Towards Accurate Prediction of Runout Distance of Rainfall-Induced Shallow Landslides: An Integrated Remote Sensing and Explainable Machine Learning Framework in Southeast China
Highlights
- An integrated framework combining RAC-Unet deep learning and XGBoost-SHAP explainable AI was successfully developed, achieving high-precision identification of 34,376 shallow landslides and accurate prediction of their runout distance (R2 = 0.923).
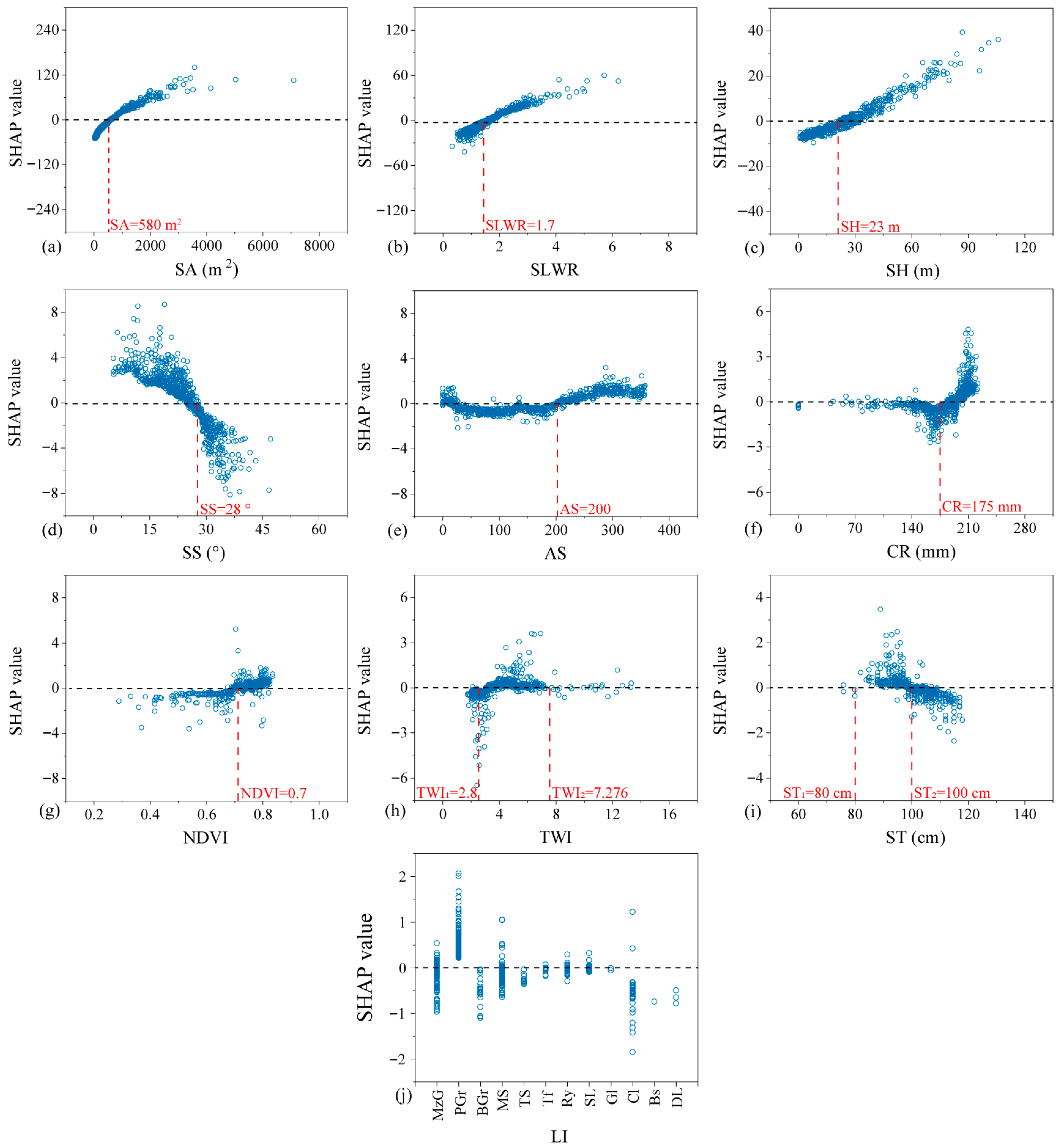
- The SHAP analysis systematically revealed the nonlinear mechanisms and threshold effects of key controlling factors, identifying source area (SA) as the primary factor with a significant scaling effect, followed by the source length/width ratio (SLWR) and source slope (SS).
- The study provides a transformative solution to the “data bottleneck” in land-slide hazard analysis by enabling the automated construction of large-scale, standardized landslide inventories, which is crucial for training robust data-driven models.
- A simplified predictive model requiring only three easily obtainable parameters (SA, SLWR, SS) was constructed (R2 = 0.862), bridging the gap between complex algorithms and practical application for rapid pre-disaster risk assessment and post-disaster emergency response.
Abstract
1. Introduction
2. Materials
2.1. Study Area
2.2. The June 2024 Landslide Event
3. Data and Methods
3.1. Data Sources
3.2. Methodology
3.2.1. Landslide Identification Using the RAC-Unet Deep Learning Model
3.2.2. Construction of a Standardized Landslide Runout Database
3.2.3. Predictor Variable Selection
3.2.4. Correlation and Collinearity Analysis
3.2.5. Landslide Runout Displacement Prediction Model Development and Evaluation
3.2.6. Significance Analysis
3.2.7. Explainable AI Analysis with SHAP Framework
4. Results
4.1. Landslide Inventory and Runout Sample Dataset
4.2. Variable Association Test and Redundancy Diagnostic Results
4.3. Optimal Hyperparameter Combination and Model Performance
4.3.1. Hyperparameter Optimization Results
4.3.2. Performance and Generalization of Runout Assessment Models
4.3.3. Model Comparison Significance
4.4. Influence Mechanisms of Controlling Factors Revealed by Explainable AI
4.5. A Simplified Predictive Model for Practical Application
5. Discussion
6. Conclusions
Author Contributions
Funding
Data Availability Statement
Conflicts of Interest
References
- Bellugi, D.G.; Milledge, D.G.; Cuffey, K.M.; Dietrich, W.E.; Larsen, L.G. Controls on the Size Distributions of Shallow Landslides. Proc. Natl. Acad. Sci. USA 2021, 118, e2021855118. [Google Scholar] [CrossRef]
- Yu, B.; Ye, P.; Ma, E.; Xu, Q.; Li, W. Threshold Prediction Model for the Occurrence of Shallow Soil Landslides in Red Beds Triggered by Heavy Rainfall. Bull. Eng. Geol. Environ. 2024, 83, 192. [Google Scholar] [CrossRef]
- Ma, H.; Wang, F. Factors Controlling the Formation and Movement of Clustered Shallow Landslides Triggered by the Extreme Rainstorm in July 2023 in Beijing, China. Geomorphology 2025, 478, 109728. [Google Scholar] [CrossRef]
- Li, S.; Feng, W.; Yi, X.; Liu, K.; Guo, C.; Tang, X.; Wu, Z. Clustered Shallow Landslides Triggered by Heavy Rainfall in May 2022 in Wuping County, Fujian Province, China. Bull. Eng. Geol. Env. 2025, 84, 257. [Google Scholar] [CrossRef]
- Zhao, J.; Feng, W.; Yi, X.; Zhao, Y.; Ding, Z.; Wang, Y. Clustered Shallow Landslides Caused by Extreme Typhoon Rainstorms in Zixing County, Hunan Province, China, from July 26 to 28, 2024. Landslides 2025, 22, 2141–2147. [Google Scholar] [CrossRef]
- Ma, H.; Wang, F.; Fu, Z.; Feng, Y.; You, Q.; Li, S. Characterizing the Clustered Landslides Triggered by Extreme Rainfall during the 2024 Typhoon Gaemi in Zixing City, Hunan Province, China. Landslides 2025, 22, 2311–2329. [Google Scholar] [CrossRef]
- Fu, Z.; Wang, F.; Ma, H.; You, Q.; Feng, Y. Records of Shallow Landslides Triggered by Extreme Rainfall in July 2024 in Zixing, China. Sci. Data 2025, 12, 1364. [Google Scholar] [CrossRef] [PubMed]
- Yang, G.; Zhao, L.; Qin, Y.; Yang, T.; Chen, S. Clustered Landslides Induced by Rainfall in Jiangwan Town, Shaoguan City, Guangdong Province, China. Landslides 2025, 22, 1325–1338. [Google Scholar] [CrossRef]
- Yi, X.; Zhao, J.; Feng, W.; Guo, C.; Zhao, Y.; Xue, Z.; Li, S. Data-Driven Insights into the Characteristics and Drivers of the June 16, 2024 Clustered Shallow Landslides in Southeastern China. Landslides 2025, 22, 3049–3064. [Google Scholar] [CrossRef]
- Han, Y.; Semnani, S.J. Important Considerations in Machine Learning-Based Landslide Susceptibility Assessment under Future Climate Conditions. Acta Geotech. 2025, 20, 475–500. [Google Scholar] [CrossRef]
- Chen, Y. Spatial Prediction and Mapping of Landslide Susceptibility Using Machine Learning Models. Nat. Hazards 2025, 121, 8367–8385. [Google Scholar] [CrossRef]
- Zhao, P.; Wang, Y.; Xie, Y.; Uddin, M.G.; Xu, Z.; Chang, X.; Zhang, Y. Landslide Susceptibility Assessment Using Information Quantity and Machine Learning Integrated Models: A Case Study of Sichuan Province, Southwestern China. Earth Sci. Inform. 2025, 18, 190. [Google Scholar] [CrossRef]
- Guo, D.; Hamada, M.; He, C.; Wang, Y.; Zou, Y. An Empirical Model for Landslide Travel Distance Prediction in Wenchuan Earthquake Area. Landslides 2014, 11, 281–291. [Google Scholar] [CrossRef]
- Zhao, B. Landslides Triggered by the 2018 Mw 7.5 Palu Supershear Earthquake in Indonesia. Eng. Geol. 2021, 294, 106406. [Google Scholar] [CrossRef]
- Hattanji, T.; Moriwaki, H. Morphometric Analysis of Relic Landslides Using Detailed Landslide Distribution Maps: Implications for Forecasting Travel Distance of Future Landslides. Geomorphology 2009, 103, 447–454. [Google Scholar] [CrossRef]
- Stamatopoulos, C.A.; Di, B. Analytical and Approximate Expressions Predicting Post-Failure Landslide Displacement Using the Multi-Block Model and Energy Methods. Landslides 2015, 12, 1207–1213. [Google Scholar] [CrossRef]
- Su, X.; Wei, W.; Ye, W.; Meng, X.; Wu, W. Predicting Landslide Sliding Distance Based on Energy Dissipation and Mass Point Kinematics. Nat. Hazards 2019, 96, 1367–1385. [Google Scholar] [CrossRef]
- Zhang, Z.; Zeng, R.; Meng, X.; Zhao, S.; Meng, X.; Yao, Y.; Wang, H.; Guo, W.; Chen, G.; Zhang, Y. Estimating Landslide Sliding Distance Based on an Improved Heim Sled Model. Catena 2021, 204, 105401. [Google Scholar] [CrossRef]
- Zhuang, J.; Peng, J. A Coupled Slope Cutting—A Prolonged Rainfall-Induced Loess Landslide: A 17 October 2011 Case Study. Bull. Eng. Geol. Env. 2014, 73, 997–1011. [Google Scholar] [CrossRef]
- Qiu, C.; Su, L.; Bian, C.; Zhao, B.; Geng, X. An AI-Based Method for Estimating the Potential Runout Distance of Post-Seismic Debris Flows. Int. J. Disaster Risk Sci. 2024, 15, 608–621. [Google Scholar] [CrossRef]
- Qiu, C.; Geng, X. Travel Distance Estimation of Landslide-Induced Debris Flows by Machine Learning Method in Nepal Himalaya after the Gorkha Earthquake. Bull. Eng. Geol. Environ. 2024, 83, 395. [Google Scholar] [CrossRef]
- Ogrizović, M.; Drašković, D.; Bojić, D. Quality Assurance Strategies for Machine Learning Applications in Big Data Analytics: An Overview. J. Big Data 2024, 11, 156. [Google Scholar] [CrossRef]
- Pawar, N.S.; Sharma, K.V. Comprehensive Review of Remote Sensing Integration with Deep Learning in Landslide Forecasting and Future Directions. Nat. Hazards 2025. [Google Scholar] [CrossRef]
- Lin, H.; Li, L.; Qiang, Y.; Xu, X.; Liang, S.; Chen, T.; Yang, W.; Zhang, Y. A Method for Landslide Identification and Detection in High-Precision Aerial Imagery: Progressive CBAM-U-Net Model. Earth Sci. Inform. 2024, 17, 5487–5498. [Google Scholar] [CrossRef]
- Şener, A.; Ergen, B. LandslideSegNet: An Effective Deep Learning Network for Landslide Segmentation Using Remote Sensing Imagery. Earth Sci. Inform. 2024, 17, 3963–3977. [Google Scholar] [CrossRef]
- Li, Y. The Research on Landslide Detection in Remote Sensing Images Based on Improved DeepLabv3+ Method. Sci. Rep. 2025, 15, 7957. [Google Scholar] [CrossRef]
- Giarola, A.; Meisina, C.; Tarolli, P.; Zucca, F.; Galve, J.P.; Bordoni, M. A Data-Driven Method for the Estimation of Shallow Landslide Runout. Catena 2024, 234, 107573. [Google Scholar] [CrossRef]
- Lundberg, S.M.; Erion, G.; Chen, H.; DeGrave, A.; Prutkin, J.M.; Nair, B.; Katz, R.; Himmelfarb, J.; Bansal, N.; Lee, S.-I. From Local Explanations to Global Understanding with Explainable AI for Trees. Nat. Mach. Intell. 2020, 2, 56–67. [Google Scholar] [CrossRef]
- Lu, Z.; Liu, G.; Zhao, X.; Sun, K.; Chen, Y.; Song, Z.; Xue, K.; Yang, M. Landslide Susceptibility Assessment Based on an Interpretable Coupled FR-RF Model: A Case Study of Longyan City, Fujian Province, Southeast China. China Geol. 2025, 8, 281–294. [Google Scholar] [CrossRef]
- Feng, W.; Bai, H.; Lan, B.; Wu, Y.; Wu, Z.; Yan, L.; Ma, X. Spatial–Temporal Distribution and Failure Mechanism of Group-Occurring Landslides in Mibei Village, Longchuan County, Guangdong, China. Landslides 2022, 19, 1957–1970. [Google Scholar] [CrossRef]
- Xiao, A.; Shan, J.; Chen, H.; Bao, H.; Xia, H.; Li, Z.; Liu, X. Mesoscale Characteristics of Exceptionally Heavy Rainfall during 4–6 May 2023 in Jiangxi, China. Atmosphere 2023, 14, 1735. [Google Scholar] [CrossRef]
- Ronneberger, O.; Fischer, P.; Brox, T. U-Net: Convolutional Networks for Biomedical Image Segmentation. arXiv 2015, arXiv:1505.04597. [Google Scholar] [CrossRef]
- He, K.; Zhang, X.; Ren, S.; Sun, J. Deep Residual Learning for Image Recognition. arXiv 2015, arXiv:1512.03385. [Google Scholar] [CrossRef]
- Chen, L.-C.; Papandreou, G.; Schroff, F.; Adam, H. Rethinking Atrous Convolution for Semantic Image Segmentation. arXiv 2017, arXiv:1706.05587. [Google Scholar] [CrossRef]
- Woo, S.; Park, J.; Lee, J.-Y.; Kweon, I.S. CBAM: Convolutional Block Attention Module. arXiv 2018, arXiv:1807.06521. [Google Scholar] [CrossRef]
- Lombardo, L.; Tanyas, H.; Huser, R.; Guzzetti, F.; Castro-Camilo, D. Landslide Size Matters: A New Data-Driven, Spatial Prototype. Eng. Geol. 2021, 293, 106288. [Google Scholar] [CrossRef]
- Li, L.; Lan, H.; Strom, A.; Macciotta, R. Landslide Longitudinal Shape: A New Concept for Complementing Landslide Aspect Ratio. Landslides 2022, 19, 1143–1163. [Google Scholar] [CrossRef]
- Gao, L.; Zhang, L.M.; Chen, H.X.; Fei, K.; Hong, Y. Topography and Geology Effects on Travel Distances of Natural Terrain Landslides: Evidence from a Large Multi-Temporal Landslide Inventory in Hong Kong. Eng. Geol. 2021, 292, 106266. [Google Scholar] [CrossRef]
- Jiang, H.; Zou, Q.; Zhou, B.; Jiang, Y.; Cui, J.; Yao, H.; Zhou, W. Estimation of Shallow Landslide Susceptibility Incorporating the Impacts of Vegetation on Slope Stability. Int. J. Disaster Risk Sci. 2023, 14, 618–635. [Google Scholar] [CrossRef]
- Wang, H.; Wu, W.; Yang, W.; Liu, M. Examining the Contribution of Lithology and Precipitation to the Performance of Earthquake-Induced Landslide Hazard Prediction. Front. Earth Sci. 2024, 12, 1431203. [Google Scholar] [CrossRef]
- Schaller, C.; Dorren, L.; Schwarz, M.; Moos, C.; Seijmonsbergen, A.C.; Van Loon, E.E. Predicting the Thickness of Shallow Landslides in Switzerland Using Machine Learning. Nat. Hazards Earth Syst. Sci. 2025, 25, 467–491. [Google Scholar] [CrossRef]
- Zhou, S.; Zhu, C.; Huang, Y.; Sun, J. Impact of Terrain Variation on Landslide Mobility: Insights from DEM Simulations. Comput. Geotech. 2025, 179, 107050. [Google Scholar] [CrossRef]
- Capitani, M.; Ribolini, A.; Bini, M. The Slope Aspect: A Predisposing Factor for Landsliding? Comptes Rendus. Géosci. 2013, 345, 427–438. [Google Scholar] [CrossRef]
- Alcântara, E.; Baião, C.F.; Guimarães, Y.C.; Mantovani, J.R.; Marengo, J.A. Machine Learning Reveals Lithology and Soil as Critical Parameters in Landslide Susceptibility for Petrópolis (Rio de Janeiro State, Brazil). Nat. Hazards Res. 2025, 5, 539–553. [Google Scholar] [CrossRef]
- Hong, H. Assessing Landslide Susceptibility Based on Hybrid Best-First Decision Tree with Ensemble Learning Model. Ecol. Indic. 2023, 147, 109968. [Google Scholar] [CrossRef]
- Schaller, C.; Dorren, L.; Cohen, D.; Seijmonsbergen, A.C.; Van Loon, E.E. Optimisation and Application of a High-Resolution Shallow Landslide Model at Regional Scale. Nat. Hazards 2025. [Google Scholar] [CrossRef]
- Luu, C.; Ha, H.; Thong Tran, X.; Ha Vu, T.; Duy Bui, Q. Landslide Susceptibility and Building Exposure Assessment Using Machine Learning Models and Geospatial Analysis Techniques. Adv. Space Res. 2024, 74, 5489–5513. [Google Scholar] [CrossRef]
- Dou, J.; Yunus, A.P.; Bui, D.T.; Merghadi, A.; Sahana, M.; Zhu, Z.; Chen, C.-W.; Han, Z.; Pham, B.T. Improved Landslide Assessment Using Support Vector Machine with Bagging, Boosting, and Stacking Ensemble Machine Learning Framework in a Mountainous Watershed, Japan. Landslides 2020, 17, 641–658. [Google Scholar] [CrossRef]
- Tzampoglou, P.; Loukidis, D.; Anastasiades, A.; Tsangaratos, P. Advanced Machine Learning Techniques for Enhanced Landslide Susceptibility Mapping: Integrating Geotechnical Parameters in the Case of Southwestern Cyprus. Earth Sci. Inform. 2024, 18, 357. [Google Scholar] [CrossRef]
















| Symbol | Influential Factor Description | Influence | Data Source | Record Period | References |
|---|---|---|---|---|---|
| SA | Area of the sliding source zone (m2) | Determines the volume and mass of the potential sliding body, thus influencing kinetic energy and impact area. | From DEM | 2006 | [36] |
| SLWR | Length/width ratio of the sliding source zone | Reflects the shape of the source area; a higher ratio promotes concentrated runout in the main direction, reducing lateral energy dissipation. | From DEM | 2006 | [37] |
| SS | Average slope of the source zone (°) | Affects the conversion efficiency of gravitational potential energy to kinetic energy and the length of the acceleration zone. | From DEM | 2006 | [38] |
| SH | Height difference in the source zone (m) | Determines the maximum available gravitational potential energy of the sliding body. | From DEM | 2006 | [38] |
| NDVI | Normalized Difference Vegetation Index | Influences slope stability through root reinforcement (stabilizing) and adds mass to the sliding body (destabilizing). | https://www.resdc.cn/DOI/DOI.aspx?DOIid=68 (accessed on 3 November 2025) | 2020 | [39] |
| CR | Cumulative rainfall (mm) | Increases pore water pressure, reduces shear strength of the soil, and enhances the fluidity of the sliding mass. | https://gpm.nasa.gov/data (accessed on 3 November 2025) | 2024 | [40] |
| ST | Soil thickness (cm) | Controls the mass of the sliding body; an optimal thickness range may correspond to a weak interface between residual soil and bedrock. | https://www.geodata.cn/main/face_science_detail?typeName=face_science&guid=72011393607093 (accessed on 3 November 2025) | 2010 | [41] |
| TRI | Terrain Ruggedness Index | Describes the roughness of the runout path, influencing energy dissipation through friction and collisions. | From DEM | 2006 | [42] |
| TWI | Topographic Wetness Index | Indicates potential soil moisture concentration areas, affecting pore water pressure and shear strength. | From DEM | 2006 | [39] |
| AS | Slope aspect | Indirectly influences stability through differential solar radiation, weathering, and vegetation growth. | From DEM | 2006 | [43] |
| LI | Lithology | Affects weathering characteristics, soil geotechnical properties, and the formation of weak sliding surfaces. | https://geocloudsso.cgs.gov.cn (accessed on 3 November 2025) | / | [44] |
| Model | Parameter Scale | Parameter Explanation |
|---|---|---|
| XGBoost | N_estimators: (100, 500) Max_depth: (3, 10) Learning_rate: (0.01, 0.3) Colsample_bytree: (0.5, 1) Subsample: (0.5, 1.0) min_child_weight: (1, 10) | N_estimators: The number of decision trees in the integrated model Max_depth: The maximum depth of each decision tree Learning_rate: The weight reduction coefficient of each tree Colsample_bytree: The proportion of randomly selected features during the training of each tree Gamma: The minimum reduction in loss required for node splitting |
| RF | N_estimators: (100, 500) Max_depth: (5, 30) Min_samples_split: (2, 20) Min_samples_leaf: (1, 10) | N_estimators: The number of decision trees in the integrated model Max_depth: The maximum depth of each decision tree Min_samples_split: The minimum number of samples required to split an internal node Min_samples_leaf: The minimum number of samples required for leaf nodes (terminal nodes) |
| SVM | C: (0.1, 200) Gamma: (0.001, 5) Kernel: (rbf, poly) | C: Regularization parameter range Gamma: Range of nuclear coefficient parameters Kernel: kernel function |
| KNN | N_neighbors: (2, 30) P: (1, 2) | N_neighbor: Range of the number of neighbors P: Distance measurement parameters: 1 represents Manhattan distance, 2 represents Euclidean distance. |
| Model | Precision (%) | Recall (%) | F1 Score (%) | MIoU (%) |
|---|---|---|---|---|
| U-Net | 85.8 | 86.7 | 86.2 | 85.7 |
| Res-Unet | 87.6 (+1.8) | 86.1 (−0.6) | 87.3 (+1.1) | 86.8 (+1.1) |
| Res-Unet + ASPP | 88.4 (+2.6) | 87.1 (+0.4) | 87.8 (+1.6) | 87.2 (+1.5) |
| Res-Unet + ASPP + CBAM (RAC-Unet) | 89.9 (+4.1) | 88.6 (+1.9) | 90.3 (+4.1) | 88.6 (+2.9) |
| Factor | VIF Value | Factor | VIF Value |
|---|---|---|---|
| SA | 2.14 | ST | 1.14 |
| SLWR | 1.31 | TRI | 4.35 |
| SS | 4.69 | TWI | 1.08 |
| SH | 3.07 | AS | 1.01 |
| NDVI | 1.2 | LI | 1.02 |
| CR | 1.06 | / | / |
| Model | Optimal Iteration Num | Optimal Parameter | Computation Time |
|---|---|---|---|
| XGBoost | 95 | N_estimators = 476 Max_depth = 6 Learning_rate = 0.014 Colsample_bytree = 1 Subsample = 0.556 min_child_weight = 9.49 | 1182 s |
| RF | 473 | N_estimators = 386 Max_depth = 13 Min_samples_split = 6 Min_samples_leaf = 6 | 2679 s |
| SVM | 395 | C = 97.205 Gamma = 1.145 Kernel = rbf | 1520 s |
| KNN | 28 | N_neighbors = 7 P = 1 | 439 s |
| Pairs | p-Value | Z-Value | Significance |
|---|---|---|---|
| XGBoost-RF | 0.738162 | −0.334289 | No |
| XGBoost-SVM | 2 × 10−8 | −5.610127 | Yes |
| XGBoost-KNN | 0.050838 | −1.952849 | No |
| RF-SVM | 0.000076 | −3.958305 | Yes |
| RF-KNN | 0.056046 | −1.910680 | No |
| KNN-SVM | 0.516997 | −0.647981 | No |
| Parameter | Total Sensitivity Index |
|---|---|
| SA | 0.6009 |
| SLWR | 0.3987 |
| SS | 0.0002 |
Disclaimer/Publisher’s Note: The statements, opinions and data contained in all publications are solely those of the individual author(s) and contributor(s) and not of MDPI and/or the editor(s). MDPI and/or the editor(s) disclaim responsibility for any injury to people or property resulting from any ideas, methods, instructions or products referred to in the content. |
© 2025 by the authors. Licensee MDPI, Basel, Switzerland. This article is an open access article distributed under the terms and conditions of the Creative Commons Attribution (CC BY) license (https://creativecommons.org/licenses/by/4.0/).
Share and Cite
Yi, X.; Wang, Y.; Feng, W.; Zhao, J.; Xue, Z.; Huang, R. Towards Accurate Prediction of Runout Distance of Rainfall-Induced Shallow Landslides: An Integrated Remote Sensing and Explainable Machine Learning Framework in Southeast China. Remote Sens. 2025, 17, 3660. https://doi.org/10.3390/rs17223660
Yi X, Wang Y, Feng W, Zhao J, Xue Z, Huang R. Towards Accurate Prediction of Runout Distance of Rainfall-Induced Shallow Landslides: An Integrated Remote Sensing and Explainable Machine Learning Framework in Southeast China. Remote Sensing. 2025; 17(22):3660. https://doi.org/10.3390/rs17223660
Chicago/Turabian StyleYi, Xiaoyu, Yuan Wang, Wenkai Feng, Jiachen Zhao, Zhenghai Xue, and Ruijian Huang. 2025. "Towards Accurate Prediction of Runout Distance of Rainfall-Induced Shallow Landslides: An Integrated Remote Sensing and Explainable Machine Learning Framework in Southeast China" Remote Sensing 17, no. 22: 3660. https://doi.org/10.3390/rs17223660
APA StyleYi, X., Wang, Y., Feng, W., Zhao, J., Xue, Z., & Huang, R. (2025). Towards Accurate Prediction of Runout Distance of Rainfall-Induced Shallow Landslides: An Integrated Remote Sensing and Explainable Machine Learning Framework in Southeast China. Remote Sensing, 17(22), 3660. https://doi.org/10.3390/rs17223660

