Impacts of Aerosol Optical Depth on Different Types of Cloud Macrophysical and Microphysical Properties over East Asia
Highlights
- Aerosols modulate three-dimensional cloud structures by enhancing convective and high-level ice-phase development while suppressing stratiform and low-level cloud growth.
- After controlling for meteorological factors, AOD significantly influences cloud properties, demonstrating independent and cloud-type-dependent aerosol effects.
- Accounting for cloud-type differences, moisture conditions, and dynamic processes is essential for more accurate assessments of aerosol–cloud–climate interactions.
- The findings provide observational evidence that can help improve the parameterization of the indirect effects of aerosols in climate models.
Abstract
1. Introduction
2. Materials and Methods
2.1. Sources and Collocation of Satellite Retrievals
2.2. Determination of Cloud Types
2.3. Partial Correlation Analysis
3. Results
3.1. Effects of AOD on the Three-Dimensional Structures of Different Cloud Types
3.2. Effects of AOD on Ice-Phase Properties of Different Cloud Types
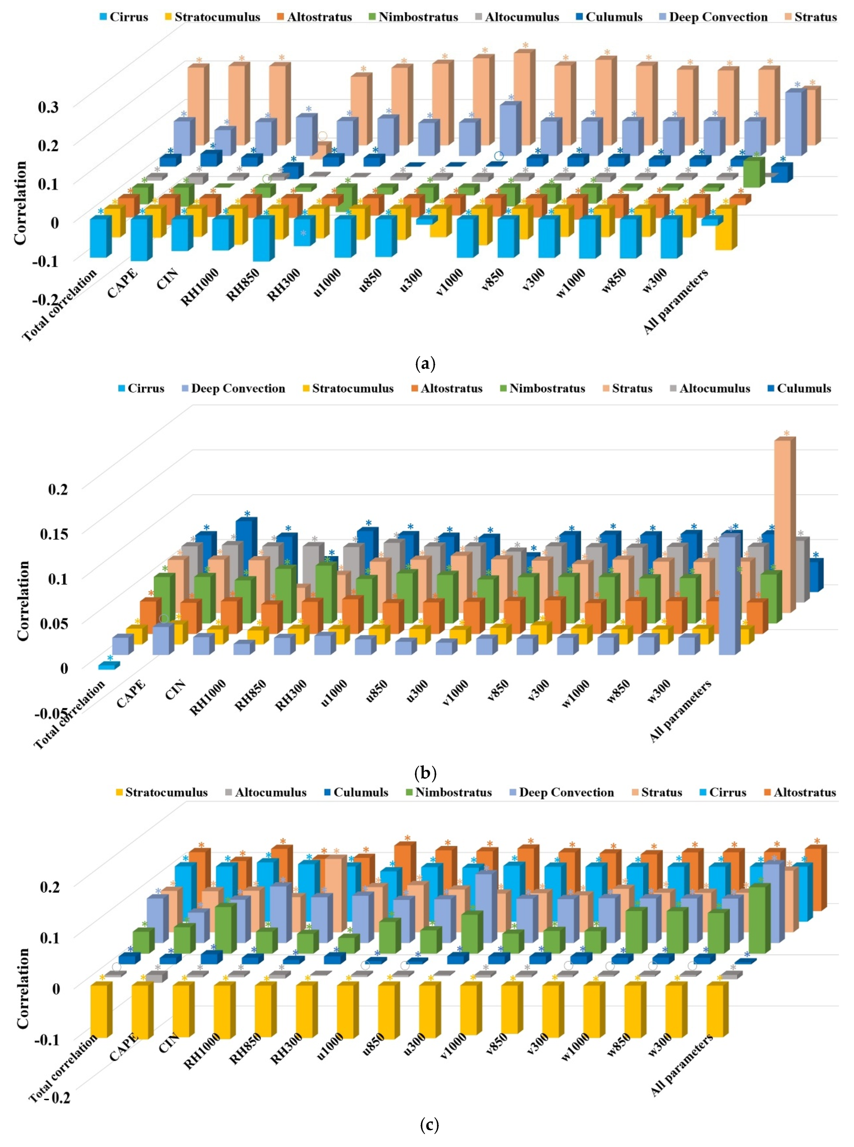
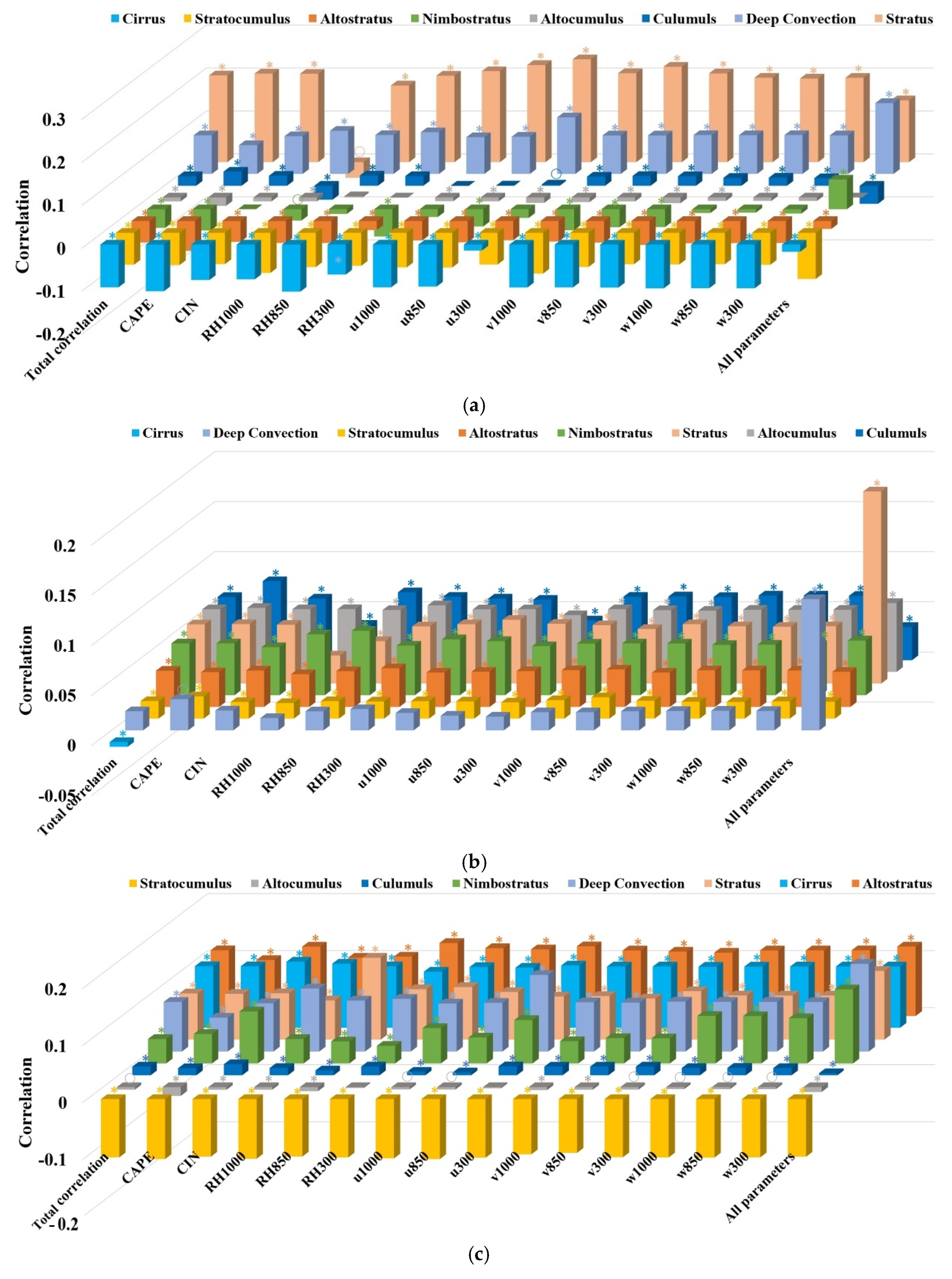
3.3. Disentangling the Influence of Meteorological Factors
4. Discussion
5. Conclusions
- (1)
- Aerosol effects on CF, CTH, and CD exhibit strong cloud-type dependence. Most mid- and low-level clouds (e.g., stratus, cumulus, and altocumulus) show a pronounced increase in CF with rising AOD, whereas high-level clouds (e.g., cirrus and deep convective clouds) display weaker or non-monotonic responses. Convective clouds (e.g., deep convective clouds and cumulus) exhibit significant CTH increases under high-AOD conditions, indicating that aerosols enhance convective development. In contrast, stable stratiform clouds (e.g., altostratus and altocumulus) tend to show CTH reductions, suggesting aerosol-induced suppression of vertical growth. Likewise, convective and high-level ice clouds experience enhanced vertical development and greater thickness in high-AOD environments, while some mid- and low-level stratiform clouds show reduced thickness due to aerosol-induced strengthening of lower-level stability.
- (2)
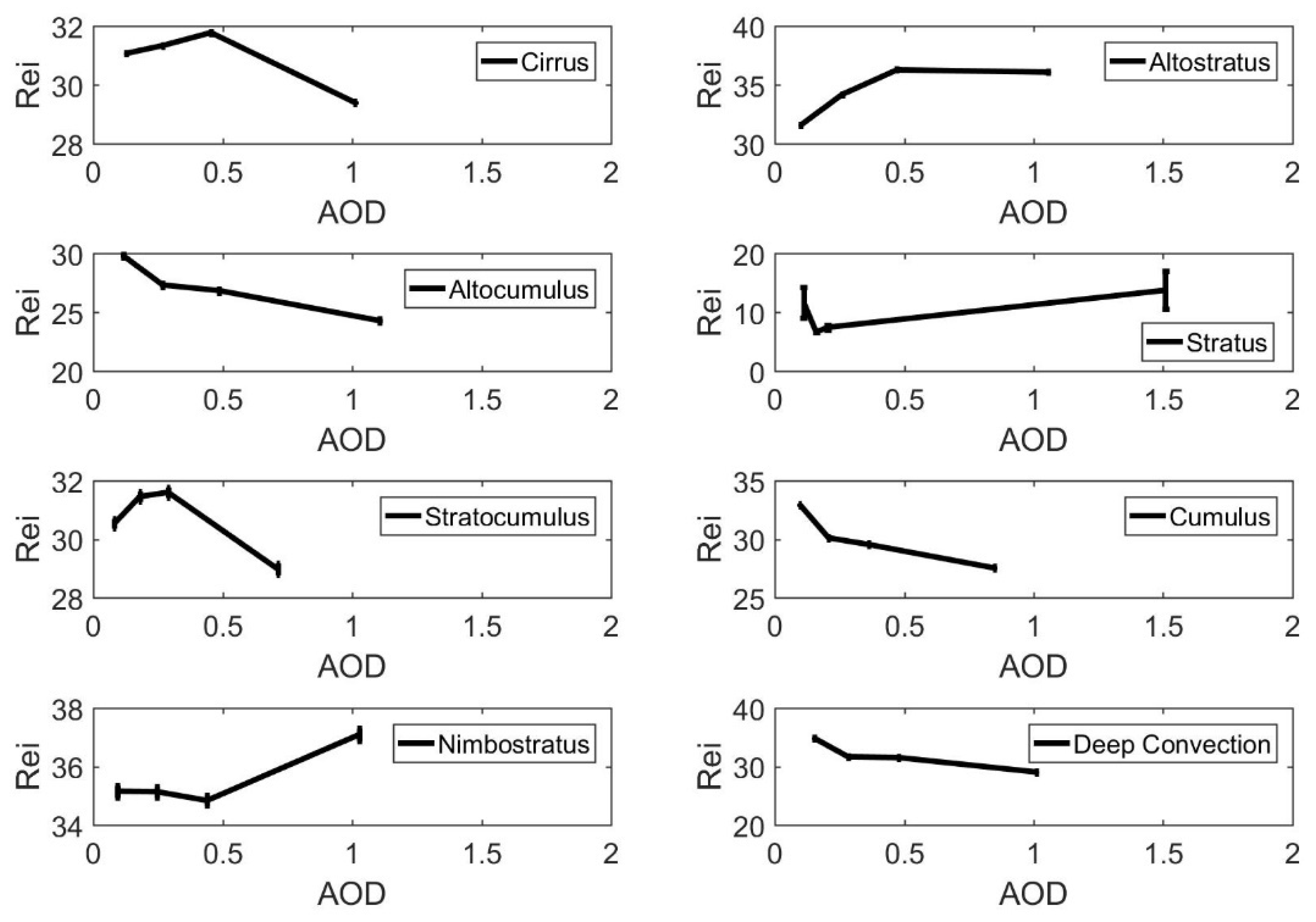
- The modulation of ice-phase structure and ice water content by aerosols exhibits pronounced cloud-type dependence. For high-level clouds (e.g., cirrus and altostratus) and deep convective clouds, increases in aerosol concentration are generally associated with higher ICF and IWP, while Rei varies within these clouds. In contrast, most mid- and low-level clouds (e.g., altocumulus, stratocumulus, and cumulus) tend to show reductions in Rei and IWP, indicating both an “ice crystal suppression effect” and aerosol-induced stabilization of lower layers that inhibits ice cloud development. Overall, aerosol impacts on the microphysical and macrophysical properties of ice clouds are jointly regulated by cloud vertical development, ice nucleation mechanisms, and ambient thermodynamic conditions, underscoring the need to account for cloud-type differences and coupled processes in studies of aerosol–cloud interactions.
- (3)
- Although AOD generally shows positive correlations with cloud properties such as CTH, CF, and CD, controlling for 14 meteorological variables reveals substantial differences in partial correlations across cloud types, indicating that meteorological conditions partly confound the observed aerosol–cloud relationships. High-level humidity and wind speed exert particularly strong influences on CTH and CF. Further analysis shows that under high-humidity conditions, the ICF of cirrus, nimbostratus, and deep convective clouds increases significantly with AOD, reflecting a typical positive aerosol invigoration effect, whereas mid- and low-level clouds may experience suppression under low humidity or high AOD.
Author Contributions
Funding
Data Availability Statement
Conflicts of Interest
References
- Wei, C.; Zhao, P.; Wang, Y.; Wang, Y.; Mo, S.; Zhou, Y. Aerosol Influence on Cloud Macrophysical and Microphysical Properties over the Tibetan Plateau and Its Adjacent Regions. Environ. Sci. Pollut. Res. 2024, 31, 30174–30195. [Google Scholar] [CrossRef]
- Michibata, T.; Kawamoto, K.; Takemura, T. The Effects of Aerosols on Water Cloud Microphysics and Macrophysics Based on Satellite-Retrieved Data over East Asia and the North Pacific. Atmos. Chem. Phys. 2014, 14, 11935–11948. [Google Scholar] [CrossRef]
- Chen, Y.; Haywood, J.; Wang, Y.; Malavelle, F.; Jordan, G.; Partridge, D.; Fieldsend, J.; De Leeuw, J.; Schmidt, A.; Cho, N.; et al. Machine Learning Reveals Climate Forcing from Aerosols Is Dominated by Increased Cloud Cover. Nat. Geosci. 2022, 15, 609–614. [Google Scholar] [CrossRef]
- Chen, Y.; Haywood, J.; Wang, Y.; Malavelle, F.; Jordan, G.; Peace, A.; Partridge, D.G.; Cho, N.; Oreopoulos, L.; Grosvenor, D.; et al. Substantial Cooling Effect from Aerosol-Induced Increase in Tropical Marine Cloud Cover. Nat. Geosci. 2024, 17, 404–410. [Google Scholar] [CrossRef]
- Intergovernmental Panel on Climate Change (IPCC). Climate change 2021: The physical science basis. In Contribution of Working Group I to the Sixth Assessment Report of the Intergovernmental Panel on Climate Change; Cambridge University Press: Cambridge, UK; New York, NY, USA, 2023; pp. 923–1054. [Google Scholar]
- Zhao, P.; Zhao, W.; Yuan, L.; Zhou, X.; Ge, F.; Xiao, H.; Zhang, P.; Wang, Y.; Zhou, Y. Spatial Heterogeneity of Aerosol Effect on Liquid Cloud Microphysical Properties in the Warm Season Over Tibetan Plateau. J. Geophys. Res. Atmos. 2023, 128, e2022JD037738. [Google Scholar] [CrossRef]
- Zhu, S.; Qian, L.; Ma, X.; Qiu, Y.; Yang, J.; He, X.; Li, J.; Zhu, L.; Gong, J.; Lu, C. Impact of Aerosols on the Macrophysical and Microphysical Characteristics of Ice-Phase and Mixed-Phase Clouds over the Tibetan Plateau. Remote Sens. 2024, 16, 1781. [Google Scholar] [CrossRef]
- Liu, T.; Liu, Q.; Chen, Y.; Wang, W.; Zhang, H.; Li, D.; Sheng, J. Effect of Aerosols on the Macro- and Micro-Physical Properties of Warm Clouds in the Beijing-Tianjin-Hebei Region. Sci. Total Environ. 2020, 720, 137618. [Google Scholar] [CrossRef] [PubMed]
- Rosenfeld, D.; Lohmann, U.; Raga, G.B.; O’Dowd, C.D.; Kulmala, M.; Fuzzi, S.; Reissell, A.; Andreae, M.O. Flood or Drought: How Do Aerosols Affect Precipitation? Science 2008, 321, 1309–1313. [Google Scholar] [CrossRef] [PubMed]
- Guo, J.; Deng, M.; Lee, S.S.; Wang, F.; Li, Z.; Zhai, P.; Liu, H.; Lv, W.; Yao, W.; Li, X. Delaying Precipitation and Lightning by Air Pollution over the Pearl River Delta. Part I: Observational Analyses. J. Geophys. Res. Atmos. 2016, 121, 6472–6488. [Google Scholar] [CrossRef]
- Li, Z.; Li, C.; Chen, H.; Tsay, S.-C.; Holben, B.; Huang, J.; Li, B.; Maring, H.; Qian, Y.; Shi, G.; et al. East Asian Studies of Tropospheric Aerosols and Their Impact on Regional Climate (EAST-AIRC): An Overview. J. Geophys. Res. 2011, 116, D00K34. [Google Scholar] [CrossRef]
- Guo, J.; Su, T.; Chen, D.; Wang, J.; Li, Z.; Lv, Y.; Guo, X.; Liu, H.; Cribb, M.; Zhai, P. Declining Summertime Local-Scale Precipitation Frequency Over China and the United States, 1981–2012: The Disparate Roles of Aerosols. Geophys. Res. Lett. 2019, 46, 13281–13289. [Google Scholar] [CrossRef]
- Lee, S.S.; Guo, J.; Li, Z. Delaying Precipitation by Air Pollution over the Pearl River Delta: 2. Model Simulations. J. Geophys. Res. Atmos. 2016, 121, 11739–11760. [Google Scholar] [CrossRef]
- Li, Z.; Niu, F.; Fan, J.; Liu, Y.; Rosenfeld, D.; Ding, Y. Long-Term Impacts of Aerosols on the Vertical Development of Clouds and Precipitation. Nat. Geosci. 2011, 4, 888–894. [Google Scholar] [CrossRef]
- Li, Z.; Lau, W.K.-M.; Ramanathan, V.; Wu, G.; Ding, Y.; Manoj, M.G.; Liu, J.; Qian, Y.; Li, J.; Zhou, T.; et al. Aerosol and Monsoon Climate Interactions over Asia. Rev. Geophys. 2016, 54, 866–929. [Google Scholar] [CrossRef]
- Seinfeld, J.H.; Bretherton, C.; Carslaw, K.S.; Coe, H.; DeMott, P.J.; Dunlea, E.J.; Feingold, G.; Ghan, S.; Guenther, A.B.; Kahn, R.; et al. Improving Our Fundamental Understanding of the Role of Aerosol−cloud Interactions in the Climate System. Proc. Natl. Acad. Sci. USA 2016, 113, 5781–5790. [Google Scholar] [CrossRef]
- Khatri, P.; Yoshida, K.; Hayasaka, T. Aerosol Effects on Water Cloud Properties in Different Atmospheric Regimes. J. Geophys. Res. Atmos. 2023, 128, e2023JD039729. [Google Scholar] [CrossRef]
- Fan, J.; Wang, Y.; Rosenfeld, D.; Liu, X. Review of Aerosol–Cloud Interactions: Mechanisms, Significance, and Challenges. J. Atmos. Sci. 2016, 73, 4221–4252. [Google Scholar] [CrossRef]
- Tao, W.; Chen, J.; Li, Z.; Wang, C.; Zhang, C. Impact of Aerosols on Convective Clouds and Precipitation. Rev. Geophys. 2012, 50, 2011RG000369. [Google Scholar] [CrossRef]
- Koren, I.; Martins, J.V.; Remer, L.A.; Afargan, H. Smoke Invigoration Versus Inhibition of Clouds over the Amazon. Science 2008, 321, 946–949. [Google Scholar] [CrossRef]
- Twomey, S. Pollution and the Planetary Albedo. Atmos. Environ. 2007, 41, 120–125. [Google Scholar] [CrossRef]
- Albrecht, B.A. Aerosols, Cloud Microphysics, and Fractional Cloudiness. Science 1989, 245, 1227–1230. [Google Scholar] [CrossRef] [PubMed]
- Xi, J.; Li, R.; Fan, X.; Wang, Y. Aerosol Effects on the Three-Dimensional Structure of Organized Precipitation Systems over Beijing-Tianjin-Hebei Region in Summer. Atmos. Res. 2024, 298, 107146. [Google Scholar] [CrossRef]
- Guo, X.; Fu, D.; Guo, X.; Zhang, C. A Case Study of Aerosol Impacts on Summer Convective Clouds and Precipitation over Northern China. Atmos. Res. 2014, 142, 142–157. [Google Scholar] [CrossRef]
- Han, X.; Zhao, B.; Lin, Y.; Chen, Q.; Shi, H.; Jiang, Z.; Fan, X.; Wang, J.; Liou, K.; Gu, Y. Type-Dependent Impact of Aerosols on Precipitation Associated With Deep Convective Cloud Over East Asia. J. Geophys. Res. Atmos. 2022, 127, e2021JD036127. [Google Scholar] [CrossRef]
- Zhao, B.; Gu, Y.; Liou, K.; Wang, Y.; Liu, X.; Huang, L.; Jiang, J.H.; Su, H. Type-Dependent Responses of Ice Cloud Properties to Aerosols From Satellite Retrievals. Geophys. Res. Lett. 2018, 45, 3297–3306. [Google Scholar] [CrossRef]
- Zhao, B.; Wang, Y.; Gu, Y.; Liou, K.-N.; Jiang, J.H.; Fan, J.; Liu, X.; Huang, L.; Yung, Y.L. Ice Nucleation by Aerosols from Anthropogenic Pollution. Nat. Geosci. 2019, 12, 602–607. [Google Scholar] [CrossRef]
- Protat, A.; Bouniol, D.; Delanoë, J.; O’Connor, E.; May, P.T.; Plana-Fattori, A.; Hasson, A.; Görsdorf, U.; Heymsfield, A.J. Assessment of Cloudsat Reflectivity Measurements and Ice Cloud Properties Using Ground-Based and Airborne Cloud Radar Observations. J. Atmos. Ocean. Technol. 2009, 26, 1717–1741. [Google Scholar] [CrossRef]
- Intergovernmental Panel on Climate Change (Ed.) Clouds and Aerosols. In Climate Change 2013—The Physical Science Basis; Cambridge University Press: Cambridge, UK, 2014; pp. 571–658. ISBN 978-1-107-05799-9. [Google Scholar]
- Satheesh, S.; Krishnamoorthy, K. Radiative Effects of Natural Aerosols: A Review. Atmos. Environ. 2005, 39, 2089–2110. [Google Scholar] [CrossRef]
- Qian, Y.; Gong, D.; Fan, J.; Leung, L.R.; Bennartz, R.; Chen, D.; Wang, W. Heavy Pollution Suppresses Light Rain in China: Observations and Modeling. J. Geophys. Res. Atmos. 2009, 114, 2008JD011575. [Google Scholar] [CrossRef]
- Stevens, B.; Feingold, G. Untangling Aerosol Effects on Clouds and Precipitation in a Buffered System. Nature 2009, 461, 607–613. [Google Scholar] [CrossRef] [PubMed]
- Fan, J.; Rosenfeld, D.; Yang, Y.; Zhao, C.; Leung, L.R.; Li, Z. Substantial Contribution of Anthropogenic Air Pollution to Catastrophic Floods in Southwest China. Geophys. Res. Lett. 2015, 42, 6066–6075. [Google Scholar] [CrossRef]
- Miao, H.; Wang, X.; Liu, Y.; Wu, G. Characterization of Cloud Microphysical Properties in Different Cloud Types over East Asia Based on CloudSat/CALIPSO Satellite Products. Atmos. Ocean. Sci. Lett. 2021, 14, 100050. [Google Scholar] [CrossRef]
- Lu, X.; Mao, F.; Rosenfeld, D.; Zhu, Y.; Pan, Z.; Gong, W. Satellite Retrieval of Cloud Base Height and Geometric Thickness of Low-Levelcloud Based on CALIPSO. Atmos. Chem. Phys. Discuss. 2021, 21, 11979–12003. [Google Scholar] [CrossRef]
- Li, Z.; Wang, Y.; Guo, J.; Zhao, C.; Cribb, M.C.; Dong, X.; Fan, J.; Gong, D.; Huang, J.; Jiang, M.; et al. East Asian Study of Tropospheric Aerosols and Their Impact on Regional Clouds, Precipitation, and Climate (EAST-AIRCPC). J. Geophys. Res. Atmos. 2019, 124, 13026–13054. [Google Scholar] [CrossRef]
- Zhou, C.; Zhang, X.; Gong, S.; Wang, Y.; Xue, M. Improving Aerosol Interaction with Clouds and Precipitation in a Regional Chemical Weather Modeling System. Atmos. Chem. Phys. 2016, 16, 145–160. [Google Scholar] [CrossRef]
- Fan, J.; Leung, L.R.; Li, Z.; Morrison, H.; Chen, H.; Zhou, Y.; Qian, Y.; Wang, Y. Aerosol Impacts on Clouds and Precipitation in Eastern China: Results from Bin and Bulk Microphysics. J. Geophys. Res. Atmos. 2012, 117, 2011JD016537. [Google Scholar] [CrossRef]
- Stephens, G.L. Cloud Feedbacks in the Climate System: A Critical Review. J. Clim. 2005, 18, 237–273. [Google Scholar] [CrossRef]
- Costantino, L.; Bréon, F.-M. Aerosol Indirect Effect on Warm Clouds over South-East Atlantic, from Co-Located MODIS and CALIPSO Observations. Atmos. Chem. Phys. 2013, 13, 69–88. [Google Scholar] [CrossRef]
- Koren, I.; Dagan, G.; Altaratz, O. From Aerosol-Limited to Invigoration of Warm Convective Clouds. Science 2014, 344, 1143–1146. [Google Scholar] [CrossRef]
- Miltenberger, A.K.; Field, P.R.; Hill, A.A.; Rosenberg, P.; Shipway, B.J.; Wilkinson, J.M.; Scovell, R.; Blyth, A.M. Aerosol–Cloud Interactions in Mixed-Phase Convective Clouds–Part 1: Aerosol Perturbations. Atmos. Chem. Phys. 2018, 18, 3119–3145. [Google Scholar] [CrossRef]
- Zhao, J.; Ma, X.; Quaas, J.; Jia, H. Exploring Aerosol–Cloud Interactions in Liquid-Phase Clouds over Eastern China and Its Adjacent Ocean Using the WRF-Chem–SBM Model. Atmos. Chem. Phys. 2024, 24, 9101–9118. [Google Scholar] [CrossRef]
- Ding, Y.; Liu, Q.; Lao, P.; Li, M.; Li, Y.; Zheng, Q.; Peng, Y. Spatial Distributions of Cloud Occurrences in Terms of Volume Fraction as Inferred from CloudSat and CALIPSO. Remote Sens. 2023, 15, 3978. [Google Scholar] [CrossRef]
- Mitchell, D.L.; Garnier, A. Advances in CALIPSO (IIR) Cirrus Cloud Property Retrievals–Part 2: Global Estimates of the Fraction of Cirrus Clouds Affected by Homogeneous Ice Nucleation. EGUsphere, 2024; preprint. [Google Scholar]
- Maciel, F.V.; Diao, M.; Patnaude, R. Examination of Aerosol Indirect Effects during Cirrus Cloud Evolution. Atmos. Chem. Phys. 2023, 23, 1103–1129. [Google Scholar] [CrossRef]
- Cairo, F.; Krämer, M.; Afchine, A.; Di Donfrancesco, G.; Di Liberto, L.; Khaykin, S.; Lucaferri, L.; Mitev, V.; Port, M.; Rolf, C.; et al. A Comparative Analysis of in Situ Measurements of High-Altitude Cirrus in the Tropics. Atmos. Meas. Tech. 2023, 16, 4899–4925. [Google Scholar] [CrossRef]
- Anderson, T.L.; Charlson, R.J.; Winker, D.M.; Ogren, J.A.; Holmén, K. Mesoscale Variations of Tropospheric Aerosols. J. Atmos. Sci. 2003, 60, 119–136. [Google Scholar] [CrossRef]
- Omar, A.H.; Winker, D.M.; Tackett, J.L.; Giles, D.M.; Kar, J.; Liu, Z.; Vaughan, M.A.; Powell, K.A.; Trepte, C.R. CALIOP and AERONET Aerosol Optical Depth Comparisons: One Size Fits None. J. Geophys. Res. Atmos. 2013, 118, 4748–4766. [Google Scholar] [CrossRef]
- Young, A.H.; Bates, J.J.; Curry, J.A. Application of Cloud Vertical Structure from CloudSat to Investigate MODIS-derived Cloud Properties of Cirriform, Anvil, and Deep Convective Clouds. J. Geophys. Res. Atmos. 2013, 118, 4689–4699. [Google Scholar] [CrossRef]
- Deng, M.; Mace, G.G.; Wang, Z.; Okamoto, H. Tropical Composition, Cloud and Climate Coupling Experiment Validation for Cirrus Cloud Profiling Retrieval Using CloudSat Radar and CALIPSO Lidar. J. Geophys. Res. Atmos. 2010, 115, 2009JD013104. [Google Scholar] [CrossRef]
- Sassen, K.; Wang, Z.; Liu, D. Global Distribution of Cirrus Clouds from CloudSat/Cloud-Aerosol Lidar and Infrared Pathfinder Satellite Observations (CALIPSO) Measurements. J. Geophys. Res. Atmos. 2008, 113, 2008JD009972. [Google Scholar] [CrossRef]
- Sassen, K.; Wang, Z. Classifying Clouds around the Globe with the CloudSat Radar: 1-year of Results. Geophys. Res. Lett. 2008, 35, 2007GL032591. [Google Scholar] [CrossRef]
- Muhlbauer, A.; McCoy, I.L.; Wood, R. Climatology of Stratocumulus Cloud Morphologies: Microphysical Properties and Radiative Effects. Atmos. Chem. Phys. 2014, 14, 6695–6716. [Google Scholar] [CrossRef]
- Gao, W.; Sui, C.-H.; Hu, Z. A Study of Macrophysical and Microphysical Properties of Warm Clouds over the Northern Hemisphere Using CloudSat/CALIPSO Data: Properties of Warm Clouds over NH. J. Geophys. Res. Atmos. 2014, 119, 3268–3280. [Google Scholar] [CrossRef]
- Zhang, J.-Q.; Chen, H.-B. Macrophysical Properties of Specific Cloud Types from Radiosonde and Surface Active Remote Sensing Measurements over the ARM Southern Great Plains Site. Atmos. Ocean. Sci. Lett. 2017, 10, 29–35. [Google Scholar] [CrossRef]
- Chen, Y.-C.; Wang, S.-H.; Min, Q.; Lu, S.; Lin, P.-L.; Lin, N.-H.; Chung, K.-S.; Joseph, E. Aerosol Impacts on Warm-Cloud Microphysics and Drizzle in a Moderately Polluted Environment. Atmos. Chem. Phys. 2021, 21, 4487–4502. [Google Scholar] [CrossRef]
- Lee, S.S. Effect of Aerosol on Circulations and Precipitation in Deep Convective Clouds. J. Atmos. Sci. 2012, 69, 1957–1974. [Google Scholar] [CrossRef]
- Ngo, D.; Diao, M.; Patnaude, R.J.; Woods, S.; Diskin, G. Aerosol–Cloud Interactions in Cirrus Clouds Based on Global-Scale Airborne Observations and Machine Learning Models. Atmos. Chem. Phys. 2025, 25, 7007–7036. [Google Scholar] [CrossRef]
- Zhang, J.; Zhao, B.; Liu, X.; Lin, G.; Jiang, Z.; Wu, C.; Zhao, X. Effects of Different Types of Aerosols on Deep Convective Clouds and Anvil Cirrus. Geophys. Res. Lett. 2022, 49, e2022GL099478. [Google Scholar] [CrossRef]
- Wood, R. Stratocumulus Clouds. Mon. Weather Rev. 2012, 140, 2373–2423. [Google Scholar] [CrossRef]
- Sun, Y.; Wang, Y.; Zhao, C.; Zhou, Y.; Yang, Y.; Yang, X.; Fan, H.; Zhao, X.; Yang, J. Vertical Dependency of Aerosol Impacts on Local Scale Convective Precipitation. Geophys. Res. Lett. 2023, 50, e2022GL102186. [Google Scholar] [CrossRef]
- Diamond, M.S.; Wood, R. Limited Regional Aerosol and Cloud Microphysical Changes Despite Unprecedented Decline in Nitrogen Oxide Pollution During the February 2020 COVID-19 Shutdown in China. Geophys. Res. Lett. 2020, 47, e2020GL088913. [Google Scholar] [CrossRef]
- Wilcox, E.M. Stratocumulus Cloud Thickening beneath Layers of Absorbing Smoke Aerosol. Atmos. Chem. Phys. 2010, 10, 11769–11777. [Google Scholar] [CrossRef]
- Fan, J.; Leung, L.R.; Rosenfeld, D.; Chen, Q.; Li, Z.; Zhang, J.; Yan, H. Microphysical Effects Determine Macrophysical Response for Aerosol Impacts on Deep Convective Clouds. Proc. Natl. Acad. Sci. USA 2013, 110, E4581–E4590. [Google Scholar] [CrossRef]
- Herbert, R.J.; Williams, A.I.L.; Weiss, P.; Watson-Parris, D.; Dingley, E.; Klocke, D.; Stier, P. Regional Variability of Aerosol Impacts on Clouds and Radiation in Global Kilometer-Scale Simulations. Atmos. Chem. Phys. 2025, 25, 7789–7814. [Google Scholar] [CrossRef]
- Lee, J.; Seifert, P.; Hashino, T.; Maahn, M.; Senf, F.; Knoth, O. Simulations of the Impact of Cloud Condensation Nuclei and Ice-Nucleating Particles Perturbations on the Microphysics and Radar Reflectivity Factor of Stratiform Mixed-Phase Clouds. Atmos. Chem. Phys. 2024, 24, 5737–5756. [Google Scholar] [CrossRef]
- Simpson, E.L.; Connolly, P.J.; McFiggans, G. Competition for Water Vapour Results in Suppression of Ice Formation in Mixed-Phase Clouds. Atmos. Chem. Phys. 2018, 18, 7237–7250. [Google Scholar] [CrossRef]
- Beswick, K.; Baumgardner, D.; Gallagher, M.; Raga, G.B.; Minnis, P.; Spangenberg, D.A.; Volz-Thomas, A.; Nedelec, P.; Wang, K.-Y. Properties of Small Cirrus Ice Crystals from Commercial Aircraft Measurements and Implications for Flight Operations. Tellus B Chem. Phys. Meteorol. 2015, 67, 27876. [Google Scholar] [CrossRef]
- Williams, A.S.; Igel, A.L. Cloud Top Radiative Cooling Rate Drives Non-Precipitating Stratiform Cloud Responses to Aerosol Concentration. Geophys. Res. Lett. 2021, 48, e2021GL094740. [Google Scholar] [CrossRef]
- Glassmeier, F.; Hoffmann, F.; Johnson, J.S.; Yamaguchi, T.; Carslaw, K.S.; Feingold, G. Aerosol-Cloud-Climate Cooling Overestimated by Ship-Track Data. Science 2021, 371, 485–489. [Google Scholar] [CrossRef]
- Hernandez-Deckers, D.; Matsui, T.; Fridlind, A.M. Updraft Dynamics and Microphysics: On the Added Value of the Cumulus Thermal Reference Frame in Simulations of Aerosol–Deep Convection Interactions. Atmos. Chem. Phys. 2022, 22, 711–724. [Google Scholar] [CrossRef]
- Engström, A.; Ekman, A.M.L. Impact of Meteorological Factors on the Correlation between Aerosol Optical Depth and Cloud Fraction. Geophys. Res. Lett. 2010, 37, 2010GL044361. [Google Scholar] [CrossRef]
- Hahs-Vaughn, D.L. Applied Multivariate Statistical Concepts; Routledge: New York, NY, USA, 2024. [Google Scholar]
- Zhao, B.; Liou, K.-N.; Gu, Y.; Jiang, J.H.; Li, Q.; Fu, R.; Huang, L.; Liu, X.; Shi, X.; Su, H.; et al. Impact of Aerosols on Ice Crystal Size. Atmos. Chem. Phys. 2018, 18, 1065–1078. [Google Scholar] [CrossRef] [PubMed]
- Dimitrelos, A.; Ekman, A.M.L.; Caballero, R. Moisture and Aerosols as Key Drivers of the Turbulent State of Arctic Mixed-Phase Clouds During Idealized Moist Intrusions. J. Geophys. Res. Atmos. 2024, 129, e2023JD039580. [Google Scholar] [CrossRef]
- Pöhlker, M.L.; Pöhlker, C.; Quaas, J.; Mülmenstädt, J.; Pozzer, A.; Andreae, M.O.; Artaxo, P.; Block, K.; Coe, H.; Ervens, B.; et al. Global Organic and Inorganic Aerosol Hygroscopicity and Its Effect on Radiative Forcing. Nat. Commun. 2023, 14, 6139. [Google Scholar] [CrossRef]
- Liu, F.; Mao, F.; Rosenfeld, D.; Pan, Z.; Zang, L.; Zhu, Y.; Gong, W. Marine Stratocumulus Clouds with More Coarse Sea Spray Aerosols Are Brighter. Geophys. Res. Lett. 2025, 52, e2024GL113718. [Google Scholar] [CrossRef]
- Baró Pérez, A.; Diamond, M.S.; Bender, F.A.-M.; Devasthale, A.; Schwarz, M.; Savre, J.; Tonttila, J.; Kokkola, H.; Lee, H.; Painemal, D.; et al. Comparing the Simulated Influence of Biomass Burning Plumes on Low-Level Clouds over the Southeastern Atlantic under Varying Smoke Conditions. Atmos. Chem. Phys. 2024, 24, 4591–4610. [Google Scholar] [CrossRef]
- Allen, R.J.; Amiri-Farahani, A.; Lamarque, J.-F.; Smith, C.; Shindell, D.; Hassan, T.; Chung, C.E. Observationally Constrained Aerosol–Cloud Semi-Direct Effects. npj Clim. Atmos. Sci. 2019, 2, 16. [Google Scholar] [CrossRef]
- Yuan, T.; Song, H.; Wood, R.; Wang, C.; Oreopoulos, L.; Platnick, S.E.; Von Hippel, S.; Meyer, K.; Light, S.; Wilcox, E. Global Reduction in Ship-Tracks from Sulfur Regulations for Shipping Fuel. Sci. Adv. 2022, 8, eabn7988. [Google Scholar] [CrossRef]
- Liu, H.; Guo, J.; Koren, I.; Altaratz, O.; Dagan, G.; Wang, Y.; Jiang, J.H.; Zhai, P.; Yung, Y.L. Non-Monotonic Aerosol Effect on Precipitation in Convective Clouds over Tropical Oceans. Sci. Rep. 2019, 9, 7809. [Google Scholar] [CrossRef]
- Jiang, J.H.; Su, H.; Huang, L.; Wang, Y.; Massie, S.; Zhao, B.; Omar, A.; Wang, Z. Contrasting Effects on Deep Convective Clouds by Different Types of Aerosols. Nat. Commun. 2018, 9, 3874. [Google Scholar] [CrossRef] [PubMed]










| Satellite/Sensor | Product | Variable | Horizontal Resolution |
|---|---|---|---|
| Aqua/MODIS | MYDATM (Level 2, Collection 6.1) | Column AOD | 10 km × 10 km |
| Cloud phase (determined by the “cloud optical property” algorithm) and primary cloud retrieval outcome, which are used to calculate ice cloud fraction | 1 km × 1 km | ||
| CALIPSO/CALIOP | 05kmMLay (Level 2, V4.1) | Aerosol/cloud layer number, layer aerosol/cloud optical depth, feature classification flags (containing the “aerosol type” flag), CAD score, and extinction QC | 5 km along-track |
| CloudSat/CPR | 2B-CLDCLASS-LIDAR | Cloud subtypes Cloud Base Height Cloud Top Height Cloud Layer Cloud Phase Cloud Phase Confidence Level | 1.7 km along-track |
| ECMWF-AUX | Meteorological parameters such as CAPE, wind shear, vertically resolved pressure, vertical velocity, and wind speed | 1.7 km along-track 1 |
| Cirrus | 846,772 |
| Altostratus | 214,676 |
| Altocumulus | 344,451 |
| Stratus | 4312 |
| Stratocumulus | 477,437 |
| Cumulus | 750,291 |
| Nimbostratus | 8822 |
| Deep Convection | 5383 |
| Total Samples | 9,621,940 |
| Valid Samples (AOD ≥ 0) | 2,652,686 |
Disclaimer/Publisher’s Note: The statements, opinions and data contained in all publications are solely those of the individual author(s) and contributor(s) and not of MDPI and/or the editor(s). MDPI and/or the editor(s) disclaim responsibility for any injury to people or property resulting from any ideas, methods, instructions or products referred to in the content. |
© 2025 by the authors. Licensee MDPI, Basel, Switzerland. This article is an open access article distributed under the terms and conditions of the Creative Commons Attribution (CC BY) license (https://creativecommons.org/licenses/by/4.0/).
Share and Cite
Han, X.; Chen, Q.; Song, Z.; Fu, D.; Shi, H. Impacts of Aerosol Optical Depth on Different Types of Cloud Macrophysical and Microphysical Properties over East Asia. Remote Sens. 2025, 17, 3535. https://doi.org/10.3390/rs17213535
Han X, Chen Q, Song Z, Fu D, Shi H. Impacts of Aerosol Optical Depth on Different Types of Cloud Macrophysical and Microphysical Properties over East Asia. Remote Sensing. 2025; 17(21):3535. https://doi.org/10.3390/rs17213535
Chicago/Turabian StyleHan, Xinlei, Qixiang Chen, Zijue Song, Disong Fu, and Hongrong Shi. 2025. "Impacts of Aerosol Optical Depth on Different Types of Cloud Macrophysical and Microphysical Properties over East Asia" Remote Sensing 17, no. 21: 3535. https://doi.org/10.3390/rs17213535
APA StyleHan, X., Chen, Q., Song, Z., Fu, D., & Shi, H. (2025). Impacts of Aerosol Optical Depth on Different Types of Cloud Macrophysical and Microphysical Properties over East Asia. Remote Sensing, 17(21), 3535. https://doi.org/10.3390/rs17213535

