Deformation Pattern Classification of Sea-Crossing Bridge InSAR Time Series Based on a Transfer Learning Framework
Highlights
- An InSAR-based framework is proposed to classify sea-crossing bridge deformation patterns using both synthetic and real data.
- Six representative deformation types are identified and modeled, with ensemble learning improving robustness and probabilistic classification outputs preserving uncertainty information.
- The framework reduces dependence on costly labeled datasets by leveraging synthetic data and transfer learning strategies.
- It enables reliable, automatic identification of deformation patterns in sea-crossing bridges, providing probabilistic insights to support engineering safety and decision making.
Abstract
1. Introduction
2. Methods
2.1. Transfer Learning
2.2. Deformation Patterns
- (1)
- Stable: The stable time series reflects the state where the ground surface has not undergone significant displacement changes during the observation period, typically manifesting as a time series with small fluctuations around zero values. Signal variations are mainly caused by observation noise and atmospheric effects. This pattern represents a balanced state of regional tectonic stress.
- (2)
- Linear: The linear deformation pattern manifests as continuous changes in the time series at a stable rate, statistically characterized by a small standard deviation of the first-order difference sequence, reflecting the surface response under continuous uniform external forces. This is commonly observed in slow geological processes. The slope of the linear pattern, which represents the deformation rate, is an important evaluation parameter that can be used to predict long-term deformation trends and assess potential risks.
- (3)
- Step: The deformation characteristic is that when the time series curve exhibits a sudden change at a certain moment, after which it may return to stability or continue deforming at a different rate. This pattern is typically closely related to sudden events, such as seismic displacement and landslide events. Identifying step deformation is of critical significance for early identification of geological hazards and emergency response. The magnitude and occurrence time of the step contain important geological change information.
- (4)
- Piecewise linear: The piecewise linear deformation pattern manifests as transitions between two or more linear deformation phases, reflecting significant but non-sudden changes in external conditions or geological forces. This pattern is commonly observed in phenomena such as ground subsidence or rebound processes caused by groundwater level changes. The timing of deformation rate changes in piecewise linear patterns has important indicative significance for understanding geological environmental changes and the impacts of engineering activities.
- (5)
- Power law: The power law deformation pattern manifests as a nonlinear relationship between displacement and time, typically satisfying a power function form and exhibiting nonlinear decay characteristics. This pattern often indicates that the deformation process is gradually stabilizing and the system is transitioning toward a new equilibrium state. It is commonly observed in phenomena such as creep processes of viscoelastic materials and pore water pressure dissipation during consolidation processes. The numerical characteristic is that the deformation rate gradually decreases over time, with intense changes in the initial stage and gradual stabilization in the later stage. The relationship appears approximately linear in logarithmic coordinates.
- (6)
- Temperature-related: The temperature-related deformation pattern manifests as significant correlation between displacement and temperature changes, typically exhibiting seasonal fluctuations. The amplitude of temperature-related deformation depends on the thermal expansion coefficient and dimensions of structural materials. This pattern reflects the thermal expansion and contraction response of surface materials or structures to temperature changes, primarily observed in artificial facilities sensitive to temperature variations such as metal structures including steel bridges, bridge towers, roads, and railway tracks.
2.3. Classification Models
- (1)
- Temporal Convolutional Networks (TCNs)
- (2)
- Transformer
- (3)
- Temporal Fusion Transformer (TFT)
- (4)
- Random Convolutional Kernel Transform (ROCKET)
2.4. Framework
3. Materials and Results
3.1. Study Area and Dataset
3.2. Simulation Dataset
3.3. Training Process of the Model
3.4. Model Evaluation Index
3.5. Result
- (i)
- Performance evaluation on real data
- (ii)
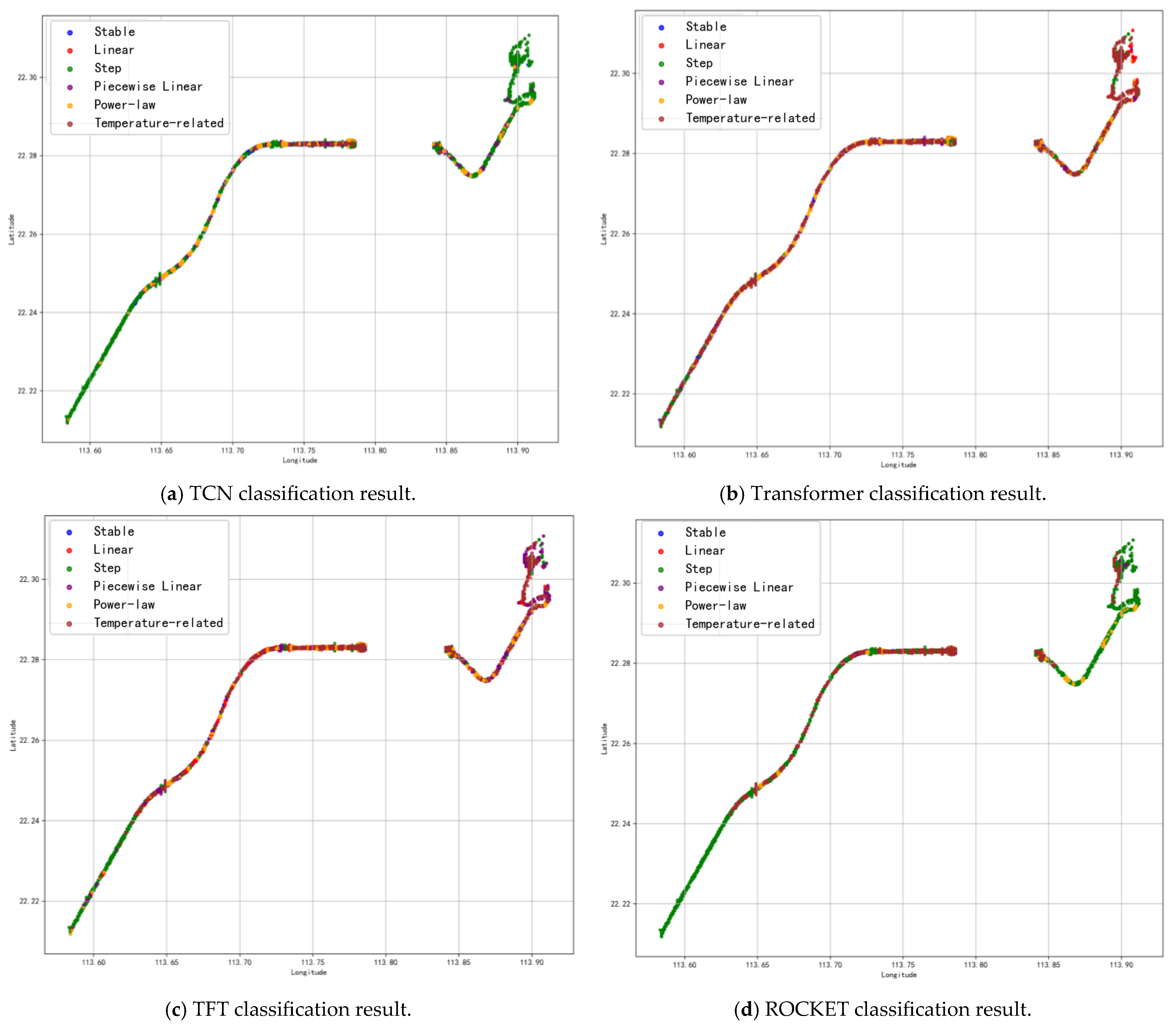
- Similarity of classification results of different models
- (iii)
- Performance evaluation on simulation data
4. Discussion
4.1. Classification Results Based on Weight and Spatiality
4.2. Generalization Capability of the Method
4.3. Deformation Types in Cable-Stayed Bridges
5. Conclusions
- (1)
- Long-term bridge deformation time series can be classified as stable, linear, step, piecewise linear, power law, and temperature-related types. However, actual sea-crossing bridge deformation is a mixture of these six types. Although there may sometimes be a major component type with a larger proportion, it is necessary to analyze all displacement types that constitute the major proportions to obtain more complete results.
- (2)
- Transfer learning can use simulated data to expand the training data of classification models and improve the generalization ability of models. Experimental data is trained on several models including TCN, Transformer, TFT, and ROCKET. ROCKET achieves the fastest speed and highest accuracy, with 96.27% accuracy in different simulated datasets and the fewest parameters to adjust. Among these models, it can be considered the most suitable model for this task.
- (3)
- Most of the long-term deformation of sea-crossing bridges exhibits complex nonlinear time series characteristics, making it difficult to simply categorize into a single class. Therefore, a better classification approach should provide a combination of multiple types with confidence values. By fusing the intermediate feature representations of each model rather than simply combining their final decisions, the system can retain more discriminative information and learn optimal feature combinations through a learnable fusion network. This feature-level fusion strategy preserves richer information compared to decision-level methods, providing more comprehensive insights for engineering decision-making.
Author Contributions
Funding
Data Availability Statement
Conflicts of Interest
References
- Fontana, M.; Bernardi, M.S.; Cigna, F.; Tapete, D.; Menafoglio, A.; Vantini, S. Identification of Precursors in InSAR Time Series Using Functional Data Analysis Post-Processing: Demonstration on Mud Volcano Eruptions. Remote Sens. 2024, 16, 1191. [Google Scholar] [CrossRef]
- Liu, S.; Bai, M. Spatiotemporal Characteristics of Ground Subsidence in Xiong’an New Area Revealed by a Combined Observation Framework Based on InSAR and GNSS Techniques. Remote Sens. 2025, 17, 2654. [Google Scholar] [CrossRef]
- Xie, L.; Liu, J.; Wang, X.; Wu, S.; Ali, E.; Xu, W. Decadal and Heterogeneous Deformation of Breakwater Dams and Reclaimed Lands in Xuwei Port Revealed by Radar Interferometry Measurements. Remote Sens. 2025, 17, 2778. [Google Scholar] [CrossRef]
- Zhang, K.; Wang, Y.; Zhao, F.; Ma, Z.; Zou, G.; Wang, T.; Zhang, N.; Huo, W.; Diao, X.; Zhou, D.; et al. An Underground Goaf Locating Framework Based on D-InSAR with Three Different Prior Geological Information Conditions. Remote Sens. 2025, 17, 2714. [Google Scholar] [CrossRef]
- Barra, A.; Solari, L.; Béjar-Pizarro, M.; Monserrat, O.; Bianchini, S.; Herrera, G.; Crosetto, M.; Sarro, R.; González-Alonso, E.; Mateos, R.M.; et al. A Methodology to Detect and Update Active Deformation Areas Based on Sentinel-1 SAR Images. Remote Sens. 2017, 9, 1002. [Google Scholar] [CrossRef]
- Ma, P.; Lin, H. Robust detection of single and double persistent scatterers in urban built environments. IEEE Trans. Geosci. Remote Sens. 2015, 54, 2124–2139. [Google Scholar] [CrossRef]
- Jiang, Y.; Guo, C.; Wang, J.; Xu, R. Multipath Effects Mitigatin in Offshore Construction Platform GNSS-RTK Displacement Monitoring Using Parametric Temporal Convolution Network. Remote Sens. 2025, 17, 601. [Google Scholar] [CrossRef]
- Talledo, D.A.; Miano, A.; Bonano, M.; Di Carlo, F.; Lanari, R.; Manunta, M.; Meda, A.; Mele, A.; Prota, A.; Saetta, A.; et al. Satellite radar interferometry: Potential and limitations for structural assessment and monitoring. J. Build. Eng. 2022, 46, 103756. [Google Scholar] [CrossRef]
- Bai, S.; Kolter, J.Z.; Koltun, V. An empirical evaluation of generic convolutional and recurrent networks for sequence modeling. arXiv 2018, arXiv:1803.01271. [Google Scholar] [CrossRef]
- Pan, S.J.; Qiang, Y. A Survey on Transfer Learning. IEEE Trans. Knowl. Data Eng. 2010, 22, 1345–1359. [Google Scholar] [CrossRef]
- Weiss, K.; Khoshgoftaar, T.M.; Wang, D. A survey of transfer learning. J. Big Data 2016, 3, 9. [Google Scholar] [CrossRef]
- Alzubaidi, L.; Bai, J.; Al-Sabaawi, A.; Santamaría, J.; Albahri, A.S.; Al-Dabbagh, B.S.N.; Fadhel, M.A.; Manoufali, M.; Zhang, J.; Al-Timemy, A.H.; et al. A survey on deep learning tools dealing with data scarcity: Definitions, challenges, solutions, tips, and applications. J. Big Data 2023, 10, 46. [Google Scholar] [CrossRef]
- Liu, C.; He, Y.; Zhang, X.; Wang, Y.; Dong, Z.; Hong, H. CS-FSDet: A Few-Shot SAR Target Detection Method for Cross-Sensor Scenarios. Remote Sens. 2025, 17, 2841. [Google Scholar] [CrossRef]
- Luo, W.; Dou, J.; Fu, Y.; Wang, X.; He, Y.; Ma, H.; Wang, R.; Xing, K. A Novel Hybrid LMD–ETS–TCN Approach for Predicting Landslide Displacement Based on GPS Time Series Analysis. Remote Sens. 2023, 15, 229. [Google Scholar] [CrossRef]
- Zhang, D.; Ma, W.; Jiao, L.; Liu, X.; Yang, Y.; Liu, F. Multiple Hierarchical Cross-Scale Transformer for Remote Sensing Scene Classification. Remote Sens. 2025, 17, 42. [Google Scholar] [CrossRef]
- Moualla, L.; Rucci, A.; Naletto, G.; Anantrasirichai, N.; Da Deppo, V. Hybrid GIS-Transformer Approach for Forecasting Sentinel-1 Displacement Time Series. Remote Sens. 2025, 17, 2382. [Google Scholar] [CrossRef]
- Ou, Y.; Wei, Y.; Rodríguez-Aldama, R.; Zhang, F. A Lightweight Deep Learning Model for Profiled SCA Based on Random Convolution Kernels. Information 2025, 16, 351. [Google Scholar] [CrossRef]
- Zhuang, F.; Qi, Z.; Duan, K.; Xi, D.; Zhu, Y.; Zhu, H.; Xiong, H.; He, Q. A comprehensive survey on transfer learning. Proc. IEEE 2020, 109, 43–76. [Google Scholar] [CrossRef]
- Michele, C.; Oriol, M.; María, C.; Núria, D.; Bruno, C. Persistent Scatterer Interferometry: A review. ISPRS J. Photogramm. Remote Sens. 2016, 115, 78–89. [Google Scholar] [CrossRef]
- Yang, G.; Wang, Z. A Deep Transfer Contrastive Learning Network for Few-Shot Hyperspectral Image Classification. Remote Sens. 2025, 17, 2800. [Google Scholar] [CrossRef]
- Zhang, S.; Jafari, O.; Nagarkar, P. A Survey on Machine Learning Techniques for Auto Labeling of Video, Audio, and Text Data. arXiv 2021. [Google Scholar] [CrossRef]
- Nikolenko, S. Synthetic Data for Deep Learning; Springer: Cham, Switzerland, 2021. [Google Scholar] [CrossRef]
- Qin, X.; Li, Q.; Ding, X.; Xie, L.; Wang, C.; Liao, M.; Zhang, L.; Zhang, B.; Xiong, S. A structure knowledge-synthetic aperture radar interferometry integration method for high-precision deformation monitoring and risk identification of sea-crossing bridges. Int. J. Appl. Earth Obs. Geoinf. 2021, 103, 102476. [Google Scholar] [CrossRef]
- Yang, M.; Li, S.; Yu, H. A Transfer Learning Approach for Deformation Pattern Recognition in InSAR Time Series. IEEE Trans. Geosci. Remote Sens. 2025, 63. [Google Scholar] [CrossRef]
- Berti, M.; Corsini, A.; Franceschini, S.; Iannacone, J.P. Automated classification of Persistent Scatterers Interferometry time series. Nat. Hazards Earth Syst. Sci. 2013, 13, 1945–1958. [Google Scholar] [CrossRef]
- Selvakumaran, S.; Rossi, C.; Marinoni, A.; Webb, G.; Bennetts, J.; Barton, E.; Plank, S.; Middleton, C. Combined InSAR and Terrestrial Structural Monitoring of Bridges. IEEE Trans. Geosci. Remote Sens. 2020, 58, 7141–7153. [Google Scholar] [CrossRef]
- Lea, C.; Flynn, M.D.; Vidal, R.; Reiter, A.; Hager, G.D. Temporal convolutional networks for action segmentation and detection. In Proceedings of the IEEE Conference on Computer Vision and Pattern Recognition, Honolulu, HI, USA, 21–26 July 2017; pp. 156–165. [Google Scholar] [CrossRef]
- Vaswani, A.; Shazeer, N.; Parmar, N.; Uszkoreit, J.; Jones, L.; Gomez, A.N.; Kaiser, L.; Polosukhin, I. Attention is all you need. In Proceedings of the 31st International Conference on Neural Information Processing Systems, Long Beach, CA, USA, 4–9 December 2017; pp. 6000–6010. [Google Scholar] [CrossRef]
- Lim, B.; Arık, S.Ö.; Loeff, N.; Pfister, T. Temporal fusion transformers for interpretable multi-horizon time series forecasting. Int. J. Forecast. 2021, 37, 1748–1764. [Google Scholar] [CrossRef]
- Dempster, A.; Petitjean, F.; Webb, G.I. ROCKET: Exceptionally fast and accurate time series classification using random convolutional kernels. Data Min. Knowl. Discov. 2020, 34, 1454–1495. [Google Scholar] [CrossRef]
- Huang, Q.; Monserrat, O.; Crosetto, M.; Crippa, B.; Wang, Y.; Jiang, J.; Ding, Y. Displacement Monitoring and Health Evaluation of Two Bridges Using Sentinel-1 SAR Images. Remote Sens. 2018, 10, 1714. [Google Scholar] [CrossRef]
- Fuhrmann, T.; Garthwaite, M.C. Resolving Three-Dimensional Surface Motion with InSAR: Constraints from Multi-Geometry Data Fusion. Remote Sens. 2019, 11, 241. [Google Scholar] [CrossRef]











| Item | Value |
|---|---|
| Satellite | Sentinel-1A |
| Time span | 3 January 2018—30 December 2023 |
| Orbit | Ascending |
| Satellite orbit | The orbit altitude is 693 km, and the orbit inclination is 98.18° |
| Revisiting period | 12 days |
| Polarization | VV (Vertical-Vertical polarization) |
| Wavelength | 5.6 cm (C-band) |
| Resolution | Up to 1 m |
| Width | Up to 400 km |
| Acquisition time | Less than 25 min |
| Geolocation accuracy | About 10 m |
| Date of master image | 2 January 2021 |
| Spatial baseline range | −212.78 m to +136.99 m |
| Filtering method | Homogeneous Temporal Filter |
| Amplitude dispersion of SPS | 1.2 |
| Mean coherence of SPS | 0.5 |
| Sidelobe threshold of SPS | 0.35 |
| Amplitude dispersion of DPS | 1.5 |
| Mean coherence of DPS | 0.3 |
| Label | Deformation Type | Description |
|---|---|---|
| 0 | Stable | Small fluctuations around a constant value, simulating reference points or stable areas. |
| 1 | Linear | Linear upward or downward trends, simulating continuous subsidence or uplift. |
| 2 | Step | Experiencing a significant sudden change at a certain moment. |
| 3 | Piecewise linear | Containing multiple phases of subsidence or recovery trends. |
| 4 | Power law | Nonlinear trends, simulating landslide or post-earthquake deformation recovery processes. |
| 5 | Temperature-related | Exhibiting certain correlation with temperature sequences, simulating components or areas significantly affected by temperature. |
is a standardized temperature sequence, and , are random fitted parameters. , the temperature data, is sourced from actual temperature station measurements. This study uses atmospheric temperature data from a temperature station located at longitude 22.2831° and latitude 113.7311°. | ||
| Model | Hyperparameters |
|---|---|
| TCN | Kernel size: 3 Dropout: 0.3 |
| Transformer | Hidden dimension: 128 Number of attention heads: 8 Number of encoder layers: 3 Dropout: 0.1 |
| TFT | Hidden size: 128 Number of attention heads: 4 Number of transformer layers: 2 |
| ROCKET | Number of kernels: 2000 |
| Model | GCS |
|---|---|
| TCN | 0.7028 |
| Transformer | 0.7742 |
| TFT | 0.6470 |
| ROCKET | 0.9627 |
Disclaimer/Publisher’s Note: The statements, opinions and data contained in all publications are solely those of the individual author(s) and contributor(s) and not of MDPI and/or the editor(s). MDPI and/or the editor(s) disclaim responsibility for any injury to people or property resulting from any ideas, methods, instructions or products referred to in the content. |
© 2025 by the authors. Licensee MDPI, Basel, Switzerland. This article is an open access article distributed under the terms and conditions of the Creative Commons Attribution (CC BY) license (https://creativecommons.org/licenses/by/4.0/).
Share and Cite
Ren, L.; Liu, C.; Ou, J. Deformation Pattern Classification of Sea-Crossing Bridge InSAR Time Series Based on a Transfer Learning Framework. Remote Sens. 2025, 17, 3567. https://doi.org/10.3390/rs17213567
Ren L, Liu C, Ou J. Deformation Pattern Classification of Sea-Crossing Bridge InSAR Time Series Based on a Transfer Learning Framework. Remote Sensing. 2025; 17(21):3567. https://doi.org/10.3390/rs17213567
Chicago/Turabian StyleRen, Lichen, Chengyin Liu, and Jinping Ou. 2025. "Deformation Pattern Classification of Sea-Crossing Bridge InSAR Time Series Based on a Transfer Learning Framework" Remote Sensing 17, no. 21: 3567. https://doi.org/10.3390/rs17213567
APA StyleRen, L., Liu, C., & Ou, J. (2025). Deformation Pattern Classification of Sea-Crossing Bridge InSAR Time Series Based on a Transfer Learning Framework. Remote Sensing, 17(21), 3567. https://doi.org/10.3390/rs17213567

