Monitoring and Prediction of Wild Blueberry Phenology Using a Multispectral Sensor
Abstract
1. Introduction
2. Materials and Methods
2.1. Study Area
2.2. Experimental Design
2.3. Fungicide Application
2.4. Data Acquisition
2.4.1. Field Data Collection on Growth Parameters
2.4.2. Multispectral Platform and Aerial Image Acquisition
2.4.3. Postprocessing and Extraction of Vegetation Indices
2.5. Vegetative Indices
2.6. Statistical Analysis and Regression Methods
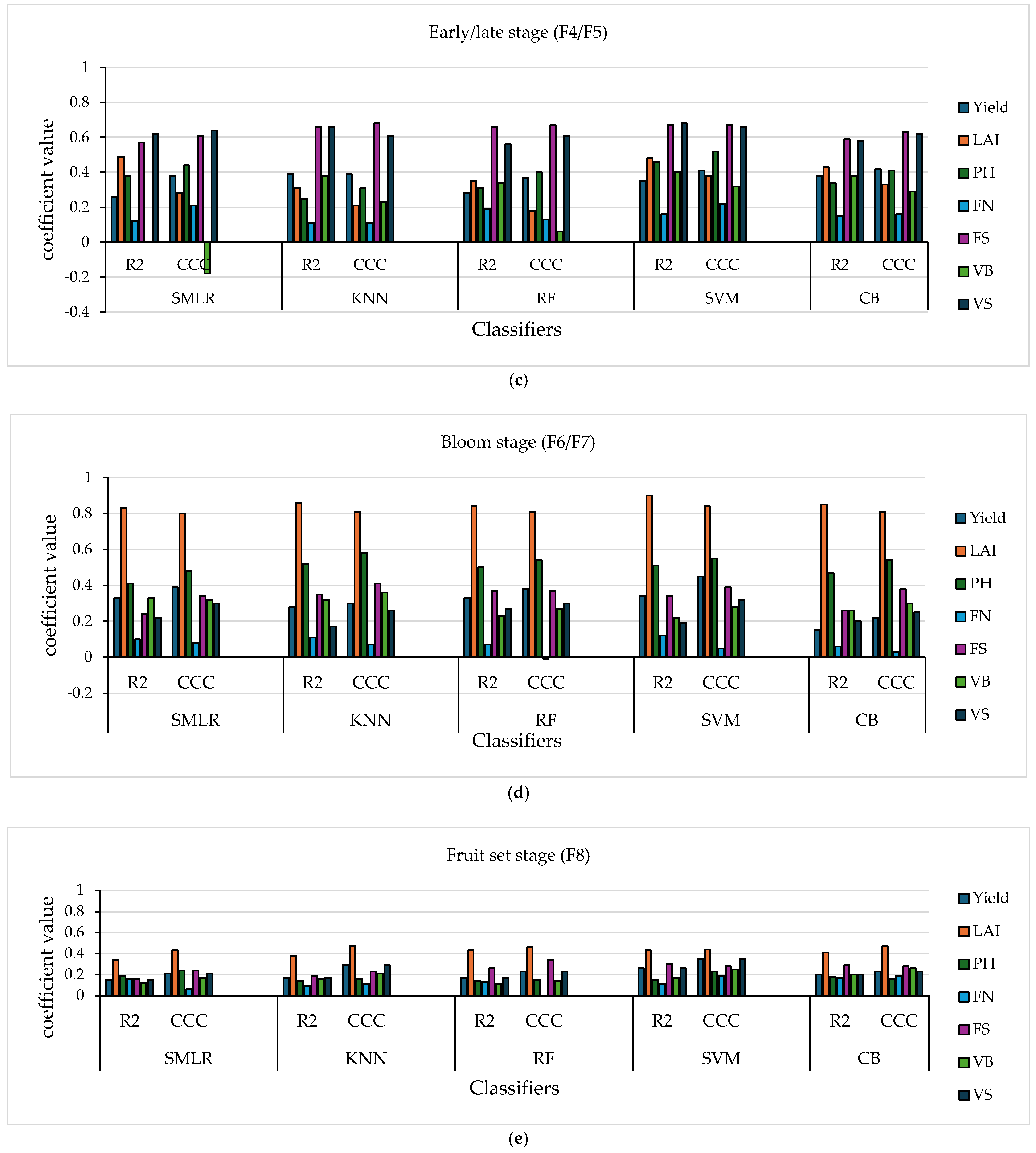
3. Results
3.1. Correlations Between VIs and Growth Parameters




3.2. Predicting Growth Parameters Using Vegetative Indices
| Parameters | Bud break stage (F1) | ||||
| SMLR | KNN | RF | SVM | CB | |
| Yield (g.m−2) | 225.85 | 223.83 | 249.73 | 240.11 | 223.86 |
| LAI | 0.11 | 0.12 | 0.12 | 0.11 | 0.11 |
| Plant height (cm) | 1.59 | 2.13 | 1.71 | - | 1.79 |
| Floral bud no. | 1.61 | 1.72 | 1.46 | 1.64 | 1.58 |
| Floral bud stage | 0.26 | 0.25 | 0.24 | 0.25 | 0.26 |
| Veg. bud no. | 3.17 | 3.32 | 3.14 | 2.77 | 2.75 |
| Veg. bud stage | 0.25 | 0.23 | 0.24 | 0.24 | 0.25 |
| Tight cluster stage (F2/F3) | |||||
| Yield (g.m−2) | 340.10 | 273.35 | 266.10 | 333.75 | 372.77 |
| LAI | 0.11 | 0.13 | 0.13 | 0.11 | 0.12 |
| Plant height (cm) | 2.12 | 1.94 | 1.90 | 1.85 | 1.86 |
| Floral bud no. | 1.45 | 1.98 | 1.34 | 1.63 | 1.36 |
| Floral bud stage | 0.69 | 0.53 | 0.67 | 0.91 | 0.56 |
| Veg. bud no. | 3.08 | 2.59 | 2.64 | 2.37 | 2.23 |
| Veg. bud stage | 0.81 | 0.89 | 0.86 | 0.80 | 0.91 |
| Early/late stage (F4/F5) | |||||
| Yield (g.m−2) | 230.12 | 224.70 | 240.80 | 224.27 | 221.05 |
| LAI | 0.11 | 0.14 | 0.13 | 0.11 | 0.12 |
| Plant height (cm) | 1.88 | 1.99 | 1.94 | 1.76 | 1.99 |
| Floral bud no. | 1.50 | 1.59 | 1.55 | 1.48 | 1.57 |
| Floral bud stage | 0.52 | 0.47 | 0.46 | 0.47 | 0.49 |
| Veg. bud no. | 3.08 | 2.59 | 2.64 | 2.37 | 2.23 |
| Veg. bud stage | 0.32 | 0.32 | 0.33 | 0.29 | 0.31 |
| Bloom stage (F6/F7) | |||||
| Yield (g.m−2) | 232.24 | 254.21 | 232.13 | 224.38 | 264.94 |
| LAI | 0.56 | 0.56 | 0.54 | 0.46 | 0.55 |
| Plant height (cm) | 1.45 | 1.41 | 1.37 | 1.32 | 1.38 |
| Floral bud no. | 1.08 | 1.03 | 1.17 | 1.08 | 1.13 |
| Floral bud stage | 0.14 | 0.12 | 0.13 | 0.12 | 0.13 |
| Veg. bud no. | 1.54 | 1.43 | 1.53 | 1.66 | 1.56 |
| Veg. bud stage | 0.21 | 0.28 | 0.22 | 0.33 | 0.25 |
| Fruit set stage (F8) | |||||
| Yield (g.m−2) | 265.70 | 304.26 | 249.36 | 235.18 | 265.63 |
| LAI | 0.90 | 0.83 | 0.87 | 0.87 | 0.89 |
| Plant height (cm) | 2.05 | 2.00 | 2.14 | 2.88 | 2.19 |
| Floral bud no. | 1.05 | 1.00 | 1.08 | 1.11 | 1.05 |
| Floral bud stage | - | - | - | - | - |
| Veg. bud no. | 2.07 | 2.05 | 2.15 | 1.97 | 2.02 |
| Veg. bud stage | 0.17 | 0.20 | 0.17 | 0.17 | 0.18 |
3.3. Phenological Growth in the Fields
3.4. Variable Importance Plot
| Bud break stage (F1) | ||
| Parameter | Rank | Percentage (%) |
| Yield (g.m−2) | GLI, VARI, GRVI, NDRE, NDVI, ENDVI | 100, 75,60, 25, 10, 0 |
| Leaf area index | NDRE, NDVI, ENDVI, GLI, GRVI, VARI | 100, 90, 80, 10, 5, 0 |
| Plant height (cm) | NDRE, NDVI, ENDVI, GRVI, VARI, GLI | 100, 95, 75, 68, 28, 0 |
| Floral bud number | NDRE, NDVI, ENDVI, GRVI, VARI, GLI | 100, 75, 70, 45, 15, 0 |
| Floral bud stage | GLI, VARI, GRVI, NDRE, ENDVI, NDVI | 100, 90, 88, 82, 30, 0 |
| Vegetative bud number | ENDVI, NDVI, NDRE, VARI, GRVI, GLI | 100, 70, 18, 3, 2, 0 |
| Vegetative bud stage | GLI, VARI, GRVI, NDRE, ENDVI, NDVI | 100, 88, 82, 30, 5, 0 |
| Tight cluster stage (F2/F3) | ||
| Parameter | Rank | Percentage (%) |
| Yield (g.m−2) | GRVI, NDRE, NDVI, VARI, ENDVI, GLI | 100, 80,75, 70, 45, 0 |
| Leaf area index | GRVI, VARI, GLI, ENDVI, NDRE, NDVI | 100, 70, 45, 20, 14, 0 |
| Plant height (cm) | NDRE, NDVI, ENDVI, VARI, GLI, GRVI | 100, 95, 80, 5, 5, 0 |
| Floral bud number | GRVI, VARI, NDRE, GLI, NDVI, ENDVI | 100, 85, 30, 15, 10, 0 |
| Floral bud stage | GLI, GRVI, VARI, ENDVI, NDRE, NDVI | 100, 90, 78, 45, 23, 0 |
| Vegetative bud number | ENDVI, NDRE, NDVI, GLI, VARI, GRVI | 100, 68, 50, 48, 12, 0 |
| Vegetative bud stage | GLI, VARI, GRVI, ENDVI, NDVI, NDRE | 100, 92, 83, 24, 18, 0 |
| Early/late bud stage (F4/F5) | ||
| Parameter | Rank | Percentage (%) |
| Yield (g.m−2) | VARI, GRVI, GLI, NDVI, NDRE, ENDVI | 100, 100,100, 90, 70, 0 |
| Leaf area index | GRVI, VARI, GLI, ENDVI, NDRE, NDVI | 100, 70, 45, 20, 15, 0 |
| Plant height (cm) | ENDVI, NDVI, NDRE, GLI, GRVI, VARI | 100, 78, 50, 40, 30, 0 |
| Floral bud number | GLI, GRVI, ENDVI, NDVI, NDRE, VARI | 100, 65, 55, 45, 18, 0 |
| Floral bud stage | GRVI, VARI, GLI, NDVI, NDRE, ENDVI | 100, 95, 93, 65, 45, 0 |
| Vegetative bud number | ENDVI, NDRE, GRVI, DNVI, GLI, VARI | 100, 63, 23, 22, 12, 0 |
| Vegetative bud stage | VARI, GRVI, GLI, NDVI, NDRE, ENDVI | 100, 100, 98, 80, 72, 0 |
| Bloom stage (F6/F7) | ||
| Parameter | Rank | Percentage (%) |
| Yield (g.m−2) | GLI, ENDVI, NDVI, GRVI, NDRE, VARI | 100, 95,80, 80, 50, 0 |
| Leaf area index | NDRE, NDVI, ENDVI, GLI, GRVI, VARI | 100, 100, 90, 80, 25, 0 |
| Plant height (cm) | ENDVI, NDVI, NDRE, GLI, GRVI, VARI | 100, 78, 50, 40, 30, 0 |
| Floral bud number | NDRE, GRVI, NDVI, GLI, VARI, ENDVI | 100, 98, 82, 70, 50, 0 |
| Floral bud stage | ENDVI, NDRE, NDVI, GLI, GRVI, VARI | 100, 95, 82, 58, 25, 0 |
| Vegetative bud number | GLI, GRVI, NDRE, NDVI, ENDVI, VARI | 100, 82, 68, 50, 32, 0 |
| Vegetative bud stage | ENDVI, GLI, GRVI, VARI, NDRE, NDVI | 100, 78, 55, 38, 15, 0 |
| Fruit set stage (F8) | ||
| Parameter | Rank | Percentage (%) |
| Yield (g.m−2) | ENDVI, NDRE, NDVI, GRVI, GLI, VARI | 100, 90,80, 75, 50, 0 |
| Leaf area index | GRVI, VARI, GLI, NDVI, ENDVI, NDRE | 100, 95, 92, 35, 23, 0 |
| Plant height (cm) | GRVI, VARI, GLI, ENDVI, NDRE, NDVI | 100, 85, 80, 8, 4, 0 |
| Floral bud number | NDVI, GLI, NDRE, VARI, GRVI, ENDVI | 100, 75, 70, 50, 15, 0 |
| Floral bud stage | NDRE, GRVI, VARI, NDVI, ENDVI, GLI | 100, 58, 50, 40, 7, 0 |
| Vegetative bud number | GRVI, VARI, GLI, ENDVI, NDVI, NDRE | 100, 90, 88, 70, 25, 0 |
| Vegetative bud stage | GLI, ENDVI, GRVI, NDVI, VARI, NDRE | 100, 95, 45, 35, 11, 0 |
| VI | Positions | Bud Break (F1) | Tight Cluster (F2/F3) | Early/Late Bud (F4/F5) | Bloom (F6/F7) | Fruit Set (F8) | Best Performance |
|---|---|---|---|---|---|---|---|
| GLI | 1st | 9 | 4 | 3 | 4 | 4 | 24 |
| 2nd | 1 | 2 | - | 3 | 4 | 10 | |
| 3rd | - | 2 | 11 | 1 | 7 | 21 | |
| GRVI | 1st | - | 6 | 6 | 1 | 7 | 20 |
| 2nd | - | 4 | 7 | 6 | 5 | 22 | |
| 3rd | 6 | 3 | 2 | 2 | 4 | 17 | |
| VARI | 1st | - | 3 | 5 | 2 | 2 | 12 |
| 2nd | 7 | 5 | 6 | - | 8 | 26 | |
| 3rd | 3 | 4 | 2 | 1 | 5 | 15 | |
| NDVI | 1st | 2 | 1 | - | 2 | 2 | 7 |
| 2nd | 8 | 3 | 4 | 4 | - | 19 | |
| 3rd | 2 | 5 | 1 | 9 | 2 | 19 | |
| ENDVI | 1st | 3 | 3 | 6 | 7 | 3 | 22 |
| 2nd | 4 | 1 | 1 | 2 | 2 | 10 | |
| 3rd | 8 | 3 | 2 | 3 | 1 | 17 | |
| NDRE | 1st | 7 | 4 | 1 | 5 | 3 | 20 |
| 2nd | 1 | 6 | 3 | 6 | 2 | 18 | |
| 3rd | 3 | 5 | 3 | 5 | 2 | 18 |
3.5. Assessment of Statistical Methods
4. Discussion
5. Conclusions
Supplementary Materials
Author Contributions
Funding
Data Availability Statement
Acknowledgments
Conflicts of Interest
References
- Abbey, J.; Percival, D.; Asiedu, S.K.; Schilder, A. Susceptibility to Botrytis Blight at Different Floral Stages of Wild Blueberry Phenotypes. In Proceedings of the North American Blueberry Research and Extension Workers Conference, Orono, ME, USA, 12–15 August 2018. [Google Scholar]
- Penman, L.N.; Annis, S.L. Leaf and Flower Blight Caused by Monilinia vaccinii-corymbosi on Lowbush Blueberry: Effects on Yield and Relationship to Bud Phenology. Phytopathology 2005, 95, 1174–1182. [Google Scholar] [CrossRef] [PubMed]
- Abbey, J.A.; Percival, D.; Asiedu, S.K.; Prithiviraj, B.; Schilder, A. Management of Botrytis blossom blight in wild blueberries by biological control agents under field conditions. Crop Prot. 2020, 131, 105078. [Google Scholar] [CrossRef]
- Fournier, M.-P.; Paré, M.C.; Buttò, V.; Delagrange, S.; Lafond, J.; Deslauriers, A. How plant allometry influences bud phenology and fruit yield in two Vaccinium species. Ann. Bot. 2020, 126, 825–835. [Google Scholar] [CrossRef] [PubMed]
- Krebs, C.J.; Boonstra, R.; Cowcill, K.; Kenney, A.J. Climatic determinants of berry crops in the boreal forest of the southwestern Yukon. Botany 2009, 87, 401–408. [Google Scholar] [CrossRef]
- Jones, C.L.; Maness, N.O.; Stone, M.L.; Jayasekara, R. Chlorophyll estimation using multispectral reflectance and height sensing. Trans. ASABE 2007, 50, 1867–1872. [Google Scholar] [CrossRef]
- Hassan, M.A.; Yang, M.; Rasheed, A.; Yang, G.; Reynolds, M.; Xia, X.; Xiao, Y.; He, Z. A rapid monitoring of NDVI across the wheat growth cycle for grain yield prediction using a multi-spectral UAV platform. Plant Sci. 2019, 282, 95–103. [Google Scholar] [CrossRef]
- Souza, H.B.; Baio, F.H.R.; Neves, D.C. Using passive and active multispectral sensors on the correlation with the phenological indices of cotton. Eng. Agríc. 2017, 37, 782–789. [Google Scholar] [CrossRef]
- Susmita, R. A Quick Review of Machine Learning Algorithms. In Proceedings of the International Conference on Machine Learning, Big Data, Cloud and Parallel Computing: Trends, Prespectives and Prospects: COMITCON-2019, Faridabad, India, 14–16 February 2019; p. 35. [Google Scholar]
- El Naqa, I. , Li, R., Murphy, M.J. Machine Learning in Radiation Oncology; Springer International Publishing: Cham, Switzerland, 2015; ISBN 978-3-319-18304-6. [Google Scholar]
- Anku, K.E.; Percival, D.C.; Rajasekaran, L.R.; Heung, B.; Vankoughnett, M. Remote estimation of leaf nitrogen content, leaf area, and berry yield in wild blueberries. Front. Remote Sens. 2024, 5, 1414540. [Google Scholar] [CrossRef]
- Forsström, P.; Peltoniemi, J.; Rautiainen, M. Seasonal dynamics of lingonberry and blueberry spectra. Silva Fenn. 2019, 53, 10150. [Google Scholar] [CrossRef]
- Hussain, S.; Gao, K.; Din, M.; Gao, Y.; Shi, Z.; Wang, S. Assessment of UAV-Onboard Multispectral Sensor for Non-Destructive Site-Specific Rapeseed Crop Phenotype Variable at Different Phenological Stages and Resolutions. Remote Sens. 2020, 12, 397. [Google Scholar] [CrossRef]
- Zhang, J.; Wang, C.; Yang, C.; Xie, T.; Jiang, Z.; Hu, T.; Luo, Z.; Zhou, G.; Xie, J. Assessing the Effect of Real Spatial Resolution of In Situ UAV Multispectral Images on Seedling Rapeseed Growth Monitoring. Remote Sens. 2020, 12, 1207. [Google Scholar] [CrossRef]
- Vega, F.A.; Ramírez, F.C.; Saiz, M.P.; Rosúa, F.O. Multi-temporal imaging using an unmanned aerial vehicle for monitoring a sunflower crop. Biosyst. Eng. 2015, 132, 19–27. [Google Scholar] [CrossRef]
- Liu, T.; Li, R.; Zhong, X.; Jiang, M.; Jin, X.; Zhou, P.; Liu, S.; Sun, C.; Guo, W. Estimates of rice lodging using indices derived from UAV visible and thermal infrared images. Agric. For. Meteorol. 2018, 252, 144–154. [Google Scholar] [CrossRef]
- Zhou, X.; Zheng, H.B.; Xu, X.Q.; He, J.Y.; Ge, X.K.; Yao, X.; Cheng, T.; Zhu, Y.; Cao, W.X. Predicting grain yield in rice using multi-temporal vegetation indices from UAV-based multispectral and digital imagery. ISPRS J. Photogramm. Remote Sens. 2017, 130, 246–255. [Google Scholar] [CrossRef]
- Anku, K.E.; Percival, D.C.; Rajasekaran, L.R.; Heung, B.; Vankoughnett, M. Phenological assessment of the wild blueberry field using an unmanned aerial vehicle. Acta Hortic. 2023, 1357, 35–42. [Google Scholar] [CrossRef]
- Maqbool, R.; Zaman, Q.; Percival, D.; Sharpe, S. Narrow Band Reflectance Measurements Can Be Used to Estimate Leaf Area Index, Flower Number, Fruit Set, and Berry Yield of the Wild Blueberry (Vaccinium angustifolium Ait.). Acta Hortic. 2010, 926, 363–369. [Google Scholar] [CrossRef]
- Barai, K.; Tasnim, R.; Hall, B.; Rahimzadeh-Bajgiran, P.; Zhang, Y.-J. Is Drought Increasing in Maine and Hurting Wild Blueberry Production? Climate 2021, 9, 178. [Google Scholar] [CrossRef]
- Paré, M.C.; Fournier, M.-P.; Lafond, J.; Deslauriers, A. How management practices influence vegetative and reproductive plant traits of wild lowbush blueberry species. Can. J. Plant Sci. 2022, 102, 1007–1015. [Google Scholar] [CrossRef]
- MacEachern, C.B.; Esau, T.J.; Schumann, A.W.; Hennessy, P.J.; Zaman, Q.U. Detection of fruit maturity stage and yield estimation in wild blueberry using deep learning convolutional neural networks. Smart Agric. Technol. 2023, 3, 100099. [Google Scholar] [CrossRef]
- Percival, D.; Beaton, E. Suppression of Monilinia Blight: Strategies for Today and Potential Fungicide Options for Tomorrow. Int. J. Fruit Sci. 2012, 12, 124–134. [Google Scholar] [CrossRef]
- Liang, K.Y.; Zeger, S.L. Regression Analysis for Correlated Data. Annu. Rev. Public Health 1993, 14, 43–68. [Google Scholar] [CrossRef] [PubMed]
- Crawford, S.B.; Kosinski, A.S.; Lin, H.-M.; Williamson, J.M.; Barnhart, H.X. Computer programs for the concordance correlation coefficient. Comput. Methods Programs Biomed. 2007, 88, 62–74. [Google Scholar] [CrossRef] [PubMed]
- Kwiecien, R.; Kopp-Schneider, A.; Blettner, M. Concordance analysis: Part 16 of a series on evaluation of scientific publications. Dtsch. Ärztebl. Int. 2011, 108, 515–521. [Google Scholar] [CrossRef] [PubMed]
- Neuendorf, K.A. The Content Analysis Guidebook, 2nd ed; SAGE: Los Angeles, CA, USA, London, UK; New Delhi, India; Singapore; Washington, DC, USA; Melbourne, Australia; 2017. [Google Scholar]
- Penglei, L.; Zhang, X.; Wang, W.; Zheng, H. Estimating aboveground and organ biomass of plant canopies across the entire season of rice growth with terrestrial laser scanning. Int. J. Appl. Earth Obs. Geoinf. 2020, 91, 102132. [Google Scholar] [CrossRef]
- Jin, X.; Xu, X. Rmote sensing of leaf water content for winter wheat using grey relational analysis (GRA), stepwise regression method (SRM) and partial least squares (PLS). In Proceedings of the 2012 First International Conference on Agro-Geoinformatics (Agro-Geoinformatics), Shanghai, China, 2–4 August 2012; pp. 1–5. [Google Scholar]
- Mountrakis, G.; Im, J.; Ogole, C. Support vector machines in remote sensing: A review. ISPRS J. Photogramm. Remote Sens. 2011, 66, 247–259. [Google Scholar] [CrossRef]
- Sheykhmousa, M.; Mahdianpari, M.; Ghanbari, H.; Mohammadimanesh, F.; Ghamisi, P.; Homayouni, S. Support Vector Machine Versus Random Forest for Remote Sensing Image Classification: A Meta-Analysis and Systematic Review. IEEE J. Sel. Top. Appl. Earth Obs. Remote Sens. 2020, 13, 6308–6325. [Google Scholar] [CrossRef]
- Chirici, G.; Mura, M.; McInerney, D.; Py, N.; Tomppo, E.O.; Waser, L.T.; Travaglini, D.; McRoberts, R.E. A meta-analysis and review of the literature on the k-Nearest Neighbors technique for forestry applications that use remotely sensed data. Remote Sens. Environ. 2016, 176, 282–294. [Google Scholar] [CrossRef]
- Shahabi, H.; Shirzadi, A.; Ghaderi, K.; Omidvar, E.; Al-Ansari, N.; Clague, J.J.; Geertsema, M.; Khosravi, K.; Amini, A.; Bahrami, S.; et al. Flood Detection and Susceptibility Mapping Using Sentinel-1 Remote Sensing Data and a Machine Learning Approach: Hybrid Intelligence of Bagging Ensemble Based on K-Nearest Neighbor Classifier. Remote Sens. 2020, 12, 266. [Google Scholar] [CrossRef]
- Chen, Q.; Yang, X.; Ouyang, Z.; Zhao, N.; Jiang, Q.; Ye, T.; Qi, J.; Yue, W. Estimation of anthropogenic heat emissions in China using Cubist with points-of-interest and multisource remote sensing data. Environ. Pollut. 2020, 266, 115183. [Google Scholar] [CrossRef]
- Yu, D.; Zha, Y.; Sun, Z.; Li, J.; Jin, X.; Zhu, W.; Bian, J.; Ma, L.; Zeng, Y.; Su, Z. Deep convolutional neural networks for estimating maize above-ground biomass using multi-source UAV images: A comparison with traditional machine learning algorithms. Precis. Agric. 2022, 24, 92–113. [Google Scholar] [CrossRef]
- De Souza, R.; Peña-Fleitas, M.T.; Thompson, R.B.; Gallardo, M.; Padilla, F.M. Assessing Performance of Vegetation Indices to Estimate Nitrogen Nutrition Index in Pepper. Remote Sens. 2020, 12, 763. [Google Scholar] [CrossRef]
- Wood, F.A.; Barker, W.G. Stem Pigmentation in Lowbush Blueberry. Plant Physiol. 1963, 38, 191–193. [Google Scholar] [CrossRef] [PubMed]
- Duy, J.C. A Survey of the Quantitative Intraspecific Variation of Anthocyanins, Phenolics and Antioxidant Capacity in Leaves and Fruit of Vaccinium angustifolium Aiton Clones in Nova Scotia. Master’s Thesis, Acadia University, Wolfville, NS, Canada, 1999. [Google Scholar]
- Yue, J.; Feng, H.; Jin, X.; Yuan, H.; Li, Z.; Zhou, C.; Yang, G.; Tian, Q. A Comparison of Crop Parameters Estimation Using Images from UAV-Mounted Snapshot Hyperspectral Sensor and High-Definition Digital Camera. Remote Sens. 2018, 10, 1138. [Google Scholar] [CrossRef]
- Viña, A.; Gitelson, A.A.; Rundquist, D.C.; Keydan, G.; Leavitt, B.; Schepers, J. Monitoring Maize (Zea mays L.) Phenology with Remote Sensing. Agron. J. 2004, 96, 1139–1147. [Google Scholar] [CrossRef]
- Percival, D.; Anku, K.; Langdon, J. Phenotype, phenology, and disease pressure assessments in wild blueberry fields through the use of remote sensing technologies. Acta Hortic. 2023, 1381, 123–130. [Google Scholar] [CrossRef]




| Flight Date | Plant Stage | MicaSense RedEdge Camera | |
|---|---|---|---|
| 30 m | Spatial Resolution (cm/px) | ||
| 20 May 2020 | F1 (Bud break) | ✓ | 2.2 |
| 2 June 2020 | F2/F3 (Tight cluster) | ✓ | 2.2 |
| 10 June 2020 | F4/F5 (Early/late bud) | ✓ | 2.2 |
| 18 June 2020 | F6/F7 (Bloom) | ✓ | 2.2 |
| 26 June 2020 | F8 (Fruit set) | ✓ | 2.2 |
| Vegetation Indices | Bands a | Equation b |
|---|---|---|
| Green Leaf Index (GLI) | R, G, B | (2·Rg − Rr − Rb)/(2·Rg + Rr + Rb) |
| Green, Red Vegetation Index (GRVI) | R, G | (Rg − Rr)/(Rg + Rr) |
| Normalized Difference Vegetation Index (NDVI) | R, NIR | (Rn − Rr)/(Rn + Rr) |
| Enhanced Normalized Difference Vegetation Index (ENDVI) | B, G, NIR | (Rn + Rg) − (2*Rb)/(Rn + Rg) + (2*Rb) |
| Normalized Difference Red Edge (NDRE) | NIR RE | (Rn − Rre)/(Rn + Rre) |
| Visible Atmospheric Red Index (VARI) | G, R | (1 + 0.5) (Rn − Rr)/(Rn + Rr + 0.5) |
Disclaimer/Publisher’s Note: The statements, opinions and data contained in all publications are solely those of the individual author(s) and contributor(s) and not of MDPI and/or the editor(s). MDPI and/or the editor(s) disclaim responsibility for any injury to people or property resulting from any ideas, methods, instructions or products referred to in the content. |
© 2025 by the authors. Licensee MDPI, Basel, Switzerland. This article is an open access article distributed under the terms and conditions of the Creative Commons Attribution (CC BY) license (https://creativecommons.org/licenses/by/4.0/).
Share and Cite
Anku, K.; Percival, D.; Vankoughnett, M.; Lada, R.; Heung, B. Monitoring and Prediction of Wild Blueberry Phenology Using a Multispectral Sensor. Remote Sens. 2025, 17, 334. https://doi.org/10.3390/rs17020334
Anku K, Percival D, Vankoughnett M, Lada R, Heung B. Monitoring and Prediction of Wild Blueberry Phenology Using a Multispectral Sensor. Remote Sensing. 2025; 17(2):334. https://doi.org/10.3390/rs17020334
Chicago/Turabian StyleAnku, Kenneth, David Percival, Mathew Vankoughnett, Rajasekaran Lada, and Brandon Heung. 2025. "Monitoring and Prediction of Wild Blueberry Phenology Using a Multispectral Sensor" Remote Sensing 17, no. 2: 334. https://doi.org/10.3390/rs17020334
APA StyleAnku, K., Percival, D., Vankoughnett, M., Lada, R., & Heung, B. (2025). Monitoring and Prediction of Wild Blueberry Phenology Using a Multispectral Sensor. Remote Sensing, 17(2), 334. https://doi.org/10.3390/rs17020334

