Long-Term Spatiotemporal Relationship of Urban–Rural Gradient Between Land Surface Temperature and Nighttime Light in Representative Cities Across China’s Climate Zones
Highlights
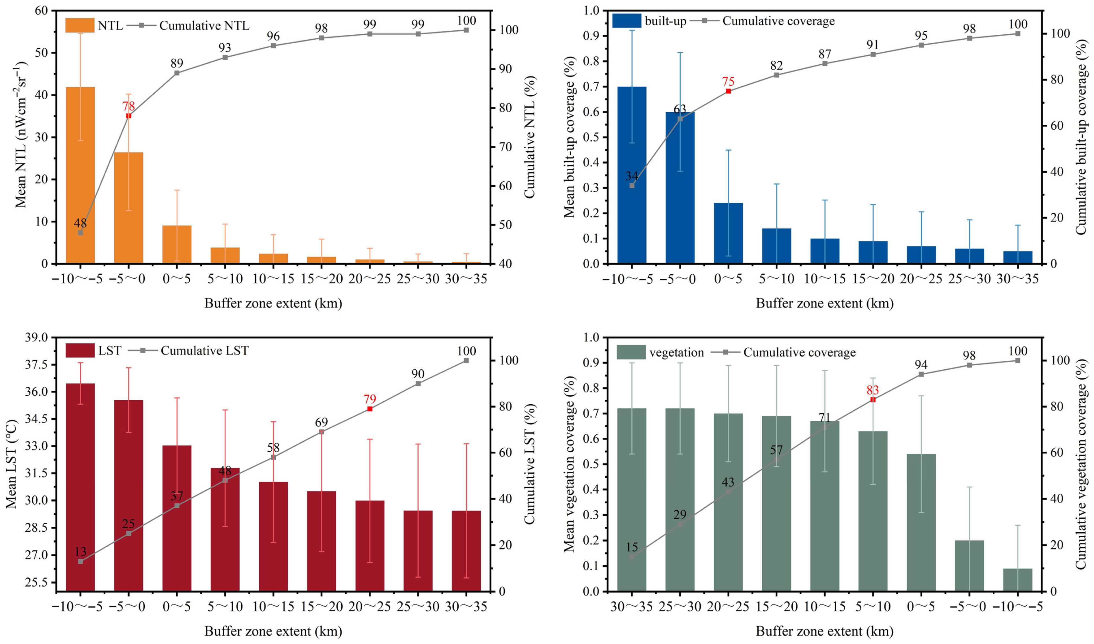
- Nighttime light rose more rapidly than land surface temperature, with the strongest light–heat coupling in suburban zones and pronounced spatial heterogeneity across climate zones.
- Light–heat relationships exhibited a distance-decay pattern, showing synchronized increases in eastern coastal cities but decoupling in plateau and arid regions.
- The results highlight the need for climate-specific adaptation strategies that consider local climatic and geographic contexts.
- The study provides a systematic quantification of urban–rural light–heat interactions across multiple climate zones, revealing spatial patterns previously underexplored.
Abstract
1. Introduction
2. Materials and Methods
2.1. Study Area
2.2. Data Sources and Processing
2.3. Methods
2.3.1. Urban and Rural Divisions
2.3.2. Gradient Analysis
2.3.3. Trend Analysis
2.3.4. Correlation Analysis
2.3.5. Spatial Autocorrelation
2.3.6. Coupling Coordination Analysis
3. Results
3.1. Trend Analysis of LST vs. NTL
3.1.1. Interannual Trends of Climate Zones in China
3.1.2. Trends in Spatial Urban–Rural Gradient
3.1.3. Long-Term Trend Changes
3.2. Analysis of the Relationship Between LST and NTL
3.2.1. Pearson Correlation Analysis
3.2.2. Spatial Correlation Analysis
3.2.3. Analysis of Coupling Relationships
4. Discussion
4.1. Differences in Urban–Rural Trends Between NTL and LST
4.2. Long-Term Correlation Between NTL and LST
4.3. Implications for Urban Thermal Management
4.4. Uncertainty
5. Conclusions
Author Contributions
Funding
Data Availability Statement
Acknowledgments
Conflicts of Interest
Abbreviations
| NTL | Nighttime Light |
| LST | Land Surface Temperature |
| CCD | Coupling Coordination Degree |
References
- Oke, T.R. The Energetic Basis of the Urban Heat Island. Q. J. R. Meteorolog. Soc. 1982, 108, 1–24. [Google Scholar] [CrossRef]
- Liang, Z.; Huang, J.; Wang, Y.; Wei, F.; Wu, S.; Jiang, H.; Zhang, X.; Li, S. The Mediating Effect of Air Pollution in the Impacts of Urban Form on Nighttime Urban Heat Island Intensity. Sustain. Cities Soc. 2021, 74, 102985. [Google Scholar] [CrossRef]
- Li, X.; Zhou, Y.; Yu, S.; Jia, G.; Li, H.; Li, W. Urban Heat Island Impacts on Building Energy Consumption: A Review of Approaches and Findings. Energy 2019, 174, 407–419. [Google Scholar] [CrossRef]
- Yang, J.; Zhou, M.; Ren, Z.; Li, M.; Wang, B.; Liu, D.L.; Ou, C.-Q.; Yin, P.; Sun, J.; Tong, S.; et al. Projecting Heat-Related Excess Mortality under Climate Change Scenarios in China. Nat. Commun. 2021, 12, 1039. [Google Scholar] [CrossRef]
- Ullah, S.; You, Q.; Chen, D.; Sachindra, D.A.; AghaKouchak, A.; Kang, S.; Li, M.; Zhai, P.; Ullah, W. Future Population Exposure to Daytime and Nighttime Heat Waves in South Asia. Earth’s Future 2022, 10, e2021EF002511. [Google Scholar] [CrossRef]
- Doan, Q.-V.; Chen, F.; Kusaka, H.; Dipankar, A.; Khan, A.; Hamdi, R.; Roth, M.; Niyogi, D. Increased Risk of Extreme Precipitation over an Urban Agglomeration with Future Global Warming. Earth’s Future 2022, 10, e2021EF002563. [Google Scholar] [CrossRef]
- Taripanah, F.; Ranjbar, A. Quantitative Analysis of Spatial Distribution of Land Surface Temperature (LST) in Relation Ecohydrological, Terrain and Socio-Economic Factors Based on Landsat Data in Mountainous Area. Adv. Space Res. 2021, 68, 3622–3640. [Google Scholar] [CrossRef]
- Wang, C.; Ren, Z.; Guo, Y.; Zhang, P.; Hong, S.; Ma, Z.; Hong, W.; Wang, X. Assessing Urban Population Exposure Risk to Extreme Heat: Patterns, Trends, and Implications for Climate Resilience in China (2000–2020). Sustain. Cities Soc. 2024, 103, 105260. [Google Scholar] [CrossRef]
- Bennett, M.M.; Smith, L.C. Advances in Using Multitemporal Night-Time Lights Satellite Imagery to Detect, Estimate, and Monitor Socioeconomic Dynamics. Remote Sens. Environ. 2017, 192, 176–197. [Google Scholar] [CrossRef]
- Jia, M.; Li, X.; Gong, Y.; Belabbes, S.; Dell’Oro, L. Estimating Natural Disaster Loss Using Improved Daily Night-Time Light Data. Int. J. Appl. Earth Obs. Geoinf. 2023, 120, 103359. [Google Scholar] [CrossRef]
- Perez-Sindin, X.S.; Chen, T.-H.K.; Prishchepov, A. Are Night-Time Lights a Good Proxy of Economic Activity in Rural Areas in Middle and Low-Income Countries? Examining the Empirical Evidence from Colombia. Remote Sens. Appl. Soc. Environ. 2021, 24, 100647. [Google Scholar] [CrossRef]
- Xu, P.; Lin, M.; Jin, P. Spatio-Temporal Dynamics of Urbanization in China Using DMSP/OLS Nighttime Light Data from 1992–2013. Chin. Geogr. Sci. 2021, 31, 70–80. [Google Scholar] [CrossRef]
- Zhang, Q.; Seto, K.C. Mapping Urbanization Dynamics at Regional and Global Scales Using Multi-Temporal DMSP/OLS Nighttime Light Data. Remote Sens. Environ. 2011, 115, 2320–2329. [Google Scholar] [CrossRef]
- Shi, K.; Huang, C.; Yu, B.; Yin, B.; Huang, Y.; Wu, J. Evaluation of NPP-VIIRS Night-Time Light Composite Data for Extracting Built-up Urban Areas. Remote Sens. Lett. 2014, 5, 358–366. [Google Scholar] [CrossRef]
- Ren, J.; Yang, J.; Zhang, Y.; Xiao, X.; Xia, J.C.; Li, X.; Wang, S. Exploring Thermal Comfort of Urban Buildings Based on Local Climate Zones. J. Clean. Prod. 2022, 340, 130744. [Google Scholar] [CrossRef]
- Guo, A.; Yang, J.; Sun, W.; Xiao, X.; Xia Cecilia, J.; Jin, C.; Li, X. Impact of Urban Morphology and Landscape Characteristics on Spatiotemporal Heterogeneity of Land Surface Temperature. Sustain. Cities Soc. 2020, 63, 102443. [Google Scholar] [CrossRef]
- Fan, Q.; Shi, Y.; Mutale, B.; Cong, N. Spatiotemporal Gravitational Evolution of the Night Land Surface Temperature: An Empirical Study Based on Night Lights. Remote Sens. 2023, 15, 4347. [Google Scholar] [CrossRef]
- Li, L.; Yu, T.; Zhao, L.; Zhan, Y.; Zheng, F.; Zhang, Y.; Mumtaz, F.; Wang, C. Characteristics and Trend Analysis of the Relationship between Land Surface Temperature and Nighttime Light Intensity Levels over China. Infrared Phys. Technol. 2019, 97, 381–390. [Google Scholar] [CrossRef]
- Chen, W.; Zhang, Y.; Pengwang, C.; Gao, W. Evaluation of Urbanization Dynamics and Its Impacts on Surface Heat Islands: A Case Study of Beijing, China. Remote Sens. 2017, 9, 453. [Google Scholar] [CrossRef]
- Nganyiyimana, J.; Ngarambe, J.; Yun, G.Y. Nighttime Light: A Potential Proxy for Local Nocturnal Urban Heat Island Intensity in Seoul. J. Green Build. 2023, 18, 29–41. [Google Scholar] [CrossRef]
- Liu, X.; Li, X. Luojia Nighttime Light Data with a 130m Spatial Resolution Providing a Better Measurement of Gridded Anthropogenic Heat Flux than VIIRS. Sustain. Cities Soc. 2023, 94, 104565. [Google Scholar] [CrossRef]
- Dewan, A.; Kiselev, G.; Botje, D.; Mahmud, G.I.; Bhuian, M.H.; Hassan, Q.K. Surface Urban Heat Island Intensity in Five Major Cities of Bangladesh: Patterns, Drivers and Trends. Sustain. Cities Soc. 2021, 71, 102926. [Google Scholar] [CrossRef]
- Wu, Y.; Che, Y.; Liao, W.; Liu, X. The Impact of Urban Morphology on Land Surface Temperature across Urban-Rural Gradients in the Pearl River Delta, China. Build. Environ. 2025, 267, 112215. [Google Scholar] [CrossRef]
- Zhang, J.; Zhang, P.; Liu, Z.; Yang, D.; Li, M. Response of Vegetation Phenology to Seasonal Land Surface Temperature in the Beijing-Tianjin-Hebei Region under Urbanization Background. IEEE J. Sel. Top. Appl. Earth Obs. Remote Sens. 2025, 18, 12180–12193. [Google Scholar] [CrossRef]
- Yang, J.; Li, J.; Xu, F.; Li, S.; Zheng, M.; Gong, J. Urban Development Wave: Understanding Physical Spatial Processes of Urban Expansion from Density Gradient of New Urban Land. Comput. Environ. Urban Syst. 2022, 97, 101867. [Google Scholar] [CrossRef]
- Yang, L.; Li, X.; Shang, B. Impacts of Urban Expansion on the Urban Thermal Environment: A Case Study of Changchun, China. Chin. Geogr. Sci. 2022, 32, 79–92. [Google Scholar] [CrossRef]
- Zhou, D.; Zhao, S.; Liu, S.; Zhang, L.; Zhu, C. Surface Urban Heat Island in China’s 32 Major Cities: Spatial Patterns and Drivers. Remote Sens. Environ. 2014, 152, 51–61. [Google Scholar] [CrossRef]
- Zhao, C.; Zhu, H.; Zhang, S.; Jin, Z.; Zhang, Y.; Wang, Y.; Shi, Y.; Jiang, J.; Chen, X.; Liu, M. Long-term Trends in Surface Thermal Environment and Its Potential Drivers along the Urban Development Gradients in Rapidly Urbanizing Regions of China. Sustain. Cities Soc. 2024, 105, 105324. [Google Scholar] [CrossRef]
- Xie, J.; Zhou, S.; Chung, L.C.H.; Chan, T.O. Evaluating Land-Surface Warming and Cooling Environments across Urban–Rural Local Climate Zone Gradients in Subtropical Megacities. Build. Environ. 2024, 251, 111232. [Google Scholar] [CrossRef]
- Stuhlmacher, M.; Georgescu, M.; Turner, B.L.; Hu, Y.; Goldblatt, R.; Gupta, S.; Frazier, A.E.; Kim, Y.; Balling, R.C.; Clinton, N. Are Global Cities Homogenizing? An Assessment of Urban Form and Heat Island Implications. Cities 2022, 126, 103705. [Google Scholar] [CrossRef]
- Xue, X.; He, T.; Xu, L.; Tong, C.; Ye, Y.; Liu, H.; Xu, D.; Zheng, X. Quantifying the Spatial Pattern of Urban Heat Islands and the Associated Cooling Effect of Blue-Green Landscapes Using Multisource Remote Sensing Data. Sci. Total Environ. 2022, 843, 156829. [Google Scholar] [CrossRef]
- Yang, J.; Wang, Y.; Xiu, C.; Xiao, X.; Xia, J.; Jin, C. Optimizing Local Climate Zones to Mitigate Urban Heat Island Effect in Human Settlements. J. Clean. Prod. 2020, 275, 123767. [Google Scholar] [CrossRef]
- Quantifying Surface Urban Heat Island Variations and Patterns: Comparison of Two Cities in Three-Stage Dynamic Rural–Urban Transition. Sustain. Cities Soc. 2024, 109, 105538. [CrossRef]
- Guan, S.; Chen, Y.; Wang, T.; Hu, H. Mitigating Urban Heat Island through Urban-Rural Transition Zone Landscape Configuration: Evaluation Based on an Interpretable Ensemble Machine Learning Framework. Sustain. Cities Soc. 2025, 123, 106272. [Google Scholar] [CrossRef]
- Mortoja, M.G.; Yigitcanlar, T.; Mayere, S. What Is the Most Suitable Methodological Approach to Demarcate Peri-Urban Areas? A Systematic Review of the Literature. Land Use Policy 2020, 95, 104601. [Google Scholar] [CrossRef]
- Jingyun, Z.; Yunhe, Y.; Bingyuan, L. A New Scheme for Climate Regionalization in China. Acta Geogr. Sin. 2010, 65, 3–12. [Google Scholar] [CrossRef]
- Geng, X.; Zhang, D.; Li, C.; Yuan, Y.; Yu, Z.; Wang, X. Impacts of Climatic Zones on Urban Heat Island: Spatiotemporal Variations, Trends, and Drivers in China from 2001–2020. Sustain. Cities Soc. 2023, 89, 104303. [Google Scholar] [CrossRef]
- Peng, S.; Feng, Z.; Liao, H.; Huang, B.; Peng, S.; Zhou, T. Spatial-Temporal Pattern of, and Driving Forces for, Urban Heat Island in China. Ecol. Indic. 2019, 96, 127–132. [Google Scholar] [CrossRef]
- Li, J.; Wang, F.; Fu, Y.; Guo, B.; Zhao, Y.; Yu, H. A Novel SUHI Referenced Estimation Method for Multicenters Urban Agglomeration Using DMSP/OLS Nighttime Light Data. IEEE J. Sel. Top. Appl. Earth Obs. Remote Sens. 2020, 13, 1416–1425. [Google Scholar] [CrossRef]
- Wang, C.; Middel, A.; Myint, S.W.; Kaplan, S.; Brazel, A.J.; Lukasczyk, J. Assessing Local Climate Zones in Arid Cities: The Case of Phoenix, Arizona and Las Vegas, Nevada. ISPRS J. Photogramm. Remote Sens. 2018, 141, 59–71. [Google Scholar] [CrossRef]
- Qiu, R.; Zhan, Q.; Tu, S. Long-Term Global Trends and Influencing Factors of Surface Urban Cool and Heat Islands. Int. J. Digital Earth 2025, 18, 2489731. [Google Scholar] [CrossRef]
- Liu, Z.; Wang, J.; Ding, J.; Xie, X. Analysis of Spatial-Temporal Evolution Trends and Influential Factors of Desert-Oasis Thermal Environment in Typical Arid Zone: The Case of Turpan-Hami Region. Ecol. Indic. 2023, 154, 110747. [Google Scholar] [CrossRef]
- Wang, C.; Ren, Z.; Du, Y.; Guo, Y.; Zhang, P.; Wang, G.; Hong, S.; Ma, Z.; Hong, W.; Li, T. Urban Vegetation Cooling Capacity Was Enhanced under Rapid Urbanization in China. J. Clean. Prod. 2023, 425, 138906. [Google Scholar] [CrossRef]
- Amorim, M.C.d.C.T.; Dubreuil, V.; Amorim, A.T. Day and Night Surface and Atmospheric Heat Islands in a Continental and Temperate Tropical Environment. Urban Clim. 2021, 38, 100918. [Google Scholar] [CrossRef]
- Yao, N.; Li, Y.; Lei, T.; Peng, L. Drought Evolution, Severity and Trends in Mainland China over 1961–2013. Sci. Total Environ. 2018, 616, 73–89. [Google Scholar] [CrossRef]
- Chen, Z.; Yu, B.; Yang, C.; Zhou, Y.; Yao, S.; Qian, X.; Wang, C.; Wu, B.; Wu, J. An Extended Time Series (2000-2018) of Global NPP-VIIRS-like Nighttime Light Data from a Cross-Sensor Calibration. Earth Syst. Sci. Data 2021, 13, 889–906. [Google Scholar] [CrossRef]
- Yang, J.; Huang, X. The 30 m Annual Land Cover Dataset and Its Dynamics in China from 1990 to 2019. Earth Syst. Sci. Data 2021, 13, 3907–3925. [Google Scholar] [CrossRef]
- Li, X.; Gong, P.; Zhou, Y.; Wang, J.; Bai, Y.; Chen, B.; Hu, T.; Xiao, Y.; Xu, B.; Yang, J.; et al. Mapping Global Urban Boundaries from the Global Artificial Impervious Area (GAIA) Data. Environ. Res. Lett. 2020, 15, 94044. [Google Scholar] [CrossRef]
- Lian, D.; Yuan, B.; Li, X.; Shi, Z.; Ma, Q.; Hu, T.; Miao, S.; Huang, J.; Dong, G.; Liu, Y. The Contrasting Trend of Global Urbanization-Induced Impacts on Day and Night Land Surface Temperature from a Time-Series Perspective. Sustain. Cities Soc. 2024, 109, 105521. [Google Scholar] [CrossRef]
- Homer, C.; Dewitz, J.; Jin, S.; Xian, G.; Costello, C.; Danielson, P.; Gass, L.; Funk, M.; Wickham, J.; Stehman, S.; et al. Conterminous United States Land Cover Change Patterns 2001-2016 from the 2016 National Land Cover Database. ISPRS-J. Photogramm. Remote Sens. 2020, 162, 184–199. [Google Scholar] [CrossRef] [PubMed]
- Sun, Y.; Gao, C.; Li, J.; Li, W.; Ma, R. Examining Urban Thermal Environment Dynamics and Relations to Biophysical Composition and Configuration and Socio-Economic Factors: A Case Study of the Shanghai Metropolitan Region. Sustain. Cities Soc. 2018, 40, 284–295. [Google Scholar] [CrossRef]
- Burn, D.H.; Hag Elnur, M.A. Detection of Hydrologic Trends and Variability. J. Hydrol. 2002, 255, 107–122. [Google Scholar] [CrossRef]
- Sen, P.K. Estimates of the Regression Coefficient Based on Kendall’s Tau. J. Am. Stat. Assoc. 1968, 63, 1379–1389. [Google Scholar] [CrossRef]
- Anselin, L. Local Indicators of Spatial Association—LISA. Geogr. Anal. 1995, 27, 93–115. [Google Scholar] [CrossRef]
- Li, Y.; Li, Y.; Zhou, Y.; Shi, Y.; Zhu, X. Investigation of a Coupling Model of Coordination between Urbanization and the Environment. J. Environ. Manag. 2012, 98, 127–133. [Google Scholar] [CrossRef]
- Yao, L.; Li, X.; Li, Q.; Wang, J. Temporal and Spatial Changes in Coupling and Coordinating Degree of New Urbanization and Ecological-Environmental Stress in China. Sustainability 2019, 11, 1171. [Google Scholar] [CrossRef]
- Liu, S.; Liu, W.; Zhou, Y.; Wang, S.; Wang, Z.; Wang, Z.; Wang, Y.; Wang, X.; Hao, L.; Wang, F. Analysis of Economic Vitality and Development Equilibrium of China’s Three Major Urban Agglomerations Based on Nighttime Light Data. Remote Sens. 2024, 16, 4571. [Google Scholar] [CrossRef]
- Guo, A.; Yang, J.; Xiao, X.; Xia, J.; Jin, C.; Li, X. Influences of Urban Spatial Form on Urban Heat Island Effects at the Community Level in China. Sustain. Cities Soc. 2020, 53, 101972. [Google Scholar] [CrossRef]
- Han, S.; Li, W.; Kwan, M.-P.; Miao, C.; Sun, B. Do Polycentric Structures Reduce Surface Urban Heat Island Intensity? Appl. Geogr. 2022, 146, 102766. [Google Scholar] [CrossRef]
- Han, G.; Xu, J. Land Surface Phenology and Land Surface Temperature Changes along an Urban–Rural Gradient in Yangtze River Delta, China. Environ. Manag. 2013, 52, 234–249. [Google Scholar] [CrossRef]
- Jia, W.; Zhao, S. Trends and Drivers of Land Surface Temperature along the Urban-Rural Gradients in the Largest Urban Agglomeration of China. Sci. Total Environ. 2020, 711, 134579. [Google Scholar] [CrossRef] [PubMed]
- Wu, W.-B.; Yu, Z.-W.; Ma, J.; Zhao, B. Quantifying the Influence of 2D and 3D Urban Morphology on the Thermal Environment across Climatic Zones. Landsc. Urban Plan. 2022, 226, 104499. [Google Scholar] [CrossRef]
- Caicedo, V.; Rappenglueck, B.; Cuchiara, G.; Flynn, J.; Ferrare, R.; Scarino, A.J.; Berkoff, T.; Senff, C.; Langford, A.; Lefer, B. Bay Breeze and Sea Breeze Circulation Impacts on the Planetary Boundary Layer and Air Quality from an Observed and Modeled DISCOVER-AQ Texas Case Study. J. Geophys. Res. Atmos. 2019, 124, 7359–7378. [Google Scholar] [CrossRef]
- Zhu, Q.; Ran, L.; Zhang, Y.; Guan, Q. Integrating Geographic Knowledge into Deep Learning for Spatiotemporal Local Climate Zone Mapping Derived Thermal Environment Exploration across Chinese Climate Zones. ISPRS-J. Photogramm. Remote Sens. 2024, 217, 53–75. [Google Scholar] [CrossRef]
- Yue, X.; Liu, W.; Wang, X.; Yang, J.; Lan, Y.; Zhu, Z.; Yao, X. Constructing an Urban Heat Network to Mitigate the Urban Heat Island Effect from a Connectivity Perspective. Sustain. Cities Soc. 2024, 114, 105774. [Google Scholar] [CrossRef]
- Shi, Z.; Jia, G.; Hu, Y.; Zhou, Y. The Contribution of Intensified Urbanization Effects on Surface Warming Trends in China. Theor. Appl. Climatol. 2019, 138, 1125–1137. [Google Scholar] [CrossRef]
- Hong, T.; Huang, X.; Lv, Q.; Zhao, S.; Wang, Z.; Yang, Y. Thermal Mitigation in Coastal Cities: Marine and Urban Morphology Effects on Land Surface Temperature in Xiamen. Buildings 2025, 15, 1170. [Google Scholar] [CrossRef]
- Wang, J.; Cui, X.; Zhao, F.; Huang, M.; Guo, Y.; Wang, Q.; Shao, B.; Tong, Y. ECOSTRESS-Based Analysis of Diurnal Urban Heat Island Intensity and Thermal Dynamics Across LCZ in Six Chinese Cities with Diverse Terrain and Elevation. IEEE J. Sel. Top. Appl. Earth Observ. Remote Sens. 2025, 18, 15236–15248. [Google Scholar] [CrossRef]
- Sheng, L.; Tang, X.; You, H.; Gu, Q.; Hu, H. Comparison of the Urban Heat Island Intensity Quantified by Using Air Temperature and Landsat Land Surface Temperature in Hangzhou, China. Ecol. Indic. 2017, 72, 738–746. [Google Scholar] [CrossRef]
- Wang, C.; Zhan, W.; Li, L.; Wang, S.; Wang, C.; Miao, S.; Du, H.; Jiang, L.; Jiang, S. Urban Heat Islands Characterized by Six Thermal Indicators. Build. Environ. 2023, 244, 110820. [Google Scholar] [CrossRef]
- Xi, Y.; Wang, S.; Zou, Y.; Zhou, X.; Zhang, Y. Seasonal Surface Urban Heat Island Analysis Based on Local Climate Zones. Ecol. Indic. 2024, 159, 111669. [Google Scholar] [CrossRef]
- Peng, J.; Tian, L.; Liu, Y.; Zhao, M.; Hu, Y.; Wu, J. Ecosystem Services Response to Urbanization in Metropolitan Areas: Thresholds Identification. Sci. Total Environ. 2017, 607, 706–714. [Google Scholar] [CrossRef] [PubMed]
- Su, H.; Han, G.; Li, L.; Qin, H. The Impact of Macro-Scale Urban Form on Land Surface Temperature: An Empirical Study Based on Climate Zone, Urban Size and Industrial Structure in China. Sustain. Cities Soc. 2021, 74, 103217. [Google Scholar] [CrossRef]
















| Climate Zone | City | Climate Characteristics | City Size 1 | Location |
|---|---|---|---|---|
| Marginal tropical humid region | Guangzhou | Hot and humid climate under strong maritime influence, frequent typhoons | Megacity | Coastal estuarine delta |
| Nanning | Hot and humid, with stagnant air in an inland basin, calm winds, and heavy summer rainfall | Type II Big City | Inland basin | |
| Northern subtropical humid region | Shanghai | Four distinct seasons, strong maritime influence, mild and humid climate | Megacity | Coastal alluvial plain |
| Chengdu | Four distinct seasons, frequent fog and overcast conditions, basin confinement with stagnant air | Megacity | Inland basin | |
| Warm temperate semi-humid region | Tianjin | Cold winters and hot summers, spring droughts, partly moderated by maritime influence | Megacity | Coastal plain |
| Zhengzhou | Cold winters and hot summers, pronounced spring droughts, dominated by continental influence | Super-large City | Inland plain | |
| Plateau temperate semi-arid Region | Xining | Low temperatures, intense solar radiation, and extreme diurnal temperature variation | Type II Big City | Inland river valley |
| Mid temperate semi-humid region | Shenyang | Severe winters and relatively warm summers, characterized by strong continentality | Super-large City | Inland plain |
| Mid temperate semi-arid region | Hohhot | Arid climate with minimal precipitation, high evaporation, and large thermal fluctuations | Type II Big City | Inland plateau |
| Mid temperate arid region | Urumqi | Extremely arid, sparse vegetation, and pronounced diurnal and seasonal temperature variability | Type I Big City | Inland oasis |
| Climate Zone | Linear Regression (LST) | (LST) | p Value (LST) |
|---|---|---|---|
| Marginal tropical humid region | y = 0.008x + 12.611 | 0.030 | 0.46 |
| Northern subtropical humid region | y = 0.019x − 10.282 | 0.092 | 0.18 |
| Warm temperate semi-humid region | y = −0.0054x + 40.687 | 0.001 | 0.88 |
| Plateau temperate semi-arid region | y = 0.031x − 39.741 | 0.035 | 0.42 |
| Mid temperate semi-humid region | y = −0.042x + 109.412 | 0.087 | 0.19 |
| Mid temperate semi-arid region | y = −0.072x + 179.135 | 0.096 | 0.17 |
| Mid temperate arid region | y = 0.0156x + 10.739 | 0.031 | 0.44 |
| Climate Zone | Linear Regression (NTL) | (NTL) | p Value (NTL) |
| Marginal tropical humid region | y = 0.047x − 93.577 | 0.861 | 0.00 |
| Northern subtropical humid region | y = 0.036x − 72.856 | 0.881 | 0.00 |
| Warm temperate semi-humid region | y = 0.040x − 79.016 | 0.919 | 0.00 |
| Plateau temperate semi-arid region | y = 0.0006x − 1.199 | 0.919 | 0.00 |
| Mid temperate semi-humid region | y = 0.005x − 10.955 | 0.896 | 0.00 |
| Mid temperate semi-arid region | y = 0.006x − 12.602 | 0.939 | 0.00 |
| Mid temperate arid region | y = 0.003x − 5.573 | 0.908 | 0.00 |
| Climate Zone | City | Urban Core | Suburban | Rural |
|---|---|---|---|---|
| Marginal tropical humid region | Guangzhou | 0.31 (p < 0.01) | 0.33 (p < 0.01) | 0.24 (p < 0.01) |
| Nanning | 0.22 (p < 0.01) | 0.38 (p < 0.01) | 0.32 (p < 0.01) | |
| Northern subtropical humid region | Shanghai | 0.36 (p < 0.01) | 0.17 (p < 0.01) | 0.48 (p < 0.01) |
| Chengdu | −0.02 (p = 0.65) | −0.17 (p < 0.01) | 0.05 (p = 0.20) | |
| Warm temperate semi-humid region | Tianjin | 0.22 (p < 0.01) | 0.34 (p < 0.01) | 0.45 (p < 0.01) |
| Zhengzhou | 0.18 (p < 0.01) | 0.37 (p < 0.01) | 0.40 (p < 0.01) | |
| Plateau temperate semi-arid region | Xining | 0.01 (p = 0.43) | 0.17 (p = 0.55) | 0.43 (p = 0.38) |
| Mid temperate semi-humid region | Shenyang | 0.12 (p = 0.04) | −0.07 (p = 0.17) | 0.28 (p < 0.01) |
| Mid temperate semi-arid region | Hohhot | 0.08 (p = 0.89) | 0.09 (p = 0.08) | 0.10 (p < 0.01) |
| Mid temperate arid region | Urumqi | −0.10 (p = 0.01) | −0.06 (p = 0.57) | 0.15 (p = 0.03) |
Disclaimer/Publisher’s Note: The statements, opinions and data contained in all publications are solely those of the individual author(s) and contributor(s) and not of MDPI and/or the editor(s). MDPI and/or the editor(s) disclaim responsibility for any injury to people or property resulting from any ideas, methods, instructions or products referred to in the content. |
© 2025 by the authors. Licensee MDPI, Basel, Switzerland. This article is an open access article distributed under the terms and conditions of the Creative Commons Attribution (CC BY) license (https://creativecommons.org/licenses/by/4.0/).
Share and Cite
Liang, J.; Li, W.; Zhou, Y.; Han, X.; Li, D. Long-Term Spatiotemporal Relationship of Urban–Rural Gradient Between Land Surface Temperature and Nighttime Light in Representative Cities Across China’s Climate Zones. Remote Sens. 2025, 17, 3585. https://doi.org/10.3390/rs17213585
Liang J, Li W, Zhou Y, Han X, Li D. Long-Term Spatiotemporal Relationship of Urban–Rural Gradient Between Land Surface Temperature and Nighttime Light in Representative Cities Across China’s Climate Zones. Remote Sensing. 2025; 17(21):3585. https://doi.org/10.3390/rs17213585
Chicago/Turabian StyleLiang, Juanzhu, Wenfang Li, Yuke Zhou, Xueyang Han, and Daqing Li. 2025. "Long-Term Spatiotemporal Relationship of Urban–Rural Gradient Between Land Surface Temperature and Nighttime Light in Representative Cities Across China’s Climate Zones" Remote Sensing 17, no. 21: 3585. https://doi.org/10.3390/rs17213585
APA StyleLiang, J., Li, W., Zhou, Y., Han, X., & Li, D. (2025). Long-Term Spatiotemporal Relationship of Urban–Rural Gradient Between Land Surface Temperature and Nighttime Light in Representative Cities Across China’s Climate Zones. Remote Sensing, 17(21), 3585. https://doi.org/10.3390/rs17213585

