Evaluation of Atmospheric Preprocessing Methods and Chlorophyll Algorithms for Sentinel-2 Imagery in Coastal Waters
Highlights
- The Acolite atmospheric correction program outperforms Polymer.
- Chlorophyll algorithms performed best at a CV threshold of 0.4, and MDN and Mishra algorithms achieved the best results.
- Satellite imagery (Sentinel-2 vs. Sentinel-3), atmospheric correction programs, and chlorophyll algorithms can be used in various combinations depending on the area of interest, spatial and temporal scales, and the optical water types.
- Tradeoffs must be considered when deciding to use a hybrid approach for varying optical water types vs. a streamlined approach, which may result in varying precision across optical water types.
Abstract
1. Introduction
2. Materials and Methods
2.1. Test Point Selection

| Data Source | Name | Partners | Data Information | QA/QC |
|---|---|---|---|---|
| [44] | Indian River Lagoon Observatory Network of Environmental Sensors | Operated by the Indian River Observatory at Harbor Branch Oceanographic Institute | 10 stations, with real-time monitoring Web-based interface for data download | Yes Both sensors and data have QA/QC processes |
| [45] | FerryMon | North Carolina DOT operated ferries Data is collected and downloaded via UNC Chapel Hill Marine Laboratory. | Real-time data can be downloaded directly. Past data must be requested. | Yes Data is checked using EPA QA/QC standards |
| [46] | Maryland “Eyes on the Bay”; Chesapeake Bay River Input Monitoring Program | Supported through MD DNR and USGS | Continuous monitoring—need station name, date range, and chosen parameter(s) to download | Yes |
| [47] | Chesapeake Bay Tidal Water Quality Monitoring | In partnership with Maryland, Virginia, and US EPA | 100+ stations with continuous monitoring | Yes |
2.2. Cloud and Cloud Shadow Masking Process
2.3. Atmospheric Corrections and Post-Processing Steps
2.4. QAQC Filtering
2.5. Chl-a Algorithm Comparison
3. Results
4. Discussion
4.1. Performance of Atmospheric Correction Algorithms
4.2. Performance Compared to Original Algorithm Calibrations
4.3. Comparison of Sentinel-2 with Performance of Sentinel-3 in Coastal Systems
4.4. Performance of Sentinel-2 for Coastal Versus Inland Waters
4.5. Practical Considerations in Implementation
5. Conclusions
Supplementary Materials
Author Contributions
Funding
Data Availability Statement
Acknowledgments
Conflicts of Interest
References
- Kramer, B.J.; Davis, T.W.; Meyer, K.A.; Rosen, B.H.; Goleski, J.A.; Dick, G.J.; Oh, G.; Gobler, C.J. Nitrogen Limitation, Toxin Synthesis Potential, and Toxicity of Cyanobacterial Populations in Lake Okeechobee and the St. Lucie River Estuary, Florida, during the 2016 State of Emergency Event. PLoS ONE 2018, 13, e0196278. [Google Scholar] [CrossRef]
- Bukaveckas, P.A.; Franklin, R.; Tassone, S.; Trache, B.; Egerton, T. Cyanobacteria and Cyanotoxins at the River-Estuarine Transition. Harmful Algae 2018, 76, 11–21. [Google Scholar] [CrossRef] [PubMed]
- Tango, P.J.; Butler, W. Cyanotoxins in Tidal Waters of Chesapeake Bay. Northeast. Nat. 2008, 15, 403–416. [Google Scholar] [CrossRef]
- Tatters, A.; Howard, M.; Nagoda, C.; Busse, L.; Gellene, A.; Caron, D. Multiple Stressors at the Land-Sea Interface: Cyanotoxins at the Land-Sea Interface in the Southern California Bight. Toxins 2017, 9, 95. [Google Scholar] [CrossRef]
- Preece, E.P.; Hardy, F.J.; Moore, B.C.; Bryan, M. A Review of Microcystin Detections in Estuarine and Marine Waters: Environmental Implications and Human Health Risk. Harmful Algae 2017, 61, 31–45. [Google Scholar] [CrossRef]
- Preece, E.P.; Moore, B.C.; Hardy, F.J. Transfer of Microcystin from Freshwater Lakes to Puget Sound, WA and Toxin Accumulation in Marine Mussels (Mytilus trossulus). Ecotoxicol. Environ. Saf. 2015, 122, 98–105. [Google Scholar] [CrossRef]
- Hollister, J.W.; Kreakie, B.J. Associations between Chlorophyll a and Various Microcystin Health Advisory Concentrations. F1000Research 2016, 5, 151. [Google Scholar] [CrossRef]
- Clark, J.M.; Schaeffer, B.A.; Darling, J.A.; Urquhart, E.A.; Johnston, J.M.; Ignatius, A.R.; Myer, M.H.; Loftin, K.A.; Werdell, P.J.; Stumpf, R.P. Satellite Monitoring of Cyanobacterial Harmful Algal Bloom Frequency in Recreational Waters and Drinking Water Sources. Ecol. Indic. 2017, 80, 84–95. [Google Scholar] [CrossRef]
- Schaeffer, B.A.; Myer, M.H. Resolvable Estuaries for Satellite Derived Water Quality Within the Continental United States. Remote Sens. Lett. 2020, 11, 535–544. [Google Scholar] [CrossRef]
- Neil, C.; Spyrakos, E.; Hunter, P.D.; Tyler, A.N. A Global Approach for Chlorophyll-a Retrieval across Optically Complex Inland Waters Based on Optical Water Types. Remote Sens. Environ. 2019, 229, 159–178. [Google Scholar] [CrossRef]
- Warren, M.A.; Simis, S.G.H.; Martinez-Vicente, V.; Poser, K.; Bresciani, M.; Alikas, K.; Spyrakos, E.; Giardino, C.; Ansper, A. Assessment of Atmospheric Correction Algorithms for the Sentinel-2A MultiSpectral Imager over Coastal and Inland Waters. Remote Sens. Environ. 2019, 225, 267–289. [Google Scholar] [CrossRef]
- Diganta, M.T.M.; Uddin, M.G.; Rahman, A.; Olbert, A.I. A Comprehensive Review of Various Environmental Factors’ Roles in Remote Sensing Techniques for Assessing Surface Water Quality. Sci. Total Environ. 2024, 957, 177180. [Google Scholar] [CrossRef] [PubMed]
- Cavalli, R.M. Remote Data for Mapping and Monitoring Coastal Phenomena and Parameters: A Systematic Review. Remote Sens. 2024, 16, 446. [Google Scholar] [CrossRef]
- Renosh, P.R.; Doxaran, D.; Keukelaere, L.D.; Gossn, J.I. Evaluation of Atmospheric Correction Algorithms for Sentinel-2-MSI and Sentinel-3-OLCI in Highly Turbid Estuarine Waters. Remote Sens. 2020, 12, 1285. [Google Scholar] [CrossRef]
- O’Reilly, J.E.; Werdell, P.J. Chlorophyll Algorithms for Ocean Color Sensors—OC4, OC5 & OC6. Remote Sens. Environ. 2019, 229, 32–47. [Google Scholar] [CrossRef]
- Dall’Olmo, G.; Gitelson, A.A.; Rundquist, D.C. Towards a Unified Approach for Remote Estimation of Chlorophyll-a in Both Terrestrial Vegetation and Turbid Productive Waters. Geophys. Res. Lett. 2003, 30, 2003GL018065. [Google Scholar] [CrossRef]
- Gitelson, A.A.; Dall’Olmo, G.; Moses, W.; Rundquist, D.C.; Barrow, T.; Fisher, T.R.; Gurlin, D.; Holz, J. A Simple Semi-Analytical Model for Remote Estimation of Chlorophyll-a in Turbid Waters: Validation. Remote Sens. Environ. 2008, 112, 3582–3593. [Google Scholar] [CrossRef]
- Gons, H.J. A Chlorophyll-Retrieval Algorithm for Satellite Imagery (Medium Resolution Imaging Spectrometer) of Inland and Coastal Waters. J. Plankton Res. 2002, 24, 947–951. [Google Scholar] [CrossRef]
- Moses, W.J.; Gitelson, A.A.; Berdnikov, S.; Saprygin, V.; Povazhnyi, V. Operational MERIS-Based NIR-Red Algorithms for Estimating Chlorophyll-a Concentrations in Coastal Waters—The Azov Sea Case Study. Remote Sens. Environ. 2012, 121, 118–124. [Google Scholar] [CrossRef]
- Zheng, G.; DiGiacomo, P.M. Remote Sensing of Chlorophyll-a in Coastal Waters Based on the Light Absorption Coefficient of Phytoplankton. Remote Sens. Environ. 2017, 201, 331–341. [Google Scholar] [CrossRef]
- Santini, F.; Alberotanza, L.; Cavalli, R.M.; Pignatti, S. A Two-Step Optimization Procedure for Assessing Water Constituent Concentrations by Hyperspectral Remote Sensing Techniques: An Application to the Highly Turbid Venice Lagoon Waters. Remote Sens. Environ. 2010, 114, 887–898. [Google Scholar] [CrossRef]
- Vanderwoerd, H.; Pasterkamp, R. HYDROPT: A Fast and Flexible Method to Retrieve Chlorophyll-a from Multispectral Satellite Observations of Optically Complex Coastal Waters. Remote Sens. Environ. 2008, 112, 1795–1807. [Google Scholar] [CrossRef]
- IOCCG. Remote Sensing of Inherent Optical Properties: Fundamentals, Tests of Algorithms, and Applications; International Ocean Colour Coordinating Group: Dartmouth, NS, Canada, 2006. [Google Scholar] [CrossRef]
- Odermatt, D.; Gitelson, A.; Brando, V.E.; Schaepman, M. Review of Constituent Retrieval in Optically Deep and Complex Waters from Satellite Imagery. Remote Sens. Environ. 2012, 118, 116–126. [Google Scholar] [CrossRef]
- Qin, T.; Liang, T.; Fan, D.; He, H.; Lan, G.; Fu, B. A Novel Hybrid Machine Learning Approach for Accurate Retrieval of Ocean Surface Chlorophyll-a across Oligotrophic to Eutrophic Waters. Environ. Res. 2025, 279, 121864. [Google Scholar] [CrossRef]
- Austin, R.W. Optical Remote Sensing of the Oceans: BC (Before CZCS) and AC (After CZCS). In Ocean Colour: Theory and Applications in a Decade of CZCS Experience; Barale, V., Schlittenhardt, P.M., Eds.; Eurocourses: Remote Sensing; Springer: Dordrecht, The Netherlands, 1993; Volume 3, pp. 1–15. [Google Scholar] [CrossRef]
- Liang, T.; Wang, J. Atmospheric Correction of Optical Imagery. In Advanced Remote Sensing; Academic Press: London, United Kingdom, 2020; pp. 131–156. [Google Scholar] [CrossRef]
- Steinmetz, F.; Deschamps, P.-Y.; Ramon, D. Atmospheric Correction in Presence of Sun Glint: Application to MERIS. Opt. Express 2011, 19, 9783. [Google Scholar] [CrossRef]
- Harmel, T.; Chami, M.; Tormos, T.; Reynaud, N.; Danis, P.-A. Sunglint Correction of the Multi-Spectral Instrument (MSI)-SENTINEL-2 Imagery over Inland and Sea Waters from SWIR Bands. Remote Sens. Environ. 2018, 204, 308–321. [Google Scholar] [CrossRef]
- De Keukelaere, L.; Sterckx, S.; Adriaensen, S.; Knaeps, E.; Reusen, I.; Giardino, C.; Bresciani, M.; Hunter, P.; Neil, C.; Van Der Zande, D.; et al. Atmospheric Correction of Landsat-8/OLI and Sentinel-2/MSI Data Using iCOR Algorithm: Validation for Coastal and Inland Waters. Eur. J. Remote Sens. 2018, 51, 525–542. [Google Scholar] [CrossRef]
- Cira, E.K.; Beecraft, L.; Wetz, M.S. Timescales and Drivers of Chlorophyll Variability in a Subtropical, Long Residence Time Estuary (Baffin Bay, Texas, USA). PLoS ONE 2025, 20, e0322053. [Google Scholar] [CrossRef] [PubMed]
- Park, J.; Khanal, S.; Zhao, K.; Byun, K. Remote Sensing of Chlorophyll-a and Water Quality over Inland Lakes: How to Alleviate Geo-Location Error and Temporal Discrepancy in Model Training. Remote Sens. 2024, 16, 2761. [Google Scholar] [CrossRef]
- Rego, S.A.; Detenbeck, N.E.; Shen, X. EstuarySAT Database Development of Harmonized Remote Sensing and Water Quality Data for Tidal and Estuarine Systems. Water 2024, 16, 2721. [Google Scholar] [CrossRef] [PubMed]
- Xue, Y.; Zhu, L.; Zou, B.; Wen, Y.; Long, Y.; Zhou, S. Research on Inversion Mechanism of Chlorophyll—A Concentration in Water Bodies Using a Convolutional Neural Network Model. Water 2021, 13, 664. [Google Scholar] [CrossRef]
- Vanhellemont, Q.; Ruddick, K. Atmospheric Correction of Sentinel-3/OLCI Data for Mapping of Suspended Particulate Matter and Chlorophyll-a Concentration in Belgian Turbid Coastal Waters. Remote Sens. Environ. 2021, 256, 112284. [Google Scholar] [CrossRef]
- Vanhellemont, Q.; Ruddick, K. Atmospheric Correction of Metre-Scale Optical Satellite Data for Inland and Coastal Water Applications. Remote Sens. Environ. 2018, 216, 586–597. [Google Scholar] [CrossRef]
- Soppa, M.A.; Silva, B.; Steinmetz, F.; Keith, D.; Scheffler, D.; Bohn, N.; Bracher, A. Assessment of Polymer Atmospheric Correction Algorithm for Hyperspectral Remote Sensing Imagery over Coastal Waters. Sensors 2021, 21, 4125. [Google Scholar] [CrossRef]
- Yin, F.; Lewis, P.E.; Gómez-Dans, J.L. Bayesian Atmospheric Correction over Land: Sentinel-2/MSI and Landsat 8/OLI. Geosci. Model Dev. 2022, 15, 7933–7976. [Google Scholar] [CrossRef]
- Fan, Y.; Li, W.; Gatebe, C.K.; Jamet, C.; Zibordi, G.; Schroeder, T.; Stamnes, K. Atmospheric Correction over Coastal Waters Using Multilayer Neural Networks. Remote Sens. Environ. 2017, 199, 218–240. [Google Scholar] [CrossRef]
- SeaDAS. Available online: https://www.earthdata.nasa.gov/data/tools/seadas (accessed on 15 October 2025).
- Soriano-González, J.; Urrego, E.P.; Sòria-Perpinyà, X.; Angelats, E.; Alcaraz, C.; Delegido, J.; Ruíz-Verdú, A.; Tenjo, C.; Vicente, E.; Moreno, J. Towards the Combination of C2RCC Processors for Improving Water Quality Retrieval in Inland and Coastal Areas. Remote Sens. 2022, 14, 1124. [Google Scholar] [CrossRef]
- Fan, Y.; Li, W.; Chen, N.; Ahn, J.-H.; Park, Y.-J.; Kratzer, S.; Schroeder, T.; Ishizaka, J.; Chang, R.; Stamnes, K. OC-SMART: A Machine Learning Based Data Analysis Platform for Satellite Ocean Color Sensors. Remote Sens. Environ. 2021, 253, 112236. [Google Scholar] [CrossRef]
- ESRI University of South Florida and Virginia. “Topographic” [Base Map]. Scale Not Given. “World Topographic Map.” 19 February 2012. Available online: https://www.arcgis.com/home/item.html?id=30e5fe3149c34df1ba922e6f5bbf808f (accessed on 15 October 2025).
- Indian River Lagoon Observatory. Available online: https://irlon.org/ (accessed on 15 October 2025).
- Paerl Lab FerryMon. Available online: https://paerllab.web.unc.edu/ferrymon/ (accessed on 15 October 2025).
- Maryland Eyes on the Bay. Available online: https://eyesonthebay.dnr.maryland.gov/ (accessed on 15 October 2025).
- Chesapeake Bay Tidal Water Quality Monitoring. Available online: https://www.chesapeakebay.net/what/programs/quality-assurance/tidal-water-quality-monitoring (accessed on 15 October 2025).
- Arar, E.J.; Collins, G.B. Method 445.0: In Vitro Determination of Chlorophyll a and Pheophytin a in Marine and Freshwater Algae by Fluorescence; U.S. Environmental Protection Agency: Washington, DC, USA, 1997. [Google Scholar]
- Arar, E.J. Method 447.0—Determination of Chlorophylls a and b and Identification of Other Pigments of Interest in Marine and Freshwater Algae Using High Performance Liquid Chromatography with Visible Wavelength Detection; U.S. Environmental Protection Agency: Washington, DC, USA, 1997. [Google Scholar]
- US EPA. Estuary Data Mapper (EDM). 2025. Available online: https://www.epa.gov/hesc/estuary-data-mapper-edm (accessed on 22 May 2025).
- Rew, R. Climate and Forecast Metadata Conventions. 2010. Available online: https://www.earthdata.nasa.gov/about/esdis/esco/standards-practices/climate-forecast-metadata-conventions#:~:text=The%20Climate%20and%20Forecast%20(CF,with%20data%20from%20other%20sources.) (accessed on 22 May 2025).
- Bailey, S.W.; Werdell, P.J. A Multi-Sensor Approach for the on-Orbit Validation of Ocean Color Satellite Data Products. Remote Sens. Environ. 2006, 102, 12–23. [Google Scholar] [CrossRef]
- Barnes, B.B.; Cannizzaro, J.P.; English, D.C.; Hu, C. Validation of VIIRS and MODIS Reflectance Data in Coastal and Oceanic Waters: An Assessment of Methods. Remote Sens. Environ. 2019, 220, 110–123. [Google Scholar] [CrossRef]
- Zibordi, G.; Holben, B.N.; Talone, M.; D’Alimonte, D.; Slutsker, I.; Giles, D.M.; Sorokin, M.G. Advances in the Ocean Color Component of the Aerosol Robotic Network (AERONET-OC). J. Atmospheric Ocean. Technol. 2021, 38, 725–746. [Google Scholar] [CrossRef]
- Pahlevan, N.; Smith, B.; Schalles, J.; Binding, C.; Cao, Z.; Ma, R.; Alikas, K.; Kangro, K.; Gurlin, D.; Hà, N.; et al. Seamless Retrievals of Chlorophyll-a from Sentinel-2 (MSI) and Sentinel-3 (OLCI) in Inland and Coastal Waters: A Machine-Learning Approach. Remote Sens. Environ. 2020, 240, 111604. [Google Scholar] [CrossRef]
- Mishra, S.; Mishra, D.R. Normalized Difference Chlorophyll Index: A Novel Model for Remote Estimation of Chlorophyll-a Concentration in Turbid Productive Waters. Remote Sens. Environ. 2012, 117, 394–406. [Google Scholar] [CrossRef]
- Mishra, S.; Stumpf, R.P.; Schaeffer, B.; Werdell, P.J.; Loftin, K.A.; Meredith, A. Evaluation of a Satellite-Based Cyanobacteria Bloom Detection Algorithm Using Field-Measured Microcystin Data. Sci. Total Environ. 2021, 774, 145462. [Google Scholar] [CrossRef]
- Salls, W.B.; Schaeffer, B.A.; Pahlevan, N.; Coffer, M.M.; Seegers, B.N.; Werdell, P.J.; Ferriby, H.; Stumpf, R.P.; Binding, C.E.; Keith, D.J. Expanding the Application of Sentinel-2 Chlorophyll Monitoring across United States Lakes. Remote Sens. 2024, 16, 1977. [Google Scholar] [CrossRef]
- Matthews, M.W.; Bernard, S.; Robertson, L. An Algorithm for Detecting Trophic Status (Chlorophyll-a), Cyanobacterial-Dominance, Surface Scums and Floating Vegetation in Inland and Coastal Waters. Remote Sens. Environ. 2012, 124, 637–652. [Google Scholar] [CrossRef]
- Legendre, P.; Oksanen, J. Package ‘Lmodel2’ v. 1.7-4. 2024. Available online: https://cran.r-project.org/web/packages/lmodel2/lmodel2.pdf (accessed on 22 May 2025).
- Bricker, S.B.; Ferreira, J.G.; Simas, T. An Integrated Methodology for Assessment of Estuarine Trophic Status. Ecol. Model. 2003, 169, 39–60. [Google Scholar] [CrossRef]
- Pahlevan, N.; Mangin, A.; Balasubramanian, S.V.; Smith, B.; Alikas, K.; Arai, K.; Barbosa, C.; Bélanger, S.; Binding, C.; Bresciani, M.; et al. ACIX-Aqua: A Global Assessment of Atmospheric Correction Methods for Landsat-8 and Sentinel-2 over Lakes, Rivers, and Coastal Waters. Remote Sens. Environ. 2021, 258, 112366. [Google Scholar] [CrossRef]
- Ouwehand, L. Living Planet Symposium 2016: Proceedings, 9–13 May 2016, Prague, Czech Republik; ESA SP; ESA Communications: Noordwijk, The Netherlands, 2016. [Google Scholar]
- Jiang, B.; Boss, E.; Kiffney, T.; Hesketh, G.; Bourdin, G.; Fan, D.; Brady, D.C. Oyster Aquaculture Site Selection Using High-Resolution Remote Sensing: A Case Study in the Gulf of Maine, United States. Front. Mar. Sci. 2022, 9, 802438. [Google Scholar] [CrossRef]
- Lins, R.; Martinez, J.-M.; Motta Marques, D.; Cirilo, J.; Fragoso, C. Assessment of Chlorophyll-a Remote Sensing Algorithms in a Productive Tropical Estuarine-Lagoon System. Remote Sens. 2017, 9, 516. [Google Scholar] [CrossRef]
- Maciel, F.P.; Haakonsson, S.; Ponce De León, L.; Bonilla, S.; Pedocchi, F. Challenges for Chlorophyll-a Remote Sensing in a Highly Variable Turbidity Estuary, an Implementation with Sentinel-2. Geocarto Int. 2023, 38, 2160017. [Google Scholar] [CrossRef]
- Maslukah, L.; Wirasatriya, A.; Wijaya, Y.J.; Ismunarti, D.H.; Widiaratih, R.; Krisna, H.N. The Assessment of Chlorophyll-a Retrieval Algorithm and Its Spatial-Temporal Distribution Using Sentinel-2 MSI off the Banjir Kanal Timur River, Semarang, Indonesia. Reg. Stud. Mar. Sci. 2024, 75, 103556. [Google Scholar] [CrossRef]
- Quang, N.H.; Nguyen, M.N.; Paget, M.; Anstee, J.; Viet, N.D.; Nones, M.; Tuan, V.A. Assessment of Human-Induced Effects on Sea/Brackish Water Chlorophyll-a Concentration in Ha Long Bay of Vietnam with Google Earth Engine. Remote Sens. 2022, 14, 4822. [Google Scholar] [CrossRef]
- Sent, G.; Biguino, B.; Favareto, L.; Cruz, J.; Sá, C.; Dogliotti, A.I.; Palma, C.; Brotas, V.; Brito, A.C. Deriving Water Quality Parameters Using Sentinel-2 Imagery: A Case Study in the Sado Estuary, Portugal. Remote Sens. 2021, 13, 1043. [Google Scholar] [CrossRef]
- Yadav, S.; Yamashita, Y.; Yamashiki, Y.A. Multi-Sensor Approach for Chlorophyll-a Monitoring in the Coastal Waters of Japan: A Case Study of the Yura Estuary. Ocean Dyn. 2024, 74, 655–667. [Google Scholar] [CrossRef]
- Borfecchia, F.; Micheli, C.; Cibic, T.; Pignatelli, V.; De Cecco, L.; Consalvi, N.; Caroppo, C.; Rubino, F.; Di Poi, E.; Kralj, M.; et al. Multispectral Data by the New Generation of High-Resolution Satellite Sensors for Mapping Phytoplankton Blooms in the Mar Piccolo of Taranto (Ionian Sea, Southern Italy). Eur. J. Remote Sens. 2019, 52, 400–418. [Google Scholar] [CrossRef]
- Woo Kim, Y.; Kim, T.; Shin, J.; Lee, D.-S.; Park, Y.-S.; Kim, Y.; Cha, Y. Validity Evaluation of a Machine-Learning Model for Chlorophyll a Retrieval Using Sentinel-2 from Inland and Coastal Waters. Ecol. Indic. 2022, 137, 108737. [Google Scholar] [CrossRef]
- Gurlin, D.; Gitelson, A.A.; Moses, W.J. Remote estimation of chl-a concentration in turbid productive waters—Return to a simple two-band NIR-red model? Remote Sens. Environ. 2011, 115, 3479–3490. [Google Scholar] [CrossRef]
- Moradi, M.; Zoljoodi, M. Validation of Standard Ocean-Color Chlorophyll-a Products in Turbid Coastal Waters: A Case Study on Statistical Evaluation and Quality Control Tests in the Persian Gulf. J. Mar. Syst. 2023, 240, 103875. [Google Scholar] [CrossRef]
- Bui, Q.-T.; Jamet, C.; Vantrepotte, V.; Mériaux, X.; Cauvin, A.; Mograne, M.A. Evaluation of Sentinel-2/MSI Atmospheric Correction Algorithms over Two Contrasted French Coastal Waters. Remote Sens. 2022, 14, 1099. [Google Scholar] [CrossRef]
- Wang, Y.; Liu, H.; Zhang, Z.; Wang, Y.; Zhao, D.; Zhang, Y.; Li, Q.; Wu, G. Ocean Colour Atmospheric Correction for Optically Complex Waters under High Solar Zenith Angles: Facilitating Frequent Diurnal Monitoring and Management. Remote Sens. 2023, 16, 183. [Google Scholar] [CrossRef]
- Wang, J.; Lee, Z.; Wang, D.; Shang, S.; Wei, J.; Gilerson, A. Atmospheric Correction over Coastal Waters with Aerosol Properties Constrained by Multi-Pixel Observations. Remote Sens. Environ. 2021, 265, 112633. [Google Scholar] [CrossRef]
- Gons, H.J.; Auer, M.T.; Effler, S.W. MERIS Satellite Chlorophyll Mapping of Oligotrophic and Eutrophic Waters in the Laurentian Great Lakes. Remote Sens. Environ. 2008, 112, 4098–4106. [Google Scholar] [CrossRef]
- Mishra, D.R.; Schaeffer, B.A.; Keith, D. Performance Evaluation of Normalized Difference Chlorophyll Index in Northern Gulf of Mexico Estuaries Using the Hyperspectral Imager for the Coastal Ocean. GIScience Remote Sens. 2014, 51, 175–198. [Google Scholar] [CrossRef]
- Salama, M.S.; Spaias, L.; Poser, K.; Peters, S.; Laanen, M. Validation of Sentinel-2 (MSI) and Sentinel-3 (OLCI) Water Quality Products in Turbid Estuaries Using Fixed Monitoring Stations. Front. Remote Sens. 2022, 2, 808287. [Google Scholar] [CrossRef]
- Caballero, I.; Fernández, R.; Escalante, O.M.; Mamán, L.; Navarro, G. New Capabilities of Sentinel-2A/B Satellites Combined with in Situ Data for Monitoring Small Harmful Algal Blooms in Complex Coastal Waters. Sci. Rep. 2020, 10, 8743. [Google Scholar] [CrossRef] [PubMed]
- Staehr, S.U.; Holbach, A.M.; Markager, S.; Staehr, P.A.U. Exploratory Study of the Sentinel-3 Level 2 Product for Monitoring Chlorophyll-a and Assessing Ecological Status in Danish Seas. Sci. Total Environ. 2023, 897, 165310. [Google Scholar] [CrossRef] [PubMed]
- Lock, M.; Saintilan, N.; Van Duren, I.; Skidmore, A. Monitoring Coastal Water Body Health with Sentinel-2 MSI Imagery. Remote Sens. 2023, 15, 1734. [Google Scholar] [CrossRef]
- ESA (European Space Agency). Copernicus Browser. 2025. Available online: https://dataspace.copernicus.eu/browser (accessed on 22 May 2025).
- King, T.V.; Meyer, M.F.; Hundt, S.A.; Ball, G.; Hafen, K.C.; Avouris, D.M.; Ducar, S.D.; Wakefield, B.F.; Stengel, V.S.; Vanhellemont, Q. Sentinel-2 ACOLITE-DSF Aquatic Reflectance for the Conterminous United States; US Geological Survey (USGS) Data Release: Reston, VA, USA, 2024; p. 1468. [Google Scholar] [CrossRef]
- Wright, N.; Duncan, J.M.A.; Callow, J.N.; Thompson, S.E.; George, R.J. CloudS2Mask: A Novel Deep Learning Approach for Improved Cloud and Cloud Shadow Masking in Sentinel-2 Imagery. Remote Sens. Environ. 2024, 306, 114122. [Google Scholar] [CrossRef]



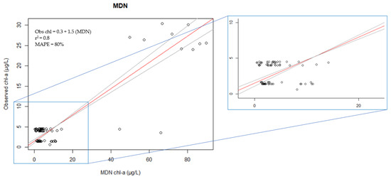
| Chlorophyll-a Algorithms | |||||||||
|---|---|---|---|---|---|---|---|---|---|
| Statistic | Gons | Gons740 | MDN | Mishra | Moses3b | Moses3b740 | MCI | MPH | NDCI |
| Algorithm classification | EM: R | EM: R | ML | EM: R | EM: R | EM: R | EM: LH | EM: LH | EM: LH |
| Reference | [18] | [18] | [55] | [57] | [19] | [19] | [58] | [59] | [56] |
| n | 73 | 72 | 89 | 93 | 30 | 25 | 49 | 88 | 72 |
| Intercept | 0.005 | −0.07 | 1.5 | −9.6 | 1.4 | 1.3 | −20 | 2.8 | −2 |
| Slope | 0.3 | 0.3 | 0.3 | 1.5 | 0.1 | 0.05 | 22,409 | 1541 | 249 |
| p-value | 0.001 | 0.001 | 0.001 | 0.001 | 0.012 | 0.001 | 0.08 | 0.001 | 0.001 |
| CI2.5_int | −0.7 | −0.7 | 1.1 | −13 | −8 | −0.3 | 77 | 1.6 | −6.3 |
| CI97.5_int | 0.6 | 0.5 | 1.9 | −7.1 | 2.5 | 2.1 | −2.9 | 3.8 | 1.1 |
| CI2.5_slop | 0.2 | 0.3 | 0.3 | 1.3 | 0.04 | 0.03 | 8797 | 1228 | 181 |
| CI97.5_slop | 0.3 | 0.3 | 0.4 | 1.8 | 0.6 | 0.1 | −54,985 | 1891 | 348 |
| r2 | 0.64 | 0.72 | 0.80 | 0.64 | 0.13 | 0.4 | 0.04 | 0.5 | 0.36 |
| Mean | 3.7 | 3.7 | 5.4 | 7.7 | 3.3 | 3.1 | 8.3 | 8 | 9.2 |
| Median | 4.0 | 4.0 | 4.0 | 4.0 | 4.0 | 4.0 | 4.0 | 4.0 | 4.0 |
| sterr | 0.61 | 0.62 | 0.8 | 1.4 | 0.25 | 0.3 | 2.34 | 1.5 | 1.7 |
| MAE | 1.02 | 1.02 | 1.0 | 1.02 | 1.02 | 1.0 | 1.09 | Infinite | 1.01 |
| MAPE | 988.2 | 103.8 | 80 | 57.7 | 46.2 | 47.8 | Infinite | Infinite | 46,734 |
| MB | 9.2 | 9.2 | 3.1 | 6.8 | 7.6 | 2.4 | 0.001 | 0 | 0.36 |
| Chlorophyll-a Algorithms | |||||||||
|---|---|---|---|---|---|---|---|---|---|
| Statistics | Gons | Gons740 | MDN | Mishra | Moses3b | Moses3b 740 | MCI | MPH | NDCI |
| Reference | [18] | [18] | [55] | [57] | [19] | [19] | [58] | [59] | [56] |
| n | 33 | 33 | 92 | 91 | 67 | 83 | 49 | 90 | 11 |
| Intercept | 8.9 | 9.1 | 3 | 4.6 | 4.9 | 4.5 | 1.5 | 4.5 | 4.4 |
| Slope | −0.3 | −0.3 | 0.14 | −0.002 | −0.004 | −0.003 | 183.1 | −216.2 | −1.4 |
| p-value | 0.1 | 0.1 | 0.001 | 0.003 | 0.001 | 0.001 | 0.42 | 0.001 | 0.24 |
| CI2.5_int | 6.3 | 6.3 | 2.9 | 4.2 | 4.6 | 4.3 | NA | 4.2 | NA |
| CI97.5_int | −5.9 | −5.8 | 3.1 | 6 | 5.3 | 5 | NA | 5 | NA |
| CI2.5_slope | 0.7 | 0.7 | 0.12 | −0.006 | −0.005 | −0.004 | NA | −3570.1 | NA |
| CI97.5_slope | −0.1 | −0.12 | 0.18 | −0.001 | −0.003 | −0.002 | NA | −1346.7 | NA |
| r2 | 0.061 | 0.06 | 0.57 | 0.1 | 0.42 | 0.25 | 0.0002 | 0.17 | 0.065 |
| Average | 4.65 | 4.65 | 3.64 | 3.64 | 3.76 | 3.7 | 3.03 | 3.64 | 3.24 |
| Med | 5.1 | 5.1 | 3.3 | 3.3 | 3.3 | 3.4 | 3 | 3.4 | 2.8 |
| sterr | 0.2 | 0.2 | 0.12 | 0.11 | 0.14 | 0.13 | 0.1 | 0.12 | 0.31 |
| MAE | 1.0 | 1.0 | 1.0 | 1.0 | 1.0 | 1.0 | 1.1 | 1.1 | 1.0 |
| MAPE | 20 | 20 | 9708 | 67.6 | 63.2 | 77.3 | infinite | infinite | 13,119 |
| MB | 38.4 | 37.8 | 0.75 | 53.5 | 427.7 | 166.2 | 0.003 | 0.003 | 0.25 |
| Trophic Class Thresholds | Cyanobacteria Thresholds | |||||||
|---|---|---|---|---|---|---|---|---|
| <5 μg/L | >5–<20 μg/L | >20–<60 μg/L | >60 μg/L | <23 μg/L | >23–<68 μg/L | >68 μg/L | ||
| Low | Medium | High | Hypereutrophic | Low | Medium | High | ||
| Gons | Accuracy | 0.24 | 0.27 | 0.95 | 0.97 | 1 | 0.97 | 0.97 |
| Misclassification | 0.76 | 0.73 | 0.05 | 0.03 | 0 | 0.03 | 0.03 | |
| Gons740 | Accuracy | 0.29 | 0.32 | 0.94 | 0.97 | 0.99 | 0.99 | 0.97 |
| Misclassification | 0.71 | 0.68 | 0.06 | 0.03 | 0.01 | 0.1 | 0.03 | |
| MDN | Accuracy | 0.84 | 0.82 | 0.92 | 0.95 | 0.98 | 0.9 | 0.92 |
| Misclassification | 0.16 | 0.18 | 0.07 | 0.05 | 0.02 | 0.1 | 0.08 | |
| Mishra | Accuracy | 0.24 | 0.21 | 0.98 | 0.95 | 0.95 | 0.95 | 1 |
| Misclassification | 0.76 | 0.79 | 0.02 | 0.05 | 0.05 | 0.05 | 0 | |
| Moses3b | Accuracy | 0.36 | 0.6 | 0.7 | 0.94 | 0.82 | 0.82 | 1 |
| Misclassification | 0.64 | 0.4 | 0.3 | 0.06 | 0.18 | 0.18 | 0 | |
| Moses3b740 | Accuracy | 0.3 | 0.74 | 0.74 | 0.82 | 0.63 | 0.81 | 0.81 |
| Misclassification | 0.7 | 0.26 | 0.26 | 0.18 | 0.37 | 0.19 | 0.19 | |
| MCI | Accuracy | 0.86 | 1 | 0.96 | 0.9 | 0.86 | 0.88 | 0.98 |
| Misclassification | 0.14 | 0 | 0.04 | 0.1 | 0.14 | 0.12 | 0.02 | |
| MPH | Accuracy | 0.83 | 1 | 0.89 | 0.95 | 0.83 | 0.84 | 0.99 |
| Misclassification | 0.17 | 0 | 0.11 | 0.05 | 0.17 | 0.16 | 0.01 | |
| NDCI | Accuracy | 0.8 | 1 | 0.84 | 0.96 | 0.8 | 0.8 | 0.99 |
| Misclassification | 0.2 | 0 | 0.16 | 0.04 | 0.2 | 0.2 | 0.01 | |
| a1 | ||||||||||
| AC | Algorithm type (ML/R/LH/EM/SA | Chl-a algorithms compared | Sign. Band(s) | Best performing algorithm | Log-transformed? | n | ||||
| Gulf of Maine, USA, estuaries, OWT = low turbidity | ||||||||||
| 1 | P | ML | MDN | MDN/P | Y (bias, MAE) | 145 | ||||
| 2 | A | ML | MDN | Y (bias, MAE) | 121 | |||||
| 3 | S | ML | MDN | Y (bias, MAE) | 71 | |||||
| 4 | OC | ML | MDN | Y (bias, MAE) | 162 | |||||
| 5 | C2 | ML | MDN | Y (bias, MAE) | 148 | |||||
| 6 | P | R | OC3/OC4 | Y (bias, MAE) | 163 | |||||
| 7 | A | R | OC3/OC4 | Y (bias, MAE) | 135 | |||||
| 8 | S | R | OC3/OC4 | Y (bias, MAE) | 68 | |||||
| 9 | OC | R | OC3/OC4 | Y (bias, MAE) | 153 | |||||
| 10 | C2 | R | OC3/OC4 | Y (bias, MAE) | 153 | |||||
| Mundaú-Manguaba Estuarine-Lagoon System, Brazil, OWT = moderate chl, TSS levels | ||||||||||
| 11 | R | Morel and Prieur | 705/665 | N | 14 | |||||
| Rio de la Plata Estuary, South America, OWT = high turbidity, eutrophic | ||||||||||
| 12 | A | R | NDCI | 665, 705 | 43 | |||||
| 13 | A | R | 3BI [16]) | 665, 705, 740 | three-band index (3BI [16]) | 43 | ||||
| 14 | A | R | IDrozd | 665, 705, 560 | 38 | |||||
| A | R | SS(665) | 560, 705 | 43 | ||||||
| Coastal area of Sema-rang, Indonesian estuaries, OWT = high turbidity, eutrophic | ||||||||||
| 15 | U | 490, 560, 665, 842 | ||||||||
| Ha Long Bay of Vietnam | ||||||||||
| 16 | S | R | OC-2 [15] | 490, 555 | ||||||
| United States, mostly lakes with some estuaries, OWT = multiple but excluded high turbidity | ||||||||||
| 17 | None | LH | MCI [58] | 665, 705, 740 | MCI | Y (bias, MAE) | 44 | |||
| 18 | R | 665, 705, 740 | MCI | Y (bias, MAE) | 46 | |||||
| 19 | S | 665, 705, 740 | MCI | Y (bias, MAE) | 49 | |||||
| 20 | None | LH | NDCI [56] | 665, 705 | Y (bias, MAE) | 49 | ||||
| 21 | R | 665, 705 | Y (bias, MAE) | 48 | ||||||
| 22 | S | 665, 705 | Y (bias, MAE) | 48 | ||||||
| Sado Estuary, Portugal, OWT = low turbidity and chl | ||||||||||
| 23 | A | EM | OC3 [15] | 443, 490, 560 | Y (except RPD, APD) | 11 | ||||
| 24 | A | SA | two-band [19] | 665, 705 | Y (except RPD, APD) | 11 | ||||
| 25 | A | SA | [18] | 665, 705, 783 | Y (except RPD, APD) | 11 | ||||
| 26 | P | ML | C2RCC [63] | All | Y (except RPD, APD) | 13 | ||||
| 27 | P | EM | OC3 [15] | 443, 490, 560 | Y (except RPD, APD) | 13 | ||||
| 28 | C2 | ML | C2RCC [63] | All | Y (except RPD, APD) | 13 | ||||
| 29 | C2 | EM | OC3 [15] | 443, 490, 560 | Y (except RPD, APD) | 13 | ||||
| 30 | C2 | SA | two-band [19] | 665, 705 | Y (except RPD, APD) | 13 | ||||
| 31 | C2 | SA | [18] | 665, 705, 783 | Gons w C2 | Y (except RPD, APD) | 13 | |||
| Yura Estuary, Japan, OWT = low turbidity and chl | ||||||||||
| 32 | EN | SA | SDA | SDA | Y | |||||
| Mar Piccolo, Italy, estuary | ||||||||||
| 33 | A | R | PLS, OC3, WASI4 | PLS | ||||||
| 34 | R | OC3 | ||||||||
| 35 | SA | WASI4 | ||||||||
| South Korea, lakes and estuaries, low-high chl, low–moderate TSS | ||||||||||
| 36 | ML | LGBM, RF, MLP, GPR, blending algorithm, SVM | 704, 665, 739, 492, 560 | LGBM | ||||||
| China, Estonia, Germany, Japan, New Zealand, South Korea, USA, Vietnam, lakes, bays, estuaries | ||||||||||
| 37 | ML | MDN | Y (bias, MAE) | |||||||
| a2 | ||||||||||
| n | RMSE | RMSLE | MAPE | Bias | MAE | APD | RPD | r2 | Ref. | |
| Gulf of Maine, USA, estuaries, OWT = low turbidity | ||||||||||
| 1 | 145 | 2.89 | 0.39 | 49% | 1.27 | 2.02 | [64] | |||
| 2 | 121 | 8.14 | 0.59 | 118% | 0.4 | 2.78 | ||||
| 3 | 71 | 4.67 | 0.53 | 130% | 0.49 | 2.73 | ||||
| 4 | 162 | 4.71 | 0.52 | 74.60% | 0.64 | 2.54 | ||||
| 5 | 148 | 5.15 | 0.56 | 67.40% | 0.66 | 2.69 | ||||
| 6 | 163 | 3.1036 | 0.49 | 91% | 0.51 | 2.43 | ||||
| 7 | 135 | 3.25 | 0.48 | 68.50% | 0.56 | 2.45 | ||||
| 8 | 68 | 66.7 | 1.22 | 1167% | 0.1 | 11.1 | ||||
| 9 | 153 | 17 | 0.73 | 204% | 0.35 | 3.93 | ||||
| 10 | 153 | 11.12 | 0.76 | 162% | 0.32 | 3.98 | ||||
| Mundaú-Manguaba Estuarine-Lagoon System, Brazil, OWT = moderate chl, TSS levels | ||||||||||
| 11 | 14 | 6.39 | 0.53 | [65] | ||||||
| Rio de la Plata Estuary, South America, OWT = high turbidity, eutrophic | ||||||||||
| 12 | 43 | 6.4 | 3.7 | 0.96 | [66] | |||||
| 13 | 43 | 4.9 | 4.8 | 0.98 | ||||||
| 14 | 38 | 17.8 | 0.77 | |||||||
| 43 | 7.2 | 4.7 | 0.96 | |||||||
| Coastal area of Sema-rang, Indonesian estuaries, OWT = high turbidity, eutrophic | ||||||||||
| 15 | 2.47 | 24% | −0.63 | 0.45 | [67] | |||||
| Ha Long Bay of Vietnam | ||||||||||
| 16 | 2.8 | 0.81 | [68] | |||||||
| United States, mostly lakes with some estuaries, OWT = multiple but excluded high turbidity | ||||||||||
| 17 | 44 | 100.9 | 1.15 | 2.08 | 0.5 | [58] | ||||
| 18 | 46 | 100.1 | 1.05 | 2.22 | 0.49 | |||||
| 19 | 49 | 307.3 | 1.17 | 2.47 | 0.47 | |||||
| 20 | 49 | 220.1 | 1.52 | 2.41 | 0.46 | |||||
| 21 | 48 | 323.4 | 1.51 | 3.12 | 0.31 | |||||
| 22 | 48 | 318.4 | 1.53 | 2.68 | 0.02 | |||||
| Sado Estuary, Portugal, OWT = low turbidity and chl | ||||||||||
| 23 | 11 | 0.515 | 0.461 | 224.3 | 224.3 | 0.217 | [69] | |||
| 24 | 11 | 1.044 | 1.018 | 1116 | 1116 | 0.0003 | ||||
| 25 | 11 | 0.327 | −0.115 | 61.6 | −1.59 | 0.0004 | ||||
| 26 | 13 | 0.503 | 0.543 | 221.2 | 216.1 | 0.365 | ||||
| 27 | 13 | 0.603 | 0.543 | 309.7 | 304.1 | 0.294 | ||||
| 28 | 13 | 0.714 | 0.242 | 281.1 | 243.6 | 0.223 | ||||
| 29 | 13 | 0.885 | 0.717 | 749.4 | 733.9 | 0.259 | ||||
| 30 | 13 | 0.765 | 0.754 | 493 | 493 | 0.608 | ||||
| 31 | 13 | 0.565 | −0.527 | 67 | −67 | 0.625 | ||||
| Yura Estuary, Japan, OWT = low turbidity and chl | ||||||||||
| 32 | 0.162 | 0.76 | [70] | |||||||
| Mar Piccolo, Italy, estuary | ||||||||||
| 33 | 0.115 | [71] | ||||||||
| 34 | ||||||||||
| 35 | ||||||||||
| South Korea, lakes and estuaries, low-high chl, low-moderate TSS | ||||||||||
| 36 | 15.15 | 0.15 | 9.49 | 0.75 | [72] | |||||
| China, Estonia, Germany, Japan, New Zealand, South Korea, USA, Vietnam, lakes, bays, estuaries | ||||||||||
| 37 | 30.3 | 0.61 | 24 | 0.99 | 1.27 | [55] | ||||
| b1 | ||||||||||
| AC | Algorithm type | Chl-a algorithms compared | Sign. Band(s) | Best performing algorithm | Log-transformed? | n | ||||
| Northern Persian Gulf semi-enclosed marginal sea, OWT = eutrophic | ||||||||||
| 1 | iCOR | R | OC4M | 442, 554, 667 | NN, OC5 | Y | 31 | |||
| 2 | iCOR | R | OC5 | Y | 20 | |||||
| 3 | iCOR | ML | NN | all | Y | 18 | ||||
| World-wide inland + coastal. OWT = all | ||||||||||
| 4 | None, in situ reflectance | MU | 48 | 708, 665 | Two-band [73] | Y | ||||
| 5 | None, in situ reflectance | MU | 48 | Multi-algorithm x OWT scheme | Y | |||||
| b2 | ||||||||||
| n | RMSE | RMSLE | MAPE | Bias | MAE | APD | RPD | r2 | Ref. | |
| Northern Persian Gulf semi-enclosed marginal sea, OWT = eutrophic | ||||||||||
| 1 | 31 | 0.31 | 0.23 | 87.9 | 75.41 | 0.30 | [74] | |||
| 2 | 20 | 0.15 | 0.13 | 52.97 | 40.08 | 0.56 | ||||
| 3 | 18 | 0.23 | 0.2 | 56.88 | 47.99 | 0.62 | ||||
| World-wide inland + coastal. OWT = all | ||||||||||
| 2 | 0.256 | 0.057 | 0.188 | 0.78 | [10] | |||||
| 3 | 0.25 | 0.02 | 0.18 | 0.79 | [10] | |||||
Disclaimer/Publisher’s Note: The statements, opinions and data contained in all publications are solely those of the individual author(s) and contributor(s) and not of MDPI and/or the editor(s). MDPI and/or the editor(s) disclaim responsibility for any injury to people or property resulting from any ideas, methods, instructions or products referred to in the content. |
© 2025 by the authors. Licensee MDPI, Basel, Switzerland. This article is an open access article distributed under the terms and conditions of the Creative Commons Attribution (CC BY) license (https://creativecommons.org/licenses/by/4.0/).
Share and Cite
Wolters, T.; Detenbeck, N.E.; Rego, S.; Freeman, M. Evaluation of Atmospheric Preprocessing Methods and Chlorophyll Algorithms for Sentinel-2 Imagery in Coastal Waters. Remote Sens. 2025, 17, 3503. https://doi.org/10.3390/rs17203503
Wolters T, Detenbeck NE, Rego S, Freeman M. Evaluation of Atmospheric Preprocessing Methods and Chlorophyll Algorithms for Sentinel-2 Imagery in Coastal Waters. Remote Sensing. 2025; 17(20):3503. https://doi.org/10.3390/rs17203503
Chicago/Turabian StyleWolters, Tori, Naomi E. Detenbeck, Steven Rego, and Matthew Freeman. 2025. "Evaluation of Atmospheric Preprocessing Methods and Chlorophyll Algorithms for Sentinel-2 Imagery in Coastal Waters" Remote Sensing 17, no. 20: 3503. https://doi.org/10.3390/rs17203503
APA StyleWolters, T., Detenbeck, N. E., Rego, S., & Freeman, M. (2025). Evaluation of Atmospheric Preprocessing Methods and Chlorophyll Algorithms for Sentinel-2 Imagery in Coastal Waters. Remote Sensing, 17(20), 3503. https://doi.org/10.3390/rs17203503

