Highlights
What are the main findings?
- Five vegetation types were identified (RBBL, SXG, SMDT, SDEBF, and SCBMF) using Sentinel-2 NDVI classification, showing strong correlations with soil fertility gradients and revealing the vegetation–soil feedbacks in the Nanxiong Basin.
- The ecological degradation mechanism follows a “weathering–transport–exposure” sequence, where soil nutrient depletion and acidification are driven by lithological fragility, hydroclimatic conditions, and human disturbances.
What are the implications of the main finding?
- NDVI-based remote sensing provides an efficient and reliable tool for identifying stages of ecological degradation and monitoring vegetation–soil feedbacks, which is valuable for ecological restoration and land management strategies in semi-arid and monsoonal regions.
- Although NDVI demonstrated good performance, integrating additional indices such as Red-Edge NDVI and NDMI in future studies could improve vegetation health and moisture detection, further enhancing classification accuracy and extending the applicability of remote sensing methods.
Abstract
Red-bed desertification represents a critical form of land degradation in subtropical regions, yet the coupled soil–vegetation processes remain poorly understood. This study integrates Sentinel-2 vegetation indices with soil fertility gradients to assess vegetation–soil interactions in the Nanxiong Basin of South China. By combining Normalized Difference Vegetation Index (NDVI)-based vegetation classification with comprehensive soil property analyses, we aim to uncover the spatial patterns and driving mechanisms of degradation. The results revealed a clear gradient from intact forests to exposed red-bed bare land (RBBL). NDVI classification achieved an overall accuracy of 77.8% (κ = 0.723), with mixed forests being identified most reliably (97.1%), while Red-Bed Bare Land (RBBL) exhibited the highest omission rate. Along this gradient, soil organic matter, available nitrogen, and phosphorus declined sharply, while pH shifted from near-neutral in forests to strongly acidic in bare lands. Principal component analysis (PCA) identified a dominant fertility axis (PC1, explaining 56.7% of the variance), which clustered forested sites in nutrient-rich zones and isolated RBBL as the most degraded state. The observed vegetation–soil pattern aligns with a “weathering–transport–exposure” sequence, whereby physical disintegration and selective erosion during monsoonal rainfall drive organic matter depletion, soil thinning, and acidification, with human disturbance further accelerating these processes. To our knowledge, this study is the first to directly couple PCA-derived soil fertility gradients with vegetation patterns in red-bed regions. By integrating vegetation indices with soil fertility gradients, this study establishes a process-based framework for interpreting red-bed desertification. These findings underscore the utility of remote sensing, especially NDVI classification, as a powerful tool for identifying degradation stages and linking vegetation patterns with soil processes, providing a scientific foundation for monitoring and managing land degradation in monsoonal and semi-arid regions.
1. Introduction
Understanding vegetation–soil interactions is critical for assessing ecosystem stability, as they regulate water retention, nutrient cycling, and soil conservation [1]. However, these interactions are increasingly under pressure due to climate change and human activities, which exacerbate land degradation, especially in subtropical and semi-arid regions [2]. Consequently, vegetation–soil interactions become more dynamic and complex, making it essential to comprehend them for effective land restoration and conservation [3].
Global studies highlighted the bidirectional feedback between vegetation and soil interactions [4,5,6]. Vegetation relies on soil for nutrients and water, while its growth alters soil structure, fertility, and chemistry [7,8]. This interaction is particularly critical in the context of land degradation and erosion. Recent research has shifted from static descriptions to process-driven approaches, emphasizing feedback mechanisms shaped by climate and land use [9,10,11]. Different vegetation and soil types play distinct roles in degradation processes [12,13,14]. For instance, grasslands in arid regions improve soil moisture retention, while forests sustain soil fertility and organic matter accumulation. In subtropical and tropical zones, deforestation, agriculture, and over-exploitation accelerate erosion, degrade soil structure, and reduce biodiversity [15,16]. In subtropical regions, acidification and salinization often hinder vegetation recovery, while in arid regions, water and nutrient scarcity limit plant growth and soil restoration [17]. These differences underscore the need for region-specific management strategies.
The application of remote sensing technology has greatly advanced research on vegetation–soil interactions [18,19,20,21]. As spatial resolution improves and sensor technologies advance, scientists can now monitor vegetation dynamics and soil conditions over large spatial scales with greater precision [22,23,24]. The integration of multispectral remote sensing, Light Detection and Ranging (LiDAR), thermal infrared technologies, and Synthetic Aperture Radar (SAR) systems, such as Sentinel-1, plays a crucial role in monitoring soil moisture, particularly in areas with dense vegetation or cloud cover. SAR data provides complementary insights that improve the accuracy of vegetation–soil interaction studies. Remote sensing indices, such as the Normalized Difference Vegetation Index (NDVI), Red-Edge NDVI, and the Normalized Difference Moisture Index (NDMI), help track relationships between vegetation growth and soil moisture and nutrients, thereby facilitating more accurate assessments of land degradation processes [25,26,27]. The integrating of Geographic Information Systems (GIS), spatial modeling, and multivariate statistical analysis further enables remote sensing data to support process-based monitoring, prediction, and restoration of land degradation [28,29,30]. High-resolution remote sensing technologies, particularly Sentinel-2 satellite data, hold significant potential for monitoring land degradation, analyzing vegetation changes, and guiding ecological restoration [31,32]. Additionally, multitemporal analysis of remote sensing data captures seasonal variations, crucial for improving the accuracy of land cover classification, especially for Red-Bed Bare Land (RBBL) [33].
In southern China, red-bed desertification is a severe form of landscape degradation, particularly in areas with fragile soils and slow ecological recovery [33,34,35]. Red-bed landscapes consist of highly weathered and poorly cemented red sandstones and siltstones, which are prone to wind and water erosion due to their low cohesion [36,37]. Combined pressures from climate change and human activities further exacerbate soil vulnerability in these regions, leading to intensified soil erosion and gradual vegetation cover reduction [38]. Vegetation loss accelerates soil degradation, which in turn exacerbates vegetation decline, creating a cycle of continuous ecosystem deterioration [39,40]. Climate change and human activities amplify soil vulnerability, increasing erosion and reducing vegetation cover, which accelerates the degradation process.
The Nanxiong Basin, located in the northern part of Guangdong Province, China, provides an ideal setting for examining vegetation–soil interactions in red-bed landscapes. This basin exhibits pronounced elevation gradients (80–600 m) and heterogeneous topography, which support diverse vegetation types ranging from mature coniferous–broadleaf forests to degraded xerophytic grasslands [17,41,42]. These changes have not only altered the ecological structure of the region but also markedly reduced the soil’s regenerative capacity, creating a self-reinforcing cycle of degradation [35,40] While remote sensing imagery and field surveys have revealed distinct spatial patterns of ecological decline, the mechanisms underlying the interplay of bedrock fragility, soil nutrient depletion, topographic variability, and human disturbance remain insufficiently understood.
Prior studies have not investigated how soil fertility gradients relate to vegetation patterns in red-bed regions, which is the primary knowledge gap this study aims to fill. Existing research primarily focuses on spatial distribution patterns derived from remote sensing, while the dynamic process of vegetation–soil feedbacks has not been fully explored. Specifically, the coupled effects of rock fragility, soil nutrient depletion, topographic variation, and anthropogenic disturbance in red-bed landscapes have not been comprehensively examined [43]. Furthermore, studies explicitly addressing the mechanisms linking different vegetation types to soil physico-chemical properties are relatively scarce [44,45]. To address these gaps, this study is the first to integrate remote sensing classification with soil fertility gradients in red-bed regions and proposes a process-driven degradation mechanism model, offering new insights into the dynamics of ecological degradation in the Nanxiong Basin.
The specific objectives of this study are as follows: (1) to classify vegetation types in the Nanxiong Basin using NDVI data, with accuracy assessed through confusion matrix analysis; (2) to quantitatively examine key soil properties, including pH, soil organic matter (SOM), available nitrogen (AN), and available phosphorus (AP), across different vegetation zones in order to clarify the relationship between vegetation types and soil fertility; and (3) to investigate feedback mechanisms between vegetation and soil conditions using principal component analysis (PCA), thereby elucidating soil changes and ecological degradation dynamics during vegetation decline. This research integrated remote sensing technology with field-based soil data to construct a process-oriented vegetation–soil interaction model. This model not only advanced our understanding of vegetation degradation processes in the red-bed regions of the Nanxiong Basin but also provided a theoretical framework and practical methodology for land management and ecological restoration in similar landscapes. By focusing on a representative red-bed basin, this study contributed novel insights into vegetation–soil feedback mechanisms, ecological degradation pathways, and restoration strategies, thus offering a scientific basis for regional restoration practices and environmental policy development.
2. Materials and Methods
2.1. Study Area
The Nanxiong Basin (25.0–25.2°N, 114.0–114.5°E) in northern Guangdong, South China, is a west–east–elongated catchment drained by the Zhen River, with elevations ranging from approximately 71 to 502 m. The terrain transitions from low hills and eroded terraces to steeper midslopes, producing ridge–valley relief with narrow alluvial floors (Figure 1). The basin is underlain by highly weathered and weakly cemented Cretaceous red beds, primarily composed of sandstone and siltstone. Thin, acidic, and poorly aggregated soils have developed on these substrates, which, combined with steep slopes and intense convective monsoon storms (~1800 mm yr−1 concentrated between May and September; mean annual temperature 18–22 °C), promote overland flow, sheetwash, and progressive bedrock exposure. Historically, the region supported evergreen broadleaf and mixed conifer–broadleaf forests. However, since the mid-twentieth century, deforestation, overgrazing, slope farming, quarrying, and road construction have caused extensive vegetation loss, particularly at low to mid elevations. This has resulted in mosaics of xerophytic grassland and red-bed bare land around Nanxiong city and along the main valley. More recently, targeted afforestation, slope stabilization, and erosion-control projects in selected subcatchments have created sharp contrasts between recovering landscapes and degradation-locked patches. These spatial heterogeneities provide a robust template for stratified sampling, remote-sensing classification validation, and the analysis of vegetation–soil thresholds in this representative red-bed landscape.
Figure 1.
Location and topography of the Nanxiong Basin, northern Guangdong, South China.
2.2. Soil Sampling and Laboratory Analysis
In October 2020, thirty soil plots were established using a stratified sampling design across five vegetation types (six plots per type), with sufficient spacing between plots to minimize spatial autocorrelation. At each site, a 20 m × 20 m quadrat was delineated, and five topsoil subsamples (0–20 cm) were collected along an S-shaped transect after removing surface litter and coarse fragments. The five cores were homogenized to obtain a composite sample per plot (approximately 1 kg). Samples were sealed in polyethylene bags, transported to the laboratory within 24 h, air-dried at room temperature, gently disaggregated, and sieved through a 2 mm mesh. A subsample for organic matter determination was further ground to 0.15 mm. All analyses were performed in triplicate, and the results were averaged.
Soil physicochemical properties were measured following standardized protocols. Soil pH was determined in a 1:2.5 soil-to-water suspension using a glass electrode after equilibration [46]. Soil salinity (SS) and electrical conductivity (EC) were measured in water extracts (soil–water = 1:5, mass basis) with a calibrated conductivity meter [47,48]. Soil organic matter (SOM) was quantified by potassium dichromate oxidation with external heating [35]. Total potassium (TK) was obtained after acid digestion and quantified by flame photometry; available potassium (AK) was extracted with 1 mol L−1 ammonium acetate and measured by flame photometry. Available nitrogen (AN) was analyzed by alkaline hydrolysis diffusion, and available phosphorus (AP) by the molybdenum–antimony colorimetric method following sodium bicarbonate extraction (Olsen-type) [37]
2.3. Remote Sensing Data Acquisition and Preprocessing
To accurately capture the spatial heterogeneity of vegetation recovery in the Nanxiong Basin, this study integrated multi-source remote sensing datasets with terrain information. The primary data source was the Sentinel-2 MSI Level-2A surface reflectance product, obtained from the Copernicus Open Access Hub. Data were acquired in October 2020, corresponding to the peak vegetation growth season, thereby ensuring an optimal representation of vegetation conditions.
To preserve spectral integrity and minimize atmospheric interference, a stringent cloud cover threshold of <5% was applied during image selection. This rigorous criterion ensured the reliability of vegetation analysis while maintaining high data quality and consistency. The Sentinel-2 MSI sensor provides multiple spectral bands, including Blue, Green, Red, Red Edge, Near-Infrared, and Shortwave Infrared, which are particularly effective for vegetation monitoring. In this study, the following bands were primarily utilized: B2 (Blue), B3 (Green), B4 (Red), B5–B8A (Red Edge and Near-Infrared), and B11–B12 (Shortwave Infrared). These bands are essential for characterizing vegetation attributes such as canopy health, structural properties, and soil moisture conditions.
Based on these bands, several vegetation indices were derived, including NDVI, Red-Edge NDVI, and NDMI, to evaluate vegetation growth and associated environmental changes. Red-Edge NDVI was included to improve the sensitivity of our analysis to vegetation stress, which is often more pronounced in the red-edge spectrum. This index was particularly useful for areas with varying vegetation densities and moisture levels. NDMI was employed to assess vegetation moisture content, which is vital for understanding vegetation health in semi-arid and degraded areas like the Nanxiong Basin. NDMI provided a complementary metric to NDVI by focusing on moisture levels, thereby improving the precision of vegetation classifications, especially in drier areas. These additional indices, particularly Red-Edge NDVI and NDMI, were used alongside NDVI to improve classification precision and better assess vegetation health and moisture conditions. Furthermore, we integrated field validation with field missions to complement the remote sensing data, ensuring a higher degree of accuracy in vegetation classification. While Google Earth high-resolution imagery was used as a secondary reference, field missions were conducted to gather ground truth data, providing more precise validation of the vegetation conditions observed from satellite images. Additionally, the use of multitemporal analysis was considered to enhance classification accuracy, particularly for distinguishing Red-Bed Bare Land (RBBL). By incorporating imagery from different time points, seasonal variations in vegetation growth and soil moisture conditions can be more effectively captured, which in turn improves classification performance. This approach is expected to significantly improve the overall classification accuracy, particularly in areas prone to degradation, such as RBBL.
NDVI was calculated for each pixel using the following formula:
where NIR represents the Near-Infrared band (B8A) and Red represents the Red band (B4). NDVI values range from −1 to +1, with higher values indicating healthier and denser vegetation, while lower values signify sparse or bare land.
Preprocessing of the raw satellite data included atmospheric correction and reflectance normalization to mitigate atmospheric artifacts and ensure inter-image consistency. Additionally, all images underwent precise geometric correction to enable comparability across multi-temporal datasets. These preprocessing steps were conducted using the Sentinel Application Platform (SNAP) and Google Earth Engine (GEE), both of which are well-suited for large-scale satellite data processing.
2.4. NDVI-Based Vegetation Classification Method
Vegetation in the Nanxiong Basin was mapped using an NDVI-based workflow designed to distinguish physiognomic types that reflect both cover and vitality. NDVI was selected due to its sensitivity to photosynthetic activity and canopy density, making it ideal for separating bare surfaces from herbaceous and woody vegetation under subtropical conditions. Preprocessed Sentinel-2 imagery was used to calculate pixel-wise NDVI, as detailed in Section 2.3.
The NDVI thresholds were determined using statistical analysis methods and supported by Drori et al. (2020) [49] to ensure that each vegetation type was accurately represented. These thresholds were further fine-tuned using representative field samples to reflect the unique ecological characteristics of the Nanxiong Basin. The final NDVI threshold ranges used in this study, which have been widely validated in similar ecosystems, were as follows: Red-Bed Bare Land (RBBL, NDVI < 0.15), Subtropical Xerophytic Grassland (SXG, 0.15–0.29), Subtropical Montane Deciduous Thorn Shrubland (SMDT, 0.29–0.39), Subtropical Deciduous–Evergreen Broadleaf Forest (SDEBF, 0.39–0.47), and Subtropical Coniferous–Broadleaf Mixed Forest (SCBMF, 0.47–0.66). These thresholds allowed for clear differentiation between vegetation types, especially in regions where threshold partitions overlapped.
A supervised classification approach was employed, using either Maximum Likelihood or Support Vector Machine (SVM) classifiers, with a radial basis function (RBF) kernel. The classifier was trained using 50 representative training samples per class, drawn from field plots and high-resolution optical imagery, to improve classification accuracy. A post-classification filtering step was then applied to remove noise and refine class boundaries, eliminating misclassified pixels and ensuring adherence to minimum mapping units. This process further improved the classification accuracy and reduced salt-and-pepper noise in the final results. To ensure high-quality analysis, a <5% cloud cover filter was applied to the Sentinel-2 imagery. This filtering process resulted in the removal of 25 Sentinel-2 scenes, leaving 75 images available for final analysis. By using only cloud-free imagery, we improved the overall accuracy and reliability of the classification results. The number of removed and remaining images has been included in the revised manuscript to provide more clarity on the cloud cover filtering process.
To rigorously evaluate classification performance, an error matrix (confusion matrix) was constructed based on stratified random sampling. For each vegetation class, 100 independent reference points were sampled uniformly within mapped polygons, yielding a total of 500 validation samples. This sampling design controlled for class imbalance and ensured sufficient precision per class. Each sample point’s classification label was verified through visual interpretation of the most recent, cloud-free high-resolution imagery available in Google Earth, with dates closest to the Sentinel-2 acquisition. During the verification process, interpreters cross-checked canopy texture, tone, and context against field notes where available. Built structures and impervious surfaces were classified as non-vegetated and assigned to the RBBL class to ensure that the classification accurately distinguished vegetated and bare or sealed surfaces. Classification accuracy was evaluated using overall accuracy, producer’s accuracy, user’s accuracy, and Kappa coefficient (Figure 2).
Figure 2.
NDVI-Based Vegetation Classification Flowchart. This flowchart illustrates the steps in classifying vegetation types in the Nanxiong Basin using NDVI, from calculation and thresholding to supervised classification and accuracy evaluation.
2.5. Statistical Analysis
PCA was applied to soil properties (pH, SOM, AN, AP, SS, EC, and K) to identify the major patterns of soil fertility variation and to examine the relationships between soil variables and vegetation types. PCA was conducted using a standardized correlation matrix, and the principal components that accounted for the majority of variance were extracted to reveal the dominant factors driving soil changes. To confirm whether observed differences among vegetation types were statistically significant, analysis of variance (ANOVA) was conducted for each soil property. When the assumptions of normality or homogeneity of variances were not met, a non-parametric alternative, such as the Kruskal–Wallis test, was applied. All statistical analyses were performed with SPSS software (version 26), and statistical significance was determined at p < 0.05.
2.6. Workflow Overview
In this study, we constructed a systematic analysis workflow that integrates soil sampling, remote sensing data processing and analysis, vegetation classification, and Principal Component Analysis (PCA) (Figure 3). First, soil samples were collected and laboratory analyses were conducted to obtain various soil property data. Then, remote sensing data acquisition and preprocessing were performed, and vegetation indices (such as NDVI) were calculated for vegetation classification. Subsequently, PCA was applied to reveal the main factors driving soil changes, and statistical analysis was conducted on soil properties across different vegetation types. Each step in the workflow is interrelated, aiming to provide a comprehensive framework for analyzing soil and vegetation dynamics.
Figure 3.
Soil and Vegetation Analysis Workflow Diagram.
3. Results
3.1. NDVI-Based Vegetation Classification and Spatial Pattern Analysis
To understand the spatial distribution and ecological patterns of vegetation in the Nanxiong Basin, this study used NDVI-based methods for vegetation classification and spatial pattern analysis, providing insights into vegetation degradation and the distribution of various vegetation types. NDVI, widely recognized for its ability to reflect vegetation health and density, was the core metric used to delineate vegetation categories. Five vegetation types were identified: RBBL, SXG, SMDT, SDEBF, and SCBMF, as summarized in Table 1.
Table 1.
Summary of NDVI Statistics and Area Distribution for Five Vegetation Types in the Nanxiong Basin.
The spatial distribution of these vegetation types is illustrated in Figure 4, which highlights distinct ecological gradients, ranging from intact forest ecosystems (SDEBF and SCBMF) to highly degraded bare lands (RBBL). The results indicated that the central and southern parts of the basin are predominantly covered by broadleaf forests, whereas the northern and northeastern regions are largely occupied by bare lands. Specifically, RBBL accounts for approximately 3.59% of the total area, concentrated in the northern and northeastern sectors, and reflects severe land degradation. SXG, covering 10.49% of the area, is mainly distributed across the western and central zones and exhibits the characteristics of xerophytic grassland. SMDTS, occupying 20.68% of the basin, is primarily found in the central and southern regions, functioning as a transitional zone between forests and grasslands. SDEBF is concentrated in the southern basin and covers 33.38% of the area, representing the most extensive vegetation cover. SCBMF is mainly distributed in the southeastern part of the basin, accounting for 31.86%, and reflects high vegetation integrity and ecological function. Table 1 further presents the NDVI statistics for each vegetation type, revealing distinct differences in NDVI ranges and mean values. The RBBL category, characterized by minimal or no vegetation cover, recorded the lowest NDVI values (<0.15), indicative of severe degradation. In contrast, SCBMF exhibited the highest NDVI range (0.47–0.66) with a mean NDVI of 0.51, signifying dense and healthy vegetation. Vegetation types such as SXG and SDEBF displayed intermediate NDVI values (0.15–0.47), with SDEBF representing a substantial share of the basin (34.40%).
Figure 4.
Spatial distribution of five NDVI-based vegetation types in the Nanxiong Basin.
The classification accuracy of the NDVI-based model was calculated using a confusion matrix (Table 2), in which the predicted vegetation categories with reference data were compared. The overall accuracy (OA) reached 77.8%, and the Kappa coefficient was 0.723, indicating substantial agreement between predicted and observed vegetation types. Producer’s accuracy ranged from 64.0% for RBBL to 97.1% for SCBMF, reflecting higher accuracy for more prevalent vegetation classes. User’s accuracy was particularly high for SXG and SMDT (89.0%), suggesting that these types were consistently identified by the classification model.
Table 2.
Confusion matrix of the classification results.
These findings underscore the pronounced ecological gradients within the Nanxiong Basin, from severely degraded bare lands to highly productive forests. Areas with robust vegetation cover, particularly in the southern basin, are likely sustained by favorable ecological conditions and effective conservation measures. Conversely, northern regions dominated by RBBL remain vulnerable to soil degradation and require targeted ecological restoration efforts.
The ability of remote sensing to accurately capture these vegetation patterns provides insights into the basin’s ecological dynamics, supporting evidence-based management and restoration strategies in red-bed landscapes.
3.2. Variability in Soil Fertility Across NDVI-Based Vegetation Types
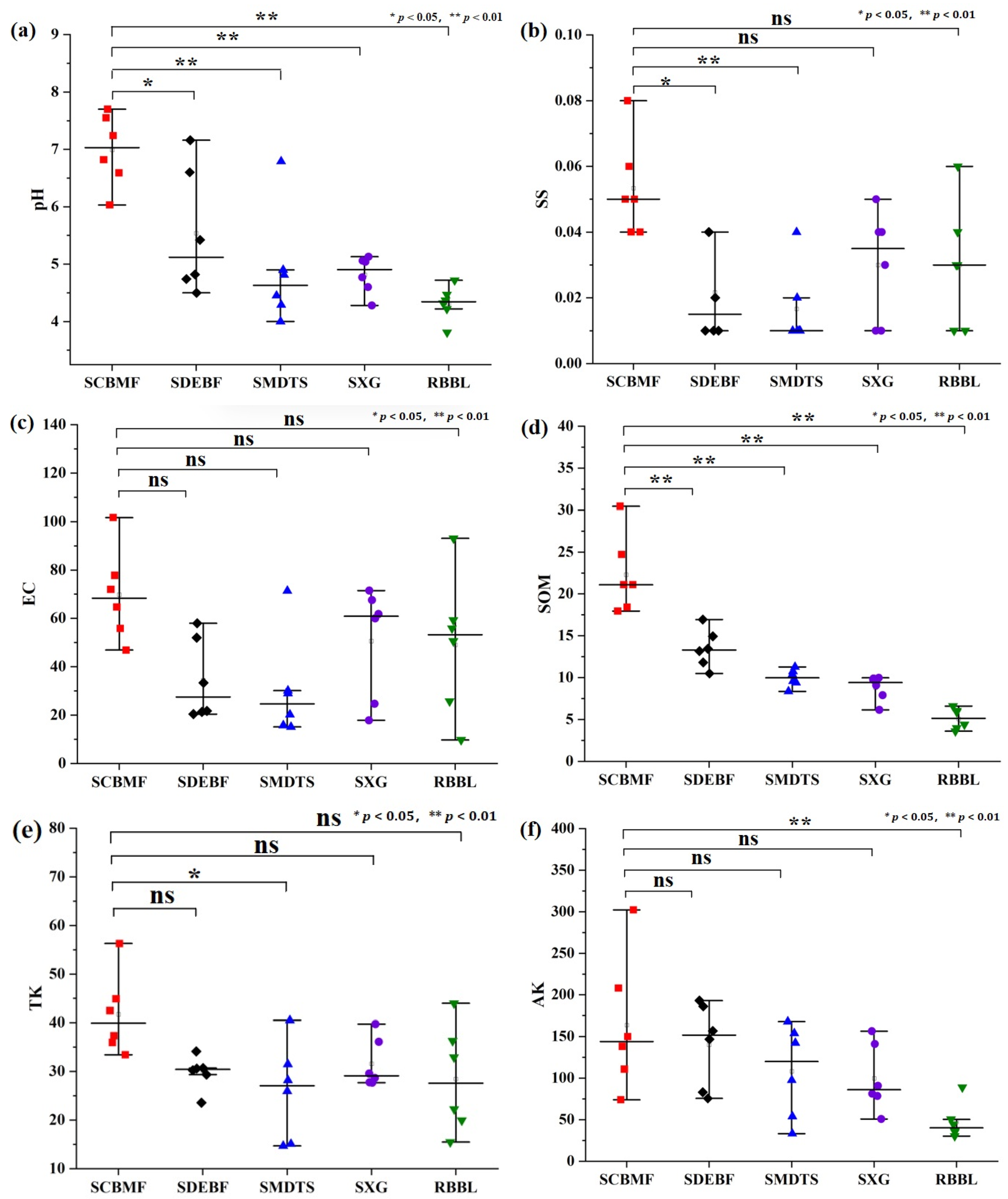
Along the NDVI gradient, soil properties displayed clear patterns of variation, with soil pH showing the most pronounced contrasts. SCBMF soils were near-neutral to slightly alkaline, whereas RBBL was strongly acidic. Statistical tests indicated that SCBMF had significantly higher pH values than all other vegetation types, while SDEBF also showed higher pH compared to SMDTS, SXG, and RBBL (p < 0.05 to p < 0.01), consistent with the significance brackets in Figure 5a. The 95% confidence intervals for pH values in SCBMF were 6.99 ± 0.26, while in RBBL, they were 4.32 ± 0.12, indicating substantial variation across vegetation types.

Figure 5.
Soil physicochemical properties across five NDVI-defined vegetation types in the Nanxiong Basin. (a) pH, (b) Soil Salinity (SS), (c) Electrical Conductivity (EC), (d) Soil Organic Matter (SOM), (e) Available Nitrogen (AN), (f) Available Phosphorus (AP), (g) Total Potassium (TK), (h) Available Potassium (AK). Significance levels: p < 0.05 (*), p < 0.01 (**), ns = not significant.
For salinity-related variables, a different trend emerged. Although SCBMF tended to exhibit higher SS and EC, most between-class contrasts were not significant due to high within-class variability. The only significant difference was between SCBMF and SDEBF for SS, while EC differences remained generally non-significant, as indicated by the wide error bars in Figure 5b,c. SOM provided the clearest separation among vegetation types. SOM values declined progressively from forests to shrub–grassland types, and finally to bare land. SCBMF recorded the highest SOM (22.29 ± 1.90), SDEBF was intermediate (13.46 ± 0.93), and SMDTS, SXG, and RBBL clustered at the lowest levels. All pairwise comparisons involving SCBMF were significant, and SDEBF also exceeded the three open-vegetation types (p < 0.01; Figure 5d). This pattern supports the notion that greater vegetation cover in forests enhances carbon sequestration and nutrient accumulation in soils.
Available macronutrients showed patterns similar to SOM. Both AN and AP were significantly higher in SCBMF (AN: 66.71 ± 4.50, AP: 19.58 ± 3.31), with SDEBF forming a secondary tier (AN: 44.83 ± 3.58, AP: 4.93 ± 2.44). In contrast, shrubland, xerophytic grassland, and bare land consistently exhibited low AN and AP, and AP was nearly absent in some RBBL samples. Statistical tests showed strong differences between SCBMF and other vegetation types, as well as between SDEBF and the three open-vegetation types (p < 0.01; Figure 5e,f). Potassium (K) showed greater variability. Total potassium (TK) differed significantly only between SCBMF and SDEBF (p < 0.05). The 95% confidence intervals for TK in SCBMF were 41.74 ± 3.38, and for SDEBF, they were 29.76 ± 1.41. For available potassium (AK), wide within-class dispersion reduced between-class separation, with the only significant contrast being higher values in SCBMF compared to RBBL (AK: 163.86 ± 33.09, RBBL: 47.49 ± 8.77, p < 0.01). These patterns are consistent with Figure 5g,h, where RBBL displayed the greatest dispersion and SXG and SMDTS exhibited moderate variability.
In summary, NDVI-based vegetation classes correspond to a consistent soil fertility sequence for SOM, AN, and AP: SCBMF ranked highest, followed by SDEBF, whereas SMDTS, SXG, and RBBL represented progressively lower fertility levels. Along this sequence, soil pH shifted towards increasing acidity from forests to bare red-bed surfaces. By contrast, SS, EC, TK, and AK showed substantial within-class variation, limiting their discriminating power among vegetation types. These findings reinforce the reliability of the NDVI “greenness” gradient as a proxy for soil fertility, with fertility declining systematically from closed forest ecosystems to severely degraded surfaces.
3.3. Analysis of Soil Property Differences and Their Relationship with Vegetation Types
PCA was conducted on eight key soil properties (pH, SS, EC, SOM, AN, AP, TK, AK) to assess fertility gradients and their relationship with vegetation types across the Nanxiong Basin. PCA was selected because it effectively integrates correlated soil attributes, reduces dimensionality, and identifies the dominant factors underlying soil–vegetation feedbacks. By condensing multidimensional datasets into a few principal components, PCA retains the majority of variance while simplifying interpretation, which is particularly advantageous for complex soil–vegetation interactions.
The analysis extracted two dominant principal components: PC1, explaining 56.7% of the variance, represents the soil fertility gradient, whereas PC2, explaining 20.4%, reflects ionic balance. Together they account for 77.1% of the total variance (Figure 5). Loading analysis indicated that SOM, AN, AP, and pH were strongly and positively associated with PC1, defining a gradient from nutrient-rich, weakly acidic to neutral soils towards nutrient-poor, strongly acidic substrates. Although SS and EC also loaded positively on PC1, their contributions were weaker and showed partial alignment with the negative PC2. By contrast, AK was the main positive contributor to PC2, while TK and EC loaded negatively.
The ordination biplot revealed distinct vegetation–soil associations. SCBMF and SDEBF clustered in the positive PC1 space, reflecting high SOM, AN, and AP with reduced acidity. SMDTS and SXG shifted towards the negative PC1 region, partially overlapping due to shared low nutrient levels. RBBL was positioned at the extreme negative ends of both PC1 and PC2, representing the most degraded, acidic, and nutrient-poor soils.
The 95% confidence ellipses in Figure 6 further emphasize the separation between forested and open vegetation types. SCBMF formed a compact ellipse entirely within the fertile quadrant of PC1, indicating homogeneous soil enrichment. SDEBF showed a wider spread towards the origin, suggesting greater heterogeneity. In contrast, shrubland and grassland ellipses overlapped extensively, reflecting minimal edaphic distinction. RBBL remained isolated at the infertile end of the ordination space.
Figure 6.
Principal Component Analysis (PCA) biplot illustrating the relationship between soil properties and the five vegetation types in the Nanxiong Basin. The arrows indicate the loadings of key soil properties: SOM (Soil Organic Matter), AK (Available Potassium), TK (Total Potassium), SS (Salinity), EC (Electrical Conductivity), pH, AP (Available Phosphorus), and AN (Available Nitrogen). The ellipses represent the 95% confidence interval for each vegetation type, showing distinct soil property gradients across the basin.
Biplot correlations were consistent with univariate tests (Section 3.2). SOM, AN, and AP clustered tightly with pH, confirming their co-enrichment under forest cover and depletion in degraded surfaces. SS and EC, despite their positive loadings on PC1, contributed little to class discrimination because of high within-group variance. AK, which loaded positively on PC2, successfully differentiated forest sites with higher exchangeable K from open vegetation and bare soils, whereas TK exhibited a weaker, opposite trend.
Overall, PCA showed the strong correspondence between NDVI-based vegetation classes and soil fertility. Forested types (SCBMF, SDEBF), characterized by higher NDVI values, corresponded to high SOM, AN, AP, and near-neutral pH, while degraded classes (SMDTS, SXG, RBBL) aligned with nutrient depletion and acidity. Salinity and potassium variables exerted secondary but more variable effects. These findings demonstrate that NDVI-derived “greenness” reliably reflects soil fertility variation at the landscape scale, providing a robust quantitative basis for monitoring ecosystem degradation and restoration.
3.4. Process-Driven Mechanism Analysis of Vegetation–Soil Differentiation in the Nanxiong Basin
The ecological degradation mechanisms in the Nanxiong Basin are driven by a complex interplay of environmental and anthropogenic factors, resulting in a continuous gradient of vegetation and soil variation across the landscape. This study explores how these factors contribute to the transition from intact forest ecosystems to degraded red-bed surfaces. By synthesizing findings from Section 3.1, Section 3.2 and Section 3.3, we reveal how the interplay between rock properties, natural influences, and human disturbance drives vegetation–soil differentiation, offering critical insights into the underlying processes of ecological degradation in the region. The NDVI map displays a concentric landscape structure, with bare-rock cores encircled by xerophytic grassland and thorn shrubland, and an outer matrix of broadleaf and conifer–broadleaf forests. Along the transition sequence from RBBL → SXG → SMDTS → SDEBF/SCBMF, soil pH decreases and both SOM and plant-available nitrogen (AN) and phosphorus (AP) decline sharply. Salinity, EC, and potassium (K) fluctuate considerably within vegetation types but contribute only weakly to their differentiation. The PCA results further confirm that the first principal component represents a composite fertility axis, where forest samples score positively and shrub–grassland and bare-land samples score negatively, demonstrating the strong correspondence between NDVI “greenness” and soil fertility. The process diagram (Figure 7) situates these patterns within a broader framework of ecological degradation mechanisms. The weakly cemented red-bed sandstones and mudstones of the Nanxiong Basin weather rapidly, exhibit low structural strength, and are highly sensitive to water. During the dry season, physical disintegration generates loose debris on slopes. With the onset of the monsoon, sheetwash and rilling mobilize and transport this material, preferentially removing fine, organic-rich fractions. This process progressively thins the soil mantle and ultimately exposes the underlying bedrock. The spatial clustering of RBBL along dissected slopes and gullies, flanked by SXG and SMDTS on the NDVI map, represents the geomorphic expression of this “weathering–transport–exposure” chain.
Figure 7.
Process diagram illustrating the ecological degradation mechanisms in the Nanxiong Basin’s red-bed soft rock area. The diagram highlights the interrelationships between rock properties, natural influences (such as weathering, erosion, and seasonal factors), and human interference (including over-farming and land degradation). These factors collectively contribute to grassland degradation, soil erosion, and vegetation loss, leading to the formation of red-bed desertification with minimal soil and vegetation.
This hydroclimatic sequence is driven by seasonal rainfall. In the dry season, reduced vegetation cover and litter input lower soil cohesion and increase erodibility, whereas high-intensity rainfall in the wet season amplifies overland flow and incision. Together, these processes generate a cyclical pattern of material storage during dry months and material export during wet months. The stepwise declines in SOM, AN, and AP along the forest-to-shrub–grassland transition (Section 3.2) suggest selective depletion of nutrient-rich fines and nutrient leaching, accompanied by a reduction in base saturation and progressive soil acidification. In the PCA biplot, the positive loadings of SOM, AN, AP, and pH along the same axis underscore their coordinated changes. In contrast, SS, EC, and K contribute minimally to vegetation type separation, suggesting that they function more as modulators of soil conditions than as primary drivers of vegetation–soil differentiation.
Human disturbance accelerates this degradation process. Forest clearing, repeated cultivation, and fuelwood extraction reduce canopy cover and root reinforcement, thereby increasing runoff and sediment supply. These changes facilitate the transition from SDEBF to SMDTS and SXG, while also increasing the susceptibility of gully heads and convex upper slopes to erosion. The concentric NDVI sequence and the clear PCA separation between forested and open vegetation types together reflect a disturbance-driven, rainfall-amplified degradation trajectory.
Once the threshold between forest and shrubland is crossed (NDVI ≈ 0.39), negative feedbacks dominate. The loss of organic matter reduces aggregate stability and water-holding capacity, while infiltration decreases and surface runoff intensifies. These changes constrain vegetation recovery and accelerate soil acidification, leaving sites trapped in low-NDVI states. The recurrent occurrence of the RBBL → SXG → SMDTS → SDEBF/SCBMF sequence around bedrock exposures, and the clustering of degradation hotspots along gullies and strongly dissected slopes, are consistent with these negative feedback dynamics.
We therefore propose an integrated process framework that links soil properties, seasonal hydroclimatic dynamics, and human disturbance as co-drivers of vegetation–soil differentiation in the Nanxiong Basin (Figure 6). Weak lithology facilitates rapid weathering and low structural strength, while seasonal rainfall governs the alternating storage and export of materials on slopes. Human activities exacerbate erosion by reducing canopy cover and root reinforcement. Together, these processes lead to soil thinning, nutrient depletion, and acidification, creating a spatio-temporal sequence from forest to shrubland, grassland, and ultimately bare rock. This framework connects the NDVI-based vegetation map with measured soil data, explains the observed concentric landscape structure, and provides a solid foundation for identifying sensitive areas and monitoring degradation stages across the basin.
4. Discussion
4.1. Reliability and Improvement of NDVI-Based Classification
The NDVI stratification applied in this study successfully delineated five vegetation–surface categories along the degradation gradient of the Nanxiong Basin. The resulting NDVI intervals and spatial gradients are consistent with established spectral behaviors, where values near zero reflect barren surfaces, intermediate values characterize shrub–grass mosaics, and higher values indicate dense forests. The overall accuracy of 77.8% and the Kappa coefficient of 0.723 place our scheme within the performance envelope of optical-index-led classifications. Our findings confirm the strong correlation between NDVI and soil fertility gradients, a relationship that has been documented in digital soil mapping studies [50]. However, the confusion matrix revealed systematic errors concentrated at the transitional boundaries between shrubland and mixed forests, consistent with the spectral ambiguity reported in other subtropical mountainous environments [51]. The producer’s accuracy of 64.0% for RBBL suggests particular vulnerability to omission errors, while SCBMF achieved the highest accuracy (97.1%). This indicates that forest canopies with dense, mixed structures are more easily separated than heterogeneous bare or grass–shrub mosaics.
Previous studies have demonstrated that incorporating multi-temporal NDVI and SAR backscatter, or applying ensemble machine learning classifiers, can markedly reduce these confusion errors, especially in areas with complex vegetation cover [52]. These refinements should be prioritized in future monitoring of humid red-bed terrains. In particular, integrating Sentinel-1 SAR data would improve classification accuracy, especially in areas with dense vegetation or persistent cloud cover, where optical remote sensing data may face limitations. Moreover, combining Red-Edge NDVI and NDMI could provide complementary insights into vegetation health and moisture levels, further enhancing vegetation discrimination and improving land cover classification accuracy, as suggested in [53]. Additionally, as demonstrated by Bai et al. [54], multi-temporal analysis has proven highly effective in addressing the challenges of classifying transitional zones between different vegetation types. By incorporating seasonal variations in vegetation growth, multi-temporal analysis helps provide a more dynamic and accurate classification model. Similar studies, such as Wakulińska [55] has highlighted how temporal data can mitigate misclassification of transitional zones and improve overall classification precision. These studies emphasize the importance of temporal data in improving the classification of complex vegetation mosaics and transitional areas, which remain challenging in optical-based NDVI classification.
In conclusion, while the NDVI-based classification performed well, the integration of additional remote sensing indices, multi-temporal data, and SAR backscatter will significantly enhance the classification’s reliability, especially in challenging environments like the Nanxiong Basin. Future work should prioritize these refinements to ensure more accurate and robust vegetation mapping in the region.
4.2. Soil Fertility Gradients and Acidification Signals
Soil analyses revealed that SOM, AN, and AP co-varied positively with pH, forming a fertility axis aligned with NDVI gradients. Forest types (SCBMF, SDEBF) clustered at the high-fertility, weakly acidic end, while shrub–grasslands and bare red-bed land clustered at the low-fertility, strongly acidic end. This is consistent with ecological succession studies in subtropical South China, where forest restoration improves SOM accumulation, nutrient cycling, and soil aggregation [56]. The extremely acidic and nutrient-depleted soils observed in RBBL echo soil quality assessments in the Nanxiong red-bed desertification areas [33] These patterns mirror broader trends in subtropical China, where whole-profile acidification and base cation depletion are widely reported [57]. Importantly, our results support NDVI as a first-order proxy for fertility gradients. This is consistent with digital soil mapping studies that have documented robust NDVI–SOC correlations across diverse landscapes [58]. These linkages strengthen the case for NDVI-based monitoring of fertility decline in humid badlands.
The loss of SOM not only leads to a decline in soil fertility but also has profound implications for carbon sequestration. As SOM decreases, the soil’s capacity to store carbon significantly diminishes, potentially leading to increased carbon release and exacerbating climate change. In the Nanxiong Basin, the significantly lower SOM levels observed in RBBL and xerophytic grassland (SXG, SMDT) suggest that these areas have weaker carbon sequestration potential. In contrast, the higher SOM content in forest types (such as SCBMF and SDEBF) indicates these regions have stronger carbon sequestration abilities. Further research should explore how soil and vegetation restoration measures can enhance carbon sequestration in these degraded areas, thereby mitigating environmental change.
Therefore, the changes in soil fertility and acidification not only reveal the ecological impacts within the degradation process of the Nanxiong Basin but also highlight the critical role of SOM in regulating regional carbon cycles and carbon storage.
4.3. Process Attribution: Lithological Sensitivity, Hydroclimatic Forcing, and Human Disturbance
The observed concentric NDVI pattern, with bare rock cores surrounded by xerophytic grasslands and thorn-shrub mosaics, reflects a typical weathering–transport–exposure chain in humid red-bed terrains. Particularly during dry periods, weakly cemented sandstones and mudstones undergo rapid physical disintegration, with fine particles being selectively mobilized and transported by intense monsoonal rains. This process leads to the preferential loss of organic-rich materials, explaining the observed thinning and acidification of the soil mantle in RBBL regions. This process aligns with findings from erosion monitoring in the Nanxiong Basin, which highlights the dominant role of storm events in driving slope retreat [59,60].
At the landscape scale, this event-driven denudation process explains the clustering of RBBL patches along gullies and steep slopes, as well as the isolation of barren land at the infertile end of PCA ordination. Human activities, particularly deforestation, repeated cultivation, and fuelwood harvesting, further weaken canopy cover and root cohesion, exacerbating runoff and soil erosion. Relevant watershed-scale studies in Nanxiong demonstrate that integrated soil and water conservation strategies can significantly mitigate erosion processes, effectively countering these negative feedback loops [34]
Overall, our findings support the “disturbance–rainfall–lithology” interaction framework as the primary driver of vegetation–soil differentiation in humid red-bed terrains. This framework emphasizes how climate change and human activities, through altering soil properties and vegetation cover, exacerbate the feedback mechanisms between soil degradation and vegetation decline.
4.4. Implications, Limitations, and Future Directions
Two key implications emerged from this study. First, NDVI gradients can serve as effective rapid screening tools for soil fertility, particularly for indicators such as SOM, AN, and AP. This facilitates targeted sampling and restoration efforts in vegetation-transition zones and gully heads. Second, given the event-driven erosion regime, integrating different remote sensing data and soil chemical indicators can help assess degradation thresholds, particularly across the shrub-forest boundary, where ecological states remain unstable.
However, several limitations should be acknowledged. First, this study relied on a single-season NDVI dataset, which may not fully represent long-term degradation patterns, as vegetation phenology and soil conditions vary seasonally. Using a single 2020 scene may lead to over- or under-estimation of degradation severity. Therefore, future studies should integrate multi-temporal optical data to better capture seasonal and inter-annual variations. Second, the relatively small sample size and the reliance on the first principal component axis (explaining 56.7% of the variance) for soil fertility analysis may limit the comprehensive understanding of soil fertility gradients. Future research could enhance soil fertility assessment accuracy by increasing the sample size, incorporating additional soil chemical parameters, or using higher-order principal components in the analysis. Another limitation is the spatial representativeness of the 30 soil plots used in this study. Although these plots provide valuable insights into soil fertility and degradation, they may not fully capture the spatial heterogeneity of the entire basin. Given the complexity of soil properties and ecological variations within the basin, a more extensive network of soil sampling plots or remote sensing data may be needed to ensure comprehensive spatial coverage, particularly in more remote or ecologically distinct areas. Moreover, similar vegetation–soil feedback mechanisms have been identified in temperate forest ecosystems [61], suggesting that the findings of this study may have broader applicability, particularly for other humid red-bed regions or similar subtropical areas.
Looking ahead, future research should focus on integrating multi-temporal optical indices, SAR data, and expanded soil chemistry parameters to improve the accuracy of fertility gradient delineation. Additionally, the installation of slope-catenary monitoring systems to track rainfall, infiltration, and micro-erosion would allow for direct testing of the negative feedback loop involving organic matter loss, reduced infiltration, increased runoff, and soil acidification.
Overall, our study supports the conclusion that weak lithology, monsoonal forcing, and anthropogenic disturbance jointly shape the observed banded landscape patterns, through the integration of NDVI mapping, soil fertility contrasts, and principal component analysis (PCA) ordination. This integrated framework provides a foundation for understanding the underlying mechanisms and offers a practical basis for prioritizing restoration interventions in the context of increasing hydroclimatic variability.
5. Conclusions
This study reveals a strong correlation between soil fertility gradients derived from PCA and vegetation degradation stages identified through Sentinel-2 indices. NDVI, as a remote sensing index, effectively reflects spatial variations in soil fertility, particularly in degraded landscapes, where it is closely related to different stages of vegetation degradation. Our findings suggest that NDVI can serve as a powerful tool for soil fertility monitoring, especially in identifying the relationships between various vegetation types and soil conditions. However, a major limitation of this study is the reliance on NDVI as the sole indicator and the simplification of soil fertility to the first principal component (PC1) values. This approach may not fully capture the multidimensional nature of soil properties, particularly the complexity of physical and chemical soil attributes. Future research could address this limitation by integrating additional remote sensing indices and more comprehensive soil data. Combining soil monitoring data with satellite-based vegetation indices, particularly in the red-bed regions, holds significant potential. This approach offers new insights and technical support for monitoring land degradation, restoration planning, and land-use management. By integrating remote sensing with soil fertility data, more precise land management strategies can be developed, promoting ecological restoration and achieving sustainable land use.
Author Contributions
Conceptualization, P.Y. and P.Z.; methodology, H.C.; validation, S.L. and Z.T.; investigation, J.H.; writing—review and editing, P.Y. and Y.G.; project administration, P.Z. All authors have read and agreed to the published version of the manuscript.
Funding
This research was funded by the Science and Technology Program of Guangdong [2024B1212080005], GDAS’ Project of Science and Technology Development [2022GDASZH-2022010201-01], GDAS’ Project of Science and Technology Development [2022GDASZH-2022010106], the Guangdong Basic and Applied Basic Research Foundation [2022A1515110307] and the Guangzhou Science and Technology Plan Project [2024A04J3508].
Data Availability Statement
The data presented in this study are available from the author by request (yanping@gdas.ac.cn).
Conflicts of Interest
The authors declare no conflicts of interest.
References
- Bardgett, R.D.; van der Putten, W.H. Belowground biodiversity and ecosystem functioning. Nature 2014, 515, 505–511. [Google Scholar] [CrossRef]
- Reynolds, J.F.; Stafford Smith, D.M.; Lambin, E.F.; Turner, B.L.; Mortimore, M.; Batterbury, S.P.J.; Downing, T.E.; Dowlatabadi, H.; Fernandez, R.J.; Herrick, J.E.; et al. Global desertification:: Building a science for dryland development. Science 2007, 316, 847–851. [Google Scholar] [CrossRef]
- Ellepola, A.V. Evaluating the Relationship Between Vegetation Types and Downscaled Surface Soil Moisture Data. Master’s Thesis, University of Mississippi, Oxford, MS, USA, 2023. [Google Scholar]
- Yang, Z.; Gong, J.; Wang, S.; Jin, T.; Wang, Y. Shifts bidirectional dependency between vegetation greening and soil moisture over the past four decades in China. Sci. Total Environ. 2023, 897, 166388. [Google Scholar] [CrossRef]
- Wei, D.; Yan, L.; Zhang, Z.; Yu, J.; Luo, X.e.; Zhang, Y.; Wang, B. Unraveling the interplay between NDVI, soil moisture, and snowmelt: A comprehensive analysis of the Tibetan Plateau agroecosystem. Agric. Water Manag. 2025, 308, 109306. [Google Scholar] [CrossRef]
- Zhou, Z.; Xue, P.; Zhou, X.; Wang, T.; Ding, Y.; Zhao, Y.; Chen, P.; Wang, X. Assessing the soil moisture-vegetation mutual feedback relationship in different climatic regions of mainland China. Catena 2025, 249, 108684. [Google Scholar] [CrossRef]
- Hou, X.; Han, H.; Tigabu, M.; Cai, L.; Meng, F.; Liu, A.; Ma, X. Changes in soil physico-chemical properties following vegetation restoration mediate bacterial community composition and diversity in Changting, China. Ecol. Eng. 2019, 138, 171–179. [Google Scholar] [CrossRef]
- Mockel, S.C.; Erlendsson, E.; Gisladottir, G. Holocene environmental change and development of the nutrient budget of histosols in North Iceland. Plant Soil 2017, 418, 437–457. [Google Scholar] [CrossRef]
- Meng, F.; Luo, M.; Sa, C.; Wang, M.; Bao, Y. Quantitative assessment of the effects of climate, vegetation, soil and groundwater on soil moisture spatiotemporal variability in the Mongolian Plateau. Sci. Total Environ. 2022, 809, 152198. [Google Scholar] [CrossRef] [PubMed]
- Sagang, L.B.T.; Tcheferi, I.; Ploton, P.; Libalah, M.; Simo-Droissart, M.; Sirri, N.; Dauby, G.; Ngansop, E.; Bissek, J.P.; Kamdem, N.; et al. Interactions between soil and other environmental variables modulate forest expansion and ecotone dynamics in humid savannas of Central Africa. Proc. R. Soc. B-Biol. Sci. 2024, 291, 20241120. [Google Scholar] [CrossRef]
- Cassiani, G.; Ursino, N.; Deiana, R.; Vignoli, G.; Boaga, J.; Rossi, M.; Perri, M.T.; Blaschek, M.; Duttmann, R.; Meyer, S.; et al. Noninvasive Monitoring of Soil Static Characteristics and Dynamic States: A Case Study Highlighting Vegetation Effects on Agricultural Land. Vadose Zone J. 2012, 11. vzj2011.0195. [Google Scholar] [CrossRef]
- Gao, M.; Li, M.; Wang, S.; Lu, X. Land Degradation Affects Soil Microbial Properties, Organic Matter Composition, and Maize Yield. Agronomy 2024, 14, 1348. [Google Scholar] [CrossRef]
- Yan, Z.; Guo, Y.; Sun, B.; Gao, Z.; Qin, P.; Li, Y.; Yue, W.; Cui, H. Combating land degradation through human efforts: Ongoing challenges for sustainable development of global drylands. J. Environ. Manag. 2024, 354, 120254. [Google Scholar] [CrossRef] [PubMed]
- Zhang, L.; Jia, X.; Zhao, Y.; Wang, H.; Peng, B.; Zhang, P.; Zhao, M. Spatio-temporal characteristics and driving mechanism of land degradation sensitivity in Northwest China. Sci. Total Environ. 2024, 918, 170403. [Google Scholar] [CrossRef]
- Khan, T.; Al-Khayri, J.M.; Mansoor, S. Forests and their crucial roles in hydrological systems, ecosystem services, and restoration efforts. Sylwan 2025, 169, 126–140. [Google Scholar] [CrossRef]
- Kimmins, J.P. Importance of soil and role of ecosystem disturbance for sustained productivity of cool temperate and boreal forests. Soil Sci. Soc. Am. J. 1996, 60, 1643–1654. [Google Scholar] [CrossRef]
- Wang, M.; Qian, X.; Wang, W.; Gan, C.; Zhang, Y.; Liu, K.; Jin, R. Ar-Ar ages and geochemistry of Late Cretaceous basalts in the Nanxiong Basin, SE China: Constraints on the subduction and rollback of the Paleo-Pacific Plate. J. Asian Earth Sci. 2023, 253, 105732. [Google Scholar] [CrossRef]
- Fadl, M.E.; AbdelRahman, M.A.E.; El-Desoky, A.I.; Sayed, Y.A. Assessing soil productivity potential in arid region using remote sensing vegetation indices. J. Arid Environ. 2024, 222, 105166. [Google Scholar] [CrossRef]
- Gong, Z.; Ge, W.; Guo, J.; Liu, J. Satellite remote sensing of vegetation phenology: Progress, challenges, and opportunities. Isprs J. Photogramm. Remote Sens. 2024, 217, 149–164. [Google Scholar] [CrossRef]
- Dolatabadi, N.; Nasseri, M.; Zahraie, B. Comparative assessment of surface soil moisture simulations by the coupled wcm-iem vs. data-driven models using the Sentinel 1 and 2 satellite images. Earth Sci. Inform. 2023, 16, 104647. [Google Scholar] [CrossRef]
- Mkhwenkwana, A.; Matongera, T.N.; Blaauw, C.; Mutanga, O. A critical review on the applications of Sentinel satellite datasets for soil moisture assessment in crop production. Int. J. Appl. Earth Obs. Geoinf. 2025, 141, 104647. [Google Scholar] [CrossRef]
- Buma, W.; Abelev, A.; Merrick, T. Vegetation spectra as an integrated measure to explain underlying soil characteristics: A review of recent advances. Front. Environ. Sci. 2024, 12, 1430818. [Google Scholar] [CrossRef]
- Gholizadeh, A.; Kopackova, V. Detecting vegetation stress as a soil contamination proxy: A review of optical proximal and remote sensing techniques. Int. J. Environ. Sci. Technol. 2019, 16, 2511–2524. [Google Scholar] [CrossRef]
- Shi, J.; Du, Y.; Du, J.; Jiang, L.; Chai, L.; Mao, K.; Xu, P.; Ni, W.; Xiong, C.; Liu, Q.; et al. Progresses on microwave remote sensing of land surface parameters. Sci. China-Earth Sci. 2012, 55, 1052–1078. [Google Scholar] [CrossRef]
- Al-Maliki, S.; Ibrahim, T.I.M.; Jakab, G.; Masoudi, M.; Makki, J.S.; Vekerdy, Z. An Approach for Monitoring and Classifying Marshlands Using Multispectral Remote Sensing Imagery in Arid and Semi-Arid Regions. Water 2022, 14, 1523. [Google Scholar] [CrossRef]
- Karan, S.K.; Samadder, S.R.; Maiti, S.K. Assessment of the capability of remote sensing and GIS techniques for monitoring reclamation success in coal mine degraded lands. J. Environ. Manag. 2016, 182, 272–283. [Google Scholar] [CrossRef] [PubMed]
- Moisa, M.B.; Roba, Z.R.; Purohit, S.; Deribew, K.T.; Gemeda, D.O. Evaluating the impact of land use and land cover change on soil moisture variability using GIS and remote sensing technology in southwestern Ethiopia. Environ. Monit. Assess. 2025, 197, 842. [Google Scholar] [CrossRef]
- D’Acunto, F.; Marinello, F.; Pezzuolo, A. Rural Land Degradation Assessment through Remote Sensing: Current Technologies, Models, and Applications. Remote Sens. 2024, 16, 3059. [Google Scholar] [CrossRef]
- Dubovyk, O. The role of Remote Sensing in land degradation assessments: Opportunities and challenges. Eur. J. Remote Sens. 2017, 50, 601–613. [Google Scholar] [CrossRef]
- Sengani, D.; Ramoelo, A.; Archer, E. A review of fusion framework using optical sensors and Synthetic Aperture Radar imagery to detect and map land degradation and sustainable land management in the semi-arid regions. Geocarto Int. 2023, 38, 2278325. [Google Scholar] [CrossRef]
- Hashim, B.M.; Sultan, M.A.; Attyia, M.N.; Al Maliki, A.A.; Al-Ansari, N. Change Detection and Impact of Climate Changes to Iraqi Southern Marshes Using Landsat 2 MSS, Landsat 8 OLI and Sentinel 2 MSI Data and GIS Applications. Appl. Sci. 2019, 9, 2016. [Google Scholar] [CrossRef]
- Jaskula, J.; Sojka, M.; Wicher-Dysarz, J. Analysis of Selected Physicochemical Parameters and Degradation Process Assessment in a Two-Stage Reservoir Jezioro Kowalskie Using Field and Remote Sensing Data. Rocz. Ochr. Srodowiska 2019, 21, 439–455. [Google Scholar]
- Si, F.X.; Chen, B.H.; Wang, B.J.; Li, W.J.; Zhu, C.L.; Fu, J.F.; Yu, B.; Xu, G.L. Soil Quality Assessment and Influencing Factors of Different Land Use Types in Red Bed Desertification Regions: A Case Study of Nanxiong, China. Land 2024, 13, 1265. [Google Scholar] [CrossRef]
- Xu, Y.; Yang, X.K.; Xu, G.L.; Fu, J.F.; Cai, S.R.; Mu, X.L.; Zhou, T.; Zhang, W.X.; Chen, J.X.; Li, L.K.; et al. Assessment of Integrated Soil and Water Conservation Practices on Soil Erosion Risk in a Typical Red-Beds Watershed in South China. Water 2023, 15, 2613. [Google Scholar] [CrossRef]
- Yan, P.; Lin, K.R.; Wang, Y.R.; Tu, X.J.; Bai, C.M.; Yan, L.B. Assessment of Influencing Factors on the Spatial Variability of SOM in the Red Beds of the Nanxiong Basin of China, Using GIS and Geo-Statistical Methods. Isprs Int. J. Geo-Inf. 2021, 10, 366. [Google Scholar] [CrossRef]
- Peng, H.; Yan, L.; Chen, Z.; Simonson, S.; Luo, G. A preliminary study of desertification in red beds in the humid region of Southern China. Acta Geogr. Sin. 2015, 70, 1699–1707. [Google Scholar]
- Yan, P.; Peng, H.; Yan, L.; Zhang, S.; Chen, A.; Lin, K. Spatial variability in soil pH and land use as the main influential factor in the red beds of the Nanxiong Basin, China. PeerJ 2019, 7, e6342. [Google Scholar] [CrossRef]
- Yan, L.; He, R.; Kasanin-Grubin, M.; Luo, G.; Peng, H.; Qiu, J. The Dynamic Change of Vegetation Cover and Associated Driving Forces in Nanxiong Basin, China. Sustainability 2017, 9, 443. [Google Scholar] [CrossRef]
- He, W.; Yang, Z.; Hu, J.; Zhang, K.; Li, H. Color Origin of Red Beds within the Danxia Basin, Southern China. Minerals 2023, 13, 1054. [Google Scholar] [CrossRef]
- Yan, L.B.; Kasanin-Grubin, M. Land degradation and management of red beds in China: Two case studies. J. Mt. Sci. 2019, 16, 2591–2604. [Google Scholar] [CrossRef]
- Shu, L.S.; Deng, P.; Wang, B.; Tan, Z.Z.; Yu, X.Q.; Sun, Y. Lithology, kinematics and geochronology related to Late Mesozoic basin-mountain evolution in the Nanxiong-Zhuguang area, South China. Sci. China Ser. D-Earth Sci. 2004, 47, 673–688. [Google Scholar] [CrossRef]
- Yan, Y.; Xia, B.; Lin, G.; Cui, X.; Hu, X.; Yan, P.; Zhang, F. Geochemistry of the sedimentary rocks from the Nanxiong Basin, South China and implications for provenance, paleoenvironment and paleoclimate at the K/T boundary. Sediment. Geol. 2007, 197, 127–140. [Google Scholar] [CrossRef]
- Yan, P.; Peng, H.; Yan, L.; Lin, K. Spatial Variability of Soil Physical Properties Based on GIS and Geo-Statistical Methods in the Red Beds of the Nanxiong Basin, China. Pol. J. Environ. Stud. 2019, 28, 2961–2972. [Google Scholar] [CrossRef]
- AbdelRahman, M.A.E. An overview of land degradation, desertification and sustainable land management using GIS and remote sensing applications. Rend. Lincei-Sci. Fis. E Nat. 2023, 34, 767–808. [Google Scholar] [CrossRef]
- Buthelezi, M.N.M.; Lottering, R.; Peerbhay, K.; Mutanga, O. Assessing the extent of land degradation in the eThekwini municipality using land cover change and soil organic carbon. Int. J. Remote Sens. 2024, 45, 1339–1367. [Google Scholar] [CrossRef]
- Yan, P.; Zhou, P.; Lei, S.; Tan, Z.W.; Chen, H.; Huang, J.X. Spatial Distribution of Soil Nutrients in the Red Beds of Southern China and Their Responses to Different Land Use Types. Forests 2025, 16, 417. [Google Scholar] [CrossRef]
- Ravi, K.P.; Periasamy, S. Systematic discrimination of irrigation and upheaval associated salinity using multitemporal SAR data. Sci. Total Environ. 2021, 790, 148148. [Google Scholar] [CrossRef] [PubMed]
- Mu, W.; Han, N.; Qu, Z.; Zheng, M.; Shan, Y.; Guo, X.; Sun, Y.; Mu, Y. ECWS: Soil Salinity Measurement Method Based on Electrical Conductivity and Moisture Content. Agronomy 2024, 14, 1345. [Google Scholar] [CrossRef]
- Drori, R.; Dan, H.; Sprintsin, M.; Sheffer, E. Precipitation-Sensitive Dynamic Threshold: A New and Simple Method to Detect and Monitor Forest and Woody Vegetation Cover in Sub-Humid to Arid Areas. Remote Sens. 2020, 12, 1231. [Google Scholar] [CrossRef]
- Zeng, P.Y.; Song, X.; Yang, H.; Wei, N.; Du, L.P. Digital Soil Mapping of Soil Organic Matter with Deep Learning Algorithms. Isprs Int. J. Geo-Inf. 2022, 11, 299. [Google Scholar] [CrossRef]
- Schug, F.; Pfoch, K.A.; Pham, V.D.; van der Linden, S.; Okujeni, A.; Frantz, D.; Radeloff, V.C. Land cover fraction mapping across global biomes with Landsat data, spatially generalized regression models and spectral-temporal metrics. Remote Sens. Environ. 2024, 311, 114260. [Google Scholar] [CrossRef]
- Drobnjak, S.; Stojanovic, M.; Djordjevic, D.; Bakrac, S.; Jovanovic, J.; Djordjevic, A. Testing a New Ensemble Vegetation Classification Method Based on Deep Learning and Machine Learning Methods Using Aerial Photogrammetric Images. Front. Environ. Sci. 2022, 10, 896158. [Google Scholar] [CrossRef]
- Liu, M.; Zhan, Y.; Li, J.; Kang, Y.; Sun, X.; Gu, X.; Wei, X.; Wang, C.; Li, L.; Gao, H.; et al. Validation of Red-Edge Vegetation Indices in Vegetation Classification in Tropical Monsoon Region-A Case Study in Wenchang, Hainan, China. Remote Sens. 2024, 16, 1865. [Google Scholar] [CrossRef]
- Bai, W.Q.; He, Z.W.; Tan, Y.; Robinson, G.M.; Zhang, T.Y.; Wang, X.M.; He, L.; Li, L.L.; Wu, S. Vegetation Classification in a Mountain-Plain Transition Zone in the Sichuan Basin, China. Land 2025, 14, 184. [Google Scholar] [CrossRef]
- Wakulinska, M.; Marcinkowska-Ochtyra, A. Multi-Temporal Sentinel-2 Data in Classification of Mountain Vegetation. Remote Sens. 2020, 12, 2696. [Google Scholar] [CrossRef]
- Zhao, X.; Liu, P.; Feng, Y.; Zhang, W.; Njoroge, B.; Long, F.; Zhou, Q.; Qu, C.; Gan, X.; Liu, X. Changes in Soil Physico-Chemical and Microbiological Properties During Natural Succession: A Case Study in Lower Subtropical China. Front. Plant Sci. 2022, 13, 878908. [Google Scholar] [CrossRef]
- Yu, Z.; Chen, H.Y.H.; Searle, E.B.; Sardans, J.; Ciais, P.; Penuelas, J.; Huang, Z. Whole soil acidification and base cation reduction across subtropical China. Geoderma 2020, 361, 114107. [Google Scholar] [CrossRef]
- Zhang, Y.; Guo, L.; Chen, Y.; Shi, T.; Luo, M.; Ju, Q.; Zhang, H.; Wang, S. Prediction of Soil Organic Carbon based on Landsat 8 Monthly NDVI Data for the Jianghan Plain in Hubei Province, China. Remote Sens. 2019, 11, 1683. [Google Scholar] [CrossRef]
- Chen, Z.; Yan, L.; Peng, H.; Shi, H. Temperature Controls on the Erosion of Badland Slopes in the Nanxiong Basin, China. Front. Earth Sci. 2021, 9, 712134. [Google Scholar] [CrossRef]
- Xie, C.; Antic, N.; Nadal-Romero, E.; Yan, L.; Tosti, T.; Djogo Mracevic, S.; Tu, X.; Kasanin-Grubin, M. The Influences of Climatic and Lithological Factors on Weathering of Sediments in Humid Badland Areas. Front. Earth Sci. 2022, 10, 900314. [Google Scholar] [CrossRef]
- Bennett, J.A.; Maherali, H.; Reinhart, K.O.; Lekberg, Y.; Hart, M.M.; Klironomos, J. Plant-soil feedbacks and mycorrhizal type influence temperate forest population dynamics. Science 2017, 355, 181. [Google Scholar] [CrossRef] [PubMed]
Disclaimer/Publisher’s Note: The statements, opinions and data contained in all publications are solely those of the individual author(s) and contributor(s) and not of MDPI and/or the editor(s). MDPI and/or the editor(s) disclaim responsibility for any injury to people or property resulting from any ideas, methods, instructions or products referred to in the content. |
© 2025 by the authors. Licensee MDPI, Basel, Switzerland. This article is an open access article distributed under the terms and conditions of the Creative Commons Attribution (CC BY) license (https://creativecommons.org/licenses/by/4.0/).