Predicting Air Temperature Patterns in Milan Using Crowdsourced Measurements and Earth Observation Data
Highlights
- Machine learning regression, integrating both authoritative and crowdsourced data, generated 20 m resolution air temperature maps for Milan during heatwaves, with higher accuracy observed during late afternoons and nights.
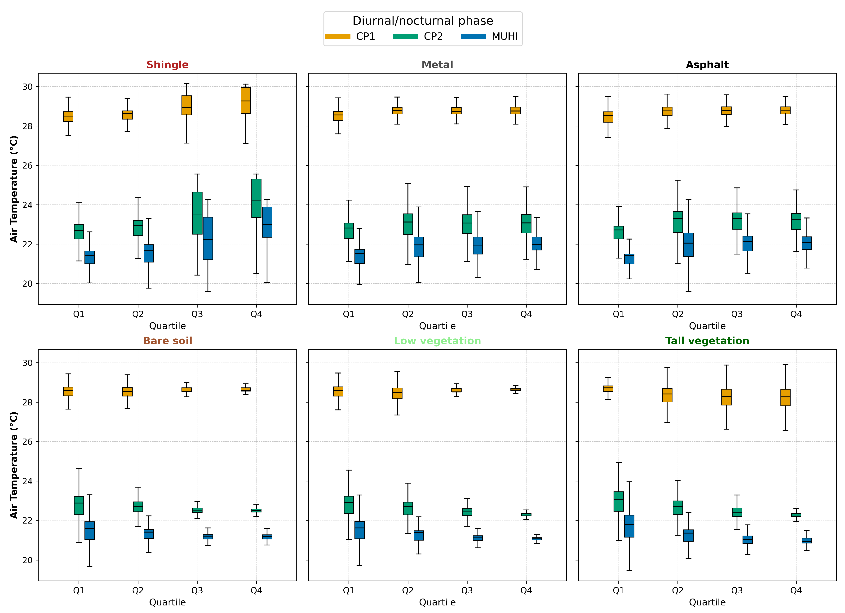
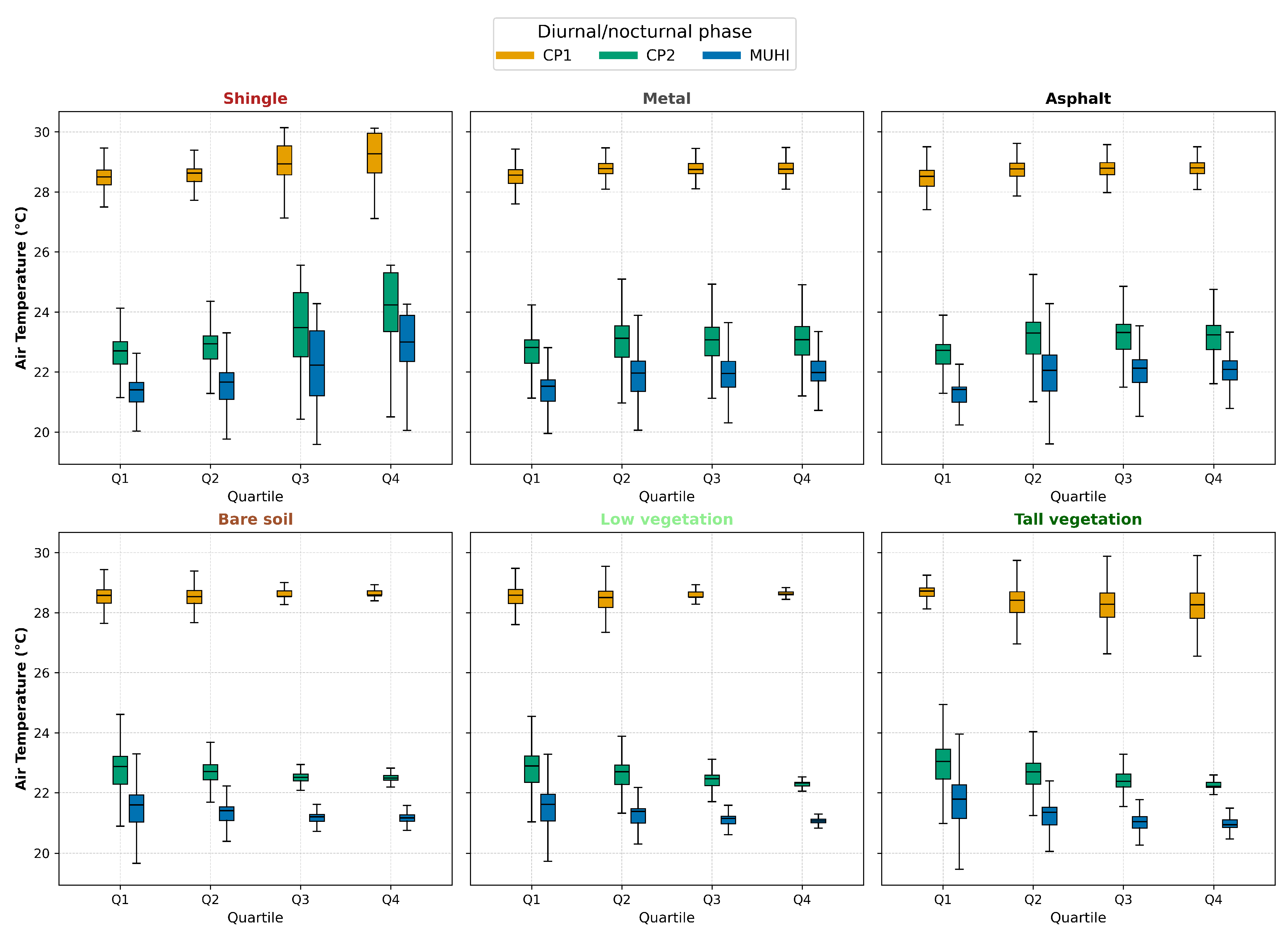
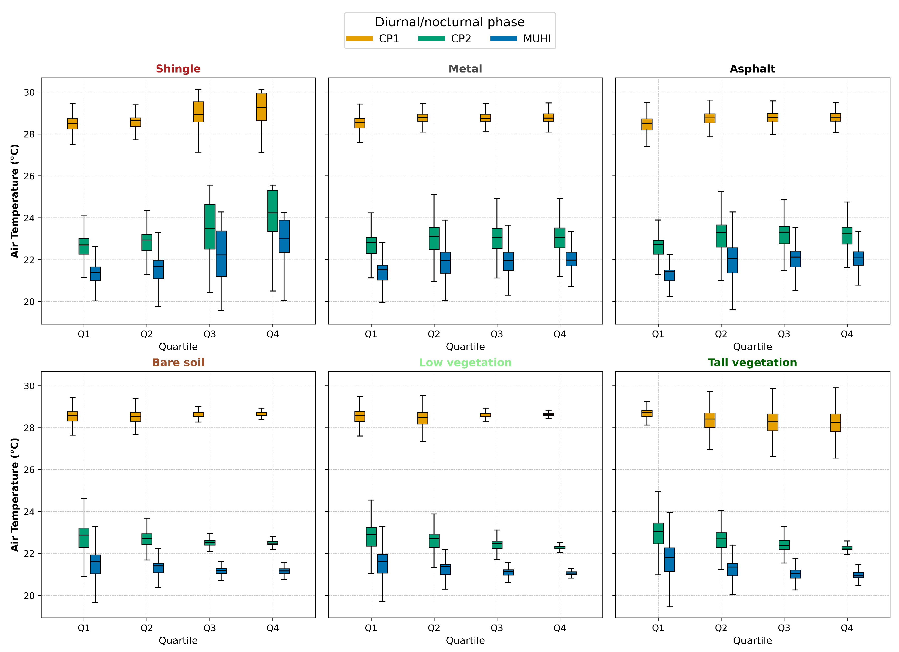
- Hyperspectral data was successfully applied to evaluate how the abundance of surface materials influences air temperature, indicating warming and cooling responses among materials
- The high-resolution maps capture intra-urban temperature variability, including a pronounced urban heat island (UHI) effect, with central areas up to 3–5 °C warmer and urban parks providing a cooling effect of 1–2 °C.
- These results provide important data to support urban heat risk assessment, model validation, and the development of heat mitigation strategies for cities facing extreme heat.
Abstract
1. Introduction
1.1. Background and Motivation
1.2. AT Monitoring and Estimation
1.3. AT Modelling Techniques and State of the Art on Regression-Based Methods
1.4. Research Objectives and Paper Structure
- To map the diurnal and seasonal evolution of AT during HWs in Milan using a data-driven ML regression model trained on crowdsourced AT measurements and geospatial and EO predictors, producing spatially continuous high-resolution maps that capture AT dynamics. To the best of our knowledge, no fine-scale AT mapping using regression-based methods has been conducted previously for this study area;
- To evaluate the potential of hyperspectral (HS) satellite imagery for understanding the influence of surface material abundances on AT; this aspect represents a novelty in the literature.
2. Materials and Methods
2.1. Study Site
2.2. Weather Station Data
2.3. HW Estimation and Selection
2.4. Computation of Predictors from Geospatial and EO Data
2.5. Material Abundance from Hyperspectral Data
2.6. AT Modelling
3. Results
3.1. Model Performance
3.2. Feature Importance
3.3. Seasonal and Diurnal Dynamics
3.4. Surface Material Impact on Heat
4. Discussion
4.1. AT Modelling
4.2. Interpretation of the AT Predictions
4.3. Limitations and Future Outlook
5. Conclusions
Author Contributions
Funding
Data Availability Statement
Acknowledgments
Conflicts of Interest
Abbreviations
| ARPA | Agenzia Regionale per la Protezione dell’Ambiente |
| AT | Air Temperature |
| CH | Canopy Height |
| CMCC | Euro-Mediterranean Center on Climate Change |
| CML | Centro Meteorologico Lombardo |
| CP | Cooling Phase |
| CUHI | Canopy-Layer Urban Heat Island |
| CWS | Citizen Weather Stations |
| DESIS | DLR Earth Sensing Imaging Spectrometer |
| DL | Deep Learning |
| DTM | Digital Terrain Model |
| EO | Earth Observation |
| ERA5 | ECMWF Reanalysis v5 |
| GEE | Google Earth Engine |
| HP | Heating Phase |
| HS | Hyperspectral |
| HW | Heatwave |
| IMD | Imperviousness Density |
| LCZ | Local Climate Zones |
| LST | Land Surface Temperature |
| ML | Machine Learning |
| MS | Multispectral |
| MUHI | Maximum UHI Phase |
| NDVI | Normalized Difference Vegetation Index |
| RF | Random Forest |
| RMSE | Root Mean Squared Error |
| SD | Standard Deviation |
| SUHI | Surface Urban Heat Island |
| SVF | Sky View Factor |
| SWIR | Short-Wave Infrared |
| UHI | Urban Heat Island |
| VHR-REA_IT | Very High-Resolution dynamical downscaling of ERA5 Reanalysis over Italy |
| WP | Warmest Phase |
Appendix A


| HW | Start | End | Duration (Days) | Cumulative Intensity (°C) | Average Intensity (°C) | Deviation (°C) |
|---|---|---|---|---|---|---|
| 1 | 28/01/2022 | 31/01/2022 | 4 | 6.7 | 1.7 | −0.8 |
| 2 | 08/02/2022 | 11/02/2022 | 4 | 4.4 | 1.1 | −1.4 |
| 3 | 19/02/2022 | 23/02/2022 | 5 | 10.4 | 2.1 | −0.4 |
| 4 | 24/03/2022 | 29/03/2022 | 6 | 6.5 | 1.1 | −1.4 |
| 5 | 13/04/2022 | 16/04/2022 | 4 | 9.7 | 2.4 | −0.1 |
| 6 | 10/05/2022 | 24/05/2022 | 15 | 45.1 | 3.0 | 0.5 |
| 7 | 26/05/2022 | 28/05/2022 | 3 | 8.3 | 2.8 | 0.3 |
| 8 | 04/06/2022 | 06/06/2022 | 3 | 12.8 | 4.3 | 1.8 |
| 9 | 11/06/2022 | 21/06/2022 | 11 | 34.0 | 3.1 | 0.6 |
| 10 | 02/07/2022 | 05/07/2022 | 4 | 10.3 | 2.6 | 0.1 |
| 11 | 15/07/2022 | 26/07/2022 | 12 | 34.3 | 2.9 | 0.4 |
| 12 | 03/08/2022 | 06/08/2022 | 4 | 8.3 | 2.1 | −0.4 |
| 13 | 15/10/2022 | 20/10/2022 | 6 | 15.7 | 2.6 | 0.1 |
| 14 | 24/10/2022 | 31/10/2022 | 8 | 37.4 | 4.7 | 2.2 |
| 15 | 10/11/2022 | 12/11/2022 | 3 | 5.8 | 1.9 | −0.5 |
| 16 | 22/12/2022 | 24/12/2022 | 3 | 3.8 | 1.3 | −1.2 |
| Average | 5.9 | 15.8 | 2.5 | |||
| Date | Product IDs | Local Acquisition Time |
|---|---|---|
| 25/02/2022 | S2B_MSIL2A_20220225T101909_N0510_R065_T32TNR_20240530T024453 S2B_MSIL2A_20220225T101909_N0510_R065_T32TMR_20240530T024453 | 10:19 a.m. |
| 11/05/2022 | S2A_MSIL2A_20220511T101601_N0510_R065_T32TNR_20240617T140748 S2A_MSIL2A_20220511T101601_N0510_R065_T32TMR_20240617T140748 | 10:16 a.m. |
| 10/06/2022 | S2A_MSIL2A_20220610T101611_N0510_R065_T32TNR_20240630T072225 S2A_MSIL2A_20220610T101611_N0510_R065_T32TMR_20240630T072225 | 10:16 a.m. |
| 20/07/2022 | S2A_MSIL2A_20220720T101611_N0510_R065_T32TNR_20240715T001059 S2A_MSIL2A_20220720T101611_N0510_R065_T32TMR_20240715T001059 | 10:16 a.m. |
| 18/10/2022 | S2A_MSIL2A_20221018T102031_N0510_R065_T32TNR_20240802T013810 S2A_MSIL2A_20221018T102031_N0510_R065_T32TMR_20240802T013810 | 10:20 a.m. |
References
- European Environment Agency. European Climate Risk Assessment. 2024. Available online: https://www.eea.europa.eu/en/analysis/publications/european-climate-risk-assessment (accessed on 25 July 2025).
- Oke, T.R. The energetic basis of the urban heat island. Q. J. R. Meteorol. Soc. 1982, 108, 1–24. [Google Scholar] [CrossRef]
- Oke, T.R.; Mills, G.; Christen, A.; Voogt, J.A. Urban Climates; Cambridge University Press: Cambridge, UK, 2017. [Google Scholar] [CrossRef]
- Voogt, J.A.; Oke, T.R. Thermal remote sensing of urban climates. Remote Sens. Environ. 2003, 86, 370–384. [Google Scholar] [CrossRef]
- Giorgi, F. Climate change hot-spots. Geophys. Res. Lett. 2006, 33, 8. [Google Scholar] [CrossRef]
- Ali, E.; Cramer, W.; Carnicer, J.; Georgopoulou, E.; Hilmi, N.J.M.; Le Cozannet, G.; Lionello, P. Cross-Chapter Paper 4: Mediterranean Region. In Climate Change 2022: Impacts, Adaptation and Vulnerability. Contribution of Working Group II to the Sixth Assessment Report of the Intergovernmental Panel on Climate Change; Pörtner, H.O., Roberts, D.C., Tignor, M., Poloczanska, E.S., Mintenbeck, K., Alegría, A., Craig, M., Langsdorf, S., Löschke, S., Möller, V., et al., Eds.; Cambridge University Press: Cambridge, UK; New York, NY, USA, 2022; pp. 2233–2272. [Google Scholar] [CrossRef]
- Domeisen, D.I.V.; Eltahir, E.A.B.; Fischer, E.M.; Knutti, R.; Perkins-Kirkpatrick, S.E.; Schär, C.; Seneviratne, S.I.; Weisheimer, A.; Wernli, H. Prediction and projection of heatwaves. Nat. Rev. Earth Environ. 2023, 4, 36–50. [Google Scholar] [CrossRef]
- Campbell, S.; Remenyi, T.A.; White, C.J.; Johnston, F.H. Heatwave and health impact research: A global review. Health Place 2018, 53, 210–218. [Google Scholar] [CrossRef]
- Xu, Z.; FitzGerald, G.; Guo, Y.; Jalaludin, B.; Tong, S. Impact of heatwave on mortality under different heatwave definitions: A systematic review and meta-analysis. Environ. Int. 2016, 89–90, 193–203. [Google Scholar] [CrossRef]
- Ballester, J.; Quijal-Zamorano, M.; Méndez Turrubiates, R.F.; Pegenaute, F.; Herrmann, F.R.; Robine, J.M.; Basagaña, X.; Tonne, C.; Antó, J.M.; Achebak, H. Heat-related mortality in Europe during the summer of 2022. Nat. Med. 2023, 29, 1857–1866. [Google Scholar] [CrossRef]
- Zakšek, K.; Oštir, K. Downscaling land surface temperature for urban heat island diurnal cycle analysis. Remote Sens. Environ. 2012, 117, 114–124. [Google Scholar] [CrossRef]
- Schwarz, N.; Lautenbach, S.; Seppelt, R. Exploring indicators for quantifying surface urban heat islands of European cities with MODIS land surface temperatures. Remote Sens. Environ. 2011, 115, 3175–3186. [Google Scholar] [CrossRef]
- Venter, Z.S.; Chakraborty, T.; Lee, X. Crowdsourced air temperatures contrast satellite measures of the urban heat island and its mechanisms. Sci. Adv. 2021, 7, eabb9569. [Google Scholar] [CrossRef]
- Naserikia, M.; Nazarian, N.; Hart, M.A.; Sismanidis, P.; Kittner, J.; Bechtel, B. Multi-city analysis of satellite surface temperature compared to crowdsourced air temperature. Environ. Res. Lett. 2024, 19, 124063. [Google Scholar] [CrossRef]
- Verdonck, M.L.; Demuzere, M.; Hooyberghs, H.; Beck, C.; Cyrys, J.; Schneider, A.; Dewulf, R.; Van Coillie, F. The potential of local climate zones maps as a heat stress assessment tool, supported by simulated air temperature data. Landsc. Urban Plan. 2018, 178, 183–197. [Google Scholar] [CrossRef]
- Wang, K.; Jiang, S.; Wang, J.; Zhou, C.; Wang, X.; Lee, X. Comparing the diurnal and seasonal variabilities of atmospheric and surface urban heat islands based on the Beijing urban meteorological network. J. Geophys. Res. Atmos. 2017, 122, 2131–2154. [Google Scholar] [CrossRef]
- Cui, Y.Y.; Foy, B.d. Seasonal Variations of the Urban Heat Island at the Surface and the Near-Surface and Reductions due to Urban Vegetation in Mexico City. J. Appl. Meteorol. Climatol. 2012, 51, 855–868. [Google Scholar] [CrossRef]
- Oke, T. The distinction between canopy and boundary-layer urban heat islands. Atmosphere 1976, 14, 268–277. [Google Scholar] [CrossRef]
- World Meteorological Organization. Guide to Instruments and Methods of Observation (WMO-No. 8) | World Meteorological Organization. Available online: https://library.wmo.int/records/item/68695-guide-to-instruments-and-methods-of-observation?offset= (accessed on 25 July 2025).
- Muller, C.L.; Chapman, L.; Grimmond, C.S.B.; Young, D.T.; Cai, X. Sensors and the city: A review of urban meteorological networks. Int. J. Climatol. 2013, 33, 1585–1600. [Google Scholar] [CrossRef]
- Meier, F.; Fenner, D.; Grassmann, T.; Otto, M.; Scherer, D. Crowdsourcing air temperature from citizen weather stations for urban climate research. Urban Clim. 2017, 19, 170–191. [Google Scholar] [CrossRef]
- Potgieter, J.; Nazarian, N.; Lipson, M.J.; Hart, M.A.; Ulpiani, G.; Morrison, W.; Benjamin, K. Combining High-Resolution Land Use Data with Crowdsourced Air Temperature to Investigate Intra-Urban Microclimate. Front. Environ. Sci. 2021, 9, 720323. [Google Scholar] [CrossRef]
- Coney, J.; Pickering, B.; Dufton, D.; Lukach, M.; Brooks, B.; Neely III, R.R. How useful are crowdsourced air temperature observations? An assessment of Netatmo stations and quality control schemes over the United Kingdom. Meteorol. Appl. 2022, 29, e2075. [Google Scholar] [CrossRef]
- Napoly, A.; Grassmann, T.; Meier, F.; Fenner, D. Development and Application of a Statistically-Based Quality Control for Crowdsourced Air Temperature Data. Front. Earth Sci. 2018, 6, 118. [Google Scholar] [CrossRef]
- Fenner, D.; Bechtel, B.; Demuzere, M.; Kittner, J.; Meier, F. CrowdQC+—A Quality-Control for Crowdsourced Air-Temperature Observations Enabling World-Wide Urban Climate Applications. Front. Environ. Sci. 2021, 9, 720747. [Google Scholar] [CrossRef]
- Leconte, F.; Bouyer, J.; Claverie, R.; Pétrissans, M. Using Local Climate Zone scheme for UHI assessment: Evaluation of the method using mobile measurements. Build. Environ. 2015, 83, 39–49. [Google Scholar] [CrossRef]
- Emery, J.; Pohl, B.; Crétat, J.; Richard, Y.; Pergaud, J.; Rega, M.; Zito, S.; Dudek, J.; Vairet, T.; Joly, D.; et al. How local climate zones influence urban air temperature: Measurements by bicycle in Dijon, France. Urban Clim. 2021, 40, 101017. [Google Scholar] [CrossRef]
- Tsin, P.K.; Knudby, A.; Krayenhoff, E.S.; Ho, H.C.; Brauer, M.; Henderson, S.B. Microscale mobile monitoring of urban air temperature. Urban Clim. 2016, 18, 58–72. [Google Scholar] [CrossRef]
- Lehnert, M.; Geletič, J.; Dobrovolný, P.; Jurek, M. Temperature differences among local climate zones established by mobile measurements in two central European cities. Clim. Res. 2018, 75, 53–64. [Google Scholar] [CrossRef]
- Hersbach, H.; Bell, B.; Berrisford, P.; Hirahara, S.; Horányi, A.; Muñoz-Sabater, J.; Nicolas, J.; Peubey, C.; Radu, R.; Schepers, D.; et al. The ERA5 global reanalysis. Q. J. R. Meteorol. Soc. 2020, 146, 1999–2049. [Google Scholar] [CrossRef]
- Muñoz-Sabater, J.; Dutra, E.; Agustí-Panareda, A.; Albergel, C.; Arduini, G.; Balsamo, G.; Boussetta, S.; Choulga, M.; Harrigan, S.; Hersbach, H.; et al. ERA5-Land: A state-of-the-art global reanalysis dataset for land applications. Earth Syst. Sci. Data 2021, 13, 4349–4383. [Google Scholar] [CrossRef]
- UERRA. Regional Reanalysis for Europe on Single Levels from 1961 to 2019. Available online: https://cds.climate.copernicus.eu/datasets/reanalysis-uerra-europe-single-levels?tab=documentation (accessed on 25 July 2025).
- Krähenmann, S.; Walter, A.; Brienen, S.; Imbery, F.; Matzarakis, A. High-resolution grids of hourly meteorological variables for Germany. Theor. Appl. Climatol. 2018, 131, 899–926. [Google Scholar] [CrossRef]
- Devers, A.; Vidal, J.P.; Lauvernet, C.; Vannier, O. FYRE Climate: A high-resolution reanalysis of daily precipitation and temperature in France from 1871 to 2012. Clim. Past 2021, 17, 1857–1879. [Google Scholar] [CrossRef]
- Raffa, M.; Reder, A.; Marras, G.F.; Mancini, M.; Scipione, G.; Santini, M.; Mercogliano, P. VHR-REA_IT Dataset: Very High Resolution Dynamical Downscaling of ERA5 Reanalysis over Italy by COSMO-CLM. Data 2021, 6, 88. [Google Scholar] [CrossRef]
- Chen, F.; Kusaka, H.; Bornstein, R.; Ching, J.; Grimmond, C.S.B.; Grossman-Clarke, S.; Loridan, T.; Manning, K.W.; Martilli, A.; Miao, S.; et al. The integrated WRF/urban modelling system: Development, evaluation, and applications to urban environmental problems. Int. J. Climatol. 2011, 31, 273–288. [Google Scholar] [CrossRef]
- Maronga, B.; Gross, G.; Raasch, S.; Banzhaf, S.; Forkel, R.; Heldens, W.; Kanani-Sühring, F.; Matzarakis, A.; Mauder, M.; Pavlik, D.; et al. Development of a new urban climate model based on the model PALM—Project overview, planned work, and first achievements. Meteorol. Z. 2019, 28, 105–119. [Google Scholar] [CrossRef]
- De Ridder, K.; Lauwaet, D.; Maiheu, B. UrbClim—A fast urban boundary layer climate model. Urban Clim. 2015, 12, 21–48. [Google Scholar] [CrossRef]
- Trusilova, K.; Schubert, S.; Wouters, H.; Früh, B.; Grossman-Clarke, S.; Demuzere, M.; Becker, P. The urban land use in the COSMO-CLM model: A comparison of three parameterizations for Berlin. Meteorol. Z. 2016, 25, 231–244. [Google Scholar] [CrossRef]
- Hassani, A.; Santos, G.S.; Schneider, P.; Castell, N. Interpolation, Satellite-Based Machine Learning, or Meteorological Simulation? A Comparison Analysis for Spatio-temporal Mapping of Mesoscale Urban Air Temperature. Environ. Model. Assess. 2024, 29, 291–306. [Google Scholar] [CrossRef]
- Frustaci, G.; Pilati, S.; Lavecchia, C.; Montoli, E.M. High-Resolution Gridded Air Temperature Data for the Urban Environment: The Milan Data Set. Forecasting 2022, 4, 238–261. [Google Scholar] [CrossRef]
- Zhang, Z.; Du, Q. A Bayesian Kriging Regression Method to Estimate Air Temperature Using Remote Sensing Data. Remote Sens. 2019, 11, 767. [Google Scholar] [CrossRef]
- Wang, M.; He, G.; Zhang, Z.; Wang, G.; Zhang, Z.; Cao, X.; Wu, Z.; Liu, X. Comparison of Spatial Interpolation and Regression Analysis Models for an Estimation of Monthly Near Surface Air Temperature in China. Remote Sens. 2017, 9, 1278. [Google Scholar] [CrossRef]
- Burger, M.; Gubler, M.; Brönnimann, S. High-resolution dataset of nocturnal air temperatures in Bern, Switzerland (2007–2022). Geosci. Data J. 2024, 11, 623–637. [Google Scholar] [CrossRef]
- Benali, A.; Carvalho, A.C.; Nunes, J.P.; Carvalhais, N.; Santos, A. Estimating air surface temperature in Portugal using MODIS LST data. Remote Sens. Environ. 2012, 124, 108–121. [Google Scholar] [CrossRef]
- Wicki, A.; Parlow, E.; Feigenwinter, C. Evaluation and Modeling of Urban Heat Island Intensity in Basel, Switzerland. Climate 2018, 6, 55. [Google Scholar] [CrossRef]
- Zhang, Z.; Du, Q. Hourly mapping of surface air temperature by blending geostationary datasets from the two-satellite system of GOES-R series. ISPRS J. Photogramm. Remote Sens. 2022, 183, 111–128. [Google Scholar] [CrossRef]
- Venter, Z.S.; Brousse, O.; Esau, I.; Meier, F. Hyperlocal mapping of urban air temperature using remote sensing and crowdsourced weather data. Remote Sens. Environ. 2020, 242, 111791. [Google Scholar] [CrossRef]
- Zumwald, M.; Knüsel, B.; Bresch, D.N.; Knutti, R. Mapping urban temperature using crowd-sensing data and machine learning. Urban Clim. 2021, 35, 100739. [Google Scholar] [CrossRef]
- Ho, H.C.; Knudby, A.; Sirovyak, P.; Xu, Y.; Hodul, M.; Henderson, S.B. Mapping maximum urban air temperature on hot summer days. Remote Sens. Environ. 2014, 154, 38–45. [Google Scholar] [CrossRef]
- Tran, D.P.; Liou, Y.A. Creating a spatially continuous air temperature dataset for Taiwan using thermal remote-sensing data and machine learning algorithms. Ecol. Indic. 2024, 158, 111469. [Google Scholar] [CrossRef]
- Dos Santos, R.S. Estimating spatio-temporal air temperature in London (UK) using machine learning and earth observation satellite data. Int. J. Appl. Earth Obs. Geoinf. 2020, 88, 102066. [Google Scholar] [CrossRef]
- Cecilia, A.; Casasanta, G.; Petenko, I.; Argentini, S. A Machine Learning Algorithm to Convert Geostationary Satellite LST to Air Temperature Using In Situ Measurements: A Case Study in Rome and High-Resolution Spatio-Temporal UHI Analysis. Remote Sens. 2025, 17, 468. [Google Scholar] [CrossRef]
- Pichierri, M.; Bonafoni, S.; Biondi, R. Satellite air temperature estimation for monitoring the canopy layer heat island of Milan. Remote Sens. Environ. 2012, 127, 130–138. [Google Scholar] [CrossRef]
- Anniballe, R.; Bonafoni, S.; Pichierri, M. Spatial and temporal trends of the surface and air heat island over Milan using MODIS data. Remote Sens. Environ. 2014, 150, 163–171. [Google Scholar] [CrossRef]
- Colaninno, N.; Morello, E. Towards an operational model for estimating day and night instantaneous near-surface air temperature for urban heat island studies: Outline and assessment. Urban Clim. 2022, 46, 101320. [Google Scholar] [CrossRef]
- Kottek, M.; Grieser, J.; Beck, C.; Rudolf, B.; Rubel, F. World Map of the Köppen-Geiger climate classification updated. Meteorol. Z. 2006, 15, 259–263. [Google Scholar] [CrossRef]
- Rubel, F.; Brugger, K.; Haslinger, K.; Auer, I. The climate of the European Alps: Shift of very high resolution Köppen-Geiger climate zones 1800–2100. Meteorol. Z. 2017, 26, 115–125. [Google Scholar] [CrossRef]
- Demography in Figures–Resident Population. Italian National Institute of Statistics. Available online: https://demo.istat.it/app/?i=POS&l=en (accessed on 29 September 2025).
- Montanari, A.; Nguyen, H.; Rubinetti, S.; Ceola, S.; Galelli, S.; Rubino, A.; Zanchettin, D. Why the 2022 Po River drought is the worst in the past two centuries. Sci. Adv. 2023, 9, eadg8304. [Google Scholar] [CrossRef]
- Tabassum, A.; Hong, S.H.; Park, K.; Baik, J.J. Impacts of Changes in Soil Moisture on Urban Heat Islands and Urban Breeze Circulations: Idealized Ensemble Simulations. Asia-Pac. J. Atmos. Sci. 2024, 60, 541–553. [Google Scholar] [CrossRef]
- Šećerov, I.; Savić, S.; Milošević, D.; Marković, V.; Bajšanski, I. Development of an automated urban climate monitoring system in Novi Sad (Serbia). Geogr. Pannonica 2015, 19, 174–183. [Google Scholar] [CrossRef]
- Gubler, M.; Christen, A.; Remund, J.; Brönnimann, S. Evaluation and application of a low-cost measurement network to study intra-urban temperature differences during summer 2018 in Bern, Switzerland. Urban Clim. 2021, 37, 100817. [Google Scholar] [CrossRef]
- Foissard, X.; Dubreuil, V.; Quénol, H. Defining scales of the land use effect to map the urban heat island in a mid-size European city: Rennes (France). Urban Clim. 2019, 29, 100490. [Google Scholar] [CrossRef]
- Lelovics, E.; Unger, J.; Gál, T.; Gál, C.V. Design of an urban monitoring network based on Local Climate Zone mapping and temperature pattern modelling. Clim. Res. 2014, 60, 51–62. [Google Scholar] [CrossRef]
- Netatmo. Netatmo Weather Station. 2025. Available online: https://www.netatmo.com/en-gb (accessed on 19 July 2025).
- Davis Instruments. Vantage Pro2 Spec Sheets. 2025. Available online: https://support.davisinstruments.com/category/esfbscicgu-vantage-pro-2 (accessed on 24 July 2025).
- Chapman, L.; Bell, C.; Bell, S. Can the crowdsourcing data paradigm take atmospheric science to a new level? A case study of the urban heat island of London quantified using Netatmo weather stations. Int. J. Climatol. 2017, 37, 3597–3605. [Google Scholar] [CrossRef]
- Puche, M.; Vavassori, A.; Brovelli, M.A. Insights into the Effect of Urban Morphology and Land Cover on Land Surface and Air Temperatures in the Metropolitan City of Milan (Italy) Using Satellite Imagery and In Situ Measurements. Remote Sens. 2023, 15, 733. [Google Scholar] [CrossRef]
- Barriopedro, D.; García-Herrera, R.; Ordóñez, C.; Miralles, D.G.; Salcedo-Sanz, S. Heat Waves: Physical Understanding and Scientific Challenges. Rev. Geophys. 2023, 61, e2022RG000780. [Google Scholar] [CrossRef]
- Russo, S.; Dosio, A.; Graversen, R.G.; Sillmann, J.; Carrao, H.; Dunbar, M.B.; Singleton, A.; Montagna, P.; Barbola, P.; Vogt, J.V. Magnitude of extreme heat waves in present climate and their projection in a warming world. J. Geophys. Res. Atmos. 2014, 119, 12500–12512. [Google Scholar] [CrossRef]
- Perkins, S.E.; Alexander, L.V. On the Measurement of Heat Waves. J. Clim. 2013, 26, 4500–4517. [Google Scholar] [CrossRef]
- Perkins-Kirkpatrick, S.E.; Lewis, S.C. Increasing trends in regional heatwaves. Nat. Commun. 2020, 11, 3357. [Google Scholar] [CrossRef]
- Rousi, E.; Kornhuber, K.; Beobide-Arsuaga, G.; Luo, F.; Coumou, D. Accelerated western European heatwave trends linked to more-persistent double jets over Eurasia. Nat. Commun. 2022, 13, 3851. [Google Scholar] [CrossRef]
- Rockel, B.; Will, A.; Hense, A. The Regional Climate Model COSMO-CLM (CCLM). Meteorol. Z. 2008, 17, 347–348. [Google Scholar] [CrossRef]
- Garbero, V.; Milelli, M.; Bucchignani, E.; Mercogliano, P.; Varentsov, M.; Rozinkina, I.; Rivin, G.; Blinov, D.; Wouters, H.; Schulz, J.P.; et al. Evaluating the Urban Canopy Scheme TERRA_URB in the COSMO Model for Selected European Cities. Atmosphere 2021, 12, 237. [Google Scholar] [CrossRef]
- Adinolfi, M.; Raffa, M.; Reder, A.; Mercogliano, P. Investigation on potential and limitations of ERA5 Reanalysis downscaled on Italy by a convection-permitting model. Clim. Dyn. 2023, 61, 4319–4342. [Google Scholar] [CrossRef]
- Cavalleri, F.; Viterbo, F.; Brunetti, M.; Bonanno, R.; Manara, V.; Lussana, C.; Lacavalla, M.; Maugeri, M. Inter-comparison and validation of high-resolution surface air temperature reanalysis fields over Italy. Int. J. Climatol. 2024, 44, 2681–2700. [Google Scholar] [CrossRef]
- Vavassori, A.; Oxoli, D.; Venuti, G.; Brovelli, M.A.; Siciliani de Cumis, M.; Sacco, P.; Tapete, D. A combined Remote Sensing and GIS-based method for Local Climate Zone mapping using PRISMA and Sentinel-2 imagery. Int. J. Appl. Earth Obs. Geoinf. 2024, 131, 103944. [Google Scholar] [CrossRef]
- Gorelick, N.; Hancher, M.; Dixon, M.; Ilyushchenko, S.; Thau, D.; Moore, R. Google Earth Engine: Planetary-scale geospatial analysis for everyone. Remote Sens. Environ. 2017, 202, 18–27. [Google Scholar] [CrossRef]
- Sadeghi, M.; Babaeian, E.; Tuller, M.; Jones, S.B. The optical trapezoid model: A novel approach to remote sensing of soil moisture applied to Sentinel-2 and Landsat-8 observations. Remote Sens. Environ. 2017, 198, 52–68. [Google Scholar] [CrossRef]
- Shi, C.; Wang, L. Incorporating spatial information in spectral unmixing: A review. Remote Sens. Environ. 2014, 149, 70–87. [Google Scholar] [CrossRef]
- Heylen, R.; Parente, M.; Gader, P. A Review of Nonlinear Hyperspectral Unmixing Methods. IEEE J. Sel. Top. Appl. Earth Obs. Remote Sens. 2014, 7, 1844–1868. [Google Scholar] [CrossRef]
- Bioucas-Dias, J.M.; Plaza, A.; Dobigeon, N.; Parente, M.; Du, Q.; Gader, P.; Chanussot, J. Hyperspectral Unmixing Overview: Geometrical, Statistical, and Sparse Regression-Based Approaches. IEEE J. Sel. Top. Appl. Earth Obs. Remote Sens. 2012, 5, 354–379. [Google Scholar] [CrossRef]
- Krutz, D.; Müller, R.; Knodt, U.; Günther, B.; Walter, I.; Sebastian, I.; Säuberlich, T.; Reulke, R.; Carmona, E.; Eckardt, A.; et al. The Instrument Design of the DLR Earth Sensing Imaging Spectrometer (DESIS). Sensors 2019, 19, 1622. [Google Scholar] [CrossRef]
- DLR. DESIS data Products. 2025. Available online: https://www.dlr.de/de/eoc/forschung-transfer/projekte-und-missionen/desis/products/data-products (accessed on 31 July 2025).
- Brigot, G.; Colin-Koeniguer, E.; Plyer, A.; Janez, F. Adaptation and Evaluation of an Optical Flow Method Applied to Coregistration of Forest Remote Sensing Images. IEEE J. Sel. Top. Appl. Earth Obs. Remote Sens. 2016, 9, 2923–2939. [Google Scholar] [CrossRef]
- Chen, S.; Yang, Y.; Deng, F.; Zhang, Y.; Liu, D.; Liu, C.; Gao, Z. A high-resolution monitoring approach of canopy urban heat island using a random forest model and multi-platform observations. Atmos. Meas. Tech. 2022, 15, 735–756. [Google Scholar] [CrossRef]
- Pedregosa, F.; Varoquaux, G.; Gramfort, A.; Michel, V.; Thirion, B.; Grisel, O.; Blondel, M.; Prettenhofer, P.; Weiss, R.; Dubourg, V.; et al. Scikit-learn: Machine Learning in Python. J. Mach. Learn. Res. 2011, 12, 2825–2830. [Google Scholar]
- Sakthivel, P.; Sengupta, R. Spatial bias in placement of citizen and conventional weather stations and their impact on urban climate research: A case study of the Urban Heat Island effect in Canada. Urban Clim. 2025, 59, 102280. [Google Scholar] [CrossRef]
- Sanchez, B.; Roth, M.; Patel, P.; Simón-Moral, A. Application of a Semi-Empirical Approach to Map Maximum Urban Heat Island Intensity in Singapore. Sustainability 2023, 15, 12834. [Google Scholar] [CrossRef]
- Bowler, D.E.; Buyung-Ali, L.; Knight, T.M.; Pullin, A.S. Urban greening to cool towns and cities: A systematic review of the empirical evidence. Landsc. Urban Plan. 2010, 97, 147–155. [Google Scholar] [CrossRef]
- De Pauw, K.; Depauw, L.; Calders, K.; Caluwaerts, S.; Cousins, S.A.O.; De Lombaerde, E.; Diekmann, M.; Frey, D.; Lenoir, J.; Meeussen, C.; et al. Urban forest microclimates across temperate Europe are shaped by deep edge effects and forest structure. Agric. For. Meteorol. 2023, 341, 109632. [Google Scholar] [CrossRef]
- Conti, S.; Meli, P.; Minelli, G.; Solimini, R.; Toccaceli, V.; Vichi, M.; Beltrano, C.; Perini, L. Epidemiologic study of mortality during the Summer 2003 heat wave in Italy. Environ. Res. 2005, 98, 390–399. [Google Scholar] [CrossRef]
- Kraemer, R.; Kabisch, N. Parks Under Stress: Air Temperature Regulation of Urban Green Spaces Under Conditions of Drought and Summer Heat. Front. Environ. Sci. 2022, 10, 849965. [Google Scholar] [CrossRef]













| Predictor Variable | Reference Year | Source | Seasonal Changes |
|---|---|---|---|
| IMD | 2018 | Copernicus Land Monitoring Service (CLMS) (https://land.copernicus.eu/en/products/high-resolution-layer-imperviousness/imperviousness-density-2018, accessed on 12 May 2025) | Static |
| SVF | 2023–2025 | Regional geotopographic databases: Lombardy Region Geoportal (https://www.geoportale.regione.lombardia.it/en-GB/specifiche-tecniche, accessed on 9 May 2025), Piedmont Region Geoportal (https://www.geoportale.piemonte.it/geonetwork/geonetwork/api/records/r_piemon:da9b12ba-866a-4f0f-8704-5b7b753e4f15, accessed on 9 December 2024) | Static |
| CH | 2020 | ETH Global Canopy Height Model (https://langnico.github.io/globalcanopyheight/, accessed on 12 May 2025) | Static |
| DTM | 2011–2015 | Regional database: Lombardy Region Geoportal (https://www.geoportale.regione.lombardia.it/en/, accessed on 9 May 2025), Piedmont Region Geoportal (https://www.geoportale.piemonte.it/geonetwork/srv/api/records/r_piemon:224de2ac-023e-441c-9ae0-ea493b217a8e, accessed on 9 May 2025) | Static |
| NDVI | 2022 | Harmonized Sentinel-2 MSI, Level-2A (https://developers.google.com/earth-engine/datasets/catalog/COPERNICUS_S2_SR_HARMONIZED, accessed on 12 May 2025) | Dynamic |
| SWIR-1 | 2022 | Harmonized Sentinel-2 MSI, Level-2A (https://developers.google.com/earth-engine/datasets/catalog/COPERNICUS_S2_SR_HARMONIZED, accessed on 12 May 2025) | Dynamic |
| SWIR-2 | 2022 | Harmonized Sentinel-2 MSI, Level-2A (https://developers.google.com/earth-engine/datasets/catalog/COPERNICUS_S2_SR_HARMONIZED, accessed on 12 May 2025) | Dynamic |
| LCZ | 2022 | Computed from Sentinel-2 MSI, Level-2A using the method proposed by [79] (https://browser.dataspace.copernicus.eu/, accessed on 9 May 2025) | Dynamic |
| HW Period | Phase | Local Time (h) | Available Station Count |
|---|---|---|---|
| 19–23 February | HP | 09–11 | 93 |
| WP | 14–16 | 93 | |
| CP1 | 16–18 | 93 | |
| CP2 | 21–23 | 93 | |
| MUHI | 05–07 | 93 | |
| 10–24 May | HP | 07–09 | 93 |
| WP | 15–17 | 92 | |
| CP1 | 19–21 | 91 | |
| CP2 | 00–02 | 92 | |
| MUHI | 04–06 | 92 | |
| 11–21 June | HP | 07–09 | 93 |
| WP | 15–17 | 93 | |
| CP1 | 19–21 | 93 | |
| CP2 | 00–02 | 92 | |
| MUHI | 04–06 | 93 | |
| 15–26 July | HP | 07–09 | 95 |
| WP | 15–17 | 95 | |
| CP1 | 19–21 | 95 | |
| CP2 | 00–02 | 95 | |
| MUHI | 04–06 | 95 | |
| 24–31 October | HP | 09–11 | 85 |
| WP | 14–16 | 85 | |
| CP1 | 16–18 | 85 | |
| CP2 | 21–23 | 85 | |
| MUHI | 06–08 | 83 |
Disclaimer/Publisher’s Note: The statements, opinions and data contained in all publications are solely those of the individual author(s) and contributor(s) and not of MDPI and/or the editor(s). MDPI and/or the editor(s) disclaim responsibility for any injury to people or property resulting from any ideas, methods, instructions or products referred to in the content. |
© 2025 by the authors. Licensee MDPI, Basel, Switzerland. This article is an open access article distributed under the terms and conditions of the Creative Commons Attribution (CC BY) license (https://creativecommons.org/licenses/by/4.0/).
Share and Cite
Žgela, M.; Vavassori, A.; Brovelli, M.A. Predicting Air Temperature Patterns in Milan Using Crowdsourced Measurements and Earth Observation Data. Remote Sens. 2025, 17, 3520. https://doi.org/10.3390/rs17213520
Žgela M, Vavassori A, Brovelli MA. Predicting Air Temperature Patterns in Milan Using Crowdsourced Measurements and Earth Observation Data. Remote Sensing. 2025; 17(21):3520. https://doi.org/10.3390/rs17213520
Chicago/Turabian StyleŽgela, Matej, Alberto Vavassori, and Maria Antonia Brovelli. 2025. "Predicting Air Temperature Patterns in Milan Using Crowdsourced Measurements and Earth Observation Data" Remote Sensing 17, no. 21: 3520. https://doi.org/10.3390/rs17213520
APA StyleŽgela, M., Vavassori, A., & Brovelli, M. A. (2025). Predicting Air Temperature Patterns in Milan Using Crowdsourced Measurements and Earth Observation Data. Remote Sensing, 17(21), 3520. https://doi.org/10.3390/rs17213520

