absorption. Remote Sens. Environ. 2003, 84, 516–525. [Google Scholar] [CrossRef]
- Pisek, J.; Chen, J.M.; Nilson, T. Estimation of vegetation clumping index using MODIS BRDF data. Int. J. Remote Sens. 2011, 32, 2645–2657. [Google Scholar] [CrossRef]
- Gao, G.; Jiao, Z.; Li, Z.; Wang, C.; Guo, J.; Zhang, X.; Ding, A.; Tan, Z.; Chen, S.; Yang, F.; et al. A Phenologically Simplified Two-Stage Clumping Index Product Derived from the 8-Day Global MODIS-CI Product Suite. Remote. Sens. 2025, 17, 233. [Google Scholar] [CrossRef]
- Pisek, J.; Govind, A.; Arndt, S.K.; Hocking, D.; Wardlaw, T.J.; Fang, H.; Matteucci, G.; Longdoz, B. Intercomparison of clumping index estimates from POLDER, MODIS, and MISR satellite data over reference sites. ISPRS J. Photogramm. Remote Sens. 2015, 101, 47–56. [Google Scholar] [CrossRef]
- Chen, J.M.; Menges, C.H.; Leblanc, S.G. Global mapping of foliage clumping index using multi-angular satellite data. Remote Sens. Environ. 2005, 97, 447–457. [Google Scholar] [CrossRef]
- Chen, J.M.; Leblanc, S.G. A four-scale bidirectional reflectance model based on canopy architecture. IEEE Trans. Geosci. Remote Sens. 1997, 35, 1316–1337. [Google Scholar] [CrossRef]
- Lacaze, R.; Chen, J.M.; Roujean, J.L.; Leblanc, S.G. Retrieval of vegetation clumping index using hot spot signatures measured by POLDER instrument. Remote Sens. Environ. 2002, 79, 84–95. [Google Scholar] [CrossRef]
- Leblanc, S.G.; Chen, J.M.; White, H.P.; Latifovic, R.; Lacaze, R.; Roujean, J.L. Canada-wide foliage clumping index mapping from multiangular POLDER measurements. Can. J. Remote Sens. 2005, 31, 364–376. [Google Scholar] [CrossRef]
- Pisek, J.; Chen, J.M.; Lacaze, R.; Sonnentag, O.; Alikas, K. Expanding global mapping of the foliage clumping index with multi-angular POLDER three measurements: Evaluation and topographic compensation. ISPRS J. Photogramm. Remote Sens. 2010, 65, 341–346. [Google Scholar] [CrossRef]
- He, L.M.; Chen, J.M.; Pisek, J.; Schaaf, C.B.; Strahler, A.H. Global clumping index map derived from the MODIS BRDF product. Remote Sens. Environ. 2012, 119, 118–130. [Google Scholar] [CrossRef]
- He, L.M.; Liu, J.; Chen, J.M.; Croft, H.; Wang, R.; Sprintsin, M.; Zheng, T.R.; Ryu, Y.; Piseke, J.; Gonsamo, A.; et al. Inter- and intra-annual variations of clumping index derived from the MODIS BRDF product. Int. J. Appl. Earth Obs. Geoinf. 2016, 44, 53–60. [Google Scholar] [CrossRef]
- Jiao, Z.T.; Dong, Y.D.; Schaaf, C.B.; Chen, J.M.; Roman, M.; Wang, Z.S.; Zhang, H.; Ding, A.X.; Erb, A.; Hill, M.J.; et al. An algorithm for the retrieval of the clumping index (CI) from the MODIS BRDF product using an adjusted version of the kernel-driven BRDF model. Remote Sens. Environ. 2018, 209, 594–611. [Google Scholar] [CrossRef]
- Wei, S.S.; Fang, H.L. Estimation of canopy clumping index from MISR and MODIS sensors using the normalized difference hotspot and darkspot (NDHD) method: The influence of BRDF models and solar zenith angle. Remote Sens. Environ. 2016, 187, 476–491. [Google Scholar] [CrossRef]
- Zhu, G.; Ju, W.; Chen, J.M.; Gong, P.; Xing, B.; Zhu, J. Foliage Clumping Index over China’s Landmass Retrieved from the MODIS BRDF Parameters Product. IEEE Trans. Geosci. Remote Sens. 2012, 50, 2122–2137. [Google Scholar] [CrossRef]
- Hill, M.J.; Roman, M.O.; Schaaf, C.B.; Hutley, L.; Brannstrom, C.; Etter, A.; Hanan, N.P. Characterizing vegetation cover in global savannas with an annual foliage clumping index derived from the MODIS BRDF product. Remote Sens. Environ. 2011, 115, 2008–2024. [Google Scholar] [CrossRef]
- Pisek, J.; Ryu, Y.; Sprintsin, M.; He, L.M.; Oliphant, A.J.; Korhonen, L.; Kuusk, J.; Kuusk, A.; Bergstrom, R.; Verrelst, J.; et al. Retrieving vegetation clumping index from-Multi-angle Imaging SpectroRadiometer (MISR) data at 275 m resolution. Remote Sens. Environ. 2013, 138, 126–133. [Google Scholar] [CrossRef]
- Chen, J.M.; Rich, P.M.; Gower, S.T.; Norman, J.M.; Plummer, S. Leaf area index of boreal forests: Theory, techniques, and measurements. J. Geophys. Res.-Atmos. 1997, 102, 29429–29443. [Google Scholar] [CrossRef]
- Chen, B.; Liu, J.; Chen, J.M.; Croft, H.; Gonsamo, A.; He, L.; Luo, X. Assessment of foliage clumping effects on evapotranspiration estimates in forested ecosystems. Agric. For. Meteorol. 2016, 216, 82–92. [Google Scholar] [CrossRef]
- Ryu, Y.; Baldocchi, D.D.; Kobayashi, H.; van Ingen, C.; Li, J.; Black, T.A.; Beringer, J.; van Gorsel, E.; Knohl, A.; Law, B.E.; et al. Integration of MODIS land and atmosphere products with a coupled-process model to estimate gross primary productivity and evapotranspiration from 1 km to global scales. Glob. Biogeochem. Cycles 2011, 25, 24. [Google Scholar] [CrossRef]
- Román, M.O.; Schaaf, C.B.; Woodcock, C.E.; Strahler, A.H.; Yang, X.Y.; Braswell, R.H.; Curtis, P.S.; Davis, K.J.; Dragoni, D.; Goulden, M.L.; et al. The MODIS (Collection V005) BRDF/albedo product: Assessment of spatial representativeness over forested landscapes. Remote Sens. Environ. 2009, 113, 2476–2498. [Google Scholar] [CrossRef]
- Fernandes, R.; Plummer, S.; Nightingale, J.; Baret, F.; Camacho, F.; Fang, H.; Garrigues, S.; Gobron, N.; Lang, M.; Lacaze, R.; et al. Global Leaf Area Index Product Validation Good Practices. In Best Practice for Satellite-Derived Land Product Validation; Version 2.0; Schaepman-Strub, G., Román, M., Nickeson, J., Eds.; Land Product Validation Subgroup (WGCV/CEOS): Madrid, Spain, 2014. [Google Scholar] [CrossRef]
- Morisette, J.T.; Baret, F.; Privette, J.L.; Myneni, R.B.; Nickeson, J.E.; Garrigues, S.; Shabanov, N.V.; Weiss, M.; Fernandes, R.A.; Leblanc, S.G. Validation of global moderate-resolution LAI products: A framework proposed within the CEOS land product validation subgroup. IEEE Trans. Geosci. Remote Sens. 2006, 44, 1804–1817. [Google Scholar] [CrossRef]
- Wang, Z.S.; Schaaf, C.B.; Chopping, M.J.; Strahler, A.H.; Wang, J.D.; Roman, M.O.; Rocha, A.V.; Woodcock, C.E.; Shuai, Y.M. Evaluation of Moderate-resolution Imaging Spectroradiometer (MODIS) snow albedo product (MCD43A) over tundra. Remote Sens. Environ. 2012, 117, 264–280. [Google Scholar] [CrossRef]
- Wang, Z.S.; Schaaf, C.B.; Strahler, A.H.; Chopping, M.J.; Roman, M.O.; Shuai, Y.M.; Woodcock, C.E.; Hollinger, D.Y.; Fitzjarrald, D.R. Evaluation of MODIS albedo product (MCD43A) over grassland, agriculture and forest surface types during dormant and snow-covered periods. Remote Sens. Environ. 2014, 140, 60–77. [Google Scholar] [CrossRef]
- Fang, H.L.; Baret, F.; Plummer, S.; Schaepman-Strub, G. An Overview of Global Leaf Area Index (LAI): Methods, Products, Validation, and Applications. Rev. Geophys. 2019, 57, 739–799. [Google Scholar] [CrossRef]
- Peng, J.J.; Liu, Q.; Wen, J.G.; Liu, Q.H.; Tang, Y.; Wang, L.Z.; Dou, B.C.; You, D.Q.; Sun, C.K.; Zhao, X.J.; et al. Multi-scale validation strategy for satellite albedo products and its uncertainty analysis. Sci. China-Earth Sci. 2015, 58, 573–588. [Google Scholar] [CrossRef]
- Wu, X.D.; Xiao, Q.; Wen, J.G.; You, D.Q.; Hueni, A. Advances in quantitative remote sensing product validation: Overview and current status. Earth-Sci. Rev. 2019, 196, 102875. [Google Scholar] [CrossRef]
- Wu, X.D.; Wen, J.G.; Xiao, Q.; Youe, D.Q. Upscaling of Single-Site-Based Measurements for Validation of Long-Term Coarse-Pixel Albedo Products. IEEE Trans. Geosci. Remote Sens. 2020, 58, 3411–3425. [Google Scholar] [CrossRef]
- Leblanc, S.G.; Bicheron, P.; Chen, J.M.; Leroy, M.; Cihlar, J. Investigation of directional reflectance in boreal forests with an improved four-scale model and airborne POLDER data. IEEE Trans. Geosci. Remote Sens. 1999, 37, 1396–1414. [Google Scholar] [CrossRef]
- Simic, A.; Chen, J.M.; Freemantle, J.R.; Miller, J.R.; Pisek, J. Improving Clumping and LAI Algorithms Based on Multiangle Airborne Imagery and Ground Measurements. IEEE Trans. Geosci. Remote Sens. 2010, 48, 1742–1759. [Google Scholar] [CrossRef]
- Zhao, T.; Shi, J.; Xu, H.; Sun, Y.; Chen, D.; Cui, Q.; Jia, L.; Huang, S.; Niu, S.; Li, X.; et al. Comprehensive remote sensing experiment of water cycle and energy balance in the Shandian river basin. J. Natl. Remote Sens. Bull. 2021, 25, 871–887. [Google Scholar] [CrossRef]
- Mu, X.; Yan, G.; Zhou, H.; Pang, Y.; QIU, F.; Zhang, Q.; Zhang, Y.; Xie, D.; Zhou, Y.; Zhao, T.; et al. Airborne comprehensive remote sensing experiment of forest and grass resources in Xiaoluan River Basin. J. Natl. Remote Sens. Bull. 2021, 25, 888–903. [Google Scholar] [CrossRef]
- Min, X. Situation and countermeasures of forest fire prevention in Saihanba Forestry Farm in Hebei Province. Anhui Agric. Sci. Bull. 2017, 23, 79+100. [Google Scholar]
- Leblanc, S.G. Correction to the plant canopy gap-size analysis theory used by the Tracing Radiation and Architecture of Canopies instrument. Appl. Opt. 2002, 41, 7667–7670. [Google Scholar] [CrossRef]
- Myneni, R.B.; Ross, J.; Asrar, G. A review on the theory of photon transport in leaf canopies. Agric. For. Meteorol. 1989, 45, 1–153. [Google Scholar] [CrossRef]
- Qiu, F.; Huo, J.W.; Zhang, Q.; Chen, X.H.; Zhang, Y.G. Observation and analysis of bidirectional and hotspot reflectance of conifer forest canopies with a multiangle hyperspectral UAV imaging platform. Natl. Remote Sens. Bull. 2021, 25, 1013–1024. [Google Scholar]
- Jiao, Z.T.; Schaaf, C.B.; Dong, Y.D.; Roman, M.; Hill, M.J.; Chen, J.M.; Wang, Z.S.; Zhang, H.; Saenz, E.; Poudyal, R.; et al. A method for improving hotspot directional signatures in BRDF models used for MODIS. Remote Sens. Environ. 2016, 186, 135–151. [Google Scholar] [CrossRef]
- Gong, P.; Wang, J.; Yu, L.; Zhao, Y.C.; Zhao, Y.Y.; Liang, L.; Niu, Z.G.; Huang, X.M.; Fu, H.H.; Liu, S.; et al. Finer resolution observation and monitoring of global land cover: First mapping results with Landsat TM and ETM+ data. Int J. Remote Sens. 2013, 34, 2607–2654. [Google Scholar] [CrossRef]
- Li, C.C.; Gong, P.; Wang, J.; Zhu, Z.L.; Biging, G.S.; Yuan, C.; Hu, T.Y.; Zhang, H.Y.; Wang, Q.; Li, X.C.; et al. The first all-season sample set for mapping global land cover with Landsat-8 data. Sci. Bull. 2017, 62, 508–515. [Google Scholar] [CrossRef]
- Vermote, E.; Justice, C.; Claverie, M.; Franch, B. Preliminary analysis of the performance of the Landsat 8/OLI land surface reflectance product. Remote Sens. Environ. 2016, 185, 46–56. [Google Scholar] [CrossRef]
- Baret, F.; Weiss, M.; Allard, D.; Garrigues, S.; Leroy, M.; Jeanjean, H.; Fernandes, R.; Myneni, R.B.; Privette, J.L.; Morisette, J.; et al. VALERI: A network of sites and a methodology for the validation of medium spatial resolution land satellite products. Remote Sens. Environ. 2003, 76, 36–39. [Google Scholar]
- Garrigues, S.; Allard, D.; Baret, F.; Weiss, M. Influence of landscape spatial heterogeneity on the non-linear estimation of leaf area index from moderate spatial resolution remote sensing data. Remote Sens. Environ. 2006, 105, 286–298. [Google Scholar] [CrossRef]
- Camacho, F.; Cemicharo, J.; Lacaze, R.; Baret, F.; Weiss, M. GEOV1: LAI, FAPAR essential climate variables and FCOVER global time series capitalizing over existing products. Part 2: Validation and intercomparison with reference products. Remote Sens. Environ. 2013, 137, 310–329. [Google Scholar] [CrossRef]
- Jiao, Z.; Zhang, H.; Dong, Y.; Liu, Q.; Xiao, Q.; Li, X. An Algorithm for Retrieval of Surface Albedo from Small View-Angle Airborne Observations Through the Use of BRDF Archetypes as Prior Knowledge. IEEE J.-Stars 2015, 8, 3279–3293. [Google Scholar] [CrossRef]
- Jiao, Z.T.; Hill, M.J.; Schaaf, C.B.; Zhang, H.; Wang, Z.S.; Li, X.W. An Anisotropic Flat Index (AFX) to derive BRDF archetypes from MODIS. Remote Sens. Environ. 2014, 141, 168–187. [Google Scholar] [CrossRef]
- Roujean, J.L.; Leroy, M.; Deschamps, P.Y. A bidirectional reflectance model of the earths surface for the correction of remote-sensing data. J. Geophys. Res.-Atmos. 1992, 97, 20455–20468. [Google Scholar] [CrossRef]
- Lucht, W.; Schaaf, C.B.; Strahler, A.H. An algorithm for the retrieval of albedo from space using semiempirical BRDF models. IEEE Trans. Geosci. Remote Sens. 2000, 38, 977–998. [Google Scholar] [CrossRef]
- Wanner, W.; Li, X.; Strahler, A.H. On the Derivation of Kernels for Kernel-Driven Models of Bidirectional Reflectance. J. Geophys. Res.-Atmos. 1995, 100, 21077–21089. [Google Scholar] [CrossRef]
- Chen, J.M.; Cihlar, J. A hotspot function in a simple bidirectional reflectance model for satellite applications. J. Geophys. Res.-Atmos. 1997, 102, 25907–25913. [Google Scholar] [CrossRef]
- Maignan, F.; Breon, F.M.; Lacaze, R. Bidirectional reflectance of Earth targets: Evaluation of analytical models using a large set of spaceborne measurements with emphasis on the Hot Spot. Remote Sens. Environ. 2004, 90, 210–220. [Google Scholar] [CrossRef]
- Schaaf, C.B.; Wang, Z.; Strahler, A.H. Commentary on Wang and Zender-MODIS snow albedo bias at high solar zenith angles relative to theory and to in situ observations in Greenland. Remote Sens. Environ. 2011, 115, 1296–1300. [Google Scholar] [CrossRef]
- Fang, H.L.; Li, W.J.; Wei, S.S.; Jiang, C.Y. Seasonal variation of leaf area index (LAI) over paddy rice fields in NE China: Intercomparison of destructive sampling, LAI-2200, digital hemispherical photography (DHP), and AccuPAR methods. Agric. For. Meteorol. 2014, 198, 126–141. [Google Scholar] [CrossRef]
- Fang, H.L.; Liu, W.W.; Li, W.J.; Wei, S.S. Estimation of the directional and whole apparent clumping index (ACI) from indirect optical measurements. ISPRS J. Photogramm. Sens. 2018, 144, 1–13. [Google Scholar] [CrossRef]
- Breiman, L. Random Forests. Mach. Learn. 2001, 45, 5–32. [Google Scholar] [CrossRef]
- Rossello, P.; Weiss, M.; Baret, F. A Methd to Improve the Relation Between the Biophysical Variables. 2005. Available online: http://w3.avignon.inra.fr/valeri/table_methods/new_linear.pdf (accessed on 24 August 2025).
- Shepard, D. A two-dimensional interpolation function for irregularly-spaced data. In Proceedings of the 1968 23rd ACM National Conference, Las Vegas, NV, USA, 27–29 August 1968; pp. 517–524. [Google Scholar]
- Smith, M.J.d.; Goodchild, M.F.; Longley, P.A. Geospatial Analysis: A Comprehensive Guide to Principles, Techniques and Software Tools; Troubador Publishing: Leicester, UK, 2007. [Google Scholar]
- Tobler, W.R. A Computer Movie Simulating Urban Growth in the Detroit Region. Econ. Geogr. 1970, 46, 234–240. [Google Scholar] [CrossRef]
- Feng, M.C.; Xiao, L.J.; Zhang, M.J.; Yang, W.D.; Ding, G.W. Integrating Remote Sensing and GIS for Prediction of Winter Wheat (Triticum aestivum) Protein Contents in Linfen (Shanxi), China. PLoS ONE 2014, 9, e80989. [Google Scholar] [CrossRef] [PubMed]
- Kaptue, T.A.T.; Roujean, J.-L.; Faroux, S. ECOCLIMAP-II: An ecosystem classification and land surface parameters database of Western Africa at 1 km resolution for the African Monsoon Multidisciplinary Analysis (AMMA) project. Remote Sens. Environ. 2010, 114, 961–976. [Google Scholar] [CrossRef]
- Sulla-Menashe, D.; Friedl, M.A. User Guide to Collection 6 MODIS Land Cover (MCD12Q1 and MCD12C1) Product. 2018. Available online: https://lpdaac.usgs.gov/documents/101/MCD12_User_Guide_V6.pdf (accessed on 24 August 2025).
- Sulla-Menashe, D.; Gray, J.M.; Abercrombie, S.P.; Friedl, M.A. Hierarchical mapping of annual global land cover 2001 to present: The MODIS Collection 6 Land Cover product. Remote Sens. Environ. 2019, 222, 183–194. [Google Scholar] [CrossRef]
- Kempeneers, P.; Sedano, F.; Strobl, P.; McInerney, D.O.; San-Miguel-Ayanz, J. Increasing Robustness of Postclassification Change Detection Using Time Series of Land Cover Maps. IEEE Trans. Geosci. Remote Sens. 2012, 50, 3327–3339. [Google Scholar] [CrossRef]
- Leblanc, S.G.; Chen, J.M.; Fernandes, R.; Deering, D.W.; Conley, A. Methodology comparison for canopy structure parameters extraction from digital hemispherical photography in boreal forests. Agric. For. Meteorol. 2005, 129, 187–207. [Google Scholar] [CrossRef]
- Chen, J.M.; Cihlar, J. Plant canopy gap-size analysis theory for improving optical measurements of leaf-area index. Appl. Opt. 1995, 34, 6211–6222. [Google Scholar] [CrossRef]
- Lang, A.R.G.; Xiang, Y.Q. Estimation of leaf-area index from transmission of direct sunlight in discontinuous canopies. Agric. For. Meteorol. 1986, 37, 229–243. [Google Scholar] [CrossRef]
- Silverman, B.W. Density Estimation for Statistics and Data Analysis, 1st ed.; CRC Press: Boca Raton, FL, USA, 1998. [Google Scholar]
- Matheron, G. Principles of geostatistics. Econ. Geol. 1963, 58, 1246–1266. [Google Scholar] [CrossRef]
- Wang, Z.; Schaaf, C.B.; Sun, Q.; Kim, J.; Erb, A.M.; Gao, F.; Román, M.O.; Yang, Y.; Petroy, S.; Taylor, J.R.; et al. Monitoring land surface albedo and vegetation dynamics using high spatial and temporal resolution synthetic time series from Landsat and the MODIS BRDF/NBAR/albedo product. Int. J. Appl. Earth Obs. 2017, 59, 104–117. [Google Scholar] [CrossRef]
- Moustafa, S.E.; Rennermalm, A.K.; Román, M.O.; Wang, Z.; Schaaf, C.B.; Smith, L.C.; Koenig, L.S.; Erb, A. Evaluation of satellite remote sensing albedo retrievals over the ablation area of the southwestern Greenland ice sheet. Remote Sens. Environ. 2017, 198, 115–125. [Google Scholar] [CrossRef]
- Noreus, J.P.; Nyborg, M.R.; Hayling, K.L. The gravity anomaly field in the Gulf of Bothnia spatially characterized from satellite altimetry and in situ measurements. J. Appl. Geophys. 1997, 37, 67–84. [Google Scholar] [CrossRef]
- Lucht, W.; Lewis, P. Theoretical noise sensitivity of BRDF and albedo retrieval from the EOS-MODIS and MISR sensors with respect to angular sampling. Int. J. Remote Sens. 2000, 21, 81–98. [Google Scholar] [CrossRef]
- Roy, D.P.; Lewis, P.; Schaaf, C.B.; Devadiga, S.; Boschetti, L. The global impact of clouds on the production of MODIS bidirectional reflectance model-based composites for terrestrial monitoring. IEEE Geosci. Remote Sens. Lett. 2006, 3, 452–456. [Google Scholar] [CrossRef]
- Schaaf, C.B.; Gao, F.; Strahler, A.H.; Lucht, W.; Li, X.W.; Tsang, T.; Strugnell, N.C.; Zhang, X.Y.; Jin, Y.F.; Muller, J.P.; et al. First operational BRDF, albedo nadir reflectance products from MODIS. Remote Sens. Environ. 2002, 83, 135–148. [Google Scholar] [CrossRef]
- Liang, S.L. Narrowband to broadband conversions of land surface albedo I Algorithms. Remote Sens. Environ. 2001, 76, 213–238. [Google Scholar] [CrossRef]
- Liang, S.L.; Shuey, C.J.; Russ, A.L.; Fang, H.L.; Chen, M.Z.; Walthall, C.L.; Daughtry, C.S.T.; Hunt, R. Narrowband to broadband conversions of land surface albedo: II. Validation. Remote Sens. Environ. 2003, 84, 25–41. [Google Scholar] [CrossRef]
- Pisek, J.; Lang, M.; Nilson, T.; Korhonen, L.; Karu, H. Comparison of methods for measuring gap size distribution and canopy nonrandomness at Jarvselja RAMI (RAdiation transfer Model Intercomparison) test sites. Agric. For. Meteorol. 2011, 151, 365–377. [Google Scholar] [CrossRef]
- Zhu, G. Spatial-temporal characteristics of foliage clumping index in China during 2000–2013. Chin. Sci. Bull. 2016, 61, 1595–1603. [Google Scholar] [CrossRef]
- Ma, Q.; Li, J.; Liu, Q.; Liu, Q. Mixed-pixel clumping index calculation and scale analysis. J. Remote Sens. 2012, 16, 895–908. [Google Scholar]
- Xie, R.; Jiao, Z.; Dong, Y.; Cui, L.; Yin, S.; Zhang, X.; Chang, Y.; Guo, J. An improved method for estimating clumping index in mixed coniferous and broadleaved forests using BRDF shape of surface ecotype as constraints. J. Natl. Remote Sens. Bull. 2024, 28, 995–1009. [Google Scholar] [CrossRef]
- Wang, C.; Jiao, Z.; Feng, Y.; Guo, J.; Li, Z.; Gao, G.; Tan, Z.; Yang, F.; Chen, S.; Dong, X. Evaluation of MODIS and VIIRS BRDF Parameter Differences and Their Impacts on the Derived Indices. Remote. Sens. 2025, 17, 1803. [Google Scholar] [CrossRef]
- Zhao, X.; Chen, J.M.; Zhang, Y.; Jiao, Z.; Liu, L.; Qiu, F.; Zang, J.; Cao, R. Global mapping of forest clumping index based on GEDI canopy height and complementary data. ISPRS J. Photogramm. Sens. 2024, 209, 1–16. [Google Scholar] [CrossRef]
- Wei, S.S.; Fang, H.L.; Schaaf, C.B.; He, L.M.; Chen, J.M. Global 500 m clumping index product derived from MODIS BRDF data (2001–2017). Remote Sens. Environ. 2019, 232, 111296. [Google Scholar] [CrossRef]







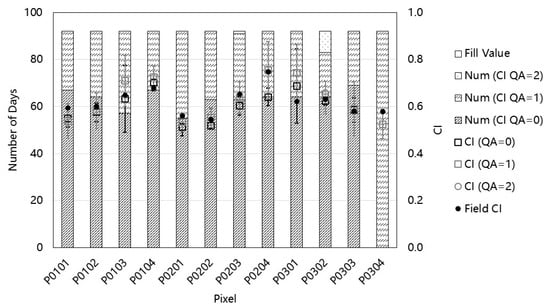
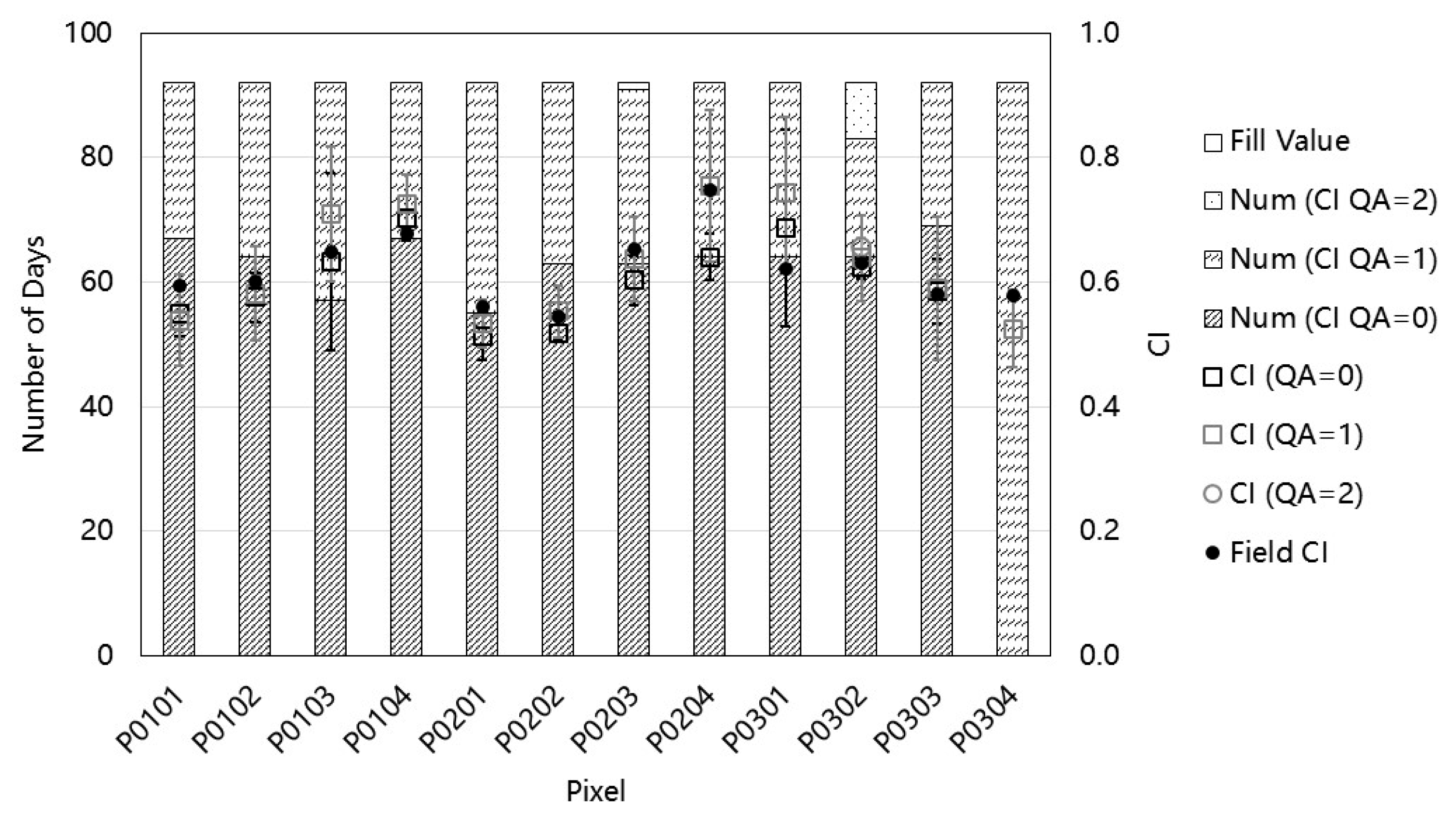
| Pixel ID | TRAC CI | 500 m Reference CI | 30 m RF LC | 500 m LC | 500 m MODIS CI | Semivariogram Analysis | ||||||||||||||||||
|---|---|---|---|---|---|---|---|---|---|---|---|---|---|---|---|---|---|---|---|---|---|---|---|---|
| Num. | MN ± Std | 30 m Transects | 500 m Transects | 30 m Map | NF | BF | MF | GL | RF LC | FROM-GLC | MODIS | CI (Main) | CI (Backup) | QA | 30 m Albedo 1 | 30 m CI 2 | ||||||||
| Avg | CLX | Avg | CLX | Avg | 2018 | Maj. | Var. | Range | Sill | Var. | Range | Sill | ||||||||||||
| P0101 | 36 | 0.59 ± 0.04 | 0.60 ± 0.04 | 0.62 | 0.55 ± 0.09 | 0.59 | 0.61 ± 0.23 | 84% | 1% | 8% | 7% | NF | NF | GL | NF | 0.55 ± 0.03 | 0.52 ± 0.02 | 0 | 0.06 | 131.28 | 0.05 | 0.03 | 136.97 | 0.03 |
| P0102 | 22 | 0.60 ± 0.05 | 0.61 ± 0.05 | 0.60 | 0.52 ± 0.05 | 0.58 | 0.61 ± 0.06 | 65% | 1% | 20% | 14% | NF | MF | GL | BF | 0.57 ± 0.03 | 0.54 ± 0.02 | 0 | 0.11 | 188.48 | 0.12 | 0.04 | 276.21 | 0.05 |
| P0103 | 20 | 0.61 ± 0.07 | 0.64 ± 0.07 | 0.61 | 0.61 ± 0.09 | 0.59 | 0.65 ± 0.06 | 48% | 4% | 14% | 34% | MF | MF | GL | WSa | 0.63 ± 0.14 | 0.62 ± 0.03 | 0 | 0.17 | 249.10 | 0.21 | 0.05 | 88.73 | 0.05 |
| P0104 | 20 | 0.66 ± 0.09 | 0.67 ± 0.09 | 0.61 | 0.60 ± 0.16 | 0.55 | 0.67 ± 0.07 | 55% | 5% | 10% | 30% | MF | MF | GL | WSa | 0.70 ± 0.03 | 0.61 ± 0.03 | 0 | 0.12 | 122.96 | 0.13 | 0.06 | 226.63 | 0.07 |
| P0201 | 35 | 0.56 ± 0.04 | 0.56 ± 0.04 | 0.60 | 0.50 ± 0.03 | 0.58 | 0.56 ± 0.04 | 97% | 0% | 1% | 2% | NF | MF | BF | BF | 0.51 ± 0.03 | 0.55 ± 0.01 | 0 | 0.01 | Model Not Fit | 0.02 | 105.13 | 0.02 | |
| P0202 | 27 | 0.54 ± 0.06 | 0.54 ± 0.06 | 0.60 | 0.50 ± 0.04 | 0.59 | 0.55 ± 0.05 | 99% | 0% | 1% | 0% | NF | NF | BF | NF | 0.51 ± 0.01 | 0.48 ± 0.01 | 0 | 0.01 | 113.93 | 0.01 | 0.04 | 163.54 | 0.04 |
| P0203 | 32 | 0.64 ± 0.14 | 0.65 ± 0.14 | 0.59 | 0.59 ± 0.12 | 0.57 | 0.66 ± 0.24 | 57% | 18% | 11% | 14% | MF | MF | BF | GL | 0.60 ± 0.03 | 0.63 ± 0.07 | 0 | 0.21 | 83.16 | 0.23 | 0.16 | 383.62 | 0.20 |
| P0204 | 16 | 0.77 ± 0.10 | 0.74 ± 0.10 | 0.72 | 0.72 ± 0.01 | 0.70 | 0.74 ± 0.06 | 7% | 31% | 10% | 53% | WSa | WSa | GL | BF | 0.64 ± 0.03 | 0.71 ± 0.01 | 0 | 0.06 | 209.36 | 0.07 | 0.04 | 150.15 | 0.05 |
| P0301 | 29 | 0.58 ± 0.05 | 0.62 ± 0.05 | 0.58 | 0.57 ± 0.06 | 0.59 | 0.63 ± 0.07 | 47% | 2% | 20% | 32% | MF | MF | GL | GL | 0.68 ± 0.15 | 0.62 ± 0.03 | 0 | 0.09 | 144.30 | 0.09 | 0.06 | 115.36 | 0.05 |
| P0302 | 29 | 0.55 ± 0.05 | 0.63 ± 0.05 | 0.57 | 0.57 ± 0.07 | 0.56 | 0.62 ± 0.08 | 51% | 1% | 4% | 45% | WSa | MF | GL | GL | 0.62 ± 0.01 | 0.61 ± 0.10 | 0 | 0.17 | 368.64 | 0.24 | 0.08 | 411.84 | 0.12 |
| P0303 | 28 | 0.58 ± 0.04 | 0.61 ± 0.04 | 0.62 | 0.55 ± 0.05 | 0.60 | 0.61 ± 0.06 | 78% | 0% | 1% | 21% | NF | NF | GL | BF | 0.58 ± 0.05 | 0.54 ± 0.02 | 0 | 0.13 | 377.23 | 0.16 | 0.04 | Model Not Fit | |
| P0304 | 27 | 0.58 ± 0.07 | 0.61 ± 0.07 | 0.61 | 0.54 ± 0.02 | 0.61 | 0.63 ± 0.09 | 65% | 3% | 5% | 26% | NF | NF | GL | GL | 0.52 ± 0.06 | 0.54 ± 0.02 | 1 | 0.18 | 317.48 | 0.20 | 0.09 | 208.63 | 0.09 |
Disclaimer/Publisher’s Note: The statements, opinions and data contained in all publications are solely those of the individual author(s) and contributor(s) and not of MDPI and/or the editor(s). MDPI and/or the editor(s) disclaim responsibility for any injury to people or property resulting from any ideas, methods, instructions or products referred to in the content. |
© 2025 by the authors. Licensee MDPI, Basel, Switzerland. This article is an open access article distributed under the terms and conditions of the Creative Commons Attribution (CC BY) license (https://creativecommons.org/licenses/by/4.0/).
Share and Cite
Yin, S.; Jiao, Z.; Dong, Y.; Cui, L.; Ding, A.; Qiu, F.; Zhang, Q.; Zhang, Y.; Zhang, X.; Guo, J.; et al. Validation of the MODIS Clumping Index: A Case Study in Saihanba National Forest Park. Remote Sens. 2025, 17, 3770. https://doi.org/10.3390/rs17223770
Yin S, Jiao Z, Dong Y, Cui L, Ding A, Qiu F, Zhang Q, Zhang Y, Zhang X, Guo J, et al. Validation of the MODIS Clumping Index: A Case Study in Saihanba National Forest Park. Remote Sensing. 2025; 17(22):3770. https://doi.org/10.3390/rs17223770
Chicago/Turabian StyleYin, Siyang, Ziti Jiao, Yadong Dong, Lei Cui, Anxin Ding, Feng Qiu, Qian Zhang, Yongguang Zhang, Xiaoning Zhang, Jing Guo, and et al. 2025. "Validation of the MODIS Clumping Index: A Case Study in Saihanba National Forest Park" Remote Sensing 17, no. 22: 3770. https://doi.org/10.3390/rs17223770
APA StyleYin, S., Jiao, Z., Dong, Y., Cui, L., Ding, A., Qiu, F., Zhang, Q., Zhang, Y., Zhang, X., Guo, J., Xie, R., Tong, Y., Zhu, Z., Li, S., Wang, C., & Jiao, J. (2025). Validation of the MODIS Clumping Index: A Case Study in Saihanba National Forest Park. Remote Sensing, 17(22), 3770. https://doi.org/10.3390/rs17223770

