Optimizing Agricultural Drought Monitoring in East Africa: Evaluating Integrated Soil Moisture and Vegetation Health Index (SM-VHI)
Highlights
- The study identified the integrated Soil Moisture–Vegetation Health Index (SM-VHI) as an effective method for detecting drought in East Africa, with optimal performance achieved at an α value of 0.5 and a Critical Success Index (CSI) of 0.78.
- Strong correlations between SM-VHI and other drought indicators (such as the Soil Moisture Index and SPEI-1) were observed, highlighting regional variations in soil moisture dynamics.
- The reliability of the SM-VHI underscores its potential for enhancing drought monitoring, which can inform better agricultural practices and policy formulation aimed at improving food security.
- Recognizing drought severity patterns can facilitate the development of tailored management strategies to address challenges posed by drought in a changing climate.
Abstract
1. Introduction
2. Materials and Methods
2.1. Study Area
2.2. Data Sources
2.2.1. Meteorological Data
2.2.2. Vegetation Data
2.2.3. Crop Yield Data
3. Methodology
3.1. NDVI-Based Feature Space Analysis
3.2. Remote Sensing-Based Drought Indices Computation
3.2.1. Standardized Precipitation Evapotranspiration Index (SPEI)
3.2.2. Standardized Soil Moisture Index (SSMI)
3.2.3. Vegetation Condition Index (VCI)
3.2.4. Temperature Condition Index (TCI)
3.2.5. Vegetation Health Index (VHI)
3.3. Development and Calculation of the Integrated Soil Moisture Vegetation Health Index (SM-VHI)
Sensitivity to the α Parameter
3.4. Validation and Performance Evaluation Methods
4. Results
4.1. Sensitivity Analysis of the SM-VHI to Different α Values
4.2. Accuracy Assessment of the SM-VHI
4.2.1. Evaluation Using VHI Anomaly and SSMI
4.2.2. Evaluation Based on SPEI-1
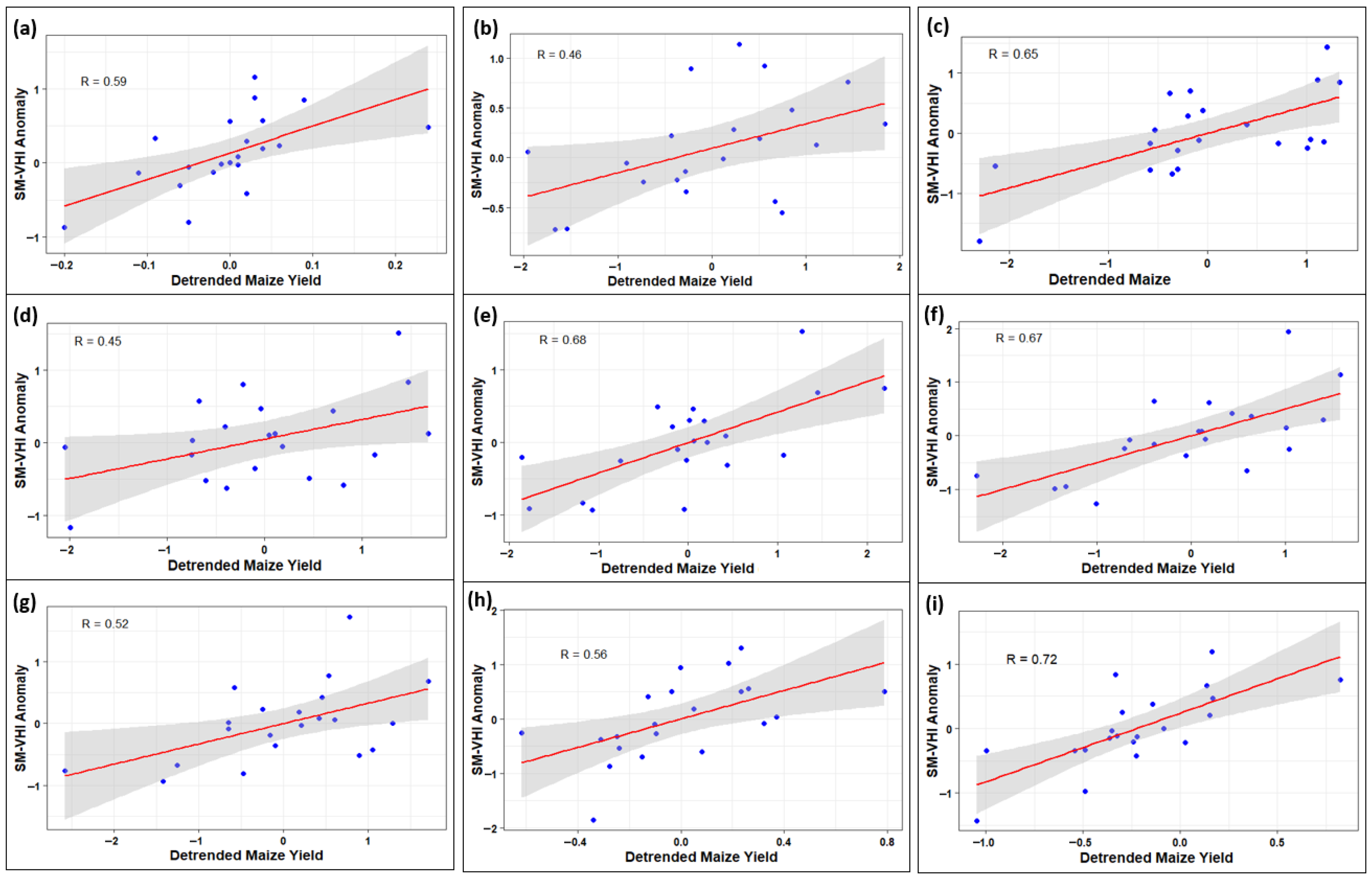
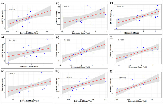
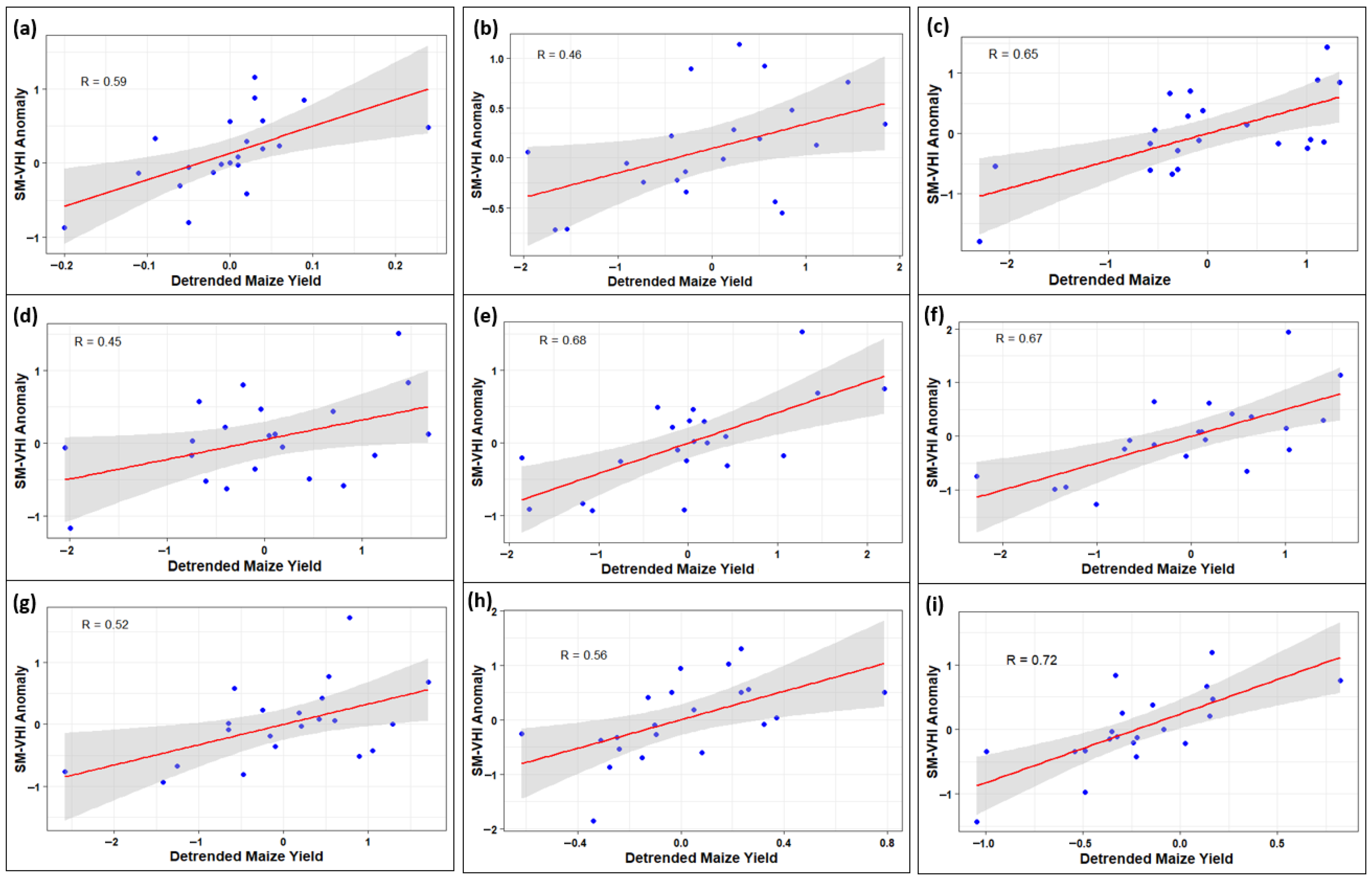
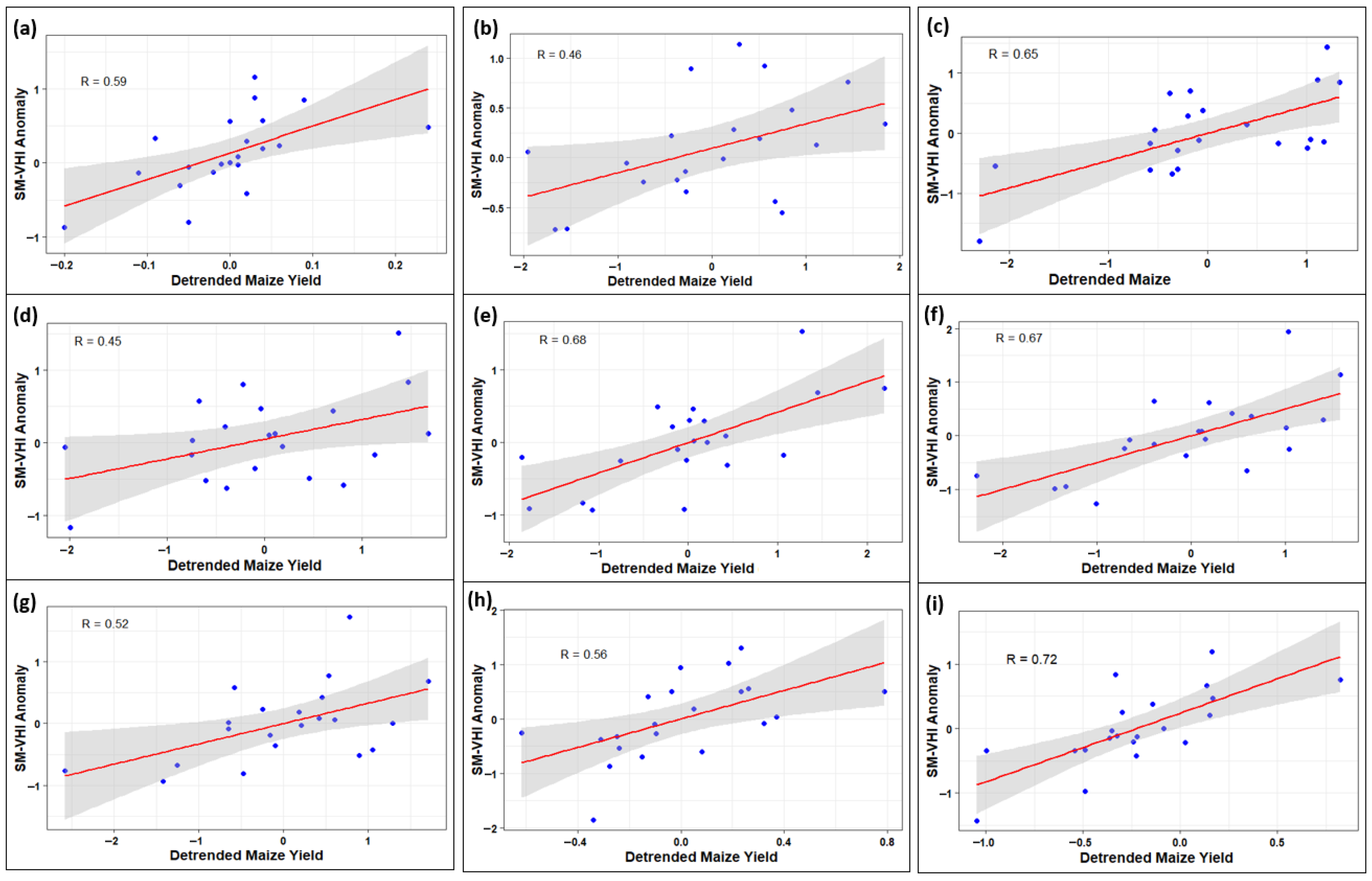
4.2.3. Evaluation of SM-VHI in Relation to Detrended Maize Yield
4.2.4. Monthly Spatial Validation of SM-VHI
4.3. Analysis of Spatial and Temporal Trends of SM-VHI
4.3.1. Analysis of Temporal Drought Patterns
4.3.2. Spatial Distribution of SM-VHI Derived Drought Patterns
5. Discussion
5.1. Interpretation of the SM-VHI Results and Its Implications for Agricultural Drought Monitoring
5.2. Strengths and Limitations of the SM-VHI Approach
5.3. Potential Applications and Policy Implications for the Study Region
6. Conclusions
Author Contributions
Funding
Data Availability Statement
Acknowledgments
Conflicts of Interest
References
- Seka, A.M.; Zhang, J.; Prodhan, F.A.; Ayele, G.T.; Finsa, M.M.; Sharma, T.P.P.; Mekonnen, A. Hydrological drought impacts on water storage variations: A focus on the role of vegetation changes in the East Africa region. A systematic review. Environ. Sci. Pollut. Res. 2022, 29, 80237–80256. [Google Scholar] [CrossRef] [PubMed]
- Mulugeta, S.B. Drought, Vulnerability and Adaptation: Risk of Food and Livelihoods Insecurity for Pastoralists and Agro-pastoralists in Borana Zone, Southern Ethiopia. Ph.D. Thesis, University of Nairobi, Nairobi, Kenya, 2023. [Google Scholar]
- Chand, K.; Biradar, N. Socio-economic impacts of drought in India. In Drought Mitigation and Management; Scientific Publishers: New Delhi, India, 2017; pp. 245–263. [Google Scholar]
- Tofu, D.A.; Haile, F.; Tolossa, T. Livelihood vulnerability and socio-economic determinants of households to climate change-induced recurrent drought in Ethiopia. GeoJournal 2023, 88, 5043–5067. [Google Scholar] [CrossRef]
- Saleem, A.; Anwar, S.; Nawaz, T.; Fahad, S.; Saud, S.; Ur Rahman, T.; Khan, M.N.R.; Nawaz, T. Securing a sustainable future: The climate change threat to agriculture, food security, and sustainable development goals. J. Umm Al-Qura Univ. Appl. Sci. 2024, 1, 595–611. [Google Scholar] [CrossRef]
- Kotir, J.H. Climate change and variability in Sub-Saharan Africa: A review of current and future trends and impacts on agriculture and food security. Environ. Dev. Sustain. 2011, 13, 587–605. [Google Scholar] [CrossRef]
- Le, T.; Sun, C.; Choy, S.; Kuleshov, Y.; Tran, T.D. Agricultural drought risk assessments: A comprehensive review of indicators, algorithms, and validation for informed adaptations. Geomat. Nat. Hazards Risk 2024, 15, 2383774. [Google Scholar] [CrossRef]
- Bilal, S.B.; Gupta, V. Tracing Vegetation Resilience and Recovery Pathways to Drought Through Time Series Decomposition. Hydrol. Process. 2025, 39, e70208. [Google Scholar] [CrossRef]
- Bachmair, S.; Stahl, K.; Collins, K.; Hannaford, J.; Acreman, M.; Svoboda, M.; Knutson, C.; Smith, K.H.; Wall, N.; Fuchs, B. Drought indicators revisited: The need for a wider consideration of environment and society. Wiley Interdiscip. Rev. Water 2016, 3, 516–536. [Google Scholar] [CrossRef]
- Suleymanov, F. A review of the multifaceted relationship between drought dynamics and conflicts. Hydrol. Process. 2024, 38, e15262. [Google Scholar] [CrossRef]
- Kogan, F. Vegetation health method. In Remote Sensing for Food Security; Springer: Cham, Switzerland, 2018; pp. 51–73. [Google Scholar]
- Kogan, F. New satellite-based vegetation health technology. In Remote Sensing for Malaria: Monitoring and Predicting Malaria from Operational Satellites; Springer: Cham, Switzerland, 2020; pp. 103–134. [Google Scholar]
- Hang, Q.; Guo, H.; Meng, X.; Wang, W.; Cao, Y.; Liu, R.; De Maeyer, P.; Wang, Y. Optimizing the vegetation health index for agricultural drought monitoring: Evaluation and application in the yellow river basin. Remote Sens. 2024, 16, 4507. [Google Scholar] [CrossRef]
- Bhardwaj, K.; Shah, D.; Aadhar, S.; Mishra, V. Propagation of meteorological to hydrological droughts in India. J. Geophys. Res. Atmos. 2020, 125, e2020JD033455. [Google Scholar] [CrossRef]
- Fu, Z.; Ciais, P.; Wigneron, J.-P.; Gentine, P.; Feldman, A.F.; Makowski, D.; Viovy, N.; Kemanian, A.R.; Goll, D.S.; Stoy, P.C. Global critical soil moisture thresholds of plant water stress. Nat. Commun. 2024, 15, 4826. [Google Scholar] [CrossRef] [PubMed]
- Wang, C.; Fu, B.; Zhang, L.; Xu, Z. Soil moisture–plant interactions: An ecohydrological review. J. Soils Sediments 2019, 19, 1–9. [Google Scholar] [CrossRef]
- Zhang, N.; Hong, Y.; Qin, Q.; Liu, L. VSDI: A visible and shortwave infrared drought index for monitoring soil and vegetation moisture based on optical remote sensing. Int. J. Remote Sens. 2013, 34, 4585–4609. [Google Scholar] [CrossRef]
- Zhang, N.; Hong, Y.; Qin, Q.; Zhu, L. Evaluation of the visible and shortwave infrared drought index in China. Int. J. Disaster Risk Sci. 2013, 4, 68–76. [Google Scholar] [CrossRef]
- Khan, M.I.; Zhu, X.; Arshad, M.; Zaman, M.; Niaz, Y.; Ullah, I.; Anjum, M.N.; Uzair, M. Assessment of spatiotemporal characteristics of agro-meteorological drought events based on comparing Standardized Soil Moisture Index, Standardized Precipitation Index and Multivariate Standardized Drought Index. J. Water Clim. Change 2020, 11 (Suppl. S1), 1–17. [Google Scholar] [CrossRef]
- Kamruzzaman, M.; Almazroui, M.; Salam, M.; Mondol, M.A.H.; Rahman, M.M.; Deb, L.; Kundu, P.K.; Zaman, M.A.U.; Islam, A.R.M.T. Spatiotemporal drought analysis in Bangladesh using the standardized precipitation index (SPI) and standardized precipitation evapotranspiration index (SPEI). Sci. Rep. 2022, 12, 20694. [Google Scholar] [CrossRef] [PubMed]
- He, Q.; Wang, M.; Liu, K.; Wang, B. High-resolution Standardized Precipitation Evapotranspiration Index (SPEI) reveals trends in drought and vegetation water availability in China. Geogr. Sustain. 2025, 6, 100228. [Google Scholar] [CrossRef]
- Peng, L.; Sheffield, J.; Wei, Z.; Ek, M.; Wood, E.F. An enhanced Standardized Precipitation–Evapotranspiration Index (SPEI) drought-monitoring method integrating land surface characteristics. Earth Syst. Dyn. 2024, 15, 1277–1300. [Google Scholar] [CrossRef]
- Camberlin, P.; Okoola, R. The onset and cessation of the “long rains” in eastern Africa and their interannual variability. Theor. Appl. Climatol. 2003, 75, 43–54. [Google Scholar] [CrossRef]
- Palmer, P.I.; Wainwright, C.M.; Dong, B.; Maidment, R.I.; Wheeler, K.G.; Gedney, N.; Hickman, J.E.; Madani, N.; Folwell, S.S.; Abdo, G. Drivers and impacts of Eastern African rainfall variability. Nat. Rev. Earth Environ. 2023, 4, 254–270. [Google Scholar] [CrossRef]
- Muñoz-Sabater, J.; Dutra, E.; Agustí-Panareda, A.; Albergel, C.; Arduini, G.; Balsamo, G.; Boussetta, S.; Choulga, M.; Harrigan, S.; Hersbach, H. ERA5-Land: A state-of-the-art global reanalysis dataset for land applications. Earth Syst. Sci. Data 2021, 13, 4349–4383. [Google Scholar] [CrossRef]
- Hersbach, H.; Bell, B.; Berrisford, P.; Hirahara, S.; Horányi, A.; Muñoz-Sabater, J.; Nicolas, J.; Peubey, C.; Radu, R.; Schepers, D. The ERA5 global reanalysis. Q. J. R. Meteorol. Soc. 2020, 146, 1999–2049. [Google Scholar] [CrossRef]
- Felegari, S.; Sharifi, A.; Moravej, K.; Golchin, A.; Tariq, A. Investigation of the relationship between ndvi index, soil moisture, and precipitation data using satellite images. Sustain. Agric. Syst. Technol. 2022, 314–325. [Google Scholar]
- Zhang, H.; Chang, J.; Zhang, L.; Wang, Y.; Li, Y.; Wang, X. NDVI dynamic changes and their relationship with meteorological factors and soil moisture. Environ. Earth Sci. 2018, 77, 582. [Google Scholar] [CrossRef]
- Kaleita, A.L.; Tian, L.F.; Hirschi, M.C. Relationship between soil moisture content and soil surface reflectance. Trans. ASAE 2005, 48, 1979–1986. [Google Scholar] [CrossRef]
- Xaba, N.; Deenadayalu, N. Assessing and forecasting droughts in eThekwini municipality: SPI, SPEI, and Time Series Insights for Sustainable Resource Management. Int. J. Bus. Ecosyst. Strategy (2687-2293) 2025, 7, 253–269. [Google Scholar] [CrossRef]
- Thornthwaite, C.W. An approach toward a rational classification of climate. Geogr. Rev. 1948, 38, 55–94. [Google Scholar] [CrossRef]
- Vicente-Serrano, S.M.; Beguería, S.; López-Moreno, J.I. A multiscalar drought index sensitive to global warming: The standardized precipitation evapotranspiration index. J. Clim. 2010, 23, 1696–1718. [Google Scholar] [CrossRef]
- Yue, Y.; Liu, H.; Mu, X.; Qin, M.; Wang, T.; Wang, Q.; Yan, Y. Spatial and temporal characteristics of drought and its correlation with climate indices in Northeast China. PLoS ONE 2021, 16, e0259774. [Google Scholar] [CrossRef]
- Hosking, J.R. L-moments: Analysis and estimation of distributions using linear combinations of order statistics. J. R. Stat. Soc. Ser. B Stat. Methodol. 1990, 52, 105–124. [Google Scholar] [CrossRef]
- Abramowitz, M.; Stegun, I.A. (Eds.) Handbook of Mathematical Functions with Formulas, Graphs and Mathematical Tables; National Bureau of Standards Applied Mathematics Series No. 55; United States Department of Commerce: Washington, DC, USA, 1965; Volume 55, 953p. [Google Scholar]
- Srivastava, P.K. Satellite soil moisture: Review of theory and applications in water resources. Water Resour. Manag. 2017, 31, 3161–3176. [Google Scholar] [CrossRef]
- Dobriyal, P.; Qureshi, A.; Badola, R.; Hussain, S.A. A review of the methods available for estimating soil moisture and its implications for water resource management. J. Hydrol. 2012, 458, 110–117. [Google Scholar] [CrossRef]
- Bodner, G.; Nakhforoosh, A.; Kaul, H.-P. Management of crop water under drought: A review. Agron. Sustain. Dev. 2015, 35, 401–442. [Google Scholar] [CrossRef]
- Feng, H.; Liu, Y. Combined effects of precipitation and air temperature on soil moisture in different land covers in a humid basin. J. Hydrol. 2015, 531, 1129–1140. [Google Scholar] [CrossRef]
- Peng, C.; Deng, M.; Di, L. Relationships between remote-sensing-based agricultural drought indicators and root zone soil moisture: A comparative study of Iowa. IEEE J. Sel. Top. Appl. Earth Obs. Remote Sens. 2014, 7, 4572–4580. [Google Scholar] [CrossRef]
- Yadav, B.K.; Mathur, S.; Siebel, M.A. Soil moisture dynamics modeling considering the root compensation mechanism for water uptake by plants. J. Hydrol. Eng. 2009, 14, 913–922. [Google Scholar] [CrossRef]
- Carrão, H.; Russo, S.; Sepulcre-Canto, G.; Barbosa, P. An empirical standardized soil moisture index for agricultural drought assessment from remotely sensed data. Int. J. Appl. Earth Obs. Geoinf. 2016, 48, 74–84. [Google Scholar] [CrossRef]
- Xu, Y.; Wang, L.; Ross, K.W.; Liu, C.; Berry, K. Standardized soil moisture index for drought monitoring based on soil moisture active passive observations and 36 years of north American land data assimilation system data: A case study in the southeast United States. Remote Sens. 2018, 10, 301. [Google Scholar] [CrossRef] [PubMed]
- Huang, S.; Wang, L.; Wang, H.; Huang, Q.; Leng, G.; Fang, W.; Zhang, Y. Spatio-temporal characteristics of drought structure across China using an integrated drought index. Agric. Water Manag. 2019, 218, 182–192. [Google Scholar] [CrossRef]
- He, B.; Lü, A.; Wu, J.; Zhao, L.; Liu, M. Drought hazard assessment and spatial characteristics analysis in China. J. Geogr. Sci. 2011, 21, 235–249. [Google Scholar] [CrossRef]
- Jiao, W.; Zhang, L.; Chang, Q.; Fu, D.; Cen, Y.; Tong, Q. Evaluating an enhanced vegetation condition index (VCI) based on VIUPD for drought monitoring in the continental United States. Remote Sens. 2016, 8, 224. [Google Scholar] [CrossRef]
- Kogan, F.N. Remote sensing of weather impacts on vegetation in non-homogeneous areas. Int. J. Remote Sens. 1990, 11, 1405–1419. [Google Scholar] [CrossRef]
- Bento, V.A.; Gouveia, C.M.; DaCamara, C.C.; Trigo, I.F. A climatological assessment of drought impact on vegetation health index. Agric. For. Meteorol. 2018, 259, 286–295. [Google Scholar] [CrossRef]
- Singh, R.P.; Roy, S.; Kogan, F. Vegetation and temperature condition indices from NOAA AVHRR data for drought monitoring over India. Int. J. Remote Sens. 2003, 24, 4393–4402. [Google Scholar] [CrossRef]
- Kogan, F.N. Application of vegetation index and brightness temperature for drought detection. Adv. Space Res. 1995, 15, 91–100. [Google Scholar] [CrossRef]
- Kogan, F.N. Global drought watch from space. Bull. Am. Meteorol. Soc. 1997, 78, 621–636. [Google Scholar] [CrossRef]
- Gidey, E.; Dikinya, O.; Sebego, R.; Segosebe, E.; Zenebe, A. Analysis of the long-term agricultural drought onset, cessation, duration, frequency, severity and spatial extent using Vegetation Health Index (VHI) in Raya and its environs, Northern Ethiopia. Environ. Syst. Res. 2018, 7, 13. [Google Scholar] [CrossRef]
- Wassie, S.B.; Mengistu, D.A.; Birlie, A.B. Agricultural drought assessment and monitoring using MODIS-based multiple indices: The case of North Wollo, Ethiopia. Environ. Monit. Assess. 2022, 194, 787. [Google Scholar] [CrossRef]
- Bhuiyan, C.; Saha, A.; Bandyopadhyay, N.; Kogan, F. Analyzing the impact of thermal stress on vegetation health and agricultural drought—A case study from Gujarat, India. GIScience Remote Sens. 2017, 54, 678–699. [Google Scholar] [CrossRef]
- Narasimha Rao, P.; Venkataratnam, L.; Krishna Rao, P.; Ramana, K.; Singarao, M. Relation between root zone soil moisture and normalized difference vegetation index of vegetated fields. Int. J. Remote Sens. 1993, 14, 441–449. [Google Scholar] [CrossRef]
- Akuraju, V.R.; Ryu, D.; George, B. Estimation of root-zone soil moisture using crop water stress index (CWSI) in agricultural fields. GIScience Remote Sens. 2021, 58, 340–353. [Google Scholar] [CrossRef]
- Inocêncio, T.d.M.; Ribeiro, A.; Souza, A.G. Soil moisture obtained through remote sensing to assess drought events. Rev. Bras. De Eng. Agrícola E Ambient. 2020, 24, 575–580. [Google Scholar] [CrossRef]
- Zhang, L.; Liu, Y.; Ren, L.; Teuling, A.J.; Zhu, Y.; Wei, L.; Zhang, L.; Jiang, S.; Yang, X.; Fang, X. Analysis of flash droughts in China using machine learning. Hydrol. Earth Syst. Sci. 2022, 26, 3241–3261. [Google Scholar] [CrossRef]
- Katiraie-Boroujerdy, P.-S.; Nasrollahi, N.; Hsu, K.-l.; Sorooshian, S. Quantifying the reliability of four global datasets for drought monitoring over a semiarid region. Theor. Appl. Climatol. 2016, 123, 387–398. [Google Scholar] [CrossRef]
- Schober, P.; Boer, C.; Schwarte, L.A. Correlation coefficients: Appropriate use and interpretation. Anesth. Analg. 2018, 126, 1763–1768. [Google Scholar] [CrossRef]
- Ma, N.; Niu, G.Y.; Xia, Y.; Cai, X.; Zhang, Y.; Ma, Y.; Fang, Y. A systematic evaluation of Noah-MP in simulating land-atmosphere energy, water, and carbon exchanges over the continental United States. J. Geophys. Res. Atmos. 2017, 122, 12245–12268. [Google Scholar] [CrossRef]
- Hodson, T.O. Root mean square error (RMSE) or mean absolute error (MAE): When to use them or not. Geosci. Model Dev. Discuss. 2022, 15, 5481–5487. [Google Scholar] [CrossRef]
- Ji, L.; Peters, A.J. Assessing vegetation response to drought in the northern Great Plains using vegetation and drought indices. Remote Sens. Environ. 2003, 87, 85–98. [Google Scholar] [CrossRef]
- Li, H.; Hu, Y.; Ao, Z. Identification of critical drought thresholds affecting vegetation on the Mongolian Plateau. Ecol. Indic. 2024, 166, 112507. [Google Scholar] [CrossRef]
- Zuo, G.; Feng, N.; Zheng, D. Enhancing Early Drought Detection in Plants: The Consideration of Organ Sensitivity, Parameter Selection, and Measurement Timing. Plants 2025, 14, 1571. [Google Scholar] [CrossRef] [PubMed]
- Albertson, J.D.; Montaldo, N. Temporal dynamics of soil moisture variability: 1. Theoretical basis. Water Resour. Res. 2003, 39, 1274. [Google Scholar] [CrossRef]
- Gruber, A.; Dorigo, W.A.; Zwieback, S.; Xaver, A.; Wagner, W. Characterizing coarse-scale representativeness of in situ soil moisture measurements from the International Soil Moisture Network. Vadose Zone J. 2013, 12, vzj2012.0170. [Google Scholar] [CrossRef]
- Zhao, H.; Huang, Y.; Wang, X.; Li, X.; Lei, T. The performance of SPEI integrated remote sensing data for monitoring agricultural drought in the North China Plain. Field Crops Res. 2023, 302, 109041. [Google Scholar] [CrossRef]
- Erb, K.H.; Luyssaert, S.; Meyfroidt, P.; Pongratz, J.; Don, A.; Kloster, S.; Kuemmerle, T.; Fetzel, T.; Fuchs, R.; Herold, M. Land management: Data availability and process understanding for global change studies. Glob. Change Biol. 2017, 23, 512–533. [Google Scholar] [CrossRef] [PubMed]
- Holzman, M.E.; Rivas, R.; Piccolo, M.C. Estimating soil moisture and the relationship with crop yield using surface temperature and vegetation index. Int. J. Appl. Earth Obs. Geoinf. 2014, 28, 181–192. [Google Scholar] [CrossRef]
- Wardle, J. Datacube-Driven Spatiotemporal Analyses of Vegetation Trends in Djibouti Using Digital Earth Africa Cloud-Based Computational Platform. Ph.D. Thesis, Saint Louis University, St. Louis, MO, USA, 2025. [Google Scholar]
- Lobell, D.B.; Ortiz-Monasterio, J.I. Satellite monitoring of yield responses to irrigation practices across thousands of fields. Agron. J. 2008, 100, 1005–1012. [Google Scholar] [CrossRef]
- Petersen, L.K. Real-time prediction of crop yields from MODIS relative vegetation health: A continent-wide analysis of Africa. Remote Sens. 2018, 10, 1726. [Google Scholar] [CrossRef]
- Leroux, L.; Baron, C.; Zoungrana, B.; Traoré, S.B.; Seen, D.L.; Bégué, A. Crop monitoring using vegetation and thermal indices for yield estimates: Case study of a rainfed cereal in semi-arid West Africa. IEEE J. Sel. Top. Appl. Earth Obs. Remote Sens. 2015, 9, 347–362. [Google Scholar] [CrossRef]
- Bulgin, C.E.; Merchant, C.J.; Ghent, D.; Klüser, L.; Popp, T.; Poulsen, C.; Sogacheva, L. Quantifying uncertainty in satellite-retrieved land surface temperature from cloud detection errors. Remote Sens. 2018, 10, 616. [Google Scholar] [CrossRef]
- Vicente-Serrano, S.M.; Cabello, D.; Tomás-Burguera, M.; Martín-Hernández, N.; Beguería, S.; Azorin-Molina, C.; El Kenawy, A. Drought variability and land degradation in semiarid regions: Assessment using remote sensing data and drought indices (1982–2011). Remote Sens. 2015, 7, 4391–4423. [Google Scholar] [CrossRef]
- Stabler, L.B.; Martin, C.A.; Brazel, A.J. Microclimates in a desert city were related to land use and vegetation index. Urban For. Urban Green. 2005, 3, 137–147. [Google Scholar] [CrossRef]
- Yengoh, G.T.; Dent, D.; Olsson, L.; Tengberg, A.E.; Tucker, C.J., III. Use of the Normalized Difference Vegetation Index (NDVI) to Assess Land Degradation at Multiple Scales: Current Status, Future Trends, and Practical Considerations; Springer: Cham, Switzerland, 2015. [Google Scholar]
- AghaKouchak, A.; Farahmand, A.; Melton, F.S.; Teixeira, J.; Anderson, M.C.; Wardlow, B.D.; Hain, C.R. Remote sensing of drought: Progress, challenges and opportunities. Rev. Geophys. 2015, 53, 452–480. [Google Scholar] [CrossRef]
- Dube, N.; Sithole, M.; Ngwenya, T.; Muhwati, T.; Moyo, E.; Manyanga, K. Impact of climate change on sustainability in semi-arid, rural Africa: Lessons from rural Zimbabwe. Cogent Soc. Sci. 2018, 4, 1553327. [Google Scholar] [CrossRef]
- Fao, F. Food and Agriculture Organization of the United Nations. Rome. 2018. Available online: http://faostat.fao.org (accessed on 1 January 2020).
- Jarvis, A.; Lau, C.; Cook, S.; Wollenberg, E.; Hansen, J.; Bonilla, O.; Challinor, A. An integrated adaptation and mitigation framework for developing agricultural research: Synergies and trade-offs. Exp. Agric. 2011, 47, 185–203. [Google Scholar] [CrossRef]
- Suprayitno, D.; Iskandar, S.; Dahurandi, K.; Hendarto, T.; Rumambi, F.J. Public policy in the era of climate change: Adapting strategies for sustainable futures. Migr. Lett. 2024, 21 (Suppl. S6), 945–958. [Google Scholar]
- Barrett, A.B.; Duivenvoorden, S.; Salakpi, E.E.; Muthoka, J.M.; Mwangi, J.; Oliver, S.; Rowhani, P. Forecasting vegetation condition for drought early warning systems in pastoral communities in Kenya. Remote Sens. Environ. 2020, 248, 111886. [Google Scholar] [CrossRef]
- Verhoeve, S.L.; Keijzer, T.; Kaitila, R.; Wickama, J.; Sterk, G. Vegetation resilience under increasing drought conditions in northern Tanzania. Remote Sens. 2021, 13, 4592. [Google Scholar] [CrossRef]
- Tegegn, M.G.; Berlie, A.B.; Utallo, A.U. Spatiotemporal variability and trends of intra-seasonal rainfall and temperature in the drought-prone districts of Northwestern Ethiopia. Discov. Sustain. 2024, 5, 230. [Google Scholar] [CrossRef]
- Tripathi, P.M.; Agarwal, V.; Mishra, V.; Singh, B.V.R. Options and strategies for managing droughts: Case studies from agro-ecological regions. In Water Sustainability and Hydrological Extremes; Elsevier: Amsterdam, The Netherlands, 2025; pp. 315–331. [Google Scholar]
- Legg, S. IPCC, 2021: Climate change 2021—The physical science basis. Interaction 2021, 49, 44–45. [Google Scholar]










| Drought Category | SPEI Value |
|---|---|
| No Drought | SPEI > −0.5 |
| Mild Drought | −1.0 < SPEI ≤ −0.5 |
| Moderate Drought | −1.5 < SPEI ≤ −1.0 |
| Severe Drought | −2.0 < SPEI ≤ −1.5 |
| Extreme Drought | SPEI ≤ −2.0 |
| Drought Severity | VHI Value |
|---|---|
| Extreme Drought | <10 |
| Severe Drought | 10–20 |
| Moderate Drought | 20–30 |
| Mild Drought | 30–40 |
| No Drought | >40 |
| Drought Severity | SM-VHI Value |
|---|---|
| Extreme Drought | <10 |
| Severe Drought | 10–20 |
| Moderate Drought | 20–30 |
| Mild Drought | 30–40 |
| No Drought | 40–100 |
| α Value | Critical Success Index (CSI) | Observations |
|---|---|---|
| 0.1 | 0.65 | Higher false positive rate; reduced accuracy. |
| 0.2 | 0.7 | Improvement in balance between false positives/negatives. |
| 0.3 | 0.74 | Optimal reduction in false negatives observed. |
| 0.4 | 0.76 | Slight decline in detection accuracy compared to α = 0.5. |
| 0.5 | 0.78 | Best overall performance; balanced sensitivity |
| 0.6 | 0.73 | Declining performance; increased false negatives. |
| 0.7 | 0.7 | Further decline in accuracy; less sensitivity. |
| 0.8 | 0.67 | High false positive rate; low predictive validity. |
| 0.9 | 0.64 | Significant decline in performance; not effective. |
Disclaimer/Publisher’s Note: The statements, opinions and data contained in all publications are solely those of the individual author(s) and contributor(s) and not of MDPI and/or the editor(s). MDPI and/or the editor(s) disclaim responsibility for any injury to people or property resulting from any ideas, methods, instructions or products referred to in the content. |
© 2025 by the authors. Licensee MDPI, Basel, Switzerland. This article is an open access article distributed under the terms and conditions of the Creative Commons Attribution (CC BY) license (https://creativecommons.org/licenses/by/4.0/).
Share and Cite
Maniraho, A.P.; Bai, J.; Li, L.; Fabien, H.; Kayumba, P.M.; Chukwuka Prince, O.; Fabien, M.; Bu, L. Optimizing Agricultural Drought Monitoring in East Africa: Evaluating Integrated Soil Moisture and Vegetation Health Index (SM-VHI). Remote Sens. 2025, 17, 3560. https://doi.org/10.3390/rs17213560
Maniraho AP, Bai J, Li L, Fabien H, Kayumba PM, Chukwuka Prince O, Fabien M, Bu L. Optimizing Agricultural Drought Monitoring in East Africa: Evaluating Integrated Soil Moisture and Vegetation Health Index (SM-VHI). Remote Sensing. 2025; 17(21):3560. https://doi.org/10.3390/rs17213560
Chicago/Turabian StyleManiraho, Albert Poponi, Jie Bai, Lanhai Li, Habimana Fabien, Patient Mindje Kayumba, Ogbue Chukwuka Prince, Muhirwa Fabien, and Lingjie Bu. 2025. "Optimizing Agricultural Drought Monitoring in East Africa: Evaluating Integrated Soil Moisture and Vegetation Health Index (SM-VHI)" Remote Sensing 17, no. 21: 3560. https://doi.org/10.3390/rs17213560
APA StyleManiraho, A. P., Bai, J., Li, L., Fabien, H., Kayumba, P. M., Chukwuka Prince, O., Fabien, M., & Bu, L. (2025). Optimizing Agricultural Drought Monitoring in East Africa: Evaluating Integrated Soil Moisture and Vegetation Health Index (SM-VHI). Remote Sensing, 17(21), 3560. https://doi.org/10.3390/rs17213560

